Comparison of RUSLE and MMF Soil Loss Models and Evaluation of Catchment Scale Best Management Practices for a Mountainous Watershed in India
Abstract
1. Introduction
2. Materials and Methods
2.1. Description of the Study Area
2.2. Land Use Land Cover
2.3. Estimation of Soil Loss
2.3.1. Revised Universal Soil Loss Equation (RUSLE)
Rainfall and Runoff Erosivity (R)
Soil Erodibility Factor (K)
Topographic Factor (LS)
Crop Management Factor (C)
Conservation Practice (P)
2.3.2. Modified Morgan–Morgan–Finney (MMF) Model
Water Phase
Sediment Phase
2.4. Calibration and Validation
2.5. Preparation of Best Management Plan (BMP) or Alternative Land Use Land Covers (ALULC)
3. Results
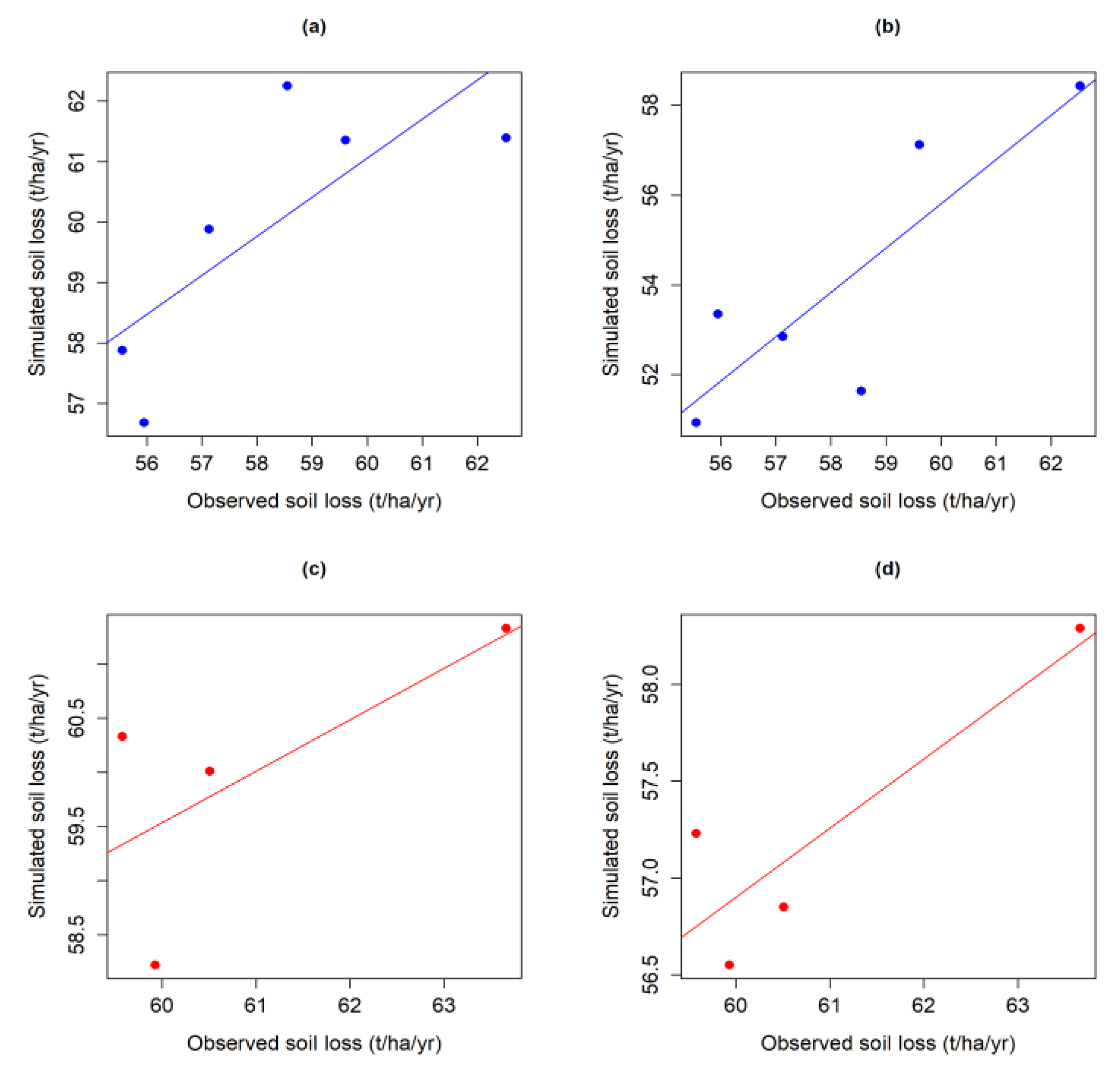
3.1. Calibration and Validation of RUSLE and MMF Models
3.2. RUSLE Model Analysis
3.3. MMF Model
3.4. Overall Comparison of Annual Soil Loss Estimated by RUSLE and MMF Models
4. Discussion
5. Conclusions
Author Contributions
Funding
Institutional Review Board Statement
Informed Consent Statement
Data Availability Statement
Acknowledgments
Conflicts of Interest
References
- Ighodaro, I.D.; Lategan, F.S.; Yusuf, S.F.G. The impact of soil erosion on agricultural potential and performance of Sheshegu community farmers in the Eastern Cape of South Africa. J. Agric. Sci. 2013, 5, 140–147. [Google Scholar] [CrossRef]
- Koirala, P.; Thakuri, S.; Joshi, S.; Chauhan, R. Estimation of Soil Erosion in Nepal Using a RUSLE Modelling and Geospatial Tool. Geoscience 2019, 9, 147. [Google Scholar] [CrossRef]
- Lal, R.; Singh, B.R. Effects of Soil Degradation on Crop Productivity in East Africa. J. Sustain. Agric. 1998, 13, 15–36. [Google Scholar] [CrossRef]
- Hategekimana, Y.; Allam, M.; Meng, O.; Nie, Y.; Mohamed, E. Quantification of Soil Losses along the Coastal Protected Areas in Kenya. Land 2020, 9, 137. [Google Scholar] [CrossRef]
- Claessens, L.; Van Breuge, P.; Notenbaert, A.; Herrero, M.; Van De Steeg, J. Mapping potential soil erosion in East Africa using the Universal Soil Loss Equation and secondary data. IAHS-AISH Publ. 2008, 325, 398–407. [Google Scholar]
- Ganasri, B.P.; Ramesh, H. Assessment of soil erosion by RUSLE model using remote sensing and GIS—A case study of Nethravathi Basin. Geosci. Front. 2016, 7, 953–961. [Google Scholar] [CrossRef]
- Sujatha, E.; Sridhar, V. Spatial Prediction of Erosion Risk of a Small Mountainous Watershed Using RUSLE: A Case-Study of the Palar Sub-Watershed in Kodaikanal, South India. Water 2018, 10, 1608. [Google Scholar] [CrossRef]
- Reichmann, O.; Chen, Y.; Iggy, L.M. Spatial model assessment of P transport from soils to waterways in an Eastern Mediterranean Watershed. Water 2013, 5, 262–279. [Google Scholar] [CrossRef]
- Ozsahin, E.; Duru, U.; Eroglu, I. Land use and land cover changes (LULCC), a key to understand soil erosion intensities in the Maritsa Basin. Water 2018, 10, 335. [Google Scholar] [CrossRef]
- Deb, P.; Kiem, A.S.; Willgoose, G. A linked surface water-groundwater modelling approach to more realistically simulate rainfall-runoff non-stationarity in semi-arid rgions. J. Hydrol. 2019, 575, 273–291. [Google Scholar] [CrossRef]
- Chandra, S.; Manisa, P. Application of RUSLE model for soil loss estimation of Jaipanda watershed, West Bengal. Spat. Inf. Res. 2017, 25, 399–409. [Google Scholar]
- Woldemariam, G.; Iguala, A.; Tekalign, S.; Reddy, R. Spatial Modeling of Soil Erosion Risk and Its Implication for Conservation Planning: The Case of the Gobele Watershed, East Hararghe Zone, Ethiopia. Land 2018, 7, 25. [Google Scholar] [CrossRef]
- Reitsma, K.D.; Dunn, B.H.; Mishra, U.; Clay, S.A.; DeSutter, T.; Clay, D.E. Land-use change impact on soil sustainability in a climate and vegetation transition zone. Agron. J. 2015, 107, 2363–2372. [Google Scholar] [CrossRef]
- Perez-Molina, E.; Sliuzas, R.; Flacke, J.; Jetten, V. Developing a cellular automata model of urban growth to inform spatial policy for flood mitigation: A case study in Kampala, Uganda. Comput. Environ. Urban Syst. 2017, 65, 53–65. [Google Scholar] [CrossRef]
- Pelacani, S.; Marker, M.; Rodolfi, G. Simulation of soil erosion and deposition in a changing land use: A modelling approach to implement the support practice factor. Geomorphology 2008, 99, 329–340. [Google Scholar] [CrossRef]
- Wischmeier, W.H.; Smith, D.D. Predicting Rainfall Erosion Losses from Cropland East of the Rocky Mountains; U. S. Dept. of Agric. AH, 282.U.S.; Government Printing Office: Washington, DC, USA, 1965.
- Morgan, R.P.C.; Morgan, D.D.V.; Finney, H.J. A predictive model for the assessment of erosion risk. J. Agric. Eng. Res. 1984, 30, 245–253. [Google Scholar] [CrossRef]
- Renard, K.G.; Foster, G.R.; Weesies, G.A.; Porter, J.P. RUSLE: Revised universal soil loss equation. J. Soil Water Conserv. 1991, 46, 30–33. [Google Scholar]
- Mendoza-ponce, A.; Corona-núñez, R.; Kraxner, F.; Leduc, S.; Patrizio, P. Identifying effects of land use cover changes and climate change on terrestrial ecosystems and carbon stocks in Mexico. Glob. Environ. Chang. 2018, 53, 12–23. [Google Scholar] [CrossRef]
- Alphan, H.; Derse, M.A. Change detection in Southern Turkey using normalized di_erence vegetation index (NDVI). J. Environ. Eng. Landsc. Manag. 2013, 21, 12–18. [Google Scholar] [CrossRef]
- Moran-Tejeda, E.; Zabalza, J.; Rahman, K.; Gago-Silva, A.; López-Moreno, J.I.; Vicente-Serrano, S.; Lehmann, A.; Tague, C.L.; Beniston, M. Hydrological impacts of climate and land-use changes in a mountain watershed: Uncertainty estimation based on model comparison. ECO Hydrol. 2014, 8, 1396–1416. [Google Scholar] [CrossRef]
- Taye, G.; Vanmaercke, M.; Poesen, J.; Van Wesemael, B.; Tesfaye, S.; Teka, D.; Nyssen, J.; Deckers, J.; Haregeweyn, N. Determining RUSLE P- and C-factors for stone bunds and trenches in rangeland and cropland, North Ethiopia. L. Degrad. Dev. 2018, 29, 812–824. [Google Scholar] [CrossRef]
- Zeng, C.; Wang, S.; Bai, X.; Li, Y.; Tian, Y.; Li, Y.; Wu, L.; Luo, G. Soil erosion evolution and spatial correlation analysis in a typical karst geomorphology using RUSLE with GIS. Solid Earth 2017, 8, 721–736. [Google Scholar] [CrossRef]
- Lazzari, M.; Gioia, D.; Piccarreta, M.; Danese, M.; Lanorte, A. Sediment yield and erosion rate estimation in the mountain catchments of the Camastra artificial reservoir (Southern Italy): A comparison between different empirical methods. Catena 2015, 127, 323–339. [Google Scholar] [CrossRef]
- Dimotta, A.; Lazzari, M.; Cozzi, M.; Romano, S. Soil Erosion Modelling on Arable Lands and Soil Types in Basilicata, Southern Italy; Gervasi, O., Ed.; ICCSA 2017, Part V, Lecture Notes in Computer Science LNCS; Springer: Cham, Switzerland, 2017; Volume 10408, pp. 57–72. [Google Scholar]
- Meyer, L.; Wischmeier, W. Mathematical simulation of the process of soil erosion by water. Trans. ASAE 1969, 12, 754–758. [Google Scholar]
- Wischmeier, W.H.; Smith, D.D. Predicting Rainfall Erosion Losses—A Guide to Conservation Planning; AH-537; U.S. Department of Agriculture: Beltsville, MD, USA, 1978.
- Morgan, R.P.C. Soil Erosion and Conservation, 3rd edition. Eur. J. Soil Sci. 2005, 56, 681–687. [Google Scholar]
- Ghosh, S.; Guchhait, S.K. Soil loss estimation through USLE and MMF methods in the Lateritic Tracts of Eastern Plateau Fringe of Rajmahal Traps, India. Ethiop. J. Environ. Stud. Manag. 2012, 5, 529–541. [Google Scholar] [CrossRef]
- Deb, P.; Kiem, A.S. Evaluation of rainfall-runoff model performance under non-stationary hydroclimatic conditions. Hydrol. Sci. J. 2020, 65, 1667–1684. [Google Scholar] [CrossRef]
- Behera, R.N.; Nayak, D.K.; Andersen, P.; Måren, I.E. From jhum to broom: Agricultural land-use change and food security implications on the Meghalaya Plateau, India. Ambio 2015, 45, 63–77. [Google Scholar] [CrossRef]
- Saha, R.; Chaudhary, R.S.; Somasundaram, J. Soil Health Management under Hill Agroecosystem of North East India. Appl. Environ. Soil Sci. 2012, 2012, 696174. [Google Scholar] [CrossRef]
- Das, S.; Bora, P.K.; Katre, P. Determining and Mapping of Soil Erodibility Index for Nongpoh Watershed. Indian J. Hill Farming 2019, 32, 27–33. [Google Scholar]
- Lee, S. Geological application of geographic information system. Korea Inst. Geosci. Min. Resour. 2014, 9, 109–118. [Google Scholar]
- Silalahi, F.E.S.; Pamela, A.Y.; Hidayat, F. Landslide susceptibility assessment using frequency ratio model in Bogor, West Java, Indonesia. Geosci. Lett. 2019, 6, 10. [Google Scholar] [CrossRef]
- Olaniya, M.; Bora, P.K.; Das, S.; Chanu, P.H. Soil erodibility indices under different land uses in Ri-Bhoi district of Meghalaya (India). Sci. Rep. 2020, 10, 14986. [Google Scholar] [CrossRef] [PubMed]
- Das, S.; Sarkar, R.; Bora, P.K. Comparative study of estimation of soil erodibility factor for the lower Transact of Ranikhola watershed of east Sikkim. J. Plant Develop. Sci. 2018, 10, 317–322. [Google Scholar]
- Wischmeier, W.H.; Johnson, C.B.; Cross, B.V. A soil erodibility nomograph for farm-land and construction sites. J. Soil Water Conserv. 1971, 26, 189–193. [Google Scholar]
- Deb, P.; Debnath, P.; Denis, A.F.; Lepcha, O.T. Variability of soil physicochemical properties at different agroecological zones of Himalayan region: Sikkim, India. Env. Dev. Sustain. 2019, 21, 2321–2339. [Google Scholar] [CrossRef]
- Polykretis, C.; Alexakis, D.D.; Grillakis, M.G.; Manoudakis, S. Assessment of intra-annual and inter-annual variabilities of soil erosion in Crete Island (Greece) by incorporating the dynamic “Nature” of R and C-Factors in RUSLE modeling. Remote Sens. 2020, 12, 2439. [Google Scholar] [CrossRef]
- Van der Knijff, J.M.; Jones, R.J.A.; Montanarella, L. Soil Erosion Risk Assessment in Europe; EUR 19044 EN; Office for Official Publications of the European Communities: Luxembourg, 2000; p. 34. [Google Scholar]
- Mondal, A.; Khare, D.; Kundu, S. A comparative study of soil erosion modelling by MMF, USLE and RUSLE. J. Geocarto Int. 2018, 33, 89–103. [Google Scholar] [CrossRef]
- Dabral, P.P.; Baithuri, N.; Pandey, A. Soil erosion assessment in a hilly catchment of North Eastern India using USLE, GIS and remote sensing. Water Resour. Manag. 2008, 22, 1783–1798. [Google Scholar] [CrossRef]
- Srivastava, R.K.; Sharma, H.C.; Raina, A.K. Suitability of soil and water conservation measures for watershed management using geographical information system. J. Soil Water Conserv. 2010, 9, 148–153. [Google Scholar]
- Moriasi, D.N.; Arnold, J.G.; Van Liew, M.W.; Bingner, R.L.; Harmel, R.D.; Veith, T.L. Model Evaluation Guidelines for Systematic Quantification of Accuracy in Watershed Simulations. Trans. ASABE 2007, 50, 885–900. [Google Scholar] [CrossRef]
- Pandey, A.; Mathur, A.; Mishra, S.K.; Mal, B.C. Soil erosion modeling of a Himalayan watershed using RS and GIS. Environ. Earth Sci. 2009, 59, 399–410. [Google Scholar] [CrossRef]
- Singh, G.; Babu, R.; Narain, P.; Bhushan, L.S.; Abrol, I.P. Soil erosion rates in India. J. Soil Soil Water Conserv. 1992, 47, 97–99. [Google Scholar]
- Yadav, S.; Deb, P.; Kumar, S.; Pandey, V.; Pandey, P.K. Trends in major and minor meteorological variables and their influence on reference evapotranspiration for mid Himalayan region at east Sikkim, India. J. Mt. Sci. 2016, 13, 302–315. [Google Scholar] [CrossRef]
- Marak, J.D.; Sarma, A.K.; Bhattacharjya, R.K. Innovative trend analysis of spatial and temporal rainfall variations in Umiam and Umatru watersheds in Meghalaya, India. Theor. Appl. Climatol. 2020, 142, 1397–1412. [Google Scholar] [CrossRef]
- Wilkinson, M.T.; Humphreys, G.S. Slope aspect, slope length and slope inclination controls of shallow soils vegetated by sclerophyllous heath—Links to long-term landscape evolution. Geomorphology 2006, 76, 347–362. [Google Scholar] [CrossRef]
- Liu, B.Y.; Nearing, M.A.; Shi, P.J.; Jia, Z.W. Slope length effects on soil loss for steep slopes. Soil Sci. Soc. Am. J. 2000, 64, 1759–1763. [Google Scholar] [CrossRef]
- Han, Z.; Zhong, S.; Ni, J.; Shi, Z.; Wei, C. Define the Slope Length of Newly Reconstructed Gentle-Slope Lands in Hilly Mountainous Regions. Sci. Rep. 2019, 9, 4676. [Google Scholar] [CrossRef]
- Balasubramani, K.; Gomathi, M.; Bhaskaran, G.; Kumaraswamy, K. GIS-based spatial multi-criteria approach for characterization and prioritization of micro-watersheds: A case study of semi-arid watershed, South India. Appl. Geomat. 2019, 11, 289–307. [Google Scholar] [CrossRef]
- Pal, S.C.; Chakrabortty, R. Simulating the Impact of Climate Change on Soil Erosion in Sub-Tropical Monsoon Dominated Watershed Based on RUSLE, SCS Runoff and MIROC5 Climatic Model. Adv. Space Res. 2019, 64, 352–377. [Google Scholar] [CrossRef]
- Dissanayake, D.; Morimoto, T.; Ranagalage, M. Accessing the soil erosion rate based on RUSLE model for sustainable land use management: A case study of the Kotmale watershed, Sri Lanka. Modeling Earth Syst. Environ. 2018, 5, 291–306. [Google Scholar] [CrossRef]
- Ostovari, Y.; Moosavi, A.A.; Pourghasemi, H.R. Soil loss tolerance in calcareous soils of a semi-arid region: Its evaluation, prediction, and influential parameters. Land Degrad. Develop. 2020, 31, 2156–2167. [Google Scholar] [CrossRef]
- Shen, Z.Y.; Gong, Y.W.; Li, Y.H.; Liu, R.M. Analysis and modeling of soil conservation measures in the Three Gorges Reservoir Area in China. Catena 2010, 81, 104–112. [Google Scholar] [CrossRef]
- Bhattacharya, R.K.; Das Chatterjee, N.; Das, K. Land use and land cover change and its resultant erosion susceptible level: An appraisal using RUSLE and Logistic Regression in a tropical plateau basin of West Bengal, India. Environ. Dev. Sustain. 2020, 1–36. [Google Scholar] [CrossRef]
- Bagwan, W.A.; Gavali, R.S. Delineating changes in soil erosion risk zones using RUSLE model based on confusion matrix for the Urmodi river watershed, Maharashtra, India. Modeling Earth Syst. Environ. 2020, 1–14. [Google Scholar] [CrossRef]
- Rajbanshi, J.; Bhattacharya, S. Assessment of soil erosion, sediment yield and basin specific controlling factors using RUSLE-SDR and PLSR approach in Konar river basin, India. J. Hydrol. 2020, 587, 124935. [Google Scholar] [CrossRef]
- Islam, M.R.; Jaafar, W.Z.W.; Hin, L.S.; Osman, N.; Karim, M.R. Development of an erosion model for Langat River Basin, Malaysia, adapting GIS and RS in RUSLE. Appl. Water Sci. 2020, 10, 1–11. [Google Scholar] [CrossRef]
- Byizigiro, R.V.; Rwanyiziri, G.; Mugabowindekwe, M.; Kagoyire, C.; Biryabarema, M. Estimation of Soil Erosion Using RUSLE Model and GIS: The Case of Satinskyi Catchment, Western Rwanda. Rwanda J. Eng. Sci. Technol. Environ. 2020, 3. [Google Scholar] [CrossRef]














| Month | Byrnihat (mm) | Nongpoh (mm) | Umsining (mm) | NESAC * (mm) |
|---|---|---|---|---|
| January | 6.91 | 16.91 | 18.75 | 16.33 |
| February | 12.16 | 20.16 | 20.25 | 25.21 |
| March | 45.78 | 48.79 | 42.25 | 59.25 |
| April | 134.62 | 126.55 | 51.75 | 98.60 |
| May | 244.35 | 204.00 | 239.25 | 428.60 |
| June | 547.80 | 580.80 | 527.75 | 430.20 |
| July | 581.49 | 615.35 | 575.75 | 572.20 |
| August | 528.62 | 548.62 | 455.25 | 510.25 |
| September | 418.25 | 413.25 | 396.25 | 492.25 |
| October | 136.73 | 146.73 | 149.50 | 170.50 |
| November | 12.43 | 14.42 | 13.25 | 37.33 |
| December | 10.72 | 19.21 | 18.50 | 14.67 |
| Yearly | 2679.86 | 2754.80 | 2508.50 | 2855.39 |
| LULC | Area (ha) | Area (%) |
|---|---|---|
| Contour bunding | 4.20 | 1.57 |
| Agriculture | 44.29 | 16.52 |
| Dense forest | 78.80 | 29.39 |
| Open forest | 55.15 | 20.57 |
| Settlement | 49.37 | 18.41 |
| Scrubland | 26.48 | 9.88 |
| Terrace farming | 0.19 | 0.07 |
| Upland paddy field | 8.86 | 3.30 |
| Water body | 0.81 | 0.30 |
| Total | 268.15 | 100.00 |
| Calibration/Validation | Model | NSE | MAE (t/ha/yr) | RMSE (t/ha/yr) |
|---|---|---|---|---|
| Calibration | RUSLE | 0.82 | 1.68 | 2.29 |
| MMF | 0.77 | 4.17 | 4.42 | |
| Validation | RUSLE | 0.73 | 0.95 | 1.51 |
| MMF | 0.71 | 3.69 | 3.85 |
| Factors | MS (%) | BD (Mg m−3) | EHD (m) | COH (KPa) | A | Et/Eo | CC (%) | GC (%) | PH (m) | ER (mm) | LD (mm) | DT (mm) |
|---|---|---|---|---|---|---|---|---|---|---|---|---|
| Range | 0.08–0.45 | 1.2–1.7 | 7–15 | 0–105 | 0–0.35 | 0.05–0.9 | 0–70 | 0–70 | 0–25 | 1718.71–2645.71 | 0–1851.77 | 2645.41–515.62 |
| Average | 0.25 | 1.32 | 11.57 | 70.59 | 0.25 | 0.5 | 36.87 | 36.87 | 23.88 | 1838.08 | 676.62 | 1165.60 |
| RUSLE Model | MMF Model | % Difference | Erosion Class |
|---|---|---|---|
| 59.94 t/ha/yr | 55.30 t/ha/yr | 7.74 | Severe erosion risk |
| LULC | Average Soil Loss (t/ha/yr) | Erosion Area (ha) | Total Area (ha) | % Area |
|---|---|---|---|---|
| Agriculture | 79.10 | 23.83 | 44.29 | 53.80 |
| Dense forest | 53.76 | 26.45 | 78.8 | 33.57 |
| Open forest | 46.39 | 23.45 | 55.15 | 42.52 |
| Scrubland | 62.67 | 19.26 | 49.37 | 39.01 |
| Terracing | 0.00 | 0.00 | 0.19 | 0.00 |
| Upland paddy field | 15.50 | 3.00 | 8.86 | 33.86 |
| Contour bunding | 0.00 | 0.00 | 4.20 | 0.00 |
| Soil Loss (t ha−1 yr-−1) | >40 | >40 | >40 | <40 |
|---|---|---|---|---|
| % slope | 0–8 | 8–33 | >33 | 0–8 |
| LULC | Agriculture | Agriculture | Agriculture | Agriculture |
| Open forest | Open Forest | |||
| Scrubland | Scrubland | Scrubland | ||
| Management plan | Graded/contour bunding | Terracing | Afforestation | Intensive agriculture |
| Management Plan | |||||
|---|---|---|---|---|---|
| LULC | Graded/Contour Bunding (ha) | Afforestation (ha) | Intensive Agriculture (ha) | Terracing (ha) | Total Area (ha) |
| Agriculture | 7.50 | - | 25.12 | 4.19 | 36.81 |
| Open Forest | 0.04 | 10.26 | - | - | 10.31 |
| Scrubland | 0.34 | 12.31 | - | 8.34 | 20.99 |
| Total Area (ha) | 7.88 | 22.57 | 25.12 | 12.53 | 68.01 |
Publisher’s Note: MDPI stays neutral with regard to jurisdictional claims in published maps and institutional affiliations. |
© 2020 by the authors. Licensee MDPI, Basel, Switzerland. This article is an open access article distributed under the terms and conditions of the Creative Commons Attribution (CC BY) license (http://creativecommons.org/licenses/by/4.0/).
Share and Cite
Das, S.; Deb, P.; Bora, P.K.; Katre, P. Comparison of RUSLE and MMF Soil Loss Models and Evaluation of Catchment Scale Best Management Practices for a Mountainous Watershed in India. Sustainability 2021, 13, 232. https://doi.org/10.3390/su13010232
Das S, Deb P, Bora PK, Katre P. Comparison of RUSLE and MMF Soil Loss Models and Evaluation of Catchment Scale Best Management Practices for a Mountainous Watershed in India. Sustainability. 2021; 13(1):232. https://doi.org/10.3390/su13010232
Chicago/Turabian StyleDas, Susanta, Proloy Deb, Pradip Kumar Bora, and Prafull Katre. 2021. "Comparison of RUSLE and MMF Soil Loss Models and Evaluation of Catchment Scale Best Management Practices for a Mountainous Watershed in India" Sustainability 13, no. 1: 232. https://doi.org/10.3390/su13010232
APA StyleDas, S., Deb, P., Bora, P. K., & Katre, P. (2021). Comparison of RUSLE and MMF Soil Loss Models and Evaluation of Catchment Scale Best Management Practices for a Mountainous Watershed in India. Sustainability, 13(1), 232. https://doi.org/10.3390/su13010232

