Biostimulation of Microbial Communities from Malaysian Agricultural Soil for Detoxification of Metanil Yellow Dye; a Response Surface Methodological Approach
Abstract
1. Introduction
2. Materials and Methods
2.1. Isolation and Screening of Mixed Cultures of Bacteria from Agricultural Soil
2.2. Identification of the Chosen Mixed Bacterial Culture Using Metagenomic Analysis
2.3. Optimisation of Significant Parameters Using Response Surface Methodology (RSM)
2.4. Effect of Different Initial Dye Concentrations on Dye Decolorisation and Bacterial Growth
2.5. Effect of Heavy Metal Ions on Dye Decolorisation
3. Results
3.1. Isolation and Screening of Mixed Cultures of Bacteria from the Soil Sample
3.2. Metagenomic Analysis of Mixed Bacterial Culture
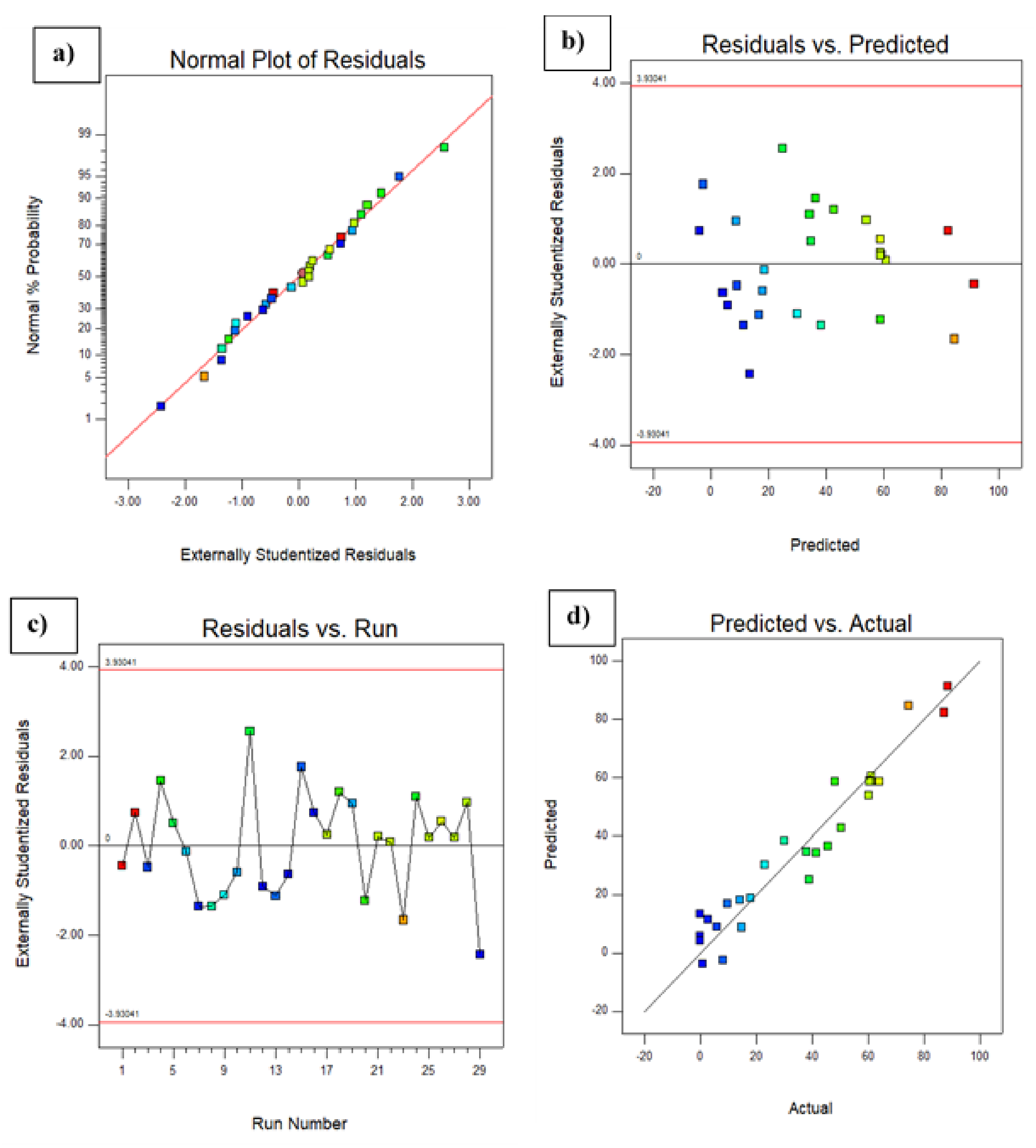
3.3. Optimisation of Significant Variables Using the Box-Behnken Design (BBD)
3.4. Determination and Validation of Optimal Conditions
3.5. Effects of Different Initial Dye Concentration on Dye Decolorisation and Bacterial Growth
3.6. Response Surface Plots of the Affecting Parameters
4. Discussion
5. Conclusions
Author Contributions
Funding
Conflicts of Interest
References
- Singh, R.P.; Singh, P.K.; Singh, R.L. Bacterial Decolorization of Textile Azo Dye Acid Orange by Staphylococcus hominis RMLRT03. Toxicol. Int. 2014, 21, 160–166. [Google Scholar] [CrossRef]
- Anjaneya, O.; Souche, S.Y.; Santoshkumar, M.; Karegoudar, T.B. Decolorization of sulfonated azo dye Metanil Yellow by newly isolated bacterial strains: Bacillus sp. strain AK1 and Lysinibacillus sp. strain AK2. J. Hazard. Mater. 2011, 190, 351–358. [Google Scholar] [CrossRef] [PubMed]
- Aksu, Z.; Kılıç, N.K.; Ertuğrul, S.; Dönmez, G. Inhibitory effects of chromium(VI) and Remazol Black B on chromium(VI) and dyestuff removals by Trametes versicolor. Enzym. Microb. Technol. 2007, 40, 1167–1174. [Google Scholar] [CrossRef]
- Hao, O.; Kim, H.; Chiang, P.-C. Decolorization of Wastewater. Crit. Rev. Environ. Sci. Technol. 1999, 30, 449–505. [Google Scholar] [CrossRef]
- Moreira, R.; Peruch, M.G.; Kuhnen, N.C. Adsorption of textile dyes on alumina. Equilibrium studies and contact time effects. Braz. J. Chem. Eng. 1998, 15. [Google Scholar] [CrossRef]
- Sarioglu, M.; Bali, U.; Bisgin, T. The removal of C.I. Basic Red 46 in a mixed methanogenic anaerobic culture. Dye. Pigment. 2007, 74, 223–229. [Google Scholar] [CrossRef]
- Wang, H.; Su, J.; Zheng, X.; Tian, Y.; Xiong, X.; Zheng, T. Bacterial decolorization and degradation of the reactive dye Reactive Red 180 by Citrobacter sp. CK3. Int. Biodeterior. Biodegrad. 2009, 63, 395–399. [Google Scholar] [CrossRef]
- Pandey, A.; Singh, P.; Iyengar, L. Bacterial decolorization and degradation of azo dyes. Int. Biodeterior. Biodegrad. 2007, 59, 73–84. [Google Scholar] [CrossRef]
- Alabdraba, W.; Bayati, M. Biodegradation of Azo Dyes a Review. Int. J. Environ. Eng. Nat. Resour 2014, 1, 179–189. [Google Scholar]
- Sarkar, S.; Banerjee, A.; Halder, U.; Biswas, R.; Bandopadhyay, R. Degradation of Synthetic Azo Dyes of Textile Industry: A Sustainable Approach Using Microbial Enzymes. Water Conserv. Sci. Eng. 2017, 2, 121–131. [Google Scholar] [CrossRef]
- Moosvi, S.; Kher, X.; Madamwar, D. Isolation, characterization and decolorization of textile dyes by a mixed bacterial consortium JW-2. Dye. Pigment. 2007, 74, 723–729. [Google Scholar] [CrossRef]
- Jain, K.; Shah, V.; Chapla, D.; Madamwar, D. Decolorization and degradation of azo dye – Reactive Violet 5R by an acclimatized indigenous bacterial mixed cultures-SB4 isolated from anthropogenic dye contaminated soil. J. Hazard. Mater. 2012, 213–214, 378–386. [Google Scholar] [CrossRef]
- Sharma, D.C.; Satyanarayana, T. A marked enhancement in the production of a highly alkaline and thermostable pectinase by Bacillus pumilus dcsr1 in submerged fermentation by using statistical methods. Bioresour. Technol. 2006, 97, 727–733. [Google Scholar] [CrossRef]
- Ghosh, A.; Mehta, A.; Khan, A.M. Metagenomic Analysis and its Applications. In Encyclopedia of Bioinformatics and Computational Biology; Ranganathan, S., Gribskov, M., Nakai, K., Schönbach, C., Eds.; Academic Press: Oxford, UK, 2019; pp. 184–193. [Google Scholar] [CrossRef]
- Streit, W.R.; Schmitz, R.A. Metagenomics – the key to the uncultured microbes. Curr. Opin. Microbiol. 2004, 7, 492–498. [Google Scholar] [CrossRef]
- Thomas, T.; Jack, G.; Meyer, F. Metagenomics-A guide from sampling to data analysis. Microb. Inform. Exp. 2012, 2, 3. [Google Scholar] [CrossRef]
- Bashir, Y.; Singh, S.; Konwar, B. Review Article Metagenomics: An Application Based Perspective. Hindawi Publ. Corp. Chin. J. Biol. 2014, 2014, 1–7. [Google Scholar] [CrossRef]
- Murugesan, K.; Dhamija, A.; Nam, I.-H.; Kim, Y.-M.; Chang, Y.-S. Decolourization of reactive black 5 by laccase: Optimization by response surface methodology. Dye. Pigment. 2007, 75, 176–184. [Google Scholar] [CrossRef]
- Pokharia, A.; Singh, S. Isolation and Screening of Dye Decolorizing Bacterial Isolates from Contaminated Sites. Text. Light Ind. Sci. Technol. 2013, 2, 54–61. [Google Scholar]
- Chakravorty, S.; Helb, D.; Burday, M.; Connell, N.; Alland, D. A detailed analysis of 16S ribosomal RNA gene segments for the diagnosis of pathogenic bacteria. J. Microbiol. Methods 2007, 69, 330–339. [Google Scholar] [CrossRef]
- De Mandal, S.; Sanga, Z.; Nachimuthu, S.K. Metagenomic Analysis of Bacterial Community Composition among the Cave Sediments of Indo-Burman Biodiversity Hotspot Region; PeerJ PrePrints: Corte Madera, CA, USA; London, UK, 2014; pp. 2167–9843. [Google Scholar]
- Sanusi, S.N.A.; Halmi, M.I.E.; Abdullah, S.R.S.; Hassan, H.A.; Hamzah, F.M.; Idris, M. Comparative process optimization of pilot-scale total petroleum hydrocarbon (TPH) degradation by Paspalum scrobiculatum L. Hack using response surface methodology (RSM) and artificial neural networks (ANNs). Ecol. Eng. 2016, 97, 524–534. [Google Scholar] [CrossRef]
- Halmi, M.I.E.b.; Abdullah, S.R.S.; Wasoh, H.; Johari, W.L.W.; Ali, M.S.b.M.; Shaharuddin, N.A.; Shukor, M.Y. Optimization and maximization of hexavalent molybdenum reduction to Mo-blue by Serratia sp. strain MIE2 using response surface methodology. Rend. Lincei 2016, 27, 697–709. [Google Scholar] [CrossRef]
- Toolabi, A.; Malakootian, M.; Taghi Ghaneian, M.; Esrafili, A.; Ehrampoush, M.; Askarishahi, M.; Tabatabaei, M.; Khatami, M. Optimizing the photocatalytic process of removing diazinon pesticide from aqueous solutions and effluent toxicity assessment via a response surface methodology approach. Rend. Lincei 2019, 30, 155–165. [Google Scholar] [CrossRef]
- Gunawan, E.; Basri, M.; Rahman, M.; Bakar Salleh, A.; Rahman, R. Study on response surface methodology (RSM) of lipase-catalyzed synthesis of palm-based wax ester. Enzym. Microb. Technol. 2005, 37, 739–744. [Google Scholar] [CrossRef]
- Sharma, P.; Singh, L.; Dilbaghi, N. Optimization of process variables for decolorization of Disperse Yellow 211 by Bacillus subtilis using Box–Behnken design. J. Hazard. Mater. 2009, 164, 1024–1029. [Google Scholar] [CrossRef]
- Khehra, M.S.; Saini, H.S.; Sharma, D.K.; Chadha, B.S.; Chimni, S.S. Decolorization of various azo dyes by bacterial consortium. Dye. Pigment. 2005, 67, 55–61. [Google Scholar] [CrossRef]
- Khehra, M.S.; Saini, H.S.; Sharma, D.K.; Chadha, B.S.; Chimni, S.S. Comparative studies on potential of consortium and constituent pure bacterial isolates to decolorize azo dyes. Water Res. 2005, 39, 5135–5141. [Google Scholar] [CrossRef]
- Tony, B.D.; Goyal, D.; Khanna, S. Decolorization of textile azo dyes by aerobic bacterial consortium. Int. Biodeterior. Biodegrad. 2009, 63, 462–469. [Google Scholar] [CrossRef]
- Patil, P.S.; Shedbalkar, U.U.; Kalyani, D.C.; Jadhav, J.P. Biodegradation of Reactive Blue 59 by isolated bacterial consortium PMB11. J. Ind. Microbiol. Biotechnol. 2008, 35, 1181–1190. [Google Scholar] [CrossRef]
- Sudha, M.; Saranya, A.; Gopal, S.; Natesan, S. Microbial degradation of Azo Dyes: A review. Int. J. Curr. Microbiol. Appl. Sci. 2014, 3, 670–690. [Google Scholar]
- Contreras, M.; Grande-Tovar, C.; Vallejo, W.; Lòpez, C. Bio-Removal of Methylene Blue from Aqueous Solution by Galactomyces geotrichum KL20A. Water 2019, 11, 282. [Google Scholar] [CrossRef]
- Shah, M.P.; Patel, K.A.; Nair, S.S.; Darji, A. Microbial decolorization of methyl orange dye by Pseudomonas spp. ETL-M. Int. J. Environ. Bioremediation Biodegrad. 2013, 1, 54–59. [Google Scholar]
- Li, H.-H.; Wang, Y.-T.; Wang, Y.; Wang, H.-X.; Sun, K.-K.; Lu, Z.-M. Bacterial degradation of anthraquinone dyes. J. Zhejiang Univ.-Sci. B 2019, 20, 528–540. [Google Scholar] [CrossRef]
- Gauthier, P.T.; Norwood, W.P.; Prepas, E.E.; Pyle, G.G. Metal–PAH mixtures in the aquatic environment: A review of co-toxic mechanisms leading to more-than-additive outcomes. Aquat. Toxicol. 2014, 154, 253–269. [Google Scholar] [CrossRef]
- Igiri, B.; Okoduwa, S.I.R.; Idoko, G.; Akabuogu, E.; Adeyi, O.; Ejiogu, I. Toxicity and Bioremediation of Heavy Metals Contaminated Ecosystem from Tannery Wastewater: A Review. J. Toxicol. 2018, 2018, 2568038. [Google Scholar] [CrossRef]
- Murugesan, K.; Kim, Y.-M.; Jeon, J.-R.; Chang, Y.-S. Effect of metal ions on reactive dye decolorization by laccase from Ganoderma lucidum. J. Hazard. Mater. 2009, 168, 523–529. [Google Scholar] [CrossRef]






| Parameters | Unit | Upper Limit | Lower Limit |
|---|---|---|---|
| Dye concentration | mg/L | 200.0 | 50.0 |
| Glucose concentration | % | 2.0 | 0.5 |
| Ammonium sulphate concentration | g/L | 1.0 | 0.1 |
| pH | 6.0 | 7.5 |
| Run | Factor 1 A: Dye Concentration (mg/L) | Factor 2: B: Glucose Concentration (%) | Factor 3: C: Ammonium Sulphate Concentration (g/L) | Factor 4: D: pH |
|---|---|---|---|---|
| 1 | 50 | 2.00 | 0.55 | 6.75 |
| 2 | 50 | 1.25 | 0.55 | 7.50 |
| 3 | 125 | 1.25 | 1.00 | 6.00 |
| 4 | 125 | 1.25 | 1.00 | 7.50 |
| 5 | 200 | 1.25 | 0.55 | 7.50 |
| 6 | 200 | 1.25 | 1.00 | 6.75 |
| 7 | 200 | 1.25 | 0.55 | 6.00 |
| 8 | 125 | 2.00 | 1.00 | 6.75 |
| 9 | 50 | 1.25 | 0.55 | 6.00 |
| 10 | 50 | 0.50 | 0.55 | 6.75 |
| 11 | 125 | 200 | 0.55 | 6.00 |
| 12 | 125 | 1.25 | 0.10 | 6.00 |
| 13 | 200 | 1.25 | 0.10 | 6.75 |
| 14 | 125 | 0.50 | 1.00 | 6.75 |
| 15 | 125 | 0.50 | 0.55 | 6.00 |
| 16 | 125 | 0.50 | 0.10 | 6.75 |
| 17 | 125 | 1.25 | 0.55 | 6.75 |
| 18 | 50 | 1.25 | 1.00 | 6.75 |
| 19 | 200 | 0.50 | 0.55 | 6.75 |
| 20 | 125 | 1.25 | 0.55 | 6.75 |
| 21 | 50 | 1.25 | 0.10 | 6.75 |
| 22 | 125 | 2.00 | 0.10 | 6.75 |
| 23 | 125 | 2.00 | 0.55 | 7.50 |
| 24 | 200 | 2.00 | 0.55 | 6.75 |
| 25 | 125 | 1.25 | 0.55 | 6.75 |
| 26 | 125 | 1.25 | 0.55 | 6.75 |
| 27 | 125 | 1.25 | 0.55 | 6.75 |
| 28 | 125 | 1.25 | 0.10 | 7.50 |
| 29 | 125 | 0.50 | 0.55 | 7.50 |
| Run | Factor 1 A: Dye Concentration (mg/L) | Factor 2: B: Glucose Concentration (%) | Factor 3: C: Ammonium sulphate Concentration (g/L) | Factor 4: D: pH | Decolorization (%) | Prediction by RSM (%) |
|---|---|---|---|---|---|---|
| 1 | 50 | 2.00 | 0.55 | 6.75 | 88.35 | 95.8 |
| 2 | 50 | 1.25 | 0.55 | 7.50 | 87.14 | 75.53 |
| 3 | 125 | 1.25 | 1.00 | 6.00 | 5.85 | −4.49 |
| 4 | 125 | 1.25 | 1.00 | 7.50 | 45.43 | 40.95 |
| 5 | 200 | 1.25 | 0.55 | 7.50 | 38.00 | 27.87 |
| 6 | 200 | 1.25 | 1.00 | 6.75 | 17.85 | 20.95 |
| 7 | 200 | 1.25 | 0.55 | 6.00 | 2.86 | 13.62 |
| 8 | 125 | 2.00 | 1.00 | 6.75 | 29.92 | 40.61 |
| 9 | 50 | 1.25 | 0.55 | 6.00 | 23.00 | 32.27 |
| 10 | 50 | 0.50 | 0.55 | 6.75 | 14.20 | 22.57 |
| 11 | 125 | 2.00 | 0.55 | 6.00 | 39.00 | 27.30 |
| 12 | 125 | 1.25 | 0.10 | 6.00 | 0.00 | 10.34 |
| 13 | 200 | 1.25 | 0.10 | 6.75 | 9.60 | 9.97 |
| 14 | 125 | 0.50 | 1.00 | 6.75 | 0.00 | 6.41 |
| 15 | 125 | 0.50 | 0.55 | 6.00 | 8.02 | −0.32 |
| 16 | 125 | 0.50 | 0.10 | 6.75 | 0.93 | −10.61 |
| 17 | 125 | 1.25 | 0.55 | 6.75 | 61.08 | 58.77 |
| 18 | 50 | 1.25 | 1.00 | 6.75 | 50.35 | 44.98 |
| 19 | 200 | 0.50 | 0.55 | 6.75 | 14.86 | 13.27 |
| 20 | 125 | 1.25 | 0.55 | 6.75 | 48.02 | 58.77 |
| 21 | 50 | 1.25 | 0.10 | 6.75 | 60.36 | 52.25 |
| 22 | 125 | 2.00 | 0.10 | 6.75 | 61.19 | 53.98 |
| 23 | 125 | 2.00 | 0.55 | 7.50 | 74.48 | 77.81 |
| 24 | 200 | 2.00 | 0.55 | 6.75 | 41.29 | 38.78 |
| 25 | 125 | 1.25 | 0.55 | 6.75 | 60.50 | 58.77 |
| 26 | 125 | 1.25 | 0.55 | 6.75 | 63.77 | 58.77 |
| 27 | 125 | 1.25 | 0.55 | 6.75 | 60.49 | 58.77 |
| 28 | 125 | 1.25 | 0.10 | 7.50 | 6.20 | 22.41 |
| 29 | 125 | 0.50 | 0.55 | 7.50 | 0.00 | 6.69 |
| Source | Sum of Squares | df | Mean Squares | F Value | p-Value Prob > F | |
|---|---|---|---|---|---|---|
| Model | 20132.04 | 14 | 1438 | 10.43 | <0.0001 | significant |
| A-Dye concentration | 3298.09 | 1 | 3298.09 | 23.93 | 0.0002 | |
| B-Glucose concentration | 7312.19 | 1 | 7312.19 | 53.05 | <0.0001 | |
| C-Ammonium sulphate concentration | 10.3 | 1 | 10.3 | 0.075 | 0.7885 | |
| D-pH | 2480.26 | 1 | 2480.26 | 17.99 | 0.0008 | |
| AB | 569.3 | 1 | 569.3 | 4.13 | 0.0616 | |
| AC | 83.36 | 1 | 83.36 | 0.6 | 0.4497 | |
| AD | 210.25 | 1 | 210.25 | 1.53 | 0.2372 | |
| BC | 230.13 | 1 | 230.13 | 1.67 | 0.2173 | |
| BD | 473.06 | 1 | 473.06 | 3.43 | 0.0851 | |
| CD | 278.56 | 1 | 278.56 | 2.02 | 0.1771 | |
| A2 | 73.09 | 1 | 73.09 | 0.53 | 0.4785 | |
| B2 | 1064.3 | 1 | 1064.3 | 7.72 | 0.0148 | |
| C2 | 3545.47 | 1 | 3545.47 | 25.72 | 0.0002 | |
| D2 | 2123.12 | 1 | 2123.12 | 15.4 | 0.0015 | |
| Residual | 1929.84 | 14 | 137.85 | |||
| Lack of fit | 1777.99 | 10 | 177.8 | 4.68 | 0.075 | Not significant |
| Pure error | 151.85 | 4 | 37.96 | |||
| Cor total | 22061.88 | 28 |
| Dye Concentration (mg/L) | Glucose Concentration (%) | Ammonium Sulphate Concentration (g/L) | pH | Decolorization (%) | Desirability |
|---|---|---|---|---|---|
| 73 | 1.934 | 0.433 | 7.097 | 97.551 | 1 |
Publisher’s Note: MDPI stays neutral with regard to jurisdictional claims in published maps and institutional affiliations. |
© 2020 by the authors. Licensee MDPI, Basel, Switzerland. This article is an open access article distributed under the terms and conditions of the Creative Commons Attribution (CC BY) license (http://creativecommons.org/licenses/by/4.0/).
Share and Cite
Muliadi, F.N.A.; Halmi, M.I.E.; Wahid, S.B.A.; Gani, S.S.A.; Zaidan, U.H.; Mahmud, K.; Abd Shukor, M.Y. Biostimulation of Microbial Communities from Malaysian Agricultural Soil for Detoxification of Metanil Yellow Dye; a Response Surface Methodological Approach. Sustainability 2021, 13, 138. https://doi.org/10.3390/su13010138
Muliadi FNA, Halmi MIE, Wahid SBA, Gani SSA, Zaidan UH, Mahmud K, Abd Shukor MY. Biostimulation of Microbial Communities from Malaysian Agricultural Soil for Detoxification of Metanil Yellow Dye; a Response Surface Methodological Approach. Sustainability. 2021; 13(1):138. https://doi.org/10.3390/su13010138
Chicago/Turabian StyleMuliadi, Fatin Natasha Amira, Mohd Izuan Effendi Halmi, Samsuri Bin Abdul Wahid, Siti Salwa Abd Gani, Uswatun Hasanah Zaidan, Khairil Mahmud, and Mohd Yunus Abd Shukor. 2021. "Biostimulation of Microbial Communities from Malaysian Agricultural Soil for Detoxification of Metanil Yellow Dye; a Response Surface Methodological Approach" Sustainability 13, no. 1: 138. https://doi.org/10.3390/su13010138
APA StyleMuliadi, F. N. A., Halmi, M. I. E., Wahid, S. B. A., Gani, S. S. A., Zaidan, U. H., Mahmud, K., & Abd Shukor, M. Y. (2021). Biostimulation of Microbial Communities from Malaysian Agricultural Soil for Detoxification of Metanil Yellow Dye; a Response Surface Methodological Approach. Sustainability, 13(1), 138. https://doi.org/10.3390/su13010138

