Abstract
In this study, we used long time series Landsat data and ecosystem services coefficients for global and Chinese ecosystems during 1978–2018 to estimate the influences of land-use change on ecosystem services (ES) in Kaidu–Kongque River Basin (KKRB), where both socioeconomic progress and the arid, fragile natural environment have considerable affected land-use change. The results showed that (1) the total value of ES in the KKRB was about USD 8111.5, 7995.31, 8275.74, 8131.91, and 8016.38 million in 1978, 1988, 1998, 2008, and 2018, respectively. The net ecosystem service value (ESV) loss was about USD 116.19 million for 1978–1988, the net ESV profit was about USD 280.43 million for 1988–1998, and the net ESV loss was about USD 259.36 million for 1998–2018. (2) Water supply and waste treatment function were the top two ecological functions with high service value; their combined contribution rate was 59.3%, indicating that the regulating service function in this study area is higher than the provision services function. (3) The high to low ranking for each ecosystem function based on their contribution rate to overall ES value was water supply > waste treatment > climate regulation > biodiversity protection > recreation and culture > soil formation > gas regulation > food production > raw material. These results are significant for the continuation of the integrity and sustainability of the mountain–oasis–desert region ecosystem, where socioeconomic progress and the fragile characteristics of the natural ecosystem complement each other. The results of this study provide scientific evidence for governmental decision makers and local residents and offer a reference for environmental researchers in northwest China.
1. Introduction
Ecosystems are the life-supporting and life-sustaining systems of Earth’s natural environment, which includes humans and other organisms. Ecosystems directly or indirectly provide a wide range of multiple services, e.g., by supporting foods and goods, storing carbon, purifying the atmosphere, conserving biodiversity, and regulating climate [1,2,3]. As a main part of the biosphere, each ecosystem service (ES) has unique characteristics that cannot be replaced by other ESs. They play an important role in maintaining the environment, and are becoming increasingly essential for understanding the various benefits provided by ecosystems [4]. An ecosystem can be defined as the conditions and processes that contribute to human and other living organisms’ survival and welfare by providing material and nonmaterial benefits [5]. Each individual function of an ES is critical for maintaining survival on Earth and to the continued development of the ecosystem [6]. The integration of ecological and economic concepts has significantly contributed to the sustainable development of Earth’s environment [7]. In recent years, ecosystem service value (ESV) has become a main topic in environmental ecology and ecological economics research [8]. Due to irrational human activities and global climate change, ESs are experiencing considerable and continually increasing pressure [9]. As the main carrier for various terrestrial ecosystems, change of land use and land cover structure is expected to result in a variety of ecosystem types, areas, and their spatial distributions [10]. Human activities are the main factor affecting ES function via land-use/land-cover change (LULCC) [11]. LULCC is the main factor determining the evaluation of ES function, the land-use structure change, and the dynamic process of most landscapes throughout the world, especially in arid and semiarid regions [12]. LULCC can change ESs through agricultural development, animal husbandry, human living environments, urbanization, built up areas, and mining [13]. Changes to the mode of land use would directly affect the intensities and function of provided ecosystem services. To quantify this, we can account for the regional ecosystem services value, giving us a measure for the effects of changes to land use and land cover on the natural environment [14]. On a larger scale, such measurements always lead to a better recognition of the complex relationships between nature and society. Given this, valuation of ecosystem services has been widely adopted at different scales. Such monetization has provided vital insights into and guidance for land and environmental managers, policymakers, and stakeholders regarding optimal ecosystem service provision and land-use planning [15]. However, the Millennium Ecosystem Assessment (MEA) result showed that two-thirds of all ecosystem services have decreased during the last 50 years, and this decrease is likely to have a large negative influence on human welfare [16]. These negative impacts of LULCC on ESs vary, and mainly result in loss of balance between the provision of ecosystem services and demands of humans and other organisms [17].
Over the recent years, land use and land cover changes in China have shown an increasing trend of speed, depth, and breadth. Their resulting effects have only increased, highlighting the importance of global research into land use and land cover changes [18]. The demand for resources and environment from the increasing societal economic and population growth is beyond the supply capacity of natural ecosystem resources and environments. As such, continued human survival and development will eventually face severe challenges [19]. For instance, it is particularly true that mountain–oasis–desert ecosystem is a typical ecosystem in northwest China; these fragile ecosystems can be easily affected by land use and land cover changes [20].
As we mentioned above, economic valuation of ESs has been an important aspect of ecological economic research [21]. In the past several decades, numerous studies have been conducted to estimate various ESVs. Costanza et al. [22] estimated the global biospheric value of 17 ESs provided by 16 dominant global biomes; Zhang et al. [23] calculated the economic value of endangered species management; Kreuter et al. [24] estimated the change in the ESV for the San Antonio, Texas, area; Zhao et al. [25] assessed the ESV of the land-use change on Chongqing Island, China; and Mamattursun et al. [26] assessed variations in ESV in the Kirya Oasis in western China. These studies have shown that LULCC plays a vital role in environmental and ecological changes. These changes may have dire consequences for the natural environment by altering the ecosystem processes and services [27,28]. To highlight the effect of LULCC on ESV, many studies have estimated the various ESVs around the world, and the relationship between land-use changes and ESV has been explored in scientific papers. These studies have demonstrated that using land-use data is an efficient method for estimating ESV. Studies also indicated that economic progress conflicts with ES if it does not comply with natural ecological principles and laws. However, quantitative research on LULCC and ESV at the regional level for mountain–oasis–desert areas is limited, especially for the estimation of ESV in arid land with rivers and valleys. We selected the Kaidu–Kongque River Basin (KKRB) in northwest China as the study area because, since the late 1970s, the KKRB has been subjected to nearly 50 years of water and soil development and also experienced drastic climate change. From 1978 to 2018, the population increased by 1.6% and socioeconomic progress in this region was significant, and large-scale water management activities were implemented. These factors may have caused considerable LULCC in the area, resulting in dramatic changes in ES function. In this study, based on the land-use land cover (LULC) classification data derived from Landsat series data, such as multispectral scanner (MSS)/thematic mapper (TM)/enhanced thematic mapper (ETM)/operational land imager (OLI) images in 1978, 1988, 1998, 2008, and 2018, as well as the governmental socioeconomic statistics and field investigation data, we calculated the LULCC and its impact in the KKRB during 1978–2018. The main objectives of this research were to (1) estimate the long-term oasis LULCC; (2) calculate changes in ES on the regional scale by examining variation in ESs using value coefficients from 1978 to 2018 and socioeconomic progress on time series ESV; (3) determine how arid land, river, and valley land-use changes affect the value of the ESs in the KKRB; and (4) identify natural and social factors affecting the ESV in the KKRB. These quantitative analyses are urgently important for application in land-use planning of arid land river basins and for offering scientific guidance regarding the eco-environmental protection and sustainable development of arid land in the KKRB.
2. Materials and Methods
2.1. Study Site
The KKRB, located 40°31′–43°54′ N and 82°7′–89°73′ E, has an area of 74,582 km2, is situated on the southern slope of the Tianshan Mountains and the north part of the Taklimakan Desert. It contains Bosten Lake, Kaidu River, Kongque River, and five counties including Bohu, Hejing, Heshuo, Yanqi, and Yuli, as well as the city of Kuerle (Figure 1).
Figure 1.
The location of the Kaidu–Kongque River Basin (KKRB) in northwest China.
Bosten Lake is the largest inland freshwater lake in northwest China, with a surface area of approximately 1.3 × 104 km2. The lake’s total water volume is about 8.8 × 109 m3, with a maximum depth of 16 m and average depth of 8 m. Bosten Lake is where the Kaidu River ends and the Kongque River begins [29]. Topographically, the KKRB is characterized by large mountain ranges in the northwest, oases in the lower–middle narrow plains, and vast desert in the southeast. The KKRB has a typical inner-continental climate, with an annual average temperature of 7.5 ℃ and annual average precipitation of 130.44 mm. The temperature and precipitation in mountain, oasis and desert area are different each other and maximum, minimum, average value of temperature and precipitation in the mountain, oasis and desert were shown in the Table 1. During the period of 1978–2018, the average annual runoff of the Kaidu River was about 36.89 × 108 m3.
Table 1.
The temperature and precipitation in the mountains, oases, and desert in the KKRB.
2.2. Data Collection
To calculate the ESV in the KKRB from 1978 to 2018, we used land-use data, socioeconomic data, an equivalent ESV coefficient, and local development policies. The land-use data were acquired using multi-period and differential-resolution remote sensing data, including Landsat TM/ETM and OLI images in 1978, 1988, 1998, 2008, and 2018, which were freely obtained from the United States Geological Survey (USGS) website. The socioeconomic data and local development policy materials were obtained from Chinese statistical yearbooks and the related literature.
2.3. Land-Use Classification
Remote sensing data geometric corrections and masking were performed using ENVI 5.0 image software based on the 1:10,000 topographic maps. All databases were re-projected to the Universal Transfer Mercator (UTM) Zone 43N with World Geodetic System (WGS-1984) data [30].
After geometric correction and geo-referencing, the average location errors in the images were controlled to less than one pixel. We obtained the KKRB’s LULCC data from TM/ETM/OLI imagery. The band combination was bands 5, 4, and 3, and visual interpretation was based on image specifications such as shape, color, shading, size, structure, texture, and other spatial distributions of each type of land cover [31]. Considering the actual conditions, we used a classification system with eight land types that included crop land, forest land, grass land, water body, built-up land, wet land, saline land, and Gobi. The accuracy of the results was validated according to field observation data. A brief description of the classified land-use types is given in Table 2.
Table 2.
Land-use land covers definition in the KKRB.
2.4. Ecosystem Service Value (ESV) Assignment
To evaluate the ESV for each of the eight land-use categories, each category was compared with various biomes that were identified both worldwide and in China [32,33]. Because some of these services estimated by Costanza et al. in 1997 are not suitable for China, Xie et al., based on Costanza et al.’s indices, modified the value coefficient for the Chinese natural ecosystems. In the study, we determined ESV per unit area for each land-use type according to the equivalent coefficient value of ecosystems suggested by Xie et al. (Table 3) [34].
Table 3.
Ecosystem service value (ESV) of unit area of different land-use categories (USD·ha−1·year−1).
2.5. Calculation of ESV
In this study, the ESV and value of ecosystem service function (ESF) each refer to the land-use type in the KKRB. They were calculated as follows:
where ESVk, ESVf, and ESV represent the ecosystem service value of land-use type k, the ecosystem service function value of service function type f, and the total ecosystem service value, respectively; Ak is the area (ha) for land-use type k; VCkf is the value coefficient (USD·ha−1·a−1) for land-use type k; and f is the ESF type. The variation in ESV was estimated by calculating the estimated values for each land-use type in 1978, 1988, 1998, 2008, and 2018.
3. Results
3.1. Dynamics of Land-Use/Land-Cover Changes (LULCC)
The classification result of the land-use changes in the KKRB during 1978–2018 are shown in Table 4 and Figure 2. The LULCC over the 41-year period indicates that Gobi remains the dominant land cover type in the KKRB; it decreased from 47.83% of the entire area in 1978 to 47.13% in 2018. The second largest cover is grass land, which decreased from 33.97% of the entire area in 1978 to 31.81% in 2018. Considering the LULCC classification result shown in Figure 2 and Figure 3, the most obvious change in the LULCC occurred in the interior and central parts of the study area, where oasis land cover was affected by intense human activity.
Table 4.
Patterns of land-use change in the KKRB in 1978, 1988, 1998, 2008, and 2018.
Figure 2.
Land-use maps of KKRB in 1978, 1988, 1998, 2008, and 2018.
Figure 3.
Land-use transfer map of KKRB during 1978–2018. Crop land, forest land, grass land, water body, built-up land, wet land, saline land, and Gobi are referred to as 1, 2, 3, 4, 5, 6, 7, and 8, respectively. For example, 1–2 refers to the land-use change from crop land to forest, and other expressions follow the same pattern.
Crop land increased from 3.33% of total land in 1978 to 5.50% in 2018. Forest land increased from 0.73% total land in 1978 to 0.92% in 2018. Water body first decreased, then increased, and then decreased again, decreasing overall from 8.27% of total land in 1978 to 8.10% in 1988, then increasing to 8.29% in 2008, and then decreasing to 8.16% in 2018. Built-up land also showed an increasing trend from 0.16% of total land in 1978 to 0.59% in 2018. Wet land displayed a decreasing, increasing, and then decreasing trend, and decreased overall from 2.12% of total land in 1978 to 1.97% in 2018. Saline land first increased then decreased, increasing from 3.59% of total land in 1978 to 3.95% of total land in 2008 and then decreased to 3.92% in 2018, but the overall trend was increasing during the study period. In the KKRB, although the calculated sizes of wet land and water body were relatively small, these two land types play significant roles in ESs and have high service values. The total wet land and water body area was only about 10.3% of the total area, but provided most of the ESV in the study area. The large change in wet land, water body, and the simultaneous expansion in crop land resulted from rapid agricultural development, inadequate regulations for wet land protection, and unreasonable management and use of water resources.
3.2. Land-Use Conversion
The land-use/land-cover classification maps show that land use in the KKRB considerably changed during the 41-year period (Figure 3). The grass land in the northwest mountain areas dramatically decreased after 1978, being converted to crop land. In the oases that are located in the middle and central parts of the KKRB, crop land has obviously increased around Bosten Lake since 1978. Table 4 displays the dynamics of all eight land-use/land-cover types in terms of total area and percentage. Crop land, forest land, built-up land, and saline land increased; grass land, water body, wet land, and Gobi decreased. The matrices in Table 5 show the land use/cover changes during the two 41-year periods. The figures on the diagonal of a matrix (bold values) are the amounts of those land use/cover types that did not change (persistence) during that period, whereas the off-diagonals indicate the gains, losses, and trajectories of the conversions. For example, Table 5 reveals that out of the 2487 × 103 ha of the crop land in year 1978, 2145 × 103 ha were unchanged, while 46 × 103 ha, 179 × 103, 1 × 103, 64 × 103, 2 × 103, 11 × 103, and 39 × 103 ha were lost to forestland, grassland, waterbody, built-up land, wet land, saline land, and Gobi, respectively. Out of the 4103 × 103 ha of crop land in year 2018, 1958 × 103 ha was gained from other types, including the forest land (22 × 103 ha), grass land (1449 × 103 ha), water body (8 × 103 ha), built-up land (14 × 103 ha), wet land (28 × 103 ha), saline land (47 × 103 ha), and Gobi (390 × 103 ha). Similarly, out of the 686 × 103 ha of forest land in year 2018, 377 × 103 ha remained unchanged, while 309 × 103 ha was gained from the other land use types. Out of the 25,334 × 103 ha of grass land in year 1978, 23,079 × 103 ha remained unchanged, while 2255 × 103 ha was changed into the other land types. The areas of water body, built-up land, wet land, saline land, and Gobi are 6168 × 103 ha, 120 × 103 ha, 1582 × 103 ha, 2678 × 103 ha, 35,669 × 103 ha in year 1978, respectively, accounting for 8.27%, 0.16%, 2.12%, 3.59%, and 47.83% of the total area, respectively. In 2018, these proportions changed to 8.16%, 0.59%, 1.97%, 3.92%, and 47.13%, respectively.
Table 5.
Transition matrix of land-use/land-cover change (LULCC) from 1978 to 2018 in the KKRB (103 ha).
3.3. ESV Changes
We estimated the total ESV for the KKRB from 1978 to 2018 according to the ESV per unit area of different land-use types (Table 3) and total areas of different land-use types (Table 4). These results are displayed in Table 6 and Figure 4 and Figure 5. According to Table 6, the total ESV of the KKRB declined from about USD 8111.50 million in 1978 to USD 7995.31 million in 1988, then increased to USD 8275.74 million in 1998, and then decreased to USD 8016.38 million in 2018. This indicates a fluctuating and changing process: approximate cumulative loss of ecosystem value of USD 116.19 million in the first 10 years (1978–1988), cumulative profit of ecosystem value of USD 280.43 million in the second 10 years (1988–1998), and cumulative loss in ESV of USD 259.36 million in the last 20 years (1998–2018), with an overall decreasing trend in ESV.
Table 6.
ESV of the KKRB in 1978, 1988, 1998, 2008, and 2018 (106 USD).
Figure 4.
The temperature and precipitation trends in the mountains, oases, and desert in the KKRB.
Figure 5.
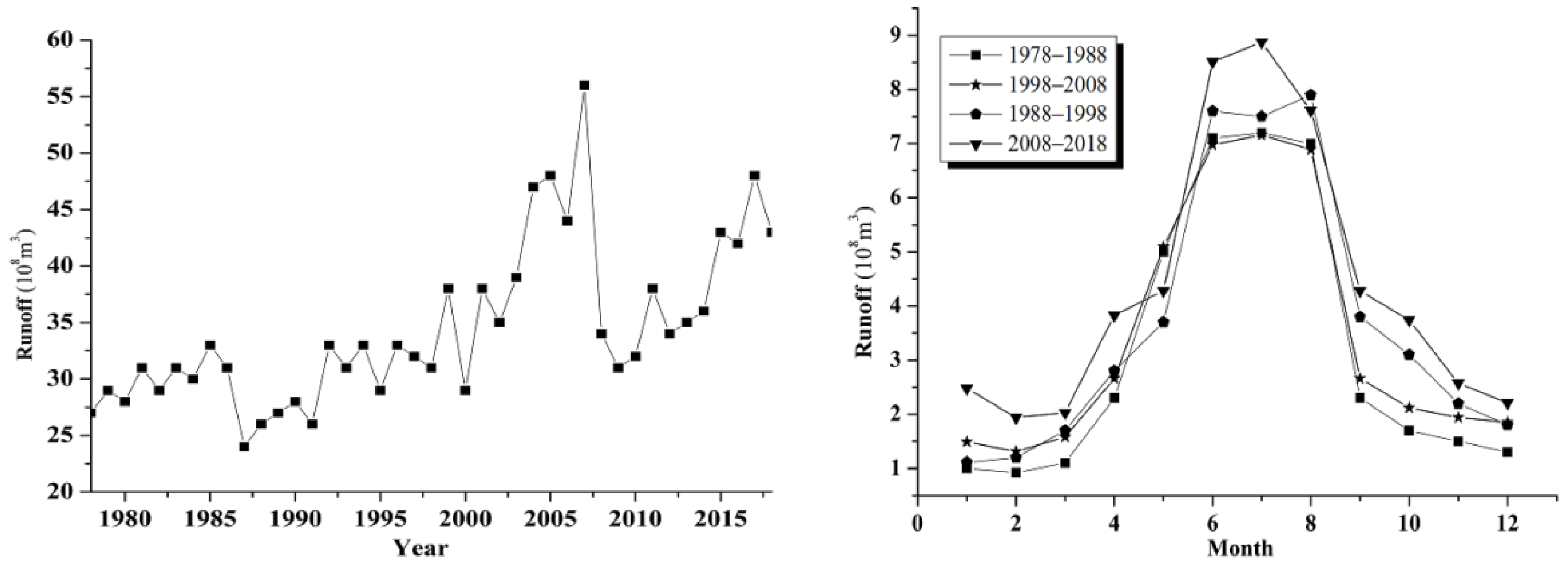
Change in annual and monthly runoff.
The volatile change in ESV was mainly caused by the changing wet land and water body areas, which provide more service value in the KKRB. Overall, the changes in ESV that were mainly caused by the changing water body and wet land area were about USD −158.60 million (loss), 340.36 million (gain), −336.77 million (loss) during the periods 1978–1988, 1988–1998, and 1998–2018, respectively. The variations in the ESV of each land-use type corresponded to LULCC trends during 1978–2018. Although crop land, forest land, built-up land, and saline land were ESV increasing types, their contributions to total ESV were less than the contributions of grass land (high coefficient value and large area), water body (high coefficient value and large area), and wet land (highest coefficient value) to the total ESV. Due to the relatively large area and high coefficient value, the ESV provided by water bodies was the highest among the eight land-use types, providing about 49.47% of the total value. Due to the comparatively large area with high service value, the value of ES produced by grass land was also relatively high, providing about 23.27% of the total value. Due to the highest coefficient value, the value of ESs produced by wet lands was third amongst the eight land-use types, accounting for 17.39% of the total value. Together, grass land, water body, and wet land accounted for about 90.12% of the total ESV, implying that these land-use types play significant roles in the total ESV of the KKRB.
3.4. Impacts of Land-Use Variation on Ecosystem Functions (EFs)
To determine the effects of EFs within the KKRB in the 41-year period, the ESV provided by individual EFs were also calculated (Table 7). The contribution rates of individual EFs to the total ESV value in each year were ranked according to their calculated ESVf in 1978, 1988, 1998, 2008, and 2018. The trend in the contribution rate of each ecosystem function to the total value of the ES is shown in Table 6 by an upward arrow for increasing contribution, a downward arrow for declining contribution, and a dash for no change.
Table 7.
Values of ecosystem service (ES) functions in 1978, 1988, 1998, 2008, and 2018 (106 USD).
In conclusion, the variations in the contribution of each ecosystem function to the total services value were obvious and the rank order remained almost the same. The entire ranking for each ecosystem function according to their contributions to the total ES value was as follows, from high to low: water supply > waste treatment > climate regulation > biodiversity protection > recreation and culture > soil formation > gas regulation > food production > raw material. The analysis of the ES function composition indicated that the water supply and waste treatment functions were the top two ecosystem functions with high service value; their combined contribution to the total was 59.3%. The food production and raw material functions were the two ecological functions with the lowest service value, together contributing only about 2.96%. In this study, the value of regulating service function of the KKRB ecosystem is far higher than that of provision service function; it indicated that the ES function of the KKRB is belonging to a provision function.
Among the nine top-ranked EFs, the contribution rates of soil formation, waste treatment, food production, biodiversity protection, and raw material functions increased during 1978–2018, while the contribution rates of gas regulation, climate regulation, water supply, and recreation and culture decreased. Due to the regulation service function of the KKRB, the total ecological service value of the study area decreased because the regulating function was hindered.
4. Discussion
Due to large-scale land reclamation and unreasonable water resource exploitation after 1978, the hydrological condition and natural environment of the KKRB have changed considerably, resulting in dramatic changes in the ESV of arid regions. Both human activities (continued population increase, rapid economic development, and socioeconomic-related policies) and natural factors (climate and hydrological changes) and their interactions have resulted in land-use changes and the exploitation of water resources.
4.1. Factors Driving LULCC
4.1.1. Effects of Regional Climate Change on LULCC
The LULCC in the KKRB in northwest China is largely affected by the total amount and spatial distribution of water resources. Natural factors, including temperature, precipitation, and topography, have also significantly influenced land use/land cover. The mountains in northwest part of the KKRB stop moisture air masses from bringing precipitation to the mountain areas. For northwest China, the mountain areas create precipitation runoff, and the plains located in central and southeast part are the dissipative zone. Under the background of global climate change, the runoff in the KKRB has been experiencing notable change, and runoff rate is a main factor affecting the LULCC. Figure 4 depicts the temporal change in climate in the KKRB for 1978–2018. The temperature of the mountain, oasis, and desert areas have increased, especially since 1998. From 1978–2018, although the precipitation showed a slightly rising trend for the mountainous areas, the precipitation declined in the oasis and desert areas. The precipitation change has had two effects on the study area. First, the declines in precipitation in the oases and desert areas have been significantly detrimental to both the human system and the natural ecosystem, aggravating the competition between the two systems for water. Second, the warming trend and increased precipitation in the mountainous areas have accelerated the speed of snow and glacier melting, resulting in an increase in downstream runoff. These phenomena can balance the decreased precipitation in the downstream areas to some extent. The abundant water in the upstream mountain areas has given humans more opportunity to control the use and allocation of water resources. The effects of temperature on LULCC are mainly expressed in the variation in meltwater runoff in the mountains.
4.1.2. Effects of Regional Hydrological Change on LULCC
In northwest China, the amount of runoff relies strongly upon the glaciers. Glacier melting has an important impact on the total water resources in this region. Figure 5 shows that the runoff of the Kaidue and Kongque Rivers raised from 1978 to 2018. Figure 5 also compares the average monthly runoff of 1978–1988, 1988–1998, 1998–2008, and 2008–2018. The summer runoff in the final 10 years increased notably, whereas the other seasons’ runoff remained the same or only rose a little. The variation in runoff has two impacts on the LULCC: First, it directly affects the agricultural irrigation water demand and the ecosystem water demand; second, it directly affects the recharge of ground water—if the river has a large amount of water, then the groundwater level remains relatively high. This condition is helpful for desert vegetation growth. Apart from this, the spatial pattern of cropland changes between 1978 and 2018 could be explained by the spatial difference of water consumption and allocation along the Kaidu–Kongque River, which to large extent account for the expansion of crop land in the KKRB.
In the 41-year study period, the KKRB has been subject to various kinds of water resource management engineering, such as dams, wells, and reservoirs, as human activities have expanded rapidly in this area. Numerous new wells were dug to supply more irrigation water to the newly reclaimed land. Until 2015, 3441 wells were dug along the Kaidu and Kongque Rivers [29]. Given the salinity that occurred in the middle reaches of the river area, the secondary salinization caused land to deteriorate, resulting in the abandonment of large areas of crop land, which has become unused land. The rapid growth of crop land and urbanization probably led to the destruction of large-scale grass land and wet land area. In the meantime, the land reclamation for crop planting may break the original ecosystems around the new cropland and resulted in large scale land degradation.
4.1.3. Anthropogenic Driving Factors
Compared to natural driving factors, the effects of which usually take longer to become noticeable, anthropogenic activities may have significant and direct impacts on LULCC [29]. Population growth is an important force driving LULCC, and population dynamics can also be a response to environmental change. The improvement of people’s living standards and medical and health conditions have led to the gradual increase in life expectancy and a decrease in the mortality rate, resulting in a rapid growth in the population of the region.
The population of the KKRB increased from 54,050 in 1978 to 145,010 in 2018. The population continues to increase, directly resulting in the intensive expansion of crop land and built-up land areas. The population growth is having two kinds of effects on LULCC. First, the continued increase in population necessitates more land to satisfy their settlement demands and basic needs, such as daily food and living space. Second, the populace’s desire for higher economic development requires added land for producing more agricultural commodities. Consequently, in the KKRB, large areas of crop land have been used to cultivate more economic crops, such as cotton, which helps to increase local farmers’ incomes. Figure 6 reveals the corresponding change in the population and crop land in the KKRB during 1978–2018. Figure 6 shows that crop land increased slowly after 1978, and then jumped during 1998–2018. With the continuous growth of population, large areas of Gobi, wet land, and natural grass land were reclaimed for cultivation, producing drastic changes in crop land area.
Figure 6.
Population and crop land production change in the KKRB in 1978–2018.
4.2. LULCC Effect on the ESV
The continued population growth and rapid economic development in the KKRB have resulted in the expansion of crop land and Built-up land, accelerating deforestation and the cultivation of grass land and wet lands. The expansion of crop land and built-up land areas changed the landscape structure, causing the degradation of ecosystem functions. During 1978 to 2018, the areas of the different land-use categories continually changed in the KKRB. Crop land, forest land, built-up land, and saline land areas increased, while grass land, water body, wet land, and Gobi decreased. To analyze the change in ESV, the change in ESV for regional land use for 1978 and 2018 is shown in Figure 7. The figure shows that the ESV in the central region of the study area continually decreased. The ESV of the city circle and the new built-up land area decreased remarkably, potentially due to the city planning and urbanization of the KKRB during 1978–2018. The ESV in the northern mountainous region relatively decreased and the ESV in the eastern desert area of the KKRB continued to increase, especially with regard to Gobi, which was converted to crop land, while the ESV of water bodies and wet land decreased significantly. Because the value coefficient of built-up land areas was almost zero, we think that the land-use change from grass land to crop land, and crop land to built-up land would be harmful to the ESV in the KKRB.
Figure 7.
The change in ESV in the KKRB for 1978–2018.
From the research results, we found that the total ESV in the KKRB decreased by 1.17% between 1978 and 2018, based on the changing sizes of the land-use categories. This decrease in total ESV was caused mainly by the 6.36% reduction in grass land, 1.36% reduction in water bodies, 7.1% reduction in wet land, and the 269.16% growth in built-up land areas. The large-scale expansion of built-up land area has negatively affected the ecological environment of study area during the entire study period. From these observations, we suggest that LULCC exerts a significant effect on ESV. Therefore, in the future, LULCC policy formulation and the protection of wet lands must be prioritized.
4.3. Limitations and Suggestions
4.3.1. Data Collection
The main limitation of this study is related to the land-use/land-cover classification map that was obtained by maximum likelihood classification matching. We obtained the LULCC maps of the KKRB for five time periods using remote sensing technology. Because of the limitations of remote sensing interpretation, such as data selection, data resolution, data classification, and classification accuracy, LULCC was estimated using land-use pattern changes, so the ESV could only be expressed as single points in time in the KKRB. Therefore, in future ESV estimation studies, to improve the land-use classification accuracy, high-resolution remote sensing data should be used. Apart from this, field investigation should be used to validate data; interviews with government policy makers, experts, and others should also be integrated to determine the accuracy of the LULCC image in this study.
4.3.2. ESV Estimation
The ESV coefficients sometimes under- or overestimated the contribution of its corresponding LULCC. The ESV calculation method applied in this study has been proven to be reliable in many other studies and provides scientific information for government policy makers and local residents. The results of this study can be applied to the sustainable development of the KKRB. However, the ecosystem service for the same LULC-type would change if the landscape structure is complicated, and the estimated ESV is affected by different factors such as market price (when we estimated the ESV variation between 1978 and 2018, we assumed that the market price was the same as in 2008), inflation rate, exchange rate among currencies, land-use/land-cover structure optimization, social and economic development patterns, and governmental policies; thus, accurately estimating the ESV is difficult. Apart from these, the accuracy of the modified value coefficients is unreliable due to ecosystem heterogeneity. These issues could significantly affect ESV estimation. Therefore, these limitations should be considered in follow-up studies.
5. Conclusions
According to the changes in ESV based on land-use classification data in the KKRB from 1978 to 2018, we drew the following conclusions:
- (1)
- During 1978–2018, each of the land use/cover types, had been experiencing dramatic change, and crop land, forest land, built-up land, and saline land increased, while the grass land, water body, wet land, and Gobi decreased. The large change in wet land, water body, and the simultaneous expansion in crop land resulted from rapid agricultural development, inadequate regulations for wet land protection, and unreasonable management and use of water resources.
- (2)
- The net decline in ecosystem service values in the study area decreased from approximately 8111.5 million USD in 1972 to 8016.38 million USD in 2018. This decline in ecosystem service values can be attributed to a corresponding decrease in the total area of grass land, water body, and wet land. From 1978 to 2018, water bodies produced about 49.47% of the total ESV, grass land produced about 23.27% of the total, while wet land produced about 17.39%. The total ESV of water body, grass land, and wet land contributed about 90.12% to the total value, implying that these land-use types play significant roles in the ESs in the study area.
- (3)
- The water supply and waste treatment functions were the top two ecological functions providing high service value, contributing 59.3%, while food production and raw material were the ecological functions providing the lowest service value. Therefore, the ESFs of the KKRB belonged to the regulating service function. The overall ranking for each ecosystem function according to their contribution rate to total ecosystem value was as follows, from high to low: water supply > waste treatment > climate regulation > biodiversity protection > recreation and culture > soil formation > gas regulation > food production > raw material.
In conclusion, our results indicate that there is a particular relationship between land use and the ecosystem service value, and the variation of the ecosystem service value is conducive to evaluating the ecological problems and devising reasonable land use plans. Considering the fragile characteristics of study area, we recommend that anthropogenic activities in KKRB should be undertaken with caution. If the environmentally negative human activities in the mountain–oasis–desert ecotone are changed into environmentally positive human activities, then this would be helpful for protecting and developing the KKRB ecosystem. This trend would be important not only for economic progress but also for the sustainable development of the region’s ecosystems. Apart from this the reliability of the estimated results depends on the accuracy of the value coefficients; therefore, future research should focus on extracting more accurate value coefficients.
Author Contributions
A.M. wrote the original manuscript; Y.M. and J.W. designed the experimental method; A.M. and J.W. revised the paper. All authors have read and agreed to the published version of the manuscript.
Funding
This research was supported by the Open Fund Project of the Key Laboratory of Digital Earth, Chinese Academy of Sciences (grant No. 2018LDE006) and CAS “Light of West China” Program (2019-XBQNXZ-A-008).
Acknowledgments
We would like to thank the anonymous reviewers for their constructive comments that helped to improve the quality of this manuscript.
Conflicts of Interest
The authors declare no conflict of interest.
References
- Tolessa, T.; Senbeta, F.; Kidane, M. The impact of land use/land cover change on ecosystem services in the central highlands of Ethiopia. Ecosyst. Serv. 2017, 23, 47–54. [Google Scholar] [CrossRef]
- Chuai, X.; Huang, X.; Wu, C.; Li, J.; Lu, Q.; Qi, X.; Zhang, M.; Zuo, T.; Lu, J. Land use and ecosystems services value changes and ecological land management in coastal Jiangsu, China. Habitat Int. 2016, 57, 164–174. [Google Scholar] [CrossRef]
- Mamat, A.; Halik, U.; Rouzi, A. Variations of Ecosystem Service Value in Response to Land-Use Change in the Kashgar Region, Northwest China. Sustainability 2018, 10, 200. [Google Scholar] [CrossRef]
- Wang, C.; Li, X.; Yu, H.; Wang, Y. Tracing the spatial variation and value change of ecosystem services in Yellow River Delta, China. Ecol. Indic. 2019, 96, 270–277. [Google Scholar] [CrossRef]
- Zhang, F.; Yushanjiang, A.; Jing, Y. Assessing and predicting changes of the ecosystem service values based on land use/cover change in Ebinur Lake Wetland National Nature Reserve, Xinjiang, China. Sci. Total Environ. 2019, 656, 1133–1144. [Google Scholar] [CrossRef] [PubMed]
- Li, Y.; Zhan, J.; Liu, Y.; Zhang, F.; Zhang, M. Response of ecosystem services to land use and cover change: A case study in Chengdu City. Resour. Conserv. Recycl. 2018, 132, 291–300. [Google Scholar] [CrossRef]
- Mamat, Z.; Halik, U.; Keyimu, M.; Keram, A.; Nurmamat, K. Variation of the floodplain forest ecosystem service value in the lower reaches of Tarim River, China. Land Degrad. Dev. 2018, 29, 47–57. [Google Scholar] [CrossRef]
- Zang, Z.; Zou, X.; Zuo, P.; Song, Q.; Wang, C.; Wang, J. Impact of landscape patterns on ecological vulnerability and ecosystem service values: An empirical analysis of Yancheng Nature Reserve in China. Ecol. Indic. 2017, 72, 142–152. [Google Scholar] [CrossRef]
- Eziz, M.; Yimit, H.; Tursun, Z.; Rusuli, Y. Variations in Ecosystem Service Value in Response to Oasis Land-use Change in Keriya Oasis, Tarim Basin, China. Nat. Areas J. 2014, 34, 353–364. [Google Scholar] [CrossRef]
- Turner, K.G.; Anderson, S.; Gonzales-Chang, M.; Costanza, R.; Courville, S.; Dalgaard, T.; Dominati, E.; Kubiszewski, I.; Ogilvy, S.; Porfirio, L.L.; et al. A review of methods, data, and models to assess changes in the value of ecosystem services from land degradation and restoration. Ecol. Model. 2016, 319, 190–207. [Google Scholar] [CrossRef]
- Tianhong, L.; Wenkai, L.; Zhenghan, Q. Variations in ecosystem service value in response to land use changes in Shenzhen. Ecol. Econ. 2010, 69, 1427–1435. [Google Scholar] [CrossRef]
- Wang, M.; Sun, X. Potential impact of land use change on ecosystem services in China. Environ. Monit. Assess. 2016, 188, 248–261. [Google Scholar] [CrossRef] [PubMed]
- Nahuelhual, L.; Carmona, A.; Aguayo, M.; Echeverria, C. Land use change and ecosystem services provision: A case study of recreation and ecotourism opportunities in southern Chile. Landsc. Ecol. 2013, 29, 329–344. [Google Scholar] [CrossRef]
- Guo, H.; Jiapaer, G.; Bao, A.; Li, X.; Huang, Y.; Ndayisaba, F.; Meng, F. Effects of the Tarim River’s middle stream water transport dike on the fractional cover of desert riparian vegetation. Ecol. Eng. 2017, 99, 333–342. [Google Scholar] [CrossRef]
- Cord, A.F.; Brauman, K.A.; Chaplin-Kramer, R.; Huth, A.; Ziv, G.; Seppelt, R. Priorities to Advance Monitoring of Ecosystem Services Using Earth Observation. Trends Ecol. Evol. 2017, 32, 416–428. [Google Scholar] [CrossRef]
- Zhang, Z.; Gao, J.; Fan, X.; Zhao, M.; Lan, Y. Assessing the variable ecosystem services relationships in polders over time: A case study in the eastern Chaohu Lake Basin, China. Environ. Earth Sci. 2016, 75, 856. [Google Scholar] [CrossRef]
- Hao, F.; Lai, X.; Ouyang, W.; Xu, Y.; Wei, X.; Song, K. Effects of Land Use Changes on the Ecosystem Service Values of a Reclamation Farm in Northeast China. Environ. Manag. 2012, 50, 888–899. [Google Scholar] [CrossRef]
- Perring, M.P.; De Frenne, P.; Baeten, L.; Maes, S.L.; Depauw, L.; Blondeel, H.; Carón, M.M.; Verheyen, K. Global environmental change effects on ecosystems: The importance of land-use legacies. Glob. Chang. Biol. 2016, 22, 1361–1371. [Google Scholar] [CrossRef]
- Feng, Z.; Cui, Y.; Zhang, H.; Gao, Y. Assessment of human consumption of ecosystem services in China from 2000 to 2014 based on an ecosystem service footprint model. Ecol. Indic. 2018, 94, 468–481. [Google Scholar] [CrossRef]
- Choi, Y.K.; Ng, C.N. Land Use Change and its Drivers in the Transboundary Shenzhen River Catchment, China. Mondes Dév. 2017, 177, 29. [Google Scholar] [CrossRef]
- Lerouge, F.; Gulinck, H.; Vranken, L. Valuing ecosystem services to explore scenarios for adaptive spatial planning. Ecol. Indic. 2017, 81, 30–40. [Google Scholar] [CrossRef]
- Costanza, R.; D’Arge, R.; De Groot, R.; Farber, S.; Grasso, M.; Hannon, B.; Limburg, K.; Naeem, S.; O’Neill, R.V.; Paruelo, J.; et al. The value of the world’s ecosystem services and natural capital. Nat. Cell Biol. 1997, 387, 253–260. [Google Scholar] [CrossRef]
- Zhang, Z.; Gao, J.; Gao, Y. The influences of land use changes on the value of ecosystem services in Chaohu Lake Basin, China. Environ. Earth Sci. 2015, 74, 385–395. [Google Scholar] [CrossRef]
- Kreuter, U.P.; Harris, H.G.; Matlock, M.D.; Lacey, R. Change in ecosystem service values in the San Antonio area, Texas. Ecol. Econ. 2001, 39, 333–346. [Google Scholar] [CrossRef]
- Zhao, B.; Kreuter, U.; Li, B.; Ma, Z.; Chen, J.; Nakagoshi, N. An ecosystem service value assessment of land-use change on Chongming Island, China. Land Use Policy 2004, 21, 139–148. [Google Scholar] [CrossRef]
- Sawut, M.; Eziz, M.; Tiyip, T. The effects of land-use change on ecosystem service value of desert oasis: A case study in Ugan-Kuqa River Delta Oasis, China. Can. J. Soil Sci. 2013, 93, 99–108. [Google Scholar] [CrossRef]
- Birhane, E.; Ashfare, H.; Fenta, A.A.; Hishe, H.; Gebremedhin, M.A.; Wahed, H.G.; Solomon, N. Land use land cover changes along topographic gradients in Hugumburda national forest priority area, Northern Ethiopia. Remote Sens. Appl. Soc. Environ. 2019, 13, 61–68. [Google Scholar] [CrossRef]
- Favretto, N.; Stringer, L.C.; Dougill, A.J.; Dallimer, M.; Perkins, J.; Reed, M.; Atlhopheng, J.; Mulale, K. Multi-Criteria Decision Analysis to identify dryland ecosystem service trade-offs under different rangeland land uses. Ecosyst. Serv. 2016, 17, 142–151. [Google Scholar] [CrossRef]
- Wang, Y.; Chen, Y.; Ding, J.; Fang, G. Land-use conversion and its attribution in the Kaidu–Kongqi River Basin, China. Quat. Int. 2015, 216–223. [Google Scholar] [CrossRef]
- Li, Q.; Kong, J.L. Kashgar region’s economic development zone land use spatial change analysis Based on GIS. J. Shanxi Inst. Social. 2014, 1, 53–59. (In Chinese) [Google Scholar]
- Thakkar, A.K.; Desai, V.R.; Patel, A.; Potdar, M.B. Post-classification corrections in improving the classification of Land Use/Land Cover of arid region using RS and GIS: The case of Arjuni watershed, Gujarat, India. Egypt. J. Remote Sens. Space Sci. 2017, 20, 79–89. [Google Scholar] [CrossRef]
- Fu, B.; Li, Y.; Wang, Y.; Zhang, B.; Yin, S.; Zhu, H.; Xing, Z. Evaluation of ecosystem service value of riparian zone using land use data from 1986 to 2012. Ecol. Indic. 2016, 69, 873–881. [Google Scholar] [CrossRef]
- Xie, G.D.; Lu, C.X.; Leng, Y.F. Ecological assets valuation of the Tibetan Plateau. J. Nat. Resour. 2003, 18, 189–196. (In Chinese) [Google Scholar]
- Li, R.-Q.; Dong, M.; Cui, J.-Y.; Zhang, L.-L.; Cui, Q.-G.; He, W.-M. Quantification of the Impact of Land-Use Changes on Ecosystem Services: A Case Study in Pingbian County, China. Environ. Monit. Assess. 2007, 128, 503–510. [Google Scholar] [CrossRef] [PubMed]
Publisher’s Note: MDPI stays neutral with regard to jurisdictional claims in published maps and institutional affiliations. |
© 2020 by the authors. Licensee MDPI, Basel, Switzerland. This article is an open access article distributed under the terms and conditions of the Creative Commons Attribution (CC BY) license (http://creativecommons.org/licenses/by/4.0/).






