Sign in to use this feature.

Years

Between: -

Subjects

remove_circle_outline
remove_circle_outline
remove_circle_outline
remove_circle_outline
remove_circle_outline
remove_circle_outline
remove_circle_outline
remove_circle_outline
remove_circle_outline

Journals

remove_circle_outline
remove_circle_outline
remove_circle_outline
remove_circle_outline
remove_circle_outline
remove_circle_outline
remove_circle_outline
remove_circle_outline
remove_circle_outline
remove_circle_outline
remove_circle_outline
remove_circle_outline
remove_circle_outline
remove_circle_outline
remove_circle_outline
remove_circle_outline

Article Types

Countries / Regions

remove_circle_outline
remove_circle_outline
remove_circle_outline
remove_circle_outline
remove_circle_outline
remove_circle_outline
remove_circle_outline

Search Results (1,756)

Search Parameters:
Keywords = post-urbanization

Order results
Result details
Results per page
Select all
Export citation of selected articles as:
21 pages, 10371 KB  
Article
Constrained Estimates of Anthropogenic NOx Emissions in China (2014–2021) from Surface Observations
by Yang Shen, Shuzhuang Feng, Zihan Yang, Chenchen Peng, Guoen Wei and Yuanyuan Yang
Atmosphere 2026, 17(1), 51; https://doi.org/10.3390/atmos17010051 (registering DOI) - 31 Dec 2025
Abstract
China’s rapid urbanization has precipitated severe atmospheric pollution, drawing sustained scientific and policy attention. Although nationwide implementations of emission control measures have achieved measurable reductions in ambient NO2 concentrations, fundamental uncertainties persist in quantifying anthropogenic NOx emission and their interannual variability. [...] Read more.
China’s rapid urbanization has precipitated severe atmospheric pollution, drawing sustained scientific and policy attention. Although nationwide implementations of emission control measures have achieved measurable reductions in ambient NO2 concentrations, fundamental uncertainties persist in quantifying anthropogenic NOx emission and their interannual variability. In this study, NOx emissions over China are inferred using the Regional Air Pollutant Assimilation System (RAPAS) combined with ground-based hourly NO2 observations, and a detailed analysis of the spatiotemporal variation patterns of NOx emissions is also provided. Nationally, most sites display declining NO2 concentrations during 2014–2021, with steeper reduction trends in winter, particularly in pollution hotspots. The RAPAS-optimized NOx emission estimates demonstrate superior performance relative to prior inventories, with site-averaged biases, root mean square errors, and correlation coefficients improved substantially across all geographic regions in China. The trajectories of changes in NOx emissions exhibit marked regional disparities: South and Northeast China experienced more than 8.0% emission growth during 2014–2017, while NOx emissions in northwest and southwest China increased by 35% and 26%, significantly higher than those in East China. The reductions accelerated significantly post 2018, particularly in central and eastern regions (more than −20%). The interannual variation in NOx emissions in the five national urban agglomerations shows a similar trend of first rising and then decreasing. The NOx emissions of Anhui, Yunnan, Shanxi, Gansu and Xinjiang provinces increased significantly from 2014 to 2017, while the emissions of Shandong and Zhejiang decreased at a relatively high rate (more than 80 Gg per year). These findings are helpful to provide a more comprehensive understanding of current NOx pollution and provide scientific basis for policymakers to propose effective strategies. Full article
(This article belongs to the Special Issue Emission Inventories and Modeling of Air Pollution)
Show Figures

Figure 1

14 pages, 444 KB  
Article
Strengthening the Culture of Well-Being in Rural Hospitals Through RISE Peer Support
by Mansoor Malik, Gayane Yenokyan, Henry Michtalik, Jane Miller, Cheryl Connors, Christine M. Weston, Kristina Weeks, William Hu, Matt Norvell and Albert W. Wu
Healthcare 2026, 14(1), 91; https://doi.org/10.3390/healthcare14010091 (registering DOI) - 30 Dec 2025
Abstract
Background: Burnout among healthcare workers (HCWs) threatens workforce stability and patient care, particularly in rural hospitals where staff shortages, limited resources, and professional isolation amplify stress. Peer support interventions have demonstrated promise in urban centers, but their feasibility and impact in rural settings [...] Read more.
Background: Burnout among healthcare workers (HCWs) threatens workforce stability and patient care, particularly in rural hospitals where staff shortages, limited resources, and professional isolation amplify stress. Peer support interventions have demonstrated promise in urban centers, but their feasibility and impact in rural settings remain underexplored. Methods: We implemented and evaluated the Johns Hopkins RISE (Resilience in Stressful Events) peer support program across two rural hospital systems in the Mid-Atlantic United States. Using pre- and post-implementation surveys, we assessed anxiety (GAD-7), burnout (Maslach Burnout Inventory), resilience (CD-RISC), and perceptions of organizational culture of well-being. Linear and logistic regression models adjusted for age, site, and employment duration were used to evaluate outcomes over time. Results: A total of 868 respondents participated across three time points. Burnout and anxiety declined modestly post-implementation, while resilience improved initially but was not sustained at 2-year follow-up. Older employees demonstrated lower anxiety and burnout, while mid-career employees (3–10 years of employment) reported significantly higher distress. Importantly, access to peer support and perceived availability of supportive resources improved significantly over time, reflecting growing program integration. Conclusions: RISE was adapted successfully in rural hospital settings, with evidence of reduced burnout, lower anxiety, and increased perceived access to peer support. While resilience gains were not sustained, results suggest that a peer support program tailored to each organization can mitigate workforce distress in rural health systems. Addressing implementation and contextual barriers and sustaining organizational commitment are important for long-term impact. Expanding peer support to rural hospitals may improve workforce retention and care delivery in underserved communities. Full article
Show Figures

Figure 1

28 pages, 689 KB  
Article
LLM-Augmented Sensor Fusion for Urban Socioeconomic Monitoring: A Cyber–Physical–Social Systems Perspective
by Hui Xie, Hui Cao and Hongkai Zhao
Systems 2026, 14(1), 36; https://doi.org/10.3390/systems14010036 (registering DOI) - 29 Dec 2025
Abstract
Urban welfare can deteriorate over a few weeks, yet most official indicators are only updated quarterly. This mismatch in time scales leaves city administrations effectively blind to the early stages of emerging crises, especially in areas where vulnerable residents generate few administrative or [...] Read more.
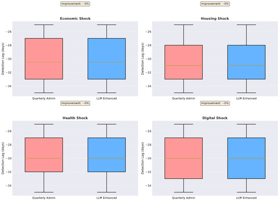
Urban welfare can deteriorate over a few weeks, yet most official indicators are only updated quarterly. This mismatch in time scales leaves city administrations effectively blind to the early stages of emerging crises, especially in areas where vulnerable residents generate few administrative or digital records. We cast urban socioeconomic monitoring as a systems problem: a six-dimensional welfare state on a spatial grid, observed through sparse delayed administrative data and noisy digital traces whose reliability declines with digital exclusion. On top of this latent state, we design a four-layer cyber–physical–social (CPSS) architecture centered on a stochastic state-space model with empirically guided couplings. This is supported by a semantic sensing layer where large language models (LLMs) convert daily geo-referenced public text into noisy welfare indicators. These signals are then fused with quarterly administrative records via an extended Kalman filter (EKF). Finally, a lightweight convex post-processing layer enforces fairness, differential privacy, and minimum representation as hard constraints. A key ingredient is a state-dependent noise model in which the LLM observation variance grows exponentially with digital exclusion. Under this model, we study finite-horizon observability and obtain an exclusion threshold beyond which several welfare dimensions become effectively unobservable over 30–60 day horizons; EKF error bounds scale with the same exponent, clarifying when semantic sensing is informative and when it is not. Finally, a 100,000-agent agent-based model of a synthetic city with daily shocks suggests that, relative to a quarterly-only baseline, the LLM-augmented fusion pipeline substantially reduces detection lags and multi-dimensional cascade failures while keeping estimation error bounded and satisfying the explicit fairness and privacy constraints. Full article
Show Figures

Figure 1

24 pages, 672 KB  
Article
An Intersectionality-Based Policy Analysis (IBPA) of Post-Pandemic Recovery Policies: Experiences of Women Informal Food Vendors in Kisumu City, Kenya
by Joyce Kiplagat, Patrick Mbullo Owuor, Rebecca Gokiert and Elizabeth Onyango
Sustainability 2026, 18(1), 334; https://doi.org/10.3390/su18010334 (registering DOI) - 29 Dec 2025
Viewed by 11
Abstract
Introduction: The informal food sector in Kisumu City, largely run by women informal food vendors, plays a crucial role in the urban food system. However, these female-led businesses faced disproportionate risks stemming from COVID-19-related policies, exacerbating gendered vulnerabilities. This paper explores the gender [...] Read more.
Introduction: The informal food sector in Kisumu City, largely run by women informal food vendors, plays a crucial role in the urban food system. However, these female-led businesses faced disproportionate risks stemming from COVID-19-related policies, exacerbating gendered vulnerabilities. This paper explores the gender gaps of post-pandemic recovery strategies and their implications for resilience, recovery, and sustainability of women-led informal food businesses. Methods: This cross-sectional study was guided by the Intersectionality-Based Policy Analysis (IBPA) framework. In collaboration with the Pamoja Community-Based Organization, we employed qualitative methods grounded in community-based participatory approaches. Data were collected through key informant interviews (n = 20), depth interviews (n = 20), focus group discussions (n = 40), and a review of policy documents (n = 2). Data was analyzed guided by the eight principles of the IBPA framework alongside Braun and Clarke’s six-phased thematic analysis approach. Results: Findings indicated that power dynamics in the formulation of post-pandemic policies and top-down implementation approaches excluded women informal food vendors from meaningfully participating in policy processes. For example, female vendors were excluded from the recovery priorities as the strategies adopted had limited to no targeted gender-responsive interventions. As such, women informal food vendors faced several challenges during recovery, including limited government support, barriers to accessing credit facilities, heightened household and unpaid care work, gender-based violence, sexual exploitation, and insecurity. The female vendors employed both individual agency and collective action to facilitate recovery. Discussion: Gender-responsive COVID-19 policies were critical to addressing the disproportionate impact of the pandemic on women-led informal food businesses. Moving forward, a comprehensive understanding of existing sociocultural inequalities is crucial for designing post-pandemic strategies that are gender-inclusive and promote equitable recovery. Such an approach would enhance women informal food vendors’ resilience to emergencies and their contribution to urban household food security and livelihood. Full article
Show Figures

Figure 1

31 pages, 6227 KB  
Article
Between Heritage, Public Space and Gentrification: Rethinking Post-Industrial Urban Renewal in Shanghai’s Xuhui Waterfront
by Qian Du, Bowen Qiu, Wei Zhao and Tris Kee
Land 2026, 15(1), 59; https://doi.org/10.3390/land15010059 (registering DOI) - 29 Dec 2025
Viewed by 20
Abstract
Post-industrial waterfronts have become key arenas of urban transformation, where heritage, public space and social equity intersect. This study examined the Xuhui Waterfront in Shanghai under the ‘One River, One Creek’ initiative, which converted former industrial land into a continuous riverfront corridor of [...] Read more.
Post-industrial waterfronts have become key arenas of urban transformation, where heritage, public space and social equity intersect. This study examined the Xuhui Waterfront in Shanghai under the ‘One River, One Creek’ initiative, which converted former industrial land into a continuous riverfront corridor of parks and cultural venues. The research aimed to evaluate whether this large-scale renewal enhanced social equity or produced new forms of exclusion. A tripartite analytical framework of distributive, procedural and recognitional justice was applied, combining spatial mapping, remote-sensing analysis of vegetation and heat exposure, housing price-to-income ratio assessment, and policy review from 2015 to 2024. The results showed that the continuity of the riverfront, increased greenery and adaptive reuse of industrial structures improved accessibility, environmental quality and cultural enjoyment. However, housing affordability became increasingly polarised, indicating emerging gentrification and generational inequality. This study concluded that this dual outcome reflected the fiscal dependency of state-led renewal on land-lease revenues and high-end development. It suggested that future waterfront projects could adopt financially sustainable yet inclusive models, such as incremental phasing, public–private partnerships and guided self-renewal, to better reconcile heritage conservation, public-space creation and social fairness. Full article
Show Figures

Figure 1

28 pages, 4088 KB  
Article
Research on the Evaluation Method of Urban Water Resources Resilience Based on the DPSIR Model: A Case Study of Dalian City
by Mengmeng Gao, Nan Yang, Yi Wang and Qiong Liu
Water 2026, 18(1), 72; https://doi.org/10.3390/w18010072 - 26 Dec 2025
Viewed by 194
Abstract
Under global climate change and urbanization, enhancing urban water resources resilience (WRR) is crucial. As a typical water-scarce city, Dalian in China faces significant challenges in water security. However, systematic assessments of WRR that integrate spatial and temporal dimensions remain limited. This study [...] Read more.
Under global climate change and urbanization, enhancing urban water resources resilience (WRR) is crucial. As a typical water-scarce city, Dalian in China faces significant challenges in water security. However, systematic assessments of WRR that integrate spatial and temporal dimensions remain limited. This study develops a novel evaluation framework integrating the Driving Force-Pressure-State-Impact-Response (DPSIR) model with the resilience process encompassing the pre-disturbance, during-disturbance, and post-disturbance to quantify the spatiotemporal evolution of WRR in Dalian from 2010 to 2022. The comprehensive Water Resources Resilience Index (WRRI) was calculated using the entropy weight method. The Geodetector and an obstacle degree model were used to identify key driving factors and obstacles. Results indicate an average WRRI of 0.47 with significant fluctuations. Spatially, resilience displayed a “high in the south, low in the north” pattern, with most areas at low-to-moderately low levels. Socio-economic factors such as water resources development and utilization rate, water use per 10,000 yuan of GDP, and proportion of the tertiary industry in GDP, along with natural factors like per capita water resources, were identified as the primary drivers. Obstacle factors varied spatially, reflecting distinct water management challenges across different counties. This study highlights the importance of integrating the resilience process into WRR evaluation and provides a scientific basis for developing targeted strategies to enhance urban water security and sustainable resource management. Full article
Show Figures

Figure 1

21 pages, 4863 KB  
Article
Revealing Emerging Hydroclimatic Shifts: Advanced Trend Analysis of Rainfall and Streamflow in the Navasota River Watershed
by Ali Fares, Ripendra Awal, Anwar Assefa Adem, Anoop Valiya Veettil, Taha B. M. J. Ouarda, Samuel Brody and Marouane Temimi
Hydrology 2026, 13(1), 12; https://doi.org/10.3390/hydrology13010012 - 25 Dec 2025
Viewed by 195
Abstract
Rainfall and streamflow analyses have long been central to hydrological research, yet traditional approaches often overlook the complexity introduced by changing climate signals, land-use dynamics, and human infrastructure. This study applies an integrated, data-driven framework to explore emerging hydroclimatic shifts in the Navasota [...] Read more.
Rainfall and streamflow analyses have long been central to hydrological research, yet traditional approaches often overlook the complexity introduced by changing climate signals, land-use dynamics, and human infrastructure. This study applies an integrated, data-driven framework to explore emerging hydroclimatic shifts in the Navasota River Watershed of east-central Texas. By combining autocorrelation analysis, Mann–Kendall and modified Mann–Kendall trend tests, and Pettitt’s change-point detection, we examine more than a century of precipitation and streamflow records alongside post-1978 reservoir operations. Results reveal an accelerating wetting tendency, particularly evident in decadal rolling averages and early-summer precipitation, accompanied by a statistically significant increase in 10-year moving averages of annual peak streamflow. While abrupt regime shifts were not detected, subtle but persistent changes point to evolving watershed memory and heightened flood risk in the post-dam era. This study reframes rainfall and streamflow trend analysis as a dynamic tool for anticipating hydrologic regime shifts, highlighting the urgent need for adaptive water infrastructure and flood management strategies in rapidly urbanizing and climate-sensitive watersheds. Full article
(This article belongs to the Special Issue Trends and Variations in Hydroclimatic Variables: 2nd Edition)
Show Figures

Figure 1

26 pages, 1821 KB  
Article
Thinking Through Architecture School: Dilemmas of Designing and Building in Contexts of Inequity
by Arlene Oak and Claire Nicholas
Societies 2026, 16(1), 8; https://doi.org/10.3390/soc16010008 - 25 Dec 2025
Viewed by 300
Abstract
The TV series Architecture School depicts entanglements between design (education), urban development, and the complexities of everyday life through its presentation of students in a program of “public-interest” design–build education (wherein students plan and construct homes for low-income families in post-Hurricane Katrina New [...] Read more.
The TV series Architecture School depicts entanglements between design (education), urban development, and the complexities of everyday life through its presentation of students in a program of “public-interest” design–build education (wherein students plan and construct homes for low-income families in post-Hurricane Katrina New Orleans). The series offers a nuanced presentation of the situated difficulties of critical design thinking in the context of creating contemporary homes: starting from the initial stages of sketching and model making, through construction, and finally to managing the occupation of the homes by persons who are typically underserved by contemporary architecture. We provide an analysis of the series through outlining how the show presents its participants (student designer-builders, non-profit housing administrators, potential homeowners). We focus on discussing instances of talk on the TV series to illustrate some of the specific concerns and contexts of these participants. Our aim is to explore Architecture School as a relevant case study in designing and building that reflects a dilemma underpinning much contemporary, urban, and public-interest design: how can socially and economically marginalized individuals acquire innovative, well-designed homes when structural conditions of government policies, financial protocols, and administrative complexity offer sustained constraint? We detail how the series depicts the students, administrators, and potential occupants to consider how stereotypes of architects, bureaucrats, and the working poor are reinforced or challenged. Accordingly, we argue that Architecture School is a cultural text that remains timely and important today for its presentation and critique of both the inside world of design’s aims to design and build for others and also the outside-world challenges that limit design’s capacities to create inclusive and equitable material conditions. Full article
Show Figures

Figure 1

20 pages, 11528 KB  
Article
Design and Management Strategies for Ichthyological Reserves and Recreational Spaces: Lessons from the Redevelopment of the Jadro River Spring, Croatia
by Hrvoje Bartulović and Dujmo Žižić
Land 2026, 15(1), 40; https://doi.org/10.3390/land15010040 - 24 Dec 2025
Viewed by 188
Abstract
Urban rivers are critical ecological and cultural assets facing accelerating biodiversity loss. This study examines the integrated redevelopment of the Jadro River spring in Solin, Croatia, where a protected ichthyological reserve intersects layered heritage and urban edges to enhance conservation and public value. [...] Read more.
Urban rivers are critical ecological and cultural assets facing accelerating biodiversity loss. This study examines the integrated redevelopment of the Jadro River spring in Solin, Croatia, where a protected ichthyological reserve intersects layered heritage and urban edges to enhance conservation and public value. Using a single-case study design that combines archival project documentation, participant observation by the architect–authors, and a post-occupancy review three years after completion, the analysis synthesizes ecological, social, and design evidence across planning, delivery, and operation phases. The project delivered phased visitor and interpretation centers, accessible paths and bridges, habitat-compatible materials, and formalized access management that relocated parking from riverbanks, reduced episodic pollution sources, and prioritized inclusive, low-impact use. Governance and programming established a municipal management plan, curriculum-ready interpretation, and carrying capacity monitoring, transforming an underused picnic area into an educational, recreational, and conservation-oriented public landscape while safeguarding sensitive habitats. A transferable design protocol emerged, aligning blue green infrastructure, heritage conservation, adaptive reuse, and social–ecological system (SES)-informed placemaking to protect the endemic soft-mouth trout and strengthen a sense of place and community stewardship. The case supports SES-based riverpark renewal in which conservative interventions within protected cores are coupled with consolidated services on resilient ground, offering a replicable framework for ecologically constrained urban headwaters. Full article
Show Figures

Graphical abstract

30 pages, 6576 KB  
Article
Landscape Change Detection and Its Impact on Ancient Egyptian UNESCO Built Heritage in Abu Ghurab, Abusir, and Saqqara World Heritage Sites, Badrashin, Giza, Egypt
by Abdelrhman Fahmy
Heritage 2026, 9(1), 5; https://doi.org/10.3390/heritage9010005 - 23 Dec 2025
Viewed by 129
Abstract
Urban expansion causes increasing risks to archaeological heritage and yet few studies have systematically analyzed multi-site urban change using consistent temporal datasets and standardized methods. In this sense, this study addresses this gap by applying a multi-temporal urban change detection framework to the [...] Read more.
Urban expansion causes increasing risks to archaeological heritage and yet few studies have systematically analyzed multi-site urban change using consistent temporal datasets and standardized methods. In this sense, this study addresses this gap by applying a multi-temporal urban change detection framework to the Memphis region, focusing on the Abu Gurab, Abusir and Saqqara sites. To conduct this research, high-resolution satellite imagery from 2004, 2008 and 2025 was processed using harmonized geospatial classification and overlay techniques to quantify built-up area growth and identify zones where modern development threatens key monuments to include the Sun Temples of Userkaf and Nyuserre, and the pyramids of Sahure, Neferirkare and Neferefre. A GIS- and remote sensing-based workflow, combining supervised classification, post-classification comparison and buffer zone analysis, enabled precise monitoring of urban encroachment. Additionally, high-resolution imagery and in situ inspections supported detailed decay mapping of select monuments, using grayscale normalization and false-color analysis to quantify surface deterioration objectively. This approach highlights the progressive impact of urbanization on archaeological structures and provides actionable data for archaeological sites management. Finally, the results contribute to heritage risk assessment, support evidence-based conservation planning, and inform urban planning strategies in line with Sustainable Development Goal 11.4 and the UNESCO Historic Urban Landscape Recommendation (HULR). Full article
(This article belongs to the Special Issue Sustainability for Heritage)
Show Figures

Figure 1

18 pages, 1342 KB  
Article
A Sensor-Based and GIS-Linked Analysis of Road Characteristics Influencing Lateral Passing Distance Between Motor Vehicles and Bicycles in Austria
by Tabea Fian, Georg Hauger, Aggelos Soteropoulos, Veronika Zuser and Maria Scheibmayr
Sensors 2026, 26(1), 87; https://doi.org/10.3390/s26010087 - 22 Dec 2025
Viewed by 218
Abstract
Lateral passing distance (LPD) when motor vehicles overtake cyclists is a key safety metric, yet infrastructure-aware evidence remains limited. This study analyses 11,399 overtaking measurements from Austria’s OpenBikeSensor (OBS) project, spatially linked to the national road graph (GIP), with urban and rural networks [...] Read more.
Lateral passing distance (LPD) when motor vehicles overtake cyclists is a key safety metric, yet infrastructure-aware evidence remains limited. This study analyses 11,399 overtaking measurements from Austria’s OpenBikeSensor (OBS) project, spatially linked to the national road graph (GIP), with urban and rural networks examined separately. LPD was treated as a continuous dependent variable, and bivariate relationships were tested using nonparametric methods: Spearman’s rho/Kendall’s tau for metric predictors (speed limit, lane width, number of lanes) and Kruskal–Wallis tests with Dunn–Holm post hoc adjustments for categorical factors (Functional Road Class, Road Configuration, Infrastructure Type). Effect sizes and confidence intervals supported substantive interpretation. LPD was higher in rural than urban contexts, with compliance to Austria’s 2023 legal thresholds averaging 40% in cities (≥1.5 m) and 19% in rural areas (≥2.0 m). Positive correlations were found between LPD and lane width, speed limit, and functional class. The findings highlight infrastructure-sensitive patterns in sensor-generated LPD and emphasise the importance of clear cyclist allocation or physical separation, especially where high speeds or spatial constraints increase close-passing risk. Full article
(This article belongs to the Section Vehicular Sensing)
Show Figures

Figure 1

43 pages, 1394 KB  
Review
Public Health Communication Challenges in Eastern Europe and Central Asia: A Scoping Review
by Lisa Lim, Aisha Mukasheva, Augustina Osaromiyeke Alegbe, Adaora Nancy Emehel, Bibigul Aubakirova and Yuliya Semenova
Int. J. Environ. Res. Public Health 2026, 23(1), 19; https://doi.org/10.3390/ijerph23010019 - 22 Dec 2025
Viewed by 199
Abstract
This scoping review examines public health communication across nine Eastern European and Central Asian states—Armenia, Azerbaijan, Belarus, Kazakhstan, Kyrgyzstan, Russia, Tajikistan, Turkmenistan, and Uzbekistan—highlighting how these systems have transitioned from Soviet-era legacies to contemporary practices. Eligibility criteria included the English- and Russian-language literature [...] Read more.
This scoping review examines public health communication across nine Eastern European and Central Asian states—Armenia, Azerbaijan, Belarus, Kazakhstan, Kyrgyzstan, Russia, Tajikistan, Turkmenistan, and Uzbekistan—highlighting how these systems have transitioned from Soviet-era legacies to contemporary practices. Eligibility criteria included the English- and Russian-language literature published from 1998 onwards, focusing on nine post-Soviet states. Sources of evidence comprised searches in Google Scholar, ScienceDirect, SSRN, Heliyon, MEDLINE/PubMed, and official government websites. Data were charted by three independent reviewers using a standardized form, with discrepancies resolved by senior reviewers. The review identifies persistent gaps in communication during health crises, with a particular focus on the COVID-19 pandemic, where centralized and hierarchical information flows often undermine transparency and responsiveness, as well as further increased health inequalities between rural and urban health outcomes. Despite ongoing reforms, the communication dimension of healthcare systems remains underdeveloped. Findings reveal that centralized and top-down communication remains a dominant feature across the region, hindering timely dissemination of information and limiting the capacity to counter misinformation, as both misinformation and disinformation sometimes emerge from the government. Ultimately, this review contributes a critical analysis of these systematic communication failures and underscores the need to strengthen public health communication and reduce health inequalities. To do it, governments must prioritize transparency, disclose decision-making processes, and rely on evidence-based messaging to build trust. Effective crisis response requires not only government leadership but also the active engagement of the medical and patient communities, supported by civil society and independent media. This review points out the need for more inclusive, transparent, and trust-oriented communication strategies to enhance public health preparedness and resilience in nine Eastern European and Central Asian contexts. Full article
(This article belongs to the Special Issue Understanding and Addressing Factors Related to Health Inequalities)
Show Figures

Figure A1

16 pages, 5634 KB  
Article
Investigation of the Shear Strength Behavior of Clay Soil Reinforced with Basalt Fiber Using Ring Shear Tests
by Emre Aytug Ozsoy, Hasan Burak Özmen and Ersin Güler
Appl. Sci. 2026, 16(1), 21; https://doi.org/10.3390/app16010021 - 19 Dec 2025
Viewed by 213
Abstract
The limited availability of competent foundation soils in rapidly urbanizing regions makes construction on weak clayey deposits increasingly unavoidable. Such soils typically exhibit low shear strength, high compressibility, and pronounced deformation under undrained conditions, posing significant risks to structural safety and long-term serviceability. [...] Read more.
The limited availability of competent foundation soils in rapidly urbanizing regions makes construction on weak clayey deposits increasingly unavoidable. Such soils typically exhibit low shear strength, high compressibility, and pronounced deformation under undrained conditions, posing significant risks to structural safety and long-term serviceability. In this study, the effect of basalt fiber inclusion on the undrained shear behavior of clay soil obtained from the Kızılyer region of Eskişehir, Türkiye, was experimentally investigated using a ring shear apparatus. Initially, soil classification and index property tests were performed to characterize the material. Subsequently, clay specimens were reinforced with varying basalt fiber contents and subjected to large-strain shearing conditions. The evolution of peak and residual shear strength with increasing fiber dosage was systematically evaluated. The results indicate that basalt fiber reinforcement leads to a substantial enhancement in both peak and residual shear strength and contributes to improved post-peak ductility. The observed improvements are primarily attributed to fiber–soil interaction mechanisms, including tensile bridging and crack-arrest effects, which modify the failure process and delay shear localization. Overall, the findings demonstrate that basalt fiber represents an environmentally compatible and mechanically effective alternative for sustainable soil improvement applications, particularly in clayey soils subjected to undrained loading conditions. Full article
Show Figures

Figure 1

30 pages, 12727 KB  
Article
Regionalized Assessment of Urban Lake Ecosystem Health in China: A Novel Framework Integrating Hybrid Weighting and Adaptive Indicators
by Xi Weng, Dongdong Gao, Xiaogang Tian, Tianshan Zeng, Hongle Shi, Wanping Zhang, Mingkun Guo, Rong Su and Hanxiao Zeng
Sustainability 2025, 17(24), 11381; https://doi.org/10.3390/su172411381 - 18 Dec 2025
Viewed by 338
Abstract
Urban lakes are essential for ecological balance and urban development. This study developed a comprehensive framework to evaluate the ecosystem health of urban lakes in China. Nineteen representative lakes from four lake zones were examined using three decades of remote-sensing data combined with [...] Read more.
Urban lakes are essential for ecological balance and urban development. This study developed a comprehensive framework to evaluate the ecosystem health of urban lakes in China. Nineteen representative lakes from four lake zones were examined using three decades of remote-sensing data combined with hydrological, water-quality, and aquatic–biological investigations. An extended DPSIR model guided the selection of 52 indicators, and a hierarchical weighting scheme was used: the analytic hierarchy process determined criterion-level weights, while principal component analysis with Softmax normalization was used for indicator-level weights. The established index system was applied to Xuanwu Lake and Erhai Lake, and an obstacle-degree model was used to identify key ecological constraints from 2010 to 2020. Results showed that urban lakes in the Yunnan–Guizhou Plateau and Eastern Plain zones were mainly constrained by eutrophication and intensive urbanization, with state- and impact-related indicators contributing most to the health index. The framework captured the decline of Xuanwu Lake, driven by poor water exchange and external nutrient loading, and its subsequent improvement following governance interventions, as well as the post-2014 degradation of Erhai Lake driven by climate-induced hydrological stress and non-point source pollution, providing a practical tool for diagnosing constraints and supporting adaptive, region-specific lake management. Full article
Show Figures

Figure 1

14 pages, 5838 KB  
Article
A Digital Model of Urban Memory Transfer Using Map-Based Crowdsourcing: The Case of Kütahya
by Hatice Kübra Saraoğlu Yumni and Derya Güleç Özer
Heritage 2025, 8(12), 545; https://doi.org/10.3390/heritage8120545 - 18 Dec 2025
Viewed by 219
Abstract
This study presents the e[kent-im] model, a map-based crowdsourcing initiative that digitizes and safeguards urban memory and cultural heritage through community participation and digital tools. The model facilitates the collection, archiving, and dissemination of urban memories by fostering intergenerational knowledge transfer and encouraging [...] Read more.
This study presents the e[kent-im] model, a map-based crowdsourcing initiative that digitizes and safeguards urban memory and cultural heritage through community participation and digital tools. The model facilitates the collection, archiving, and dissemination of urban memories by fostering intergenerational knowledge transfer and encouraging civic engagement in heritage preservation. Implemented in the historical center of Kütahya/Türkiye, the project gathered 150 memories and stories from 12 senior participants aged 50–85, which were linked to 303 historical visuals sourced from personal archives. These materials were integrated into a custom-designed web and mobile interface (Mapotic Pro) enriched with metadata categories such as type, period, and location, enabling users to filter and navigate content effectively and watch the videos enriched with participant narratives. A digital city archive matrix was also developed to systematically organize the collected data and support the web-based platform. To assess the platform’s effectiveness, a pilot study with 15 young participants aged 18–28 was conducted. During a self-guided city tour, participants engaged with historical content on the platform and provided feedback through pre- and post-test evaluations. Results indicated heightened awareness of and interest in cultural heritage, demonstrating the model’s potential as both an interactive archive and a tool facilitating intergenerational heritage awareness. Overall, this study highlights the model’s adaptability, scalability, and capacity to bridge generational and technological divides. Full article
(This article belongs to the Special Issue Cultural Landscape and Sustainable Heritage Tourism)
Show Figures

Figure 1

Back to TopTop