Effect of Long-Term Nitrogen Addition on Wheat Yield, Nitrogen Use Efficiency, and Residual Soil Nitrate in a Semiarid Area of the Loess Plateau of China
Abstract
1. Introduction
2. Materials and Methods
2.1. Site Description
2.2. Experimental Design and Field Management
2.3. Soil Samples and Analysis
2.4. Methodology
2.4.1. Residual Soil NO3-N
2.4.2. Utilization Efficiency of N Fertilizer
2.5. Statistical Analysis
3. Results
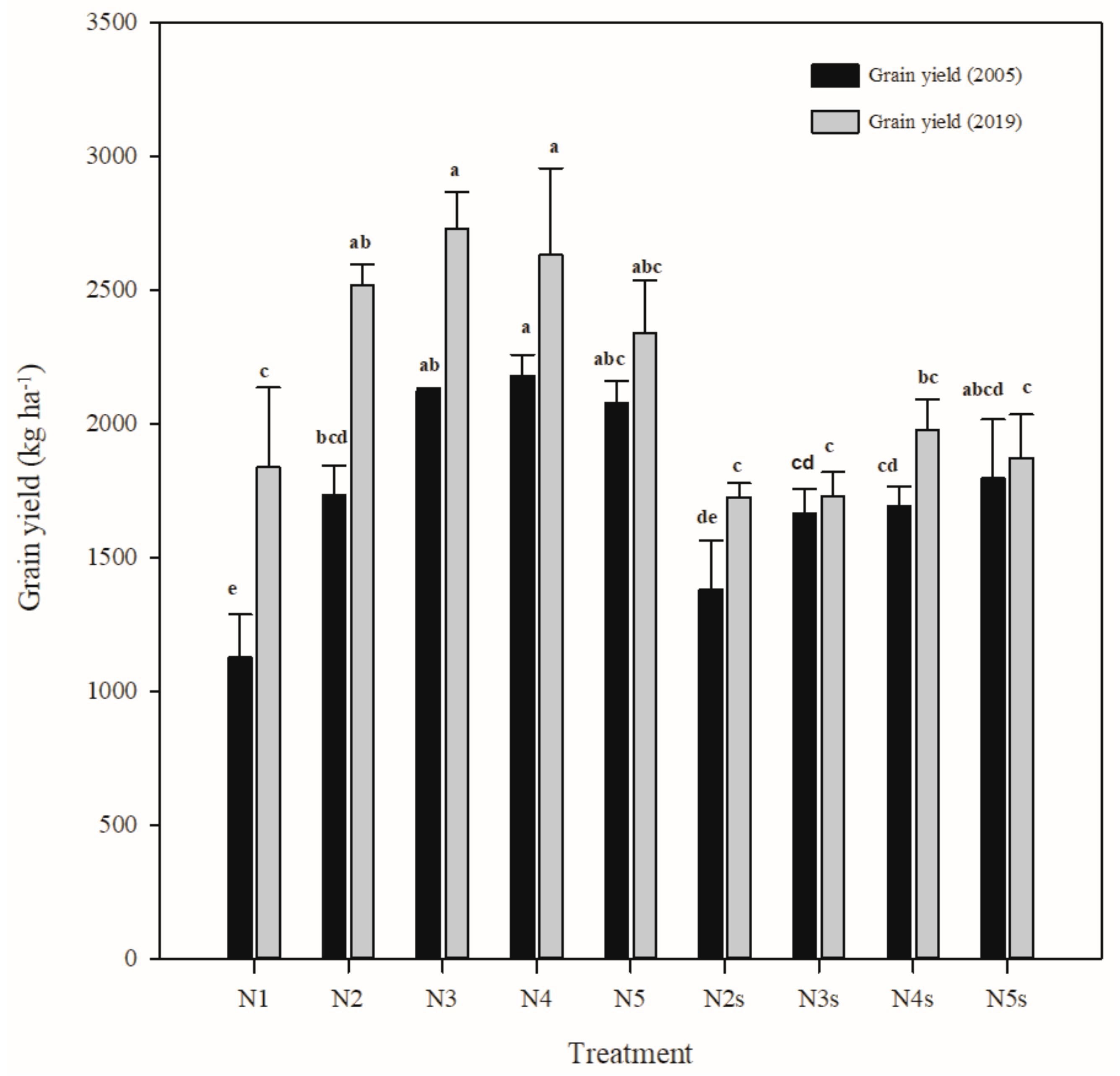
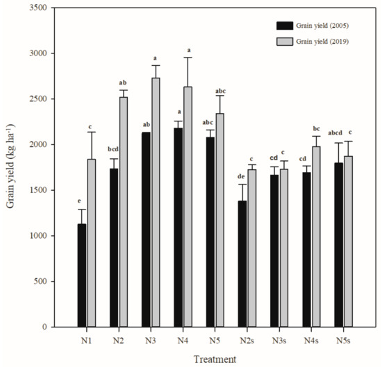
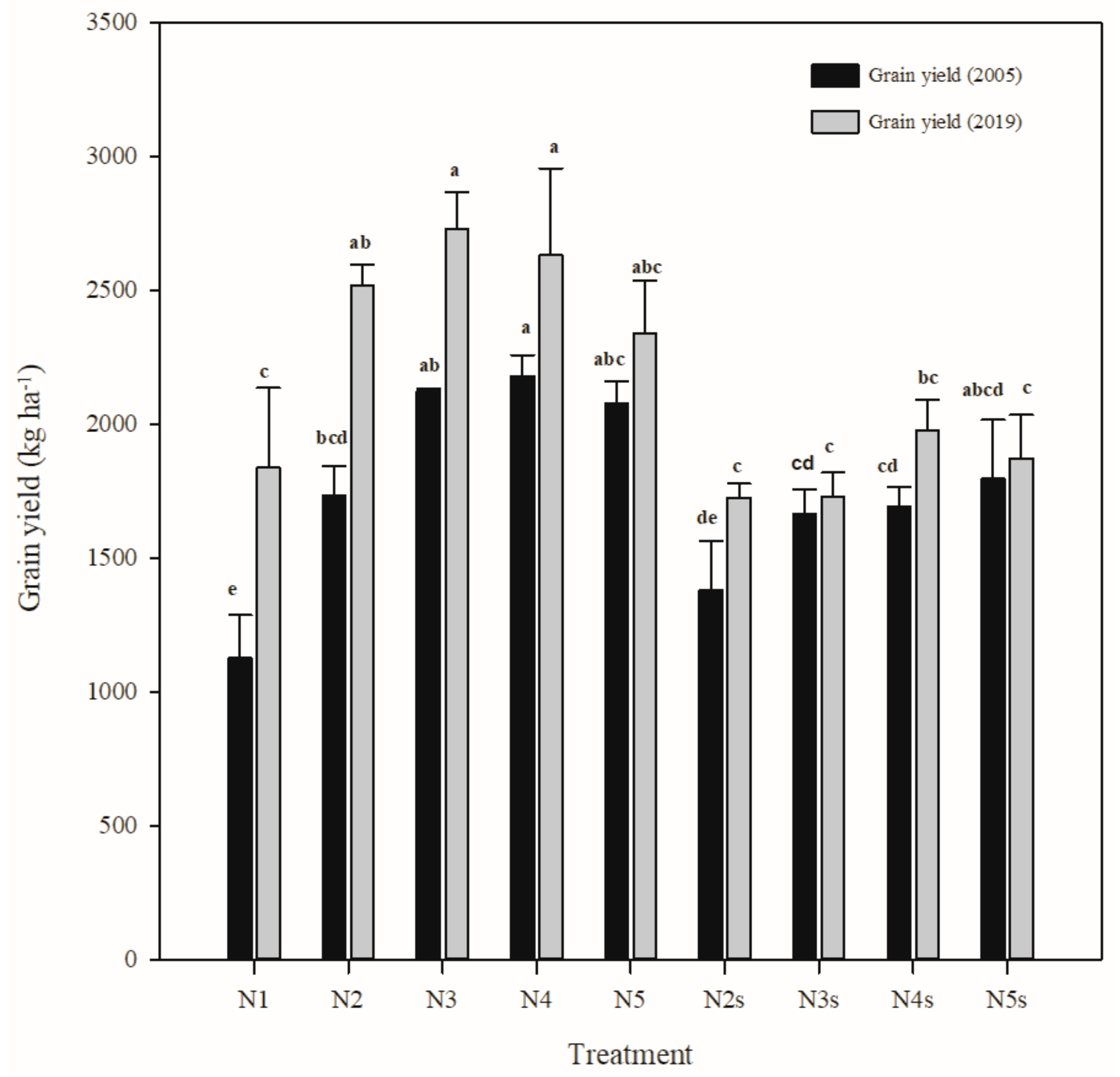
3.1. Wheat Yield
3.2. Crop Nitrogen Accumulation
3.3. Soil NO3-N
3.4. Soil Total N
3.5. Relationship between Soil NO3-N and Wheat N Accumulation and Grain Yield
3.6. Effects of N Fertilizer Application Rate on N Use Efficiency
4. Discussion
4.1. Impacts of N Fertilization on Wheat Yield and Crop N Accumulation
4.2. Soil N Accumulation and N Uptake
4.3. Residual Effects of N Fertilizer
4.4. N Fertilizer Use Efficiency
5. Conclusions
Author Contributions
Funding
Conflicts of Interest
References
- Chen, X.C.; Chen, F.J.; Chen, Y.L.; Gao, Q.; Yang, X.L.; Yuan, L.X.; Zhang, F.S.; Mi, G.H. Modern maize hybrids in Northeast China tolerate exhibit increased yield potential and resource use efficiency despite the adverse climate change. Glob. Chang. Biol. 2013, 19, 923–936. [Google Scholar] [CrossRef] [PubMed]
- Shiferaw, B.; Prasanna, B.M.; Hellin, J.; Bänziger, M. Crops that feed the world 6. Past successes and future challenges to the role played by maize in global food security. Food Secur. 2011, 3, 307–327. [Google Scholar] [CrossRef]
- Yuan, S.; Peng, S. Exploring the T rends in Nitrogen Input and Nitrogen Use Efficiency for Agricultural Sustainability. Sustainability 2017, 9, 1905. [Google Scholar] [CrossRef]
- Cao, Y.; Fan, X.; Sun, S.; Xu, G.; Hu, J.; Shen, Q. Effect of nitrate on activities and transcript levels of nitrate reductase and glutamine synthetase in rice. Pedosphere 2008, 18, 664–673. [Google Scholar] [CrossRef]
- Papastylianou, I. Residual effect of crop rotation and nitrogen fertilizer treatments following a 20-Year study. Tech. Bull. 2007, 228, 9. [Google Scholar]
- Yu, K.; Fan, Q.L.; Wei, J.R.; Yu, D.; Li, J.R. Nitrogen remobilization in shoots of Paris poly phyllais altered by gibberellic acid application during senescence. Biol. Plant. 2012, 56, 717–723. [Google Scholar] [CrossRef]
- Vilmus, I.; Ecarnot, M.; Verzelen, N.; Roumet, P. Monitoring nitrogen leaf resorption kinetics by near-Infrared spectroscopy during grain filling in durum wheat in different nitrogen availability conditions. Crop Sci. 2013, 54, 284. [Google Scholar] [CrossRef]
- Peng, G.; Lu, L.; Qiang, Z. China must reduce fertilizer use too. Nature 2011, 473, 284–285. [Google Scholar]
- Lakesh, K.S.; Sukhwinder, K.B. A Review of Methods to Improve Nitrogen Use Efficiency in Agriculture. Sustainability 2018, 10, 51. [Google Scholar]
- The Food and Agriculture Organization (FAO). FAOSTAT. Available online: http://www.fao.org/faostat/en/#data/QC (accessed on 19 January 2018).
- Li, H.; Zhang, W.; Zhang, F.; Du, F.; Li, L. Chemical fertilizer use and efficiency change of main grain crops in China. Plant Nutr. Fertil. Sci. 2010, 16, 1136–1143. [Google Scholar]
- Beckie, H.J.; Brandt, S.A. Nitrogen contribution of field pea in annual cropping systems. 1. Nitrogen residual effect. Can. J. Plant Sci. 1997, 77, 311–322. [Google Scholar] [CrossRef]
- Petersen, J.; Thomsen, I.K.; Mattsson, L.; Hansen, E.M.; Christensen, B.T. Grain yield and crop N offtake in response to residual fertilizer N in long-term field experiments. Soil Use Manag. 2010, 26, 455–464. [Google Scholar] [CrossRef]
- Grant, C.A.; O’Donovan, J.T.; Blackshaw, R.E.; Harker, K.N.; Johnson, E.N.; Gan, Y.; Lafond, G.P.; May, W.E.; Turkington, T.K.; Lupwayi, N.Z.; et al. Residual effects of preceding crops and nitrogen fertilizer on yield and crop and soil N dynamics of spring wheat and canola in varying environments on the Canadian prairies. Field Crops Res. 2016, 192, 86–102. [Google Scholar] [CrossRef]
- Peoples, M.B.; Boyer, E.W.; Goulding, K.W.T.; Heffer, P.; Ochwoh, V.A.; van Lauwe, B.; Wood, S.; Yagi, K.; van Cleemput, O. Pathways of nitrogen loss and their impactson human health and the environment. Agric. Nitrogen Cycle 2004, 65, 53–69. [Google Scholar]
- Cassman, K.G.; Dobermann, A.; Walters, D.T. Agroecosystems, nitrogen-Use efficiency, and nitrogen management. AMBIO 2002, 31, 132–140. [Google Scholar] [CrossRef]
- Lyngstad, I. Residual Effects of Fertilizer Nitrogen in Soil. Acta Agric. Scand. 2009, 25, 330–336. [Google Scholar] [CrossRef]
- Kong, L.; Xie, Y.; Hu, L.; Si, J.; Wang, Z. Excessive nitrogen application dampens antioxidant capacity and grain filling in wheat as revealed by metabolic and physiological analyses. Sci. Rep. 2017, 7, 43363. [Google Scholar] [CrossRef]
- O′Donovan, J.T.; Grant, C.A.; Blackshaw, R.E.; Harker, K.N.; Johnson, E.N.; Gan, Y.; Lafond, G.P.; May, W.E.; Turkington, T.K.; Lupwayi, N.Z.; et al. Rotational Effects of Legumes and Non-Legumes on Hybrid Canola and Malting Barley. Agron. J. 2014, 106, 1921. [Google Scholar] [CrossRef]
- Khakbazan, M.; Grant, C.A.; Huang, J.; Smith, E.G.; O′Donovan, J.T.; Blackshaw, R.E.; Harker, K.N.; Lafond, G.P.; Johnson, E.N.; Gan, Y. Economic Effects of Preceding Crops and Nitrogen Application on Canola and Subsequent Barley. Agron. J. 2014, 106, 2055. [Google Scholar] [CrossRef]
- Lingan, K.; Mingze, S.; Fahong, W.; Jia, L.; Bo, F.; Jisheng, S.; Bin, Z.; Shengdong, L.; Huawei, L. Effects of high NH (+) 4 on K (+) uptake, culm mechanical strength and grain filling in wheat. Front. Plant Sci. 2014, 5, 703. [Google Scholar]
- Hangs, R.D.; Schoenau, J.J.; Lafond, G.; Breme, E. The effect of nitrogen fertilization and no-Till duration on soil nitrogen supply power and post-spring thaw greenhouse-Gas emissions. Plant Nutr. Soil Sci. 2013, 176, 227–237. [Google Scholar] [CrossRef]
- Zhu, Z.L.; Chen, D.L. Nitrogen fertilizer use in China–Contributions to food production, impacts on the environment and best management strategies. Nutr. Cycl. Agroecosyst. 2002, 63, 117–127. [Google Scholar] [CrossRef]
- Yang, S.M.; Malhi, S.S.; Song, J.R.; Xiong, Y.C.; Yue, W.Y.; Lu, L.L.; Wan, J.G.; Guo, T.W. Crop yield, nitrogen uptake and nitrate-Nitrogen accumulation in soil as affected by 23 annual applications of fertilizer and manure in the rainfed region of Northwestern China. Nutr. Cycl. Agroecosyst. 2006, 76, 81–94. [Google Scholar] [CrossRef]
- European Commision. Directive of the Council of December 12, 1991 concerning the protection of waters against pollution caused by nitrates from agricultural sources (91/676/EEC). Eur. Comm. Bruss. 1991, 375, 1–8. [Google Scholar]
- Schröder, J.J.; Scholefield, D.; Cabralet, F.; Hofmanal, G. The effects of nutrient losses from agriculture on ground and surface water quality: The position of science in developing indicators for regulation. Environ. Sci. Policy 2004, 7, 15–23. [Google Scholar] [CrossRef]
- Raun, W.R.; Johnson, G.V. Improving nitrogen use efficiency for cereal production. Agron. J. 1999, 91, 357–363. [Google Scholar] [CrossRef]
- Zhang, F.; Chen, X.; Vitousek, P. An experiment for the world. Nature 2013, 497, 33–35. [Google Scholar] [CrossRef]
- Malhi, S.S.; Soon, Y.K.; Grant, C.A.; Lemke, R.; Lupwayi, N. Influence of controlled-Release urea on seed yield and N concentration, and N use efficiency of small grain crops grown on Dark Gray Luvisols. Can. J. Soil Sci. 2010, 90, 363–372. [Google Scholar] [CrossRef]
- Guo, J.H.; Liu, X.J.; Zhang, Y.; Shen, J.L.; Han, W.X.; Zhang, W.F.; Christie, P.; Goulding, K.W.T.; Vitousek, P.M.; Zhang, F.S. Significant acidification in major Chinese croplands. Science 2010, 327, 1008–1010. [Google Scholar] [CrossRef]
- Zavalin, A.A.; Kurishbayev, A.K.; Ramazanova, R.K.; Tursinbaeva, A.E.; Kassipkhan, A. Fertilizer Nitrogen Use by Spring Triticale and Spring Wheat on Dark-Chestnut Soil of the Dry Steppe Zone of Kazakhstan. Russ. Agric. Sci. 2018, 44, 153–156. [Google Scholar] [CrossRef]
- Chien, S.H.; Teixeira, L.A.; Cantarella, H.; Rehm, G.W.; Grant, C.A.; Gearhart, M.M. Agronomic effectiveness of granular nitrogen/phosphorus fertilizers containing elemental sulfur with and without ammonium sulfate: A Review. Agron. J. 2016, 108, 1203. [Google Scholar] [CrossRef]
- Dobermann, A.; Ping, J.L.; Adamchuk, V.I.; Simbahan, G.C.; Ferguson, R.B. Classification of Crop Yield Variability in Irrigated Production Fields. Agron. J. 2003, 95, 1105. [Google Scholar] [CrossRef]
- Jan, W.E.; Allison, L.; Albert, B.; Brooke, A.; Lia, C.; James, G. An Integrated Approach to a Nitrogen Use Efficiency (NUE) Indicator for the Food Production–Consumption Chain. Sustainability 2017, 9, 1905. [Google Scholar]
- Abebe, Z.; Feyisa, H. Effects of Nitrogen Rates and Time of Application on Yield of Maize: Rainfall Variability Influenced Time of N Application. Int. J. Agron. 2017, 2017, 1–10. [Google Scholar] [CrossRef]
- Ju, X.; Zhang, F. Nitrate accumulation and its implication to environment in north China. Ecol. Environ. 2003, 12, 24–38. [Google Scholar]
- Reddy, G.B.; Reddy, K.R. Fate of Nitrogen-15 Enriched Ammonium Nitrate Applied to Corn. Soil Sci. Soc. Am. J. 1993, 57, 111–115. [Google Scholar] [CrossRef]
- Chen, G.; Cao, H.; Liang, J.; Ma, W.; Guo, L.; Zhang, S.; Jiang, R.; Zhang, H.; Keith, W.T.G.; Zhang, F. Factors Affecting Nitrogen Use Efficiency and Grain Yield of Summer Maize on Smallholder Farms in the North China Plain. Sustainability 2018, 10, 363. [Google Scholar] [CrossRef]
- Kidanu, S.; Tanner, D.G.; Mamo, T. Residual effects of nitrogen fertiliser on the yield and N composition of succeeding cereal crops and on soil chemical properties of an Ethiopian highland Vertisol. Can. J. Soil Sci. 2000, 80, 63–69. [Google Scholar] [CrossRef][Green Version]
- Happe, K.; Kilian, B.; Kazenwaldel, G. Environmental Pressures and National Environmental Legislation with Respect to Nutrient Management: Germany. Nutr. Manag. Legis. Eur. Ctries. 2001, 171–187. [Google Scholar]
- Declercq, P.; Salomez, J.; Hofman, G. Environmental pressures and national environmental legislation with respect to nutrient management in Belgium. Nutr. Manag. Legis. Eur. Ctries. 2001, 56–77. [Google Scholar]
- Ten Berge, H.F.M. A Review of Potential Indicators for Nitrate Loss from Cropping and Farming Systems in The Netherlands; Report 2; Sturen op Nitraat; PRI, Plant Research International B.V: Wageningen, The Netherlands, 2002; pp. 1–143. [Google Scholar]
- Li, L.; Zhang, R.; Luo, Z.; Liang, W.; Xie, J.; Cai, L.; Bellotti, B. Evolution of soil and water conservation in rain-fed areas of China. Int. Soil Water Conserv. Res. 2014, 2, 78–90. [Google Scholar]
- Shi, Y.; Yu, Z. Effects of nitrogen fertilizer rates and ratios of base and topdressing on wheat yield, soil nitrate content and nitrogen balance. Front. Agric. China. 2008, 2, 181–189. [Google Scholar] [CrossRef]
- Chinese Soil Taxonomy Cooperative Research Group. Chinese Soil Taxonomy (Revised Proposal); Institute of Soil Science/Chinese Agricultural Science and Technology Press, Academic Sinica: Beijing, China, 1995. [Google Scholar]
- Food and Agriculture Organization. The State of Food and Agriculture; Food and Agriculture Organization of the United Nations: Rome, Italia, 1990. [Google Scholar]
- O′Kelly, B.C. Accurate Determination of Moisture Content of Organic Soils Using the Oven Drying Method. Dry. Technol. 2004, 22, 1767–1776. [Google Scholar] [CrossRef]
- Bao, S.D. Analysis of Soil Agro-Chemistry; Agriculture Press: Beijing, China, 1999. (In Chinese) [Google Scholar]
- National Agriculture Technology Extension and Service Center (NATESC). Soil Analysis Technology Specification; China Agriculture Press: Beijing, China, 2006; pp. 47–49. (In Chinese) [Google Scholar]
- Li, X.; Deng, Y.; Li, Q.; Lu, C.; Wang, J.; Zhang, H.; Zhu, J.; Zhou, J.; He, Z. Shifts of functional gene representation in wheat rhizosphere microbial communities under elevated ozone. ISME J. 2013, 7, 660–671. [Google Scholar] [CrossRef] [PubMed]
- Institute of Soil Sciences, Chinese Academy of Sciences (ISSCAS). Physical and chemical analysis methods of soil.; Shanghai Science Technology Press: Shanghai, China, 1978; pp. 7–15. [Google Scholar]
- Dai, J.; Wang, Z.H.; Li, M.H.; He, G.; Li, Q.; Cao, H.B.; Wang, S.; Gao, Y.J.; Hui, X.L. Winter wheat grain yield and summer nitrate leaching: Long-Term effects of nitrogen and phosphorus rates on the Loess Plateau of China. Field Crops Res. 2016, 196, 180–190. [Google Scholar] [CrossRef]
- Guo, Z.; Zhang, Y.; Zhao, J.; Shi, Y.; Yu, Z. Nitrogen use by winter wheat and changes in soil nitrate nitrogen levels with supplemental irrigation based on measurement of moisture content in various soil layers. Field Crops Res. 2014, 164, 117–125. [Google Scholar] [CrossRef]
- Koutroubas, S.D.; Fotiadis, S.; Damalas, C.A. Biomass and nitrogen accumulation and translocation in spelt (Triticum spelta) grown in a Mediterranean area. Field Crops Res. 2012, 127, 1–8. [Google Scholar] [CrossRef]
- Montemurro, F.; Maiorana, M.; Ferri, D.; Convertini, G. Nitrogen indicators, uptake and utilization efficiency in a maize and barley rotation cropped at different levels and sources of N fertilization. Field Crops Res. 2006, 99, 114–124. [Google Scholar] [CrossRef]
- Oenema, O.; Sutton, M.A.; Bittman, S.; Dedina, M.; Howard, C.M. Options for ammonia mitigation: Guidance from the UNECE Task Force on Reactive Nitrogen. Physiotherapy 2014, 101, 185–186. [Google Scholar]
- Agegnehu, G.; Nelson, P.N.; Bird, M.I. Crop yield, plant nutrient uptake and soil physicochemical properties under organic soil amendments and nitrogen fertilization on Nitisols. Soil Tillage Res. 2016, 160, 1–13. [Google Scholar] [CrossRef]
- Kihara, J.; Tamene, L.D.; Massawe, P.; Bekunda, M. Agronomic survey to assess crop yield, controlling factors and management implications: A case-study of babati in northern Tanzania. Nutr. Cycl. Agroecosyst. 2015, 102, 5–16. [Google Scholar] [CrossRef]
- Van Den Boogaard, R.; Thorup-Kristensen, K. Effects of nitrogen fertilization on growth and soil nitrogen depletion in cauliflower. Acta Agric. Scand. Sect. B Soil Plant Sci. 1997, 47, 149–155. [Google Scholar] [CrossRef]
- Meng, Q.; Yue, S.; Hou, P.; Cui, Z.; Chen, X. Improving yield and nitrogen use efficiency simultaneously for maize and wheat in China: A review. Pedosphere 2016, 26, 137–147. [Google Scholar] [CrossRef]
- Liu, Z.; Chen, Z.; Ma, P.; Meng, Y.; Zhou, J. Effects of tillage, mulching and N management on yield, water productivity, N uptake and residual soil nitrate in a long-Term wheat-summer maize cropping system. Field Crops Res. 2017, 213, 154–164. [Google Scholar] [CrossRef]
- Johannes, S.; Mcneal, B.L.; Boote, K.J.; Jones, J.W.; Locascio, S.J.; Olson, S.M. Nitrogen Stress Effects on Growth and Nitrogen Accumulation by Field-Grown Tomato. Agron. J. 2000, 92, 159–167. [Google Scholar]
- Glendining, M.J.; Powlson, D.S. The Effect of Long-Term Applications of Inorganic Nitrogen Fertilizer on Soil Organic Nitrogen. Adv. Soil Org. Matter Res. 2003, 3, 329–338. [Google Scholar]
- Campbell, C.A.; Zentner, R.P.; Knipfel, J.E.; Schnitzer, M.; Lafond, G.P. Thirty-Year Crop Rotations and Management Practices Effects on Soil and Amino Nitrogen. Soil Sci. Soc. Am. J. 1991, 55, 739. [Google Scholar] [CrossRef]
- Powlson, D.S.; Jenkinson, D.S.; Johnston, A.E.; Poulton, P.R.; Glendining, M.J.; Goulding, K.W.T. Comments on “Synthetic Nitrogen Fertilizers Deplete Soil Nitrogen: A Global Dilemma for Sustainable Cereal Production.”. J. Environ. Qual. 2010, 39, 749. [Google Scholar] [CrossRef]
- Hu, H.; Ning, T.; Li, Z.; Han, H.; Zhang, Z.; Qin, S.; Zheng, Y. Coupling effects of urea types and subsoiling on nitrogen–Water use and yield of different varieties of maize in northern China. Field Crops Res. 2013, 142, 85–94. [Google Scholar] [CrossRef]
- Yang, S.-M.; Wang, P.; Suo, D.-R.; Malhi, S.; Chen, Y.; Guo, Y.; E, S.-Z.; Zhang, D. Short-Term Irrigation Level Effects on Residual Nitrate in Soil Profile and N Balance from Long-Term Manure and Fertilizer Applications in the Arid Areas of Northwest China. Commun. Soil Sci. Plant Anal. 2011, 42, 790–802. [Google Scholar] [CrossRef]
- Yang, S.M.; Li, F.M.; Malhi, S.S.; Wang, P.; Suo, D.R.; Wang, J.G. Long-Term fertilization effects on crop yield and nitrate-N accumulation in soil in northwest China. Agron. J. 2004, 96, 1039–1049. [Google Scholar] [CrossRef]
- Lloveras, J.; Lopez, A.; Ferran, J.; Espachs, S.; Solsona, J. Bread-Making wheat and soil nitrate as affected by N fertilization in irrigated Mediterranean conditions. Agron. J. 2001, 93, 1183–1190. [Google Scholar] [CrossRef]
- Ju, X.T.; Xing, G.X.; Chen, X.P.; Zhang, S.L.; Zhang, L.J.; Liu, X.J.; Cui, Z.L.; Yin, B.; Christie, P.; Zhu, Z.L.; et al. Reducing environmental risk by improving N management in intensive Chinese agricultural systems. Proc. Natl. Acad. Sci. USA 2009, 106, 3041–3046. [Google Scholar] [CrossRef]
- Schmitt, M.A.; Randall, G.W. Developing a Soil Nitrogen Test for Improved Recommendations for Corn. J. Prod. Agric. 1994, 7, 328. [Google Scholar] [CrossRef]
- Soper, R.J.; Racz, G.J.; Fehr, P.I. Nitrate nitrogen in the soil as a means of predicting the fertilizer nitrogen requirements of barley. Can. J. Soil Sci. 1971, 51, 45–49. [Google Scholar] [CrossRef]
- Sieling, K.; Brase, T.; Svib, V. Residual effects of different N fertilizer treatments on growth, N uptake and yield of oilseed rape, wheat and barley. Europ. J. Agron. 2006, 25, 40–48. [Google Scholar] [CrossRef]
- Dragland, S.; Riley, H.; Berentsen, E. N fertilizer value of cabbage residues. Nor. J. Agric. Sci. 1995, 9, 163–176. [Google Scholar]
- Greenwood, D.J.; Rahn, C.; Draycott, A.; Vaidyanathan, L.V.; Paterson, C. Modelling and measurement of the effects of fertilizer-N and crop residue incorporation on N-dynamics in vegetable cropping. Soil Use Manag. 1996, 12, 13–24. [Google Scholar] [CrossRef]
- Gu, B.; Ju, X.; Chang, J.; Ge, Y.; Vitousek, P.M. Integrated reactive nitrogen budgets and future trends in China. Proc. Natl. Acad. Sci. USA 2015, 112, 8792–8797. [Google Scholar] [CrossRef]
- Galloway, J.N.; Dentener, F.J.; Capone, D.G.; Boyer, E.W.; Howarth, R.W.; Seitzinger, S.P.; Asner, G.P.; Cleveland, C.C.; Green, P.A.; Holland, E.A.; et al. Nitrogen cycles: Past, present, and future. Biogeochemistry 2004, 70, 153–226. [Google Scholar] [CrossRef]
- Chapin, F.S., III. The mineral nutrition of wild plants. Ann. Rev. Ecol. Sys. 1980, 11, 233–260. [Google Scholar] [CrossRef]
- Berendse, F.; Aerts, R. Nitrogen-Use-Efficiency: A biological meaningful definition? Funct. Ecol. 1987, 1, 293–296. [Google Scholar]
- Campbell, C.A.; Selles, F.; Zentner, R.P.; Mcconkey, B.G. Nitrogen management for zero-Till spring wheat: Disposition in plant and utilization efficiency. Commun. Soil Sci. Plant Anal. 1993, 24, 2223–2239. [Google Scholar] [CrossRef]
- Li, C.J.; Wang, C.J.; Wen, X.X.; Qin, X.L.; Liu, Y.; Han, J.; Li, Y.J.; Liao, Y.C.; Wu, W. Ridge-Furrow with plastic film mulching practice improves maize productivity and resource use efficiency under the wheat-Maize double-Cropping system in dry semi-Humid areas. Field Crops Res. 2017, 203, 201–211. [Google Scholar] [CrossRef]
- Yuan, Z.; Li, L.; Huang, J.; Han, X.; Wan, S. Effect of Nitrogen Supply on the Nitrogen Use Efficiency of an Annual Herb, Helianthus annuus L. J. Integr. Plant Biol. 2005, 47, 539–548. [Google Scholar] [CrossRef]
- Crews, T.E.; Peoples, M.B. Can the synchrony of nitrogen supply and crop demand be improved in legume and fertilizer-Based agroecosystems? A review. Nutr. Cycl. Agroecosyst. 2005, 72, 101–120. [Google Scholar] [CrossRef]
- Kaur, B.; Kaur, G.; Asthir, B. Biochemical aspects of nitrogen use efficiency: An overview. J. Plant Nutr. 2017, 40, 506−523. [Google Scholar] [CrossRef]




| Soil Depth | TN | NH4-N | NO3-N | pH | TP | AP | TK | AK | Bulk Density | Organic Matter |
|---|---|---|---|---|---|---|---|---|---|---|
| (cm) | (g kg−1) | (mg kg−1) | (mg kg−1) | (g kg−1) | (mg kg−1) | (g kg−1) | (mg kg−1) | (g cm−3) | (g kg−1) | |
| 0–5 | 0.8 | 6.4 | 27.8 | 8.3 | 1.9 | 13.6 | 18.6 | 253.1 | 1.144 | 12.5 |
| 5–10 | 0.8 | 5.0 | 24.0 | 8.4 | 1.9 | 11.8 | 18.5 | 329.3 | 1.144 | 12.6 |
| 10–30 | 0.7 | 4.9 | 31.1 | 8.3 | 1.8 | 4.7 | 18.3 | 231.8 | 1.295 | 11.7 |
| 30–50 | 0.8 | 4.5 | 28.2 | 8.3 | 1.7 | 1.9 | 18.3 | 169.1 | 1.240 | 11.3 |
| 50–80 | 0.8 | 4.4 | 26.9 | 8.3 | 1.7 | 1.9 | 18.3 | 123.8 | 1.180 | 12.9 |
| 80–110 | 0.8 | 4.3 | 24.7 | 8.4 | 1.8 | 2.0 | 18.2 | 101.5 | 1.210 | 12.6 |
| 110–140 | 0.7 | 4.4 | 23.3 | 8.4 | 1.7 | 1.6 | 18.5 | 106.0 | 1.150 | 11.6 |
| 140–170 | 0.6 | 5.0 | 23.4 | 8.4 | 1.7 | 1.7 | 18.1 | 101.9 | 1.150 | 10.8 |
| 170–200 | 0.6 | 5.2 | 21.7 | 8.4 | 1.7 | 2.2 | 18.1 | 105.7 | 1.110 | 10.7 |
| Treatment a | 2005 | 2019 | ||||
|---|---|---|---|---|---|---|
| Grain | Straw | Aboveground Biomass | Grain | Straw | Aboveground Biomass | |
| N1 | 18.34 ± 3.81d | 10.22 ± 1.57c | 28.56 ± 5.11d | 36.37 ± 7.12b | 61.82 ± 10.56c | 98.19 ± 14.53c |
| N2 | 33.04 ± 3.53abc | 14.89 ± 4.84bc | 47.92 ± 6.06bcd | 48.35 ± 1.63ab | 143.69 ± 15.47b | 192.04 ± 13.95b |
| N3 | 40.07 ± 1.18a | 22.85 ± 5.3bc | 62.93 ± 6.46ab | 55.99 ± 3.22a | 141.62 ± 12.73b | 197.61 ± 15.95ab |
| N4 | 39.77 ± 4.69a | 26.19 ± 1.51ab | 65.96 ± 4.35ab | 52.89 ± 10.56a | 183.93 ± 29.65ab | 236.82 ± 36.77ab |
| N5 | 39.18 ± 1.74a | 38.61 ± 3.64a | 77.79 ± 4.16a | 49.96 ± 4.50ab | 200.61 ± 19.20a | 250.56 ± 21.78a |
| N2s | 22.81 ± 4.28cd | 16.83 ± 4.03bc | 39.64 ± 8.23cd | 33.44 ± 1.18b | 68.80 ± 2.30c | 102.24 ± 2.54c |
| N3s | 26.15 ± 1.85bcd | 21.55 ± 2.25bc | 47.7 ± 3.72bcd | 33.79 ± 2.68b | 56.77 ± 11.34c | 90.56 ± 13.74c |
| N4s | 29.38 ± 2.96abc | 26.34 ± 8.69ab | 55.72 ± 11.13abc | 42.83 ± 3.12ab | 69.16 ± 12.88c | 111.99 ± 14.88c |
| N5s | 34.3 ± 4.54ab | 24.49 ± 5.7abc | 58.79 ± 9.32abc | 35.90 ± 3.05b | 73.17 ± 5.85c | 109.07 ± 8.34c |
| Soil Sampling Time | Soil Depth (cm) | N Accumulation (kg N ha−1) | Yield (kg ha−1) | |||
|---|---|---|---|---|---|---|
| Grain | Straw | Aboveground Biomass | Grain | Straw | ||
| At wheat sowing | 0 to 30 | 0.391 * | 0.060 | 0.238 | 0.379 | 0.432 * |
| 0 to 50 | 0.437 * | 0.095 | 0.283 | 0.421 * | 0.471 * | |
| 0 to 80 | 0.522 ** | 0.124 | 0.345 | 0.492 ** | 0.525 ** | |
| 0 to 110 | 0.553 ** | 0.164 | 0.385 * | 0.506 ** | 0.526 ** | |
| 30 to 110 | 0.531 ** | 0.194 | 0.391 * | 0.472 * | 0.466 * | |
| 50 to 110 | 0.504 ** | 0.179 | 0.369 | 0.443 * | 0.432 * | |
| 50 to 200 | 0.460 * | 0.199 | 0.357 | 0.401 * | 0.383 * | |
| 80 to 200 | 0.425 * | 0.211 | 0.347 | 0.366 | 0.348 | |
| 110 to 200 | 0.313 | 0.198 | 0.28 | 0.269 | 0.242 | |
| At wheat harvest | 0 to 30 | 0.454 * | 0.198 | 0.354 | 0.329 | 0.351 |
| 0 to 50 | 0.501 ** | 0.258 | 0.414 * | 0.365 | 0.376 | |
| 0 to 80 | 0.536 ** | 0.348 | 0.486 * | 0.385 * | 0.397 * | |
| 0 to 110 | 0.506 ** | 0.291 | 0.436 * | 0.379 | 0.388 * | |
| 30 to 110 | 0.491 ** | 0.326 | 0.450 * | 0.376 | 0.375 | |
| 50 to 110 | 0.459 * | 0.301 | 0.418 * | 0.355 | 0.362 | |
| 50 to 200 | 0.330 | 0.103 | 0.233 | 0.234 | 0.227 | |
| 80 to 200 | 0.184 | −0.081 | 0.047 | 0.135 | 0.121 | |
| 110 to 200 | 0.091 | −0.166 | −0.052 | 0.027 | 0.006 | |
| Soil Sampling Time | Soil Depth (cm) | N Accumulation (kg N ha−1) | Yield (kg ha−1) | |||
|---|---|---|---|---|---|---|
| Grain | Straw | Aboveground Biomass | Grain | Straw | ||
| At wheat sowing | 0 to 30 | 0.494 ** | 0.496 ** | 0.515 ** | 0.633 ** | 0.451 * |
| 0 to 50 | 0.603 ** | 0.661 ** | 0.677 ** | 0.716 ** | 0.565 ** | |
| 0 to 80 | 0.683 ** | 0.783 ** | 0.797 ** | 0.775 ** | 0.640 ** | |
| 0 to 110 | 0.716 ** | 0.812 ** | 0.828 ** | 0.778 ** | 0.691 ** | |
| 30 to 110 | 0.704 ** | 0.842 ** | 0.852 ** | 0.698 ** | 0.696 ** | |
| 50 to 110 | 0.671 ** | 0.786 ** | 0.798 ** | 0.662 ** | 0.665 ** | |
| 50 to 200 | 0.526 ** | 0.758 ** | 0.749 ** | 0.572 ** | 0.617 ** | |
| 80 to 200 | 0.465 * | 0.700 ** | 0.688 ** | 0.513 ** | 0.581 ** | |
| 110 to 200 | 0.409 * | 0.693 ** | 0.673 ** | 0.483 * | 0.550 ** | |
| At wheat harvest | 0 to 30 | 0.121 | 0.555 ** | 0.505 ** | 0.165 | 0.354 |
| 0 to 50 | 0.241 | 0.636 ** | 0.596 ** | 0.266 | 0.452 * | |
| 0 to 80 | 0.334 | 0.685 ** | 0.654 ** | 0.336 | 0.505 ** | |
| 0 to 110 | 0.419 * | 0.740 ** | 0.716 ** | 0.399 * | 0.555 ** | |
| 30 to 110 | 0.509 ** | 0.715 ** | 0.709 ** | 0.458 * | 0.570 ** | |
| 50 to 110 | 0.539 ** | 0.743 ** | 0.738 ** | 0.479 * | 0.583 ** | |
| 50 to 200 | 0.637 ** | 0.819 ** | 0.821 ** | 0.628 ** | 0.731 ** | |
| 80 to 200 | 0.648 ** | 0.818 ** | 0.822 ** | 0.646 ** | 0.746 ** | |
| 110 to 200 | 0.630 ** | 0.782 ** | 0.787 ** | 0.650 ** | 0.743 ** | |
| Treatment b | 2005 | 2019 | ||||||
|---|---|---|---|---|---|---|---|---|
| NupE | NfP | NUE | NHI | NupE | NfP | NUE | NHI | |
| N2 | 1.14 ± 0.23bc | 33 ± 2.16b | 36.79 ± 2.55a | 0.70 ± 0.07a | 3.66 ± 0.27c | 47.99 ± 1.49e | 13.22 ± 0.78cd | 0.26 ± 0.02bcd |
| N3 | 0.8 ± 0.08bcd | 20.24 ± 0.1c | 34.6 ± 4.05a | 0.65 ± 0.05ab | 1.88 ± 0.15d | 25.99 ± 1.34f | 13.91 ± 0.83bcd | 0.28 ± 0.01bc |
| N4 | 0.56 ± 0.04cd | 13.84 ± 0.5cd | 33.34 ± 2.52a | 0.60 ± 0.03ab | 1.5 ± 0.23d | 16.72 ± 2.05f | 11.28 ± 0.76d | 0.23 ± 0.03cd |
| N5 | 0.49 ± 0.03d | 9.89 ± 0.4d | 26.95 ± 2.42a | 0.51 ± 0.02b | 1.19 ± 0.1d | 11.14 ± 0.94f | 9.43 ± 0.86d | 0.20 ± 0.02d |
| N2s | 2.01 ± 0.42a | 52.63 ± 7.03a | 36.39 ± 3.76a | 0.58 ± 0.02ab | 16.55 ± 0.41a | 279.66 ± 8.33a | 16.89 ± 0.09abc | 0.33 ± 0.01ab |
| N3s | 1.21 ± 0.09b | 31.7 ± 1.74b | 35.05 ± 1.17a | 0.55 ± 0.02b | 7.33 ± 1.11b | 140.22 ± 7.1b | 19.99 ± 2.97a | 0.38 ± 0.03a |
| N4s | 0.94 ± 0.19bcd | 21.5 ± 0.91c | 32.13 ± 4.39a | 0.55 ± 0.06b | 6.04 ± 0.8b | 106.66 ± 6.31c | 18.15 ± 2ab | 0.39 ± 0.03a |
| N5s | 0.75 ± 0.12bcd | 17.13 ± 2.08cd | 30.93 ± 1.09a | 0.59 ± 0.04ab | 4.41 ± 0.34c | 75.83 ± 6.56d | 17.26 ± 1.53abc | 0.33 ± 0.01ab |
| 2005 | 2019 | |||||||
|---|---|---|---|---|---|---|---|---|
| NfP | NUE | NHI | GY | NfP | NUE | NHI | GY | |
| NupE | 0.952 ** | 0.012 | −0.100 | −0.404 | 0.982 ** | 0.424 * | 0.430 * | −0.601 ** |
| NfP | 0.293 | 0.097 | −0.538 ** | 0.562 ** | 0.546 ** | −0.640 ** | ||
| NUE | 0.632 ** | −0.426 * | 0.937 ** | −0.534 ** | ||||
| NHI | −0.095 | −0.528 ** | ||||||
© 2020 by the authors. Licensee MDPI, Basel, Switzerland. This article is an open access article distributed under the terms and conditions of the Creative Commons Attribution (CC BY) license (http://creativecommons.org/licenses/by/4.0/).
Share and Cite
Xu, A.; Li, L.; Xie, J.; Wang, X.; Coulter, J.A.; Liu, C.; Wang, L. Effect of Long-Term Nitrogen Addition on Wheat Yield, Nitrogen Use Efficiency, and Residual Soil Nitrate in a Semiarid Area of the Loess Plateau of China. Sustainability 2020, 12, 1735. https://doi.org/10.3390/su12051735
Xu A, Li L, Xie J, Wang X, Coulter JA, Liu C, Wang L. Effect of Long-Term Nitrogen Addition on Wheat Yield, Nitrogen Use Efficiency, and Residual Soil Nitrate in a Semiarid Area of the Loess Plateau of China. Sustainability. 2020; 12(5):1735. https://doi.org/10.3390/su12051735
Chicago/Turabian StyleXu, Aixia, Lingling Li, Junhong Xie, Xingzheng Wang, Jeffrey A. Coulter, Chang Liu, and Linlin Wang. 2020. "Effect of Long-Term Nitrogen Addition on Wheat Yield, Nitrogen Use Efficiency, and Residual Soil Nitrate in a Semiarid Area of the Loess Plateau of China" Sustainability 12, no. 5: 1735. https://doi.org/10.3390/su12051735
APA StyleXu, A., Li, L., Xie, J., Wang, X., Coulter, J. A., Liu, C., & Wang, L. (2020). Effect of Long-Term Nitrogen Addition on Wheat Yield, Nitrogen Use Efficiency, and Residual Soil Nitrate in a Semiarid Area of the Loess Plateau of China. Sustainability, 12(5), 1735. https://doi.org/10.3390/su12051735

