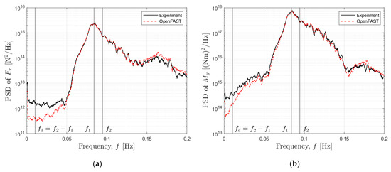
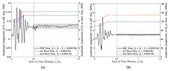
Uncertainty Assessment of CFD Investigation of the Nonlinear Difference-Frequency Wave Loads on a Semisubmersible FOWT Platform
Wang, L.; Robertson, A.; Jonkman, J.; Yu, Y.-H. Uncertainty Assessment of CFD Investigation of the Nonlinear Difference-Frequency Wave Loads on a Semisubmersible FOWT Platform. Sustainability 2021, 13, 64. https://doi.org/10.3390/su13010064
Wang L, Robertson A, Jonkman J, Yu Y-H. Uncertainty Assessment of CFD Investigation of the Nonlinear Difference-Frequency Wave Loads on a Semisubmersible FOWT Platform. Sustainability. 2021; 13(1):64. https://doi.org/10.3390/su13010064
Chicago/Turabian StyleWang, Lu, Amy Robertson, Jason Jonkman, and Yi-Hsiang Yu. 2021. "Uncertainty Assessment of CFD Investigation of the Nonlinear Difference-Frequency Wave Loads on a Semisubmersible FOWT Platform" Sustainability 13, no. 1: 64. https://doi.org/10.3390/su13010064


