Is the Relationship between Transportation and Communications Industries Complementary or Substitutional? An Asian Countries-Based Empirical Analysis Using Input-Output Accounts
Abstract
1. Introduction
- Is there clear evidence of a particular relationship between two sectors in Asia?
- Can we make a consensus that that relationship is globally shifting from substitution to complementarity, getting into the early stage of complementarity, or else?
- Are those findings useful to expect travel behavior patterns with the advent of autonomous vehicles (AVs) future or sustainable transportation in the future?
2. Data Descriptions
2.1. Data Structure
2.2. Data Collection
2.3. Data Manipulation
3. Methodology
3.1. Calculating Direct and Total Coefficients
3.2. Economic Contribution-Based Weight (ECBW)
3.3. Spearman Correlation Analysis
- Relationship between TM and CM;
- Relationship between TM and CU;
- Relationship between TU and CM;
- Relationship between TU and CU;
- Relationship between AT and AC.
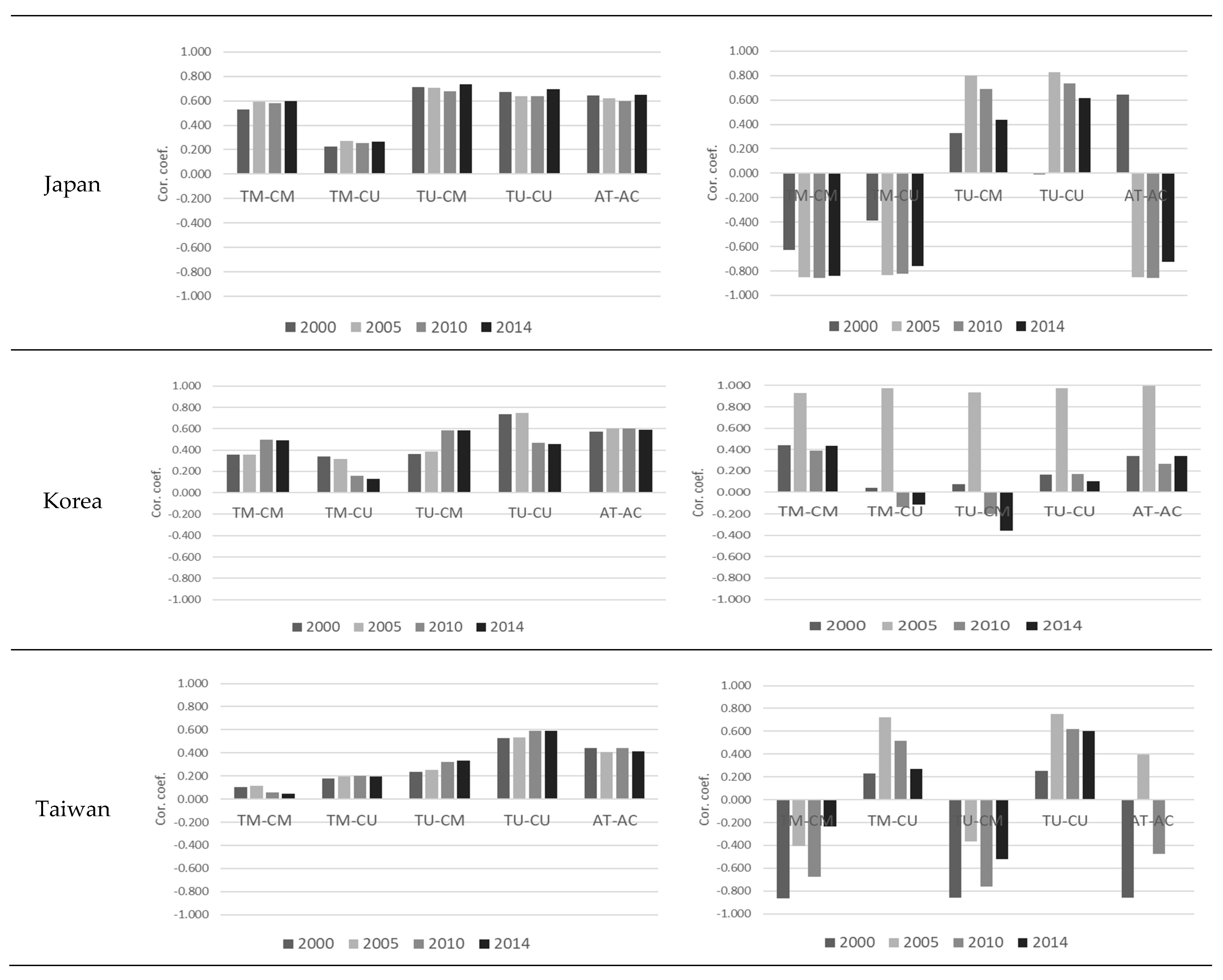
4. Relationships Analysis and Interpretation
4.1. Direct Analysis
4.2. Total Analysis
4.3. Overall Trends in Leading Western Countries and Its Comparison with Asia
5. Discussion and Conclusions
Author Contributions
Funding
Acknowledgments
Conflicts of Interest
Appendix A
| Aggregate Category | Activity | ||
|---|---|---|---|
| Lee and Mokhtarian [20] (1) | Choo, Chang, Mokhtarian and Hwang [18] (2) | This Study | |
| Communications manufacturing (CM) | 3341: Computer and peripheral equipment manufacturing 334A: Audio, video, and communications equipment manufacturing | 32: Radio, television and communication equipment | C26: Manufacture of computer, electronic and optical products |
| Transportation manufacturing (TM) | 3361: Motor vehicle manufacturing 336A: Motor vehicle body, trailer, and parts manufacturing 364: Aerospace product and parts manufacturing 336B: Other transportation equipment manufacturing 3240: Petroleum and coal products manufacturing | 34: Motor vehicles, trailers, and semi-trailers 351: Building & repairing of ships and boats 353: Aircraft and spacecraft 352&359: Railroad equipment and transportation equipment n.e.c | C29: Manufacture of motor vehicles, trailers and semi-trailers C30: Manufacture of other transport equipment |
| Transportation utilities (TU) | 4820: Rail transportation 4850: Transit and ground passenger transportation 4840: Trucking transportation 4930: Warehousing and storage 4830: Water transportation 4810: Air transportation 48A0: Scenic and sightseeing transportation and support activities for transportation 4920: Couriers and messengers 5615: Travel arrangement and reservation services | 60: Land transport; transport via pipelines 61: Water transport 62: Air transport 63: Supporting & auxiliary transport activities; activities of travel agencies | H49: Land transport and transport via pipelines H50: Water transport H51: Air transport H52: Warehousing and support activities for transportation |
| Communications utilities (CU) | 5133: Telecommunications 5131: Radio and television broadcasting 5132: Cable networks and program distribution | 64: Post and telecommunications | J61: Telecommunications J62–J63: Computer programming, consultancy and related activities; information service activities |
Appendix B
| Country | Year | Direct Analysis | Total Analysis | ||||||||
|---|---|---|---|---|---|---|---|---|---|---|---|
| TM-CM | TM-CU | TU-CM | TU-CU | AT-AC | TM-CM | TM-CU | TU-CM | TU-CU | AT-AC | ||
| China | 2000 | 0.345 ** | 0.529 *** | 0.698 *** | 0.569 *** | 0.426 *** | 0.428 *** | 0.342 *** | 0.357 *** | 0.310 *** | |
| 2005 | 0.546 *** | 0.674 *** | 0.598 *** | −0.509 *** | −0.290 *** | ||||||
| 2010 | 0.200 *** | 0.612 *** | 0.553 *** | 0.501 *** | 0.735 *** | 0.652 *** | |||||
| 2014 | 0.614 *** | 0.467 *** | 0.517 *** | 0.738 *** | 0.429 *** | 0.674 *** | |||||
| India | 2000 | 0.320 ** | 0.417 *** | 0.397 *** | 0.610 *** | 0.428 *** | 0.494 *** | 0.531 *** | 0.683 *** | ||
| 2005 | 0.366 ** | 0.502 *** | 0.454 *** | 0.976 *** | 0.941 *** | 0.903 *** | 0.917 *** | 0.930 *** | |||
| 2010 | 0.308 ** | 0.424 *** | 0.479 *** | 0.428 *** | 0.910 *** | 0.901 *** | 0.903 *** | 0.917 *** | 0.930 *** | ||
| 2014 | 0.428 *** | 0.462 *** | 0.450 *** | 0.874 *** | 0.896 *** | 0.861 *** | 0.908 *** | 0.917 *** | |||
| Indonesia | 2000 | 0.577 *** | 0.559 *** | 0.888 *** | 0.958 *** | 0.894 *** | 0.968 *** | 0.981 *** | |||
| 2005 | 0.492 *** | 0.751 *** | 0.773 *** | 0.806 *** | 0.826 *** | 0.793 *** | 0.893 *** | 0.912 *** | |||
| 2010 | 0.517 *** | 0.523 *** | 0.884 *** | 0.909 *** | 0.864 *** | 0.920 *** | 0.904 *** | ||||
| 2014 | 0.589 *** | 0.567 *** | 0.907 *** | 0.944 *** | 0.898 *** | 0.950 *** | 0.941 *** | ||||
| Japan | 2000 | 0.530 *** | 0.713 *** | 0.671 *** | 0.645 *** | −0.626 *** | −0.385 *** | 0.327 ** | 0.646 *** | ||
| 2005 | 0.590 *** | 0.709 *** | 0.638 *** | 0.619 *** | −0.854 *** | −0.837 *** | 0.798 *** | 0.828 *** | −0.854 *** | ||
| 2010 | 0.582 *** | 0.679 *** | 0.637 *** | 0.600 *** | −0.857 *** | −0.823 *** | 0.692 *** | 0.738 *** | −0.859 *** | ||
| 2014 | 0.600 *** | 0.733 *** | 0.693 *** | 0.648 *** | −0.840 *** | −0.762 *** | 0.435 *** | 0.613 *** | −0.725 *** | ||
| Korea | 2000 | 0.363 *** | 0.738 *** | 0.574 *** | 0.438 *** | 0.337 *** | |||||
| 2005 | 0.384 *** | 0.749 *** | 0.603 *** | 0.930 *** | 0.974 *** | 0.935 *** | 0.976 *** | 0.998 *** | |||
| 2010 | 0.496 *** | 0.586 *** | 0.470 *** | 0.604 *** | 0.391 *** | ||||||
| 2014 | 0.494 *** | 0.582 *** | 0.454 *** | 0.592 *** | 0.436 *** | −0.357 *** | 0.342 *** | ||||
| Taiwan | 2000 | 0.529 *** | 0.439 *** | −0.867 *** | −0.858 *** | −0.858 *** | |||||
| 2005 | 0.536 *** | 0.410 *** | −0.406 *** | 0.722 *** | −0.366 *** | 0.750 *** | 0.396 *** | ||||
| 2010 | 0.321 *** | 0.588 *** | 0.440 *** | −0.676 *** | 0.519 *** | −0.761 *** | 0.621 *** | −0.474 *** | |||
| 2014 | 0.331 *** | 0.592 *** | 0.412 *** | −0.521 *** | 0.603 *** | ||||||
| Country | Year | Direct Analysis | Total Analysis | ||||||||
|---|---|---|---|---|---|---|---|---|---|---|---|
| TM-CM | TM-CU | TU-CM | TU-CU | AT-AC | TM-CM | TM-CU | TU-CM | TU-CU | AT-AC | ||
| France | 2000 | 0.551 *** | 0.410 *** | 0.515 *** | 0.575 *** | 0.575 *** | 0.700 *** | 0.607 *** | 0.465 *** | 0.547 *** | |
| 2005 | 0.594 *** | 0.450 *** | 0.477 *** | 0.552 *** | 0.493 *** | 0.852 *** | 0.418 *** | 0.848 *** | 0.611 *** | 0.568 *** | |
| 2010 | 0.535 *** | 0.379 *** | 0.536 *** | 0.566 *** | 0.517 *** | 0.896 *** | 0.595 *** | 0.965 *** | 0.720 *** | 0.719 *** | |
| 2014 | 0.548 *** | 0.397 *** | 0.560 *** | 0.589 *** | 0.513 *** | 0.910 *** | 0.646 *** | 0.984 *** | 0.743 *** | 0.766 *** | |
| Germany | 2000 | 0.531 *** | 0.706 *** | 0.349 *** | 0.367 *** | −0.576 *** | −0.701 *** | −0.484 *** | |||
| 2005 | 0.503 *** | 0.717 *** | 0.333 *** | 0.324 *** | −0.555 *** | −0.717 *** | −0.482 *** | ||||
| 2010 | 0.527 *** | 0.376 *** | 0.693 *** | 0.410 *** | 0.436 *** | −0.397 *** | −0.518 *** | −0.378 *** | −0.377 *** | −0.551 *** | |
| 2014 | 0.582 *** | 0.349 *** | 0.709 *** | 0.430 *** | 0.453 *** | −0.449 *** | −0.451 *** | −0.402 *** | |||
| Italy | 2000 | 0.562 *** | 0.347 *** | 0.731 *** | 0.565 *** | 0.579 *** | 0.379 *** | 0.403 *** | |||
| 2005 | 0.531 *** | 0.335 *** | 0.717 *** | 0.565 *** | 0.566 *** | −0.481 *** | −0.909 *** | −0.472 *** | −0.873 *** | −0.887 *** | |
| 2010 | 0.589 *** | 0.497 *** | 0.592 *** | 0.588 *** | 0.598 *** | ||||||
| 2014 | 0.565 *** | 0.487 *** | 0.531 *** | 0.549 *** | 0.565 *** | −0.411 *** | |||||
| The Nethe- | 2000 | 0.562 *** | 0.347 *** | 0.731 *** | 0.565 *** | 0.579 *** | 0.379 *** | 0.403 *** | |||
| lands | 2005 | 0.531 *** | 0.335 *** | 0.717 *** | 0.565 *** | 0.566 *** | −0.481 *** | −0.909 *** | −0.472 *** | −0.873 *** | −0.887 *** |
| 2010 | 0.589 *** | 0.497 *** | 0.592 *** | 0.558 *** | 0.565 *** | ||||||
| 2014 | 0.565 *** | 0.487 *** | 0.531 *** | 0.549 *** | 0.565 *** | −0.411 *** | |||||
| The UK | 2000 | 0.499 *** | 0.415 *** | 0.716 *** | 0.663 *** | 0.648 *** | 0.937 *** | 0.826 *** | 0.993 *** | 0.899 *** | 0.899 *** |
| 2005 | 0.544 *** | 0.417 *** | 0.732 *** | 0.686 *** | 0.655 *** | 0.944 *** | 0.831 *** | 0.989 *** | 0.893 *** | 0.892 *** | |
| 2010 | 0.497 *** | 0.564 *** | 0.431 *** | 0.723 *** | 0.725 *** | 0.882 *** | 0.966 *** | 0.908 *** | 0.997 *** | 0.998 *** | |
| 2014 | 0.472 *** | 0.530 *** | 0.389 *** | 0.732 *** | 0.743 *** | 0.854 *** | 0.783 *** | 0.916 *** | 0.878 *** | 0.868 *** | |
| The US | 2000 | 0.481 *** | 0.361 *** | 0.505 *** | 0.508 *** | 0.582 *** | 0.884 *** | 0.876 *** | 0.888 *** | 0.888 *** | 0.968 *** |
| 2005 | 0.500 *** | 0.440 *** | 0.453 *** | 0.485 *** | 0.505 *** | 0.964 *** | 0.933 *** | 0.941 *** | 0.934 *** | 0.950 *** | |
| 2010 | 0.553 *** | 0.494 *** | 0.464 *** | 0.513 *** | 0.505 *** | 0.956 *** | 0.902 *** | 0.928 *** | 0.921 *** | 0.915 *** | |
| 2014 | 0.471 *** | 0.416 *** | 0.492 *** | 0.541 *** | 0.513 *** | 0.959 *** | 0.933 *** | 0.936 *** | 0.942 *** | 0.948 *** | |
References
- Choi, S.; Mokhtarian, P.L. How attractive is it to use the internet while commuting? A work-attitude-based segmentation of Northern California commuters. Transp. Res. A 2020, unpublished work. [Google Scholar]
- Jing, P.; Huang, H.; Ran, B.; Zhan, F.; Shi, Y. Exploring the Factors Affecting Mode Choice Intention of Autonomous Vehicle Based on an Extended Theory of Planned Behavior—A Case Study in China. Sustainability 2019, 11, 1155. [Google Scholar] [CrossRef]
- Machado, C.; de Salles Hue, N.; Berssaneti, F.; Quintanilha, J. An Overview of Shared Mobility. Sustainability 2018, 10, 4342. [Google Scholar] [CrossRef]
- Salomon, I. Telecommunications and travel: Substitution or modified mobility? J. Transp. Econ. Pol. 1985, 19, 219–235. [Google Scholar]
- Malokin, A.; Circella, G.; Mokhtarian, P.L. How do activities conducted while commuting influence mode choice? Using revealed preference models to inform public transportation advantage and autonomous vehicle scenarios. Transp. Res. A 2019, 124, 82–114. [Google Scholar] [CrossRef]
- Mokhtarian, P.L. A typology of relationships between telecommunications and transportation. Transp. Res. A 1990, 24, 231–242. [Google Scholar] [CrossRef]
- Zijlstra, W. The Impact of Personal ICTs on Mobility Behavior: A Study on the Impact of Personal ICTs on the Amount of Travel and Mode Choice Using the First Wave of the Dutch Mobility Panel. Master’s Thesis, University of Twente, Enschede, The Netherlands, 2015. Available online: https://essay.utwente.nl/66751/1/Master%20Thesis%20Final%20Version%20-%20W.G.Zijlstra.pdf (accessed on 9 April 2020).
- Quaid, M.; Lagerberg, B. Puget Sound Telecommuting Demonstration. Executive Summary. WSEO--92-138-Rev.ON: DE93007486; Washington State Energy Office: Olympia, WA, USA, 1992. [Google Scholar]
- Mokhtarian, P.L. Telecommunications and travel: The case for complementarity. J. Ind. Ecol. 2002, 6, 43–57. [Google Scholar] [CrossRef]
- Salomon, I. Telecommunications and travel relationships: A review. Transp. Res. A 1986, 20, 223–238. [Google Scholar] [CrossRef]
- Hamer, R.; Kroes, E.; Van Ooststroom, H. Teleworking in the Netherlands: An evaluation of changes in travel behaviour. Transportation 1991, 18, 365–382. [Google Scholar] [CrossRef]
- Van Wee, B. Peak car: The first signs of a shift towards ICT-based activities replacing travel? A discussion paper. Transp. Policy 2015, 42, 1–3. [Google Scholar]
- Shabanpour, R.; Golshani, N.; Tayarani, M.; Auld, J.; Mohammadian, A.K. Analysis of telecommuting behavior and impacts on travel demand and the environment. Transp. Res. D 2018, 62, 563–576. [Google Scholar] [CrossRef]
- Choo, S.; Mokhtarian, P.L. Do telecommunications affect passenger travel or vice versa?: Structural equation models of aggregate US time series data using composite indexes. Transp. Res. Rec. 2005, 1926, 224–232. [Google Scholar] [CrossRef]
- Dal Fiore, F.; Mokhtarian, P.L.; Salomon, I.; Singer, M.E. “Nomads at last”? A set of perspectives on how mobile technology may affect travel. J. Transp. Geogr. 2014, 41, 97–106. [Google Scholar] [CrossRef]
- Selvanathan, E.A.; Selvanathan, S. The demand for transport and communication in the United Kingdom and Australia. Transp. Res. B 1994, 28, 1–9. [Google Scholar] [CrossRef]
- Choo, S.; Lee, T.; Mokhtarian, P.L. Relationships between US consumer expenditures on communications and transportation using Almost Ideal Demand System modeling: 1984–2002. Transport. Plan. Technol. 2007, 30, 431–453. [Google Scholar] [CrossRef][Green Version]
- Choo, S.; Chang, Y.; Mokhtarian, P.L.; Hwang, K. Are the complementary relationships between transportation and communications for industrial uses dominant? A case study for Asian countries. In Proceedings of the Transportation Research Board 91th Annual Meeting, Washington, DC, USA, 22–26 January 2012. [Google Scholar]
- Plaut, P.O. Transportation-communications relationships in industry. Transp. Res. A 1997, 31, 419–429. [Google Scholar] [CrossRef]
- Lee, T.; Mokhtarian, P.L. Correlations between industrial demands (direct and total) for communications and transportation in the US economy 1947–1997. Transportation 2008, 35, 1–22. [Google Scholar] [CrossRef][Green Version]
- Choi, S.; Choo, S.; Kim, S. Exploring the influences of compact development on zone-based travel patterns: A case study of the Seoul metropolitan area. Transp. Lett. 2019, 1–13. [Google Scholar] [CrossRef]
- Horowitz, K.J.; Planting, M.A. Concepts and Methods of the Us Input-Output Accounts; US Bureau of Economic Analysis, U.S. Department of Commerce: Suitland, MD, USA, 2006. [Google Scholar]
- United Nations. International Standard Industrial Classification of All Economic Activities (ISIC), Rev. 4, ST/ESA/STAT/SER.M/4/Rev.4; Deparment of Economic and Social Affairs: New York, NY, USA, 2008. [Google Scholar]
- Timmer, M.P.; Dietzenbacher, E.; Los, B.; Stehrer, R.; De Vries, G.J. An illustrated user guide to the world input–output database: The case of global automotive production. Rev. Int. Econ. 2015, 23, 575–605. [Google Scholar] [CrossRef]
- Saunders, R.J.; Warford, J.J.; Wellenius, B. Telecommunications and Economic Development; Johns Hopkins University Press: Baltimore, MD, USA, 1983. [Google Scholar]
- Lee, T.; Mokhtarian, P.L. An Input-Output Analysis of the Relationships between Communications and Travel for Industry; Institute of Transportation Studies of UC Davis: Davis, CA, USA, 2004. [Google Scholar]
- Mokhtarian, P. If telecommunication is such a good substitute for travel, why does congestion continue to get worse? Transp. Lett. 2009, 1, 1–17. [Google Scholar] [CrossRef]
- Schikofsky, J.; Dannewald, T.; Kowald, M. Exploring motivational mechanisms behind the intention to adopt mobility as a service (MaaS): Insights from Germany. Transp. Res. A 2020, 131, 296–312. [Google Scholar] [CrossRef]




| Commodity by Industry | Final Demand | Total Use | |||||
|---|---|---|---|---|---|---|---|
| 1 | 2 | j | |||||
| Intermediate by industry | 1 | ||||||
| 2 | |||||||
| i | |||||||
| Value added | |||||||
| Gross output | |||||||
| ISIC Rev.4 Code | Description | Category (This Study) |
|---|---|---|
| A01–A03 | Agriculture, forestry, and fishing | |
| B05–B09 | Mining and quarrying | |
| C10–C33 | Manufacturing | |
| C26 | Manufacture of computer, electronic, and optical products | Communications Manufacturing (CM) |
| C29 | Manufacture of motor vehicles, trailers, and semi-trailers | Transportation Manufacturing (TM) |
| C30 | Manufacture of other transport equipment | |
| D35 | Electricity, gas, steam, and air conditioning supply | |
| E36–E39 | Water supply; sewerage, waste management, and remediation activities | |
| F41–F43 | Construction | |
| G45–G47 | Wholesale and retail trade, repair of motor vehicles and motorcycles | |
| H49–H53 | Transportation and storage | |
| H49 | Land transport and transport via pipelines | Transportation Utilities (TU) |
| H50 | Water transport | |
| H51 | Air transport | |
| H52 | Warehousing and support activities for transportation | |
| I55–I56 | Accommodation and food service activities | |
| J58–J63 | Information and communication | |
| J61 | Telecommunications | Communications Utilities (CU) |
| J62–J63 | Computer programming, consultancy, and related activities, information service activities | |
| K64–K66 | Financial and insurance activities | |
| L68 | Real estate activities | |
| M69–M75 | Professional, scientific, and technical activities | |
| N77–N82 | Administrative and support service activities | |
| O84 | Public administration and defense, compulsory social security | |
| P85 | Education | |
| Q86–Q88 | Human health and social work activities | |
| R90–R93 | Arts, entertainment and recreation | |
| S94–S96 | Other service activities | |
| T97–T98 | Activities of households as employers, undifferentiated goods-and services-producing activities of households for own use | |
| U99 | Activities of extraterritorial organizations and bodies |
© 2020 by the authors. Licensee MDPI, Basel, Switzerland. This article is an open access article distributed under the terms and conditions of the Creative Commons Attribution (CC BY) license (http://creativecommons.org/licenses/by/4.0/).
Share and Cite
Choi, S.; Choo, S.; Kim, S. Is the Relationship between Transportation and Communications Industries Complementary or Substitutional? An Asian Countries-Based Empirical Analysis Using Input-Output Accounts. Sustainability 2020, 12, 3085. https://doi.org/10.3390/su12083085
Choi S, Choo S, Kim S. Is the Relationship between Transportation and Communications Industries Complementary or Substitutional? An Asian Countries-Based Empirical Analysis Using Input-Output Accounts. Sustainability. 2020; 12(8):3085. https://doi.org/10.3390/su12083085
Chicago/Turabian StyleChoi, Sungtaek, Sangho Choo, and Sujae Kim. 2020. "Is the Relationship between Transportation and Communications Industries Complementary or Substitutional? An Asian Countries-Based Empirical Analysis Using Input-Output Accounts" Sustainability 12, no. 8: 3085. https://doi.org/10.3390/su12083085
APA StyleChoi, S., Choo, S., & Kim, S. (2020). Is the Relationship between Transportation and Communications Industries Complementary or Substitutional? An Asian Countries-Based Empirical Analysis Using Input-Output Accounts. Sustainability, 12(8), 3085. https://doi.org/10.3390/su12083085

