New Towns’ Planning and Construction in the Pre-Urbanization or Post-Urbanization Period: A Case Study of the New Towns’ Development Process of Beijing
Abstract
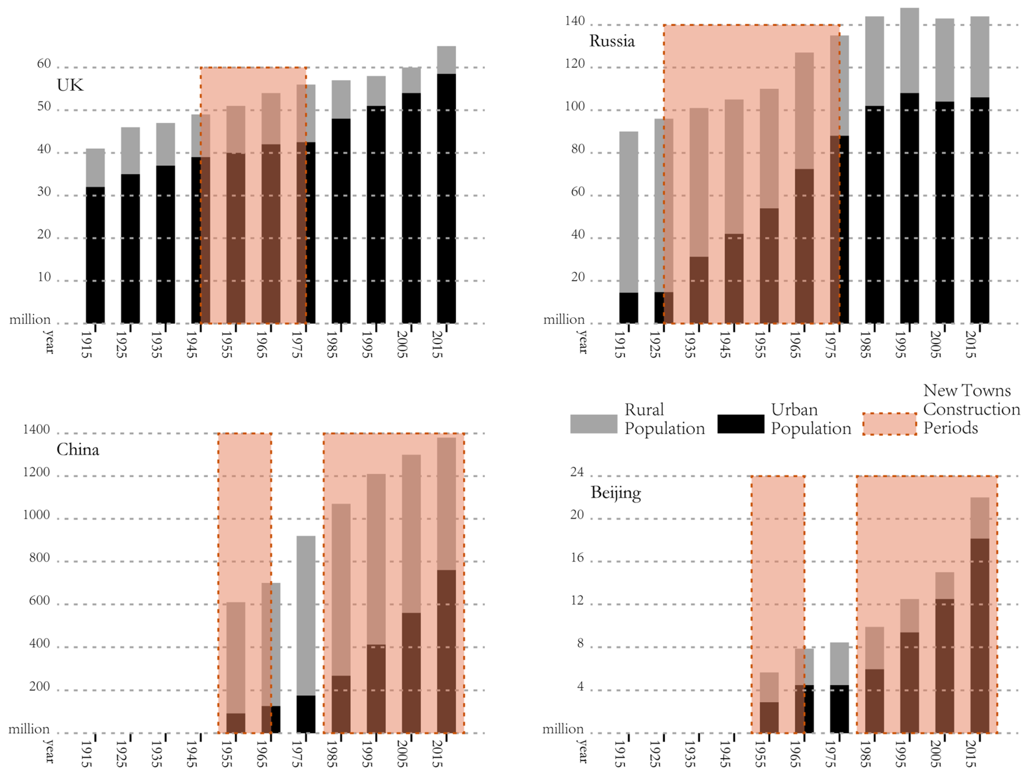
:1. Introduction
2. Theoretical Background
2.1. Concept Clarification
2.2. Literature Review
2.3. Case Selection and Methodologies
3. The Empirical Study—The Planning and Construction History of New Towns in Beijing
3.1. From the 1950s to the 1970s
3.2. From the 1980s to the 1990s
3.3. The 2000s
3.4. From the 2010s to the Future
4. Discussion: Analysis and Comparison
5. Conclusions
Author Contributions
Funding
Conflicts of Interest
References
- Wakeman, R. Practicing Utopia: An Intellectual History of the New Town Movement; University of Chicago Press: Chicago, IL, USA, 2016. [Google Scholar]
- Yang, D.; Liu, Z. Exploring History and Mechanism of Chinese New Areas in Recent 30 Years. Urban Plan. Int. 2017, 32, 26–33. [Google Scholar]
- Zhang, X.; Li, G.; Zheng, Y. New City Development Model and Trajectory Around Great Cities in China. Planners 2011, 27, 93–98. [Google Scholar]
- Osborn, F.J.; Whittick, A. New Towns: Their Origins, Achievements, and Progress; Leonard Hill: London, UK, 1977. [Google Scholar]
- Belousov, B. (Ed.) The Urban Planning and Design Handbook of Soviet Union; Zhan, K.; Wang, Z., Translators; China Architecture & Building Press: Beijing, China, 1984. [Google Scholar]
- Sit, V.F. Soviet Influence on Urban Planning in Beijing, 1949–1991. Town Plan. Rev. 1996, 67, 457–484. [Google Scholar] [CrossRef]
- Wu, T.; Yang, B.; Zhang, C. China’s New Town: 1979–2009. J. Urban Reg. Plan. 2011, 2, 19–43. [Google Scholar]
- Bell, D. The Coming of Post-Industrial Society: A Venture in Social Forecasting; Basic Books: New York, NY, USA, 1976. [Google Scholar]
- Population Division of Department of Economic and Social Affairs of United Nations. 2019 Revision of World Population Prospects. 2019. Available online: https://population.un.org/wpp/ (accessed on 15 March 2020).
- Alonso, W. What are New Towns for? Urban Stud. 1970, 7, 37–55. [Google Scholar] [CrossRef]
- Hazel, E. Town and Country Planning Association. In New Towns: The British Experience; John Wiley & Sons: New York, NY, USA, 1972. [Google Scholar]
- Ofer, G. Industrial Structure, Urbanization, and the Growth Strategy of Socialist Countries. Q. J. Econ. 1976, 90, 219–244. [Google Scholar] [CrossRef]
- Becker, C.; Mendelsohn, S.J.; Benderskaya, K. Russian Urbanization in the Soviet and Post-Soviet Eras; International Institute for Environment and Developmen: London, UK, 2012; Available online: https://pubs.iied.org/pdfs/10613IIED.pdf (accessed on 15 March 2020).
- Wang, H.; Fan, J. Influence of Urban Development Stage of Beijing on the Development of New Towns. City Plan. Rev. 2007, 31, 20–24. [Google Scholar]
- Li, Q.; Chen, Y.; Liu, J. Research on the Development Mode of Chinese Urbanization. Soc. Sci. China 2012, 7, 82–100. [Google Scholar]
- Aldridge, M. The British New Towns: A Programme without a Policy; Routledge Press: London, UK, 1979. [Google Scholar]
- Town and Country Planning Association. New Towns and Garden Cities: Lessons for Tomorrow; TCPA: London, UK, 2014; Available online: https://www.tcpa.org.uk/Handlers/Download.ashx?IDMF=5bda030e-0b33-42ed-b4d4-0d4728be4ebd (accessed on 15 March 2020).
- Clapson, M. The English New Towns since 1946: What are the Lessons of their History for their Future? Hist. Urbaine 2017, 50, 93–111. [Google Scholar] [CrossRef]
- Merlin, P. The New Town Movement in Europe. Ann. Am. Acad. Polit. Soc. Sci. 1980, 451, 76–85. [Google Scholar] [CrossRef]
- Peiser, R.B.; Chang, A.C. Is It Possible to Build Financially Successful New Towns? The Milton Keynes Experience. Urban Stud. 1999, 36, 1679–1703. [Google Scholar] [CrossRef] [PubMed]
- Susskind, L. Planning for New Towns: The Gap Between Theory and Practice. Sociol. Inq. 1973, 43, 291–310. [Google Scholar] [CrossRef]
- Forsyth, A.; Peiser, R. The British New Towns: Lessons for the World from the New-Town Experiment. Town Plan. Rev. 2019, 90, 161–165. [Google Scholar] [CrossRef]
- Xie, P. Experience and Lessons of London’s New Town Planning and Its Revelation to Beijing. Econ. Geogr. 2010, 30, 47–52. [Google Scholar]
- Yao, J.; Guo, X. Tokyo Regional Planning and Newtown Construction in Reference to Shanghai. Urban Plan. Int. 2007, 22, 102–107. [Google Scholar]
- Zhu, D.; Wu, M. The Review of Post-War New Town Studies in China and in Western Countries and Its Reference to the Development of China’s New Towns. Urban Plan. Forum 2004, 153, 31–36. [Google Scholar]
- Li, Y. The Rises and Falls of New Towns in Japan: History and Insights for China. Urban Plan. Int. 2017, 32, 18–25. [Google Scholar]
- Liu, J. A Brief Introduction on the Development of New Town in the Paris Region. Plan. Rev. 2002, 1, 27–31. [Google Scholar]
- Fu, Y. Discussion and Analysisi on the Differences about Chinese and Western New Town Planning. Archit. Cult. 2014, 129, 136–138. [Google Scholar]
- Xiang, J.; Xie, H. From Paris, London to Beijing: 60 Years’ Similarities and Diversities. Plan. Stud. Beijing 2005, 29, 19–24. [Google Scholar]
- Zhao, X.; Yang, T. A Review on Planning Cities and Communities in the USA. Urban Plan. Int. 2017, 32, 10–17. [Google Scholar]
- Jacquemin, A.R. Urban Development and New Town in the Third World: Lessons form the New Mombay Experience; Routledge: London, UK, 2019. [Google Scholar]
- Wang, L.; Kundu, R.; Chen, X. Building for What and Whom? New Town Development as Planned Suburbanization in China and India. In Suburbanization in Global Society; Clapson, M., Hutchison, R., Eds.; Emerald Group Publishing Limited: Bingley, UK, 2010; pp. 319–345. [Google Scholar]
- Afrakhteh, H. Urban Growth and Experience of New Town Planning in the Developing Countries: A Case Study of Tehran Metropolis. Urban Plan. Overseas 2003, 18, 5–9. [Google Scholar]
- Lewis, R.A.; Rowland, R.H. Urbanization in Russia and the USSR: 1897–1966. Ann. Assoc. Am. Geogr. 1969, 59, 776–796. [Google Scholar] [CrossRef]
- Shaw, D.J. The Soviet Urban General Plan and Recent Advances in Soviet Urban Planning. Urban Stud. 1983, 20, 393–403. [Google Scholar] [CrossRef]
- French, R.A. Plans, Pragmatism and People: The Legacy of Soviet Planning for Today’s Cities; University of Pittsburgh Press: Pittsburgh, PA, USA, 1995. [Google Scholar]
- Xu, H.; Li, B. Beyond Soviet Model: Institutional Change and Planning Evolution in Maoist Era’s China. In Proceedings of the 17th International Planning History Society, Delft, The Netherlands, 17–21 July 2016; Available online: https://journals.open.tudelft.nl/index.php/iphs/article/view/1217/1807 (accessed on 15 March 2020).
- Tan, X. New-Town Policy and Development in China. Chin. Econ. 2010, 43, 47–58. [Google Scholar] [CrossRef]
- Wang, J.; Zhao, M. China’s Large-Scale New Urban District Development and Its Effectiveness. Urban Plan. Forum 2012, 5, 21–29. [Google Scholar]
- Yeh, A.G.; Yuan, H. Satellite Town Development in China: Problems and Prospects. Tijdschr. Voor Econ. Soc. Geogr. 1987, 78, 190–200. [Google Scholar] [CrossRef]
- Editorial Department of Beijing Construction History Book Editorial Committee. Beijing Urban Construction Data Book since the Founding of P.R.China: Vol. 1. Urban Planning; Beijing Construction History Book Editorial Committee: Beijing, China, 1987. [Google Scholar]
- Beijing Municipal Bureau of Statistics. Beijing Statistics Yearbook. 2019. Available online: http://tongji.cnki.net/kns55/Navi/HomePage.aspx?id=N2016010098&name=YOFGE&floor=1 (accessed on 15 March 2020).
- Beijing Municipal People’s Government. Urban Master Plan of Beijing 2004–2020. 2005. Available online: https://zh.wikisource.org/zh-hans/%E5%8C%97%E4%BA%AC%E5%9F%8E%E5%B8%82%E6%80%BB%E4%BD%93%E8%A7%84%E5%88%92%EF%BC%882004%E5%B9%B4%EF%BC%8D2020%E5%B9%B4%EF%BC%89 (accessed on 15 March 2020).
- Xinhua News Agency. Authorized to Issue: The Central Committee of the Communist Party of China and the State Council decided to establish the Xiong’an New District of Hebei. 2017. Available online: http://www.xinhuanet.com//politics/2017-04/01/c_1120741571.htm (accessed on 15 March 2020).
- Beijing Municipal People’s Government. Urban Master Plan of Beijing 1991–2010. 1993. Available online: https://wenku.baidu.com/view/95f67cf5f5335a8103d22069.html (accessed on 15 March 2020).
- Beijing Municipal People’s Government. Urban Master Plan of Beijing 2016–2035. 2017. Available online: https://zh.wikisource.org/wiki/%E5%8C%97%E4%BA%AC%E5%9F%8E%E5%B8%82%E6%80%BB%E4%BD%93%E8%A7%84%E5%88%92%EF%BC%882016%E5%B9%B4%EF%BC%8D2035%E5%B9%B4%EF%BC%89 (accessed on 15 March 2020).
- Wang, P. From Satellite Town to New Town: Jumping out of the Concentric Population and Industry. Beijing City Plan. Constr. Rev. 2005, 2, 139–143. [Google Scholar]
- Beijing Municipal Bureau of Statistics. Forty Years of Beijing: Socioeconomic Statistics; China Statistics Press: Beijing, China, 1990.
- Liang, S.; Chen, Z. Recommendation on the Location of the Administrative Center of the Central People’s Government. 1950. Available online: https://wenku.baidu.com/view/848cba22a5e9856a561260bc.html (accessed on 15 March 2020).
- Wang, P. From County, Satellite Town to New Town. Beijing Plan. Rev. 2009, 1, 59. [Google Scholar]
- Beijing Municipal People’s Government. Several Interim Provisions for Accelerating the Construction of Satellite City in Beijing. 1984. Available online: http://liuyanlun.chinalawedu.com/falvfagui/fg22598/135803.shtml (accessed on 15 March 2020).
- Beijing Municipal People’s Government. Implementation Measures for the Interim Regulations of Beijing New Technology Industry Development Pilot Districtq. 1988. Available online: http://www.beijing.gov.cn/zfxxgk/110004/gz23/2008-04/23/content_72514.shtml (accessed on 15 March 2020).
- Xia, H. The Road to Development of China’s New & High-Tech Industrial Park; CITIC Press Group: Beijing, China, 2001. [Google Scholar]
- Beijing Municipal People’s Government. Several Provisions on Accelerating the Construction of Affordable Housing (Trial). 1998. Available online: http://sports1.people.com.cn/item/flfgk/dffg/1998/A122502199808.html (accessed on 15 March 2020).
- Tan, X. Population Change of Satellite Towns of Beijing and Its Indications on the Development of New Towns. Popul. Econ. 2008, 3, 8–13. [Google Scholar]
- Zhao, J. Thoughts on Beijing Urban Spatial Development Strategy. Forum Leadersh. Sci. 2017, 9, 52–65. [Google Scholar]
- Hebei Provincial Committee of the Communist Party of China; Hebei Provincial People’s Government. Hebei Xiong’an New District Planning Outline. 2018. Available online: https://zh.wikisource.org/wiki/%E6%B2%B3%E5%8C%97%E9%9B%84%E5%AE%89%E6%96%B0%E5%8C%BA%E8%A7%84%E5%88%92%E7%BA%B2%E8%A6%81 (accessed on 15 March 2020).










| Planning Time | Social Development Level | New Town Planning | Planning Objectives | Development Modes |
|---|---|---|---|---|
| 1950–1970s | Undeveloped industrial level; under-urbanized population | A sub-parent city system (Zi Mu Cheng) | Promote industrialization and urbanization | Pre-industrialization and pre-urbanization mode |
| 1980–1990s | Rapidly developing period; urban population exploding | Satellite towns and peripheral constellations | Promote industrialization and urbanization; decentralization | Pre-industrialization and pre-urbanization mode; post-industrialization and post-urbanization mode |
| 2000s | Deindustrialization; urban population exploding | New towns | Promote decentralization and living condition improvement | Post-industrialization and post-urbanization mode |
| 2010s | Deindustrialization; limit population growth | New towns and subcenters | Promote decentralization; guide the development of the whole metropolitan area | Post-industrialization and post-urbanization mode; pre-industrialization and pre-urbanization mode |
© 2020 by the authors. Licensee MDPI, Basel, Switzerland. This article is an open access article distributed under the terms and conditions of the Creative Commons Attribution (CC BY) license (http://creativecommons.org/licenses/by/4.0/).
Share and Cite
Cai, X.; De Meulder, B.; Lin, Y.; Sun, H. New Towns’ Planning and Construction in the Pre-Urbanization or Post-Urbanization Period: A Case Study of the New Towns’ Development Process of Beijing. Sustainability 2020, 12, 3721. https://doi.org/10.3390/su12093721
Cai X, De Meulder B, Lin Y, Sun H. New Towns’ Planning and Construction in the Pre-Urbanization or Post-Urbanization Period: A Case Study of the New Towns’ Development Process of Beijing. Sustainability. 2020; 12(9):3721. https://doi.org/10.3390/su12093721
Chicago/Turabian StyleCai, Xiaoxiao, Bruno De Meulder, Yanliu Lin, and Hong Sun. 2020. "New Towns’ Planning and Construction in the Pre-Urbanization or Post-Urbanization Period: A Case Study of the New Towns’ Development Process of Beijing" Sustainability 12, no. 9: 3721. https://doi.org/10.3390/su12093721
APA StyleCai, X., De Meulder, B., Lin, Y., & Sun, H. (2020). New Towns’ Planning and Construction in the Pre-Urbanization or Post-Urbanization Period: A Case Study of the New Towns’ Development Process of Beijing. Sustainability, 12(9), 3721. https://doi.org/10.3390/su12093721
