Abstract
Currently, it is crucial to propose daily sustainable interventions that elicit healthy lifestyles and the promotion of favorable health outcomes beyond the usual medical prescriptions. Home confinement and pandemic limitations reduced physical activity and augmented sedentary behaviors that potentially also reflect on posture. Health-related quality of life includes an effective postural control which is affected by visual performance. Therefore, the aim of the study was to analyze the effects of a single session of eye exercises and also of a home-based oculomotor training on postural control. Thirty active adults (mean age: 42.9 ± 14.4 years) were randomly assigned to three experimental conditions: subjects were evaluated on a stabilometric platform before (T0) and immediately after (T1) a training session consisting in clockwise ocular movements (C1), counterclockwise (C2) and mixed condition (C3). All subjects repeated, at home, the same ocular training and were re-evaluated after 5 weeks (T2). All measured variables tended to improve after 5-week home training, but significative differences were found, especially in acute measurement. C1 and C2 conditions showed better results than C3. Thus, a specific oculomotor training, a cost free and self-administered training, can represent a practical tool to improve postural control and health-related quality of life in active adults.
1. Introduction
In the current pandemic scenario, more than ever, the need for sustainable actions to improve the health-related quality of life and that favor health promotion in a wide range of populations emerges. Indeed, the pandemic scenario caused restrictions on circulation and several other limitations that do not favor social participation and life satisfaction [1] nor the overall levels of physical activity and the usual physical and sports activities habits [2,3].
The acquisition and the maintenance of healthy lifestyles require also non-medical interventions that comprise regular and effective physical habits on a daily base that need to be incorporated into people’s life [4,5]. These interventions should be, as much as possible, low cost and should also be effective in time managing, exploiting, at its best, free time and home setting, induced by the pandemic context. In addition, home confinement augmented existing or induced sedentary behaviors that could also potentially reflect on postural habits [6]. On these bases, it is crucial to develop easy-access sustainable physical and training strategies that are able to foster healthy lifestyles in order to increase health status and reduce physical inactivity [5,7].
Health-related quality of life is a complex construct that involves a healthy musculoskeletal system and also a good postural control: it can be defined as the perceived, valued health attributes, such as the sense of comfort or well-being, the ability to maintain good physical, emotional, and intellectual functions, and the ability to satisfactorily take part in social activities [8]. Postural control is the result of a complex neuromuscular interaction regulated by automatic and reflex mechanisms, which are elaborated by the Central Nervous System (CNS) and integrate information coming from the sensory systems [9].
Indeed, postural stability is supported by the integration of three systems [10]: proprioception, vision and the vestibular system. Peterka reported that, from a functional point a view, balance control can be viewed as a closed-loop feedback control system based on the integration of different sources of sensory information with the sensory integration process being influenced by system’s feedback nature [11]. There are several studies regarding the influence of visual, vestibular, and somatosensorial systems on visual motor orientation and postural control [12,13]. It is also well known that any imbalance of these systems will affect the tonic postural system, eventually leading to disfunction and consequently to pain [14]. Bonnet and Baudry proposed a synergistic model providing a new approach to understanding postural control: this model emphasizes the functional nature of the CNS to perform both postural and visual behaviors in a unified and not dualistic way [15]. The authors also suggest that, in order to better understand how individuals can succeed in precise visual tasks when upright, it is necessary to fill the research gap between visual and postural control. In a recent systematic review, Paillard pointed out that the visual contribution strongly impacts postural balance, mainly in the static condition whilst, in the dynamic condition, this contribution decreases because of induced movements of the head that disturb the integration of visual information, while the contribution of proprioception inputs increases [16]. Anyway, the same author in a previous study reported that the contribution of visual cues increases as the difficulty of postural task increases in the dynamic condition and also that it differs, depending on the physical and sport activities requirements; additionally, motor/sport experience can lead to a visual contribution decrease in sportspeople with respect to non-sportspeople: that is, expertise and complexity of the task can modulate visual contribution, decreasing or increasing it, respectively [17]. Horak concluded that postural control and falls, consequently, are context dependent, as individuals have different cognition and, thus, it is important to assess the integrity of physiological systems and compensatory strategies available and not only the balance performance [18].
Eye exercises are used in several fields of optometric practice and have been reported to improve a wide range of conditions, including vergence problems, ocular motility disorders, learning disabilities, dyslexia, asthenopia, myopia, motion sickness, sports performance, stereopsis, visual field defects, visual acuity, and general well-being [19]. To date, few studies are available on the effects of oculomotor exercises and postural control in the healthy active population. The available research found improvements in postural stability and dynamic visual acuity after three weeks of oculomotor exercises, suggesting that this specific type of ocular system exercise may be beneficial for healthy young adults [20]. Bhardwaj and Vats found improvements in balance and in confidence to carry out the daily life activities in a healthy elderly population after gaze stability exercises [21]. Recently, Fischetti et al. investigated the effects of home-based oculomotor exercises (saccadic eye movement exercises and smooth pursuit exercises) on postural stability in healthy female adults and found that the intervention group showed improvements after 4 weeks whilst control group did not [22]. In another study, Minoonejad and colleagues used oculomotor exercises to enhance the limit of stability and dynamic visual acuity in basketball players, suggesting that these exercises could be useful for other dynamic sports [23]. Meskati et al. concluded that there is no difference in keeping balance in a non-vision condition between athletes and nonathletes, suggesting that karate athletes can obtain and optimize postural information, also accounting on the proprioceptive system as nonathletes do [10]. Conversely, Paillard reported that, due to motor experience, sportspeople are less dependent on vision for controlling their posture, so that vision can be dedicated to processing the information from the sport action [16]. However, it is reasonable that, depending on the sport discipline, athletes and nonathlete people have different strategies referring to postural control.
Postural control can also potentially affect visual performance [24]. It could be then argued that posture and visual function influence each other, and that postural control is not an autonomous system, but is rather organized as part of an integrated perception-action system [24].
Thus, it could be hypothesized that ocular mobilization training will induce modifications on posture either acutely or, more effectively, chronically, across time. Anyway, to our knowledge, there are no studies comparing acute and chronic effects of a specific oculomotor training on the healthy active adult population. Moreover, there is only one study previously cited that investigated a home-based training, based on saccadic and smooth exercises [22]. Therefore, the aim of the present study was to analyze the acute effects of a single oculomotor training session and the chronic effects of a 5-week home training, based on the same exercises, on postural control in active adults.
2. Materials and Methods
2.1. Participants
A priori sample size analysis indicated that 30 participants were required to detect a medium effect size (f = 0.25 or 0.4) on the basis of a coefficient of correlation p = 0.60 with statistical power of 80% and α = 0.05, using a mixed design within–between subjects.
Then, 30 regularly active subjects (M age = 42.9 years, SD = 14.4; 10 males and 20 females; height 168 cm, SD = 0.1; weight = 65.1 kg, SD = 10.5; BMI = 22.8, SD = 3) were recruited from a local sport center and were equally distributed, according to their age and gender, to one of the three experimental conditions, each one characterized by a specific ocular training task. All the subjects regularly practiced physical activity (i.e., gymnastics) three times a week in the same sport center where the experiment was held.
Inclusion criteria were as follows: all participants were healthy, had normal vision with or without correction by eyeglasses or contact lenses and none of them had evidence or known history of gait or postural or skeletal disorders. None of the subjects were assuming drugs at the time of the experiment.
Written informed consent was obtained from each subject before the participation. The study was approved by the Institutional Review Board and was inserted in the Adapted Physical Activity Prevention Program which had obtained Ethical Approval (assigned number 553/EC); it was also conducted in accordance with the ethical standards provided by the Helsinki Declaration of 1964 and later versions.
2.2. Recording Procedures
The subjects were evaluated for their posture before (T0) and immediately after (T1) a specific ocular mobilization training session consisting in counterclockwise ocular movements (C1), clockwise (C2), and mixed (both clockwise and counterclockwise) condition (C3). All subjects were also instructed to repeat the same ocular training at home and were re-evaluated after 5 weeks (T2). At T0, T1 and at T2, posturography recordings were performed using a 10-Hz sampling frequency vertical force platform (Bio Postural System, AXA S.r.l., Vimercate [Milan], Italy) with subjects placed standing in a quiet stance. This platform includes load cells with an internal circuit that changes electrical resistance upon the application of force. Participants were positioned in a stand position and were required to remain relaxed but as stable as possible, with eyes open and their arms hanging free beside their trunk. In addition, all subjects were asked to avoid alcohol and heavy exercise during the 24 h before the postural recordings. Each recording lasted 60 s without any modification in the position of feet on the platform. Subjects were asked to perform oculomotor exercises without leaving the platform between T0 and T1 in order to avoid modification of feet position on the platform between two close tests [25].
The following parameters were measured and recorded on the stabilometric platform: length function of surface (LFS), anterior–posterior acceleration (APA), length of the center of gravity (LCG), center of gravity area (CGA) and backfoot load (BFL).
- LFS refers to the path done by the center of pressure during the recording process; it is a non-dimensional parameter.
- APA refers to the accelerations performed by one’s body to keep the orthostatic posture; it is measured in mm/s2.
- LCG represents the total length covered by the center of gravity; it is measured in mm.
- CGA is the surface of the body sway, expressed in mm2, showing the confidence ellipse based on 90% of the sample positions. It indicates the precision of the balance control system. It is measured in mm2.
- BFL indicates the rearfoot load in percentual (%).
2.3. Oculomotor Training
At T1 and T2, participants performed all the exercises in a standing position; between T0 and T1, subjects were asked to not leave the platform nor to change their positioning while performing the oculomotor exercises. The oculomotor task consisted in following a target moving in three different directions: counterclockwise (C1), clockwise (C2) and mixed (C3) both clockwise and counterclockwise (like the sign ∞), with respect to subject’s point of view. These exercises were previously proposed by Bricot and more recently by Clark et al. [26,27].
The target was a reversed pen moved by the operator put at a distance of approximately 15 cm apart from the subjects’ eyes. All the conditions lasted one minute and were carried out by the same expert operator who followed the same procedure. At T0 subjects were also instructed under the guide of the operators to practice while holding themselves the pen so that they could replicate the oculo-motor exercises at home autonomously; practice lasted until they showed enough confidence with the task.
Home training consisted in repeating, at home, the same eye exercise conditions performed between T0 and T1: subjects, placed in a stand position and holding themselves the pen, repeated the eye exercises for one minute each session, about four times a day (average sessions = 3.96). During home training, participants also completed a diary where they reported the time and the numbers of sessions performed for each day of the home training.
2.4. Statistical Analysis
To compare each variable for the three conditions between T0 and T1 and T0 and T2, a paired samples t test was used. Repeated measures ANOVA was then applied to compare C1, C2 and C3 effects on LFS, APA, LCG, CGA, BFL as dependent variables for within and between groups. When statistical differences were found, a simple t test was then applied as post hoc analysis. Effect sizes were calculated as partial eta squared (ƞ2) according to Cohen’s definition of small (ƞ2 < 0.06), medium (0.06 ≤ ƞ2 ≤0.14) and large (ƞ2 > 0.14) [28]. Statistical significance was set at p ≤ 0.05. Statistical package SPSS (Version 24.0 for Windows; SPSS Inc., Chicago, IL, USA) was used for all analyses.
3. Results
Means, standard deviations measured for the three conditions between T0 and T1 and between T0 and T2 for all the dependent variables are reported in Table 1.
Table 1.
Changes in the posturographic parameters in acute and after 4 weeks for the 3 training conditions. Data are expressed as mean + SD.
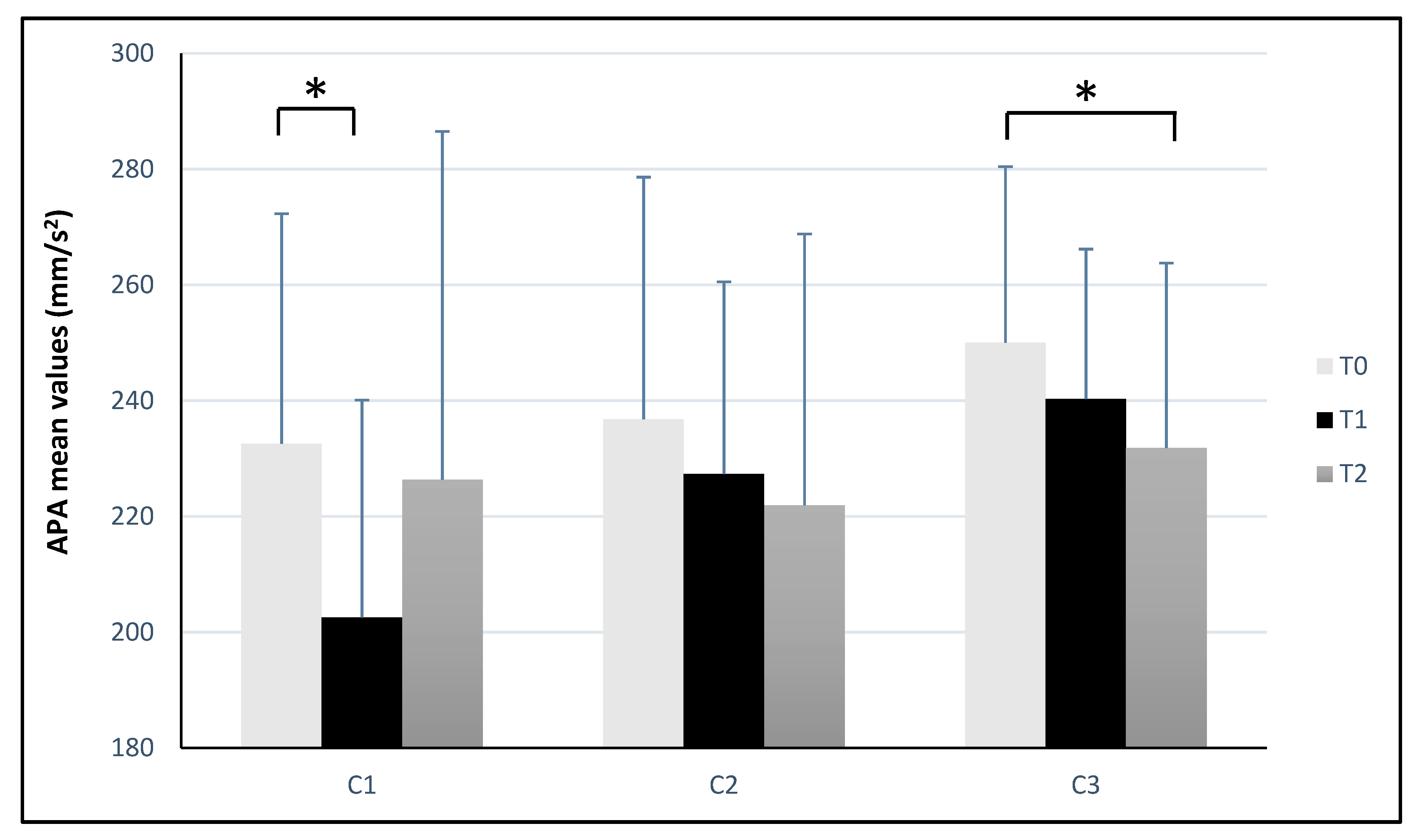
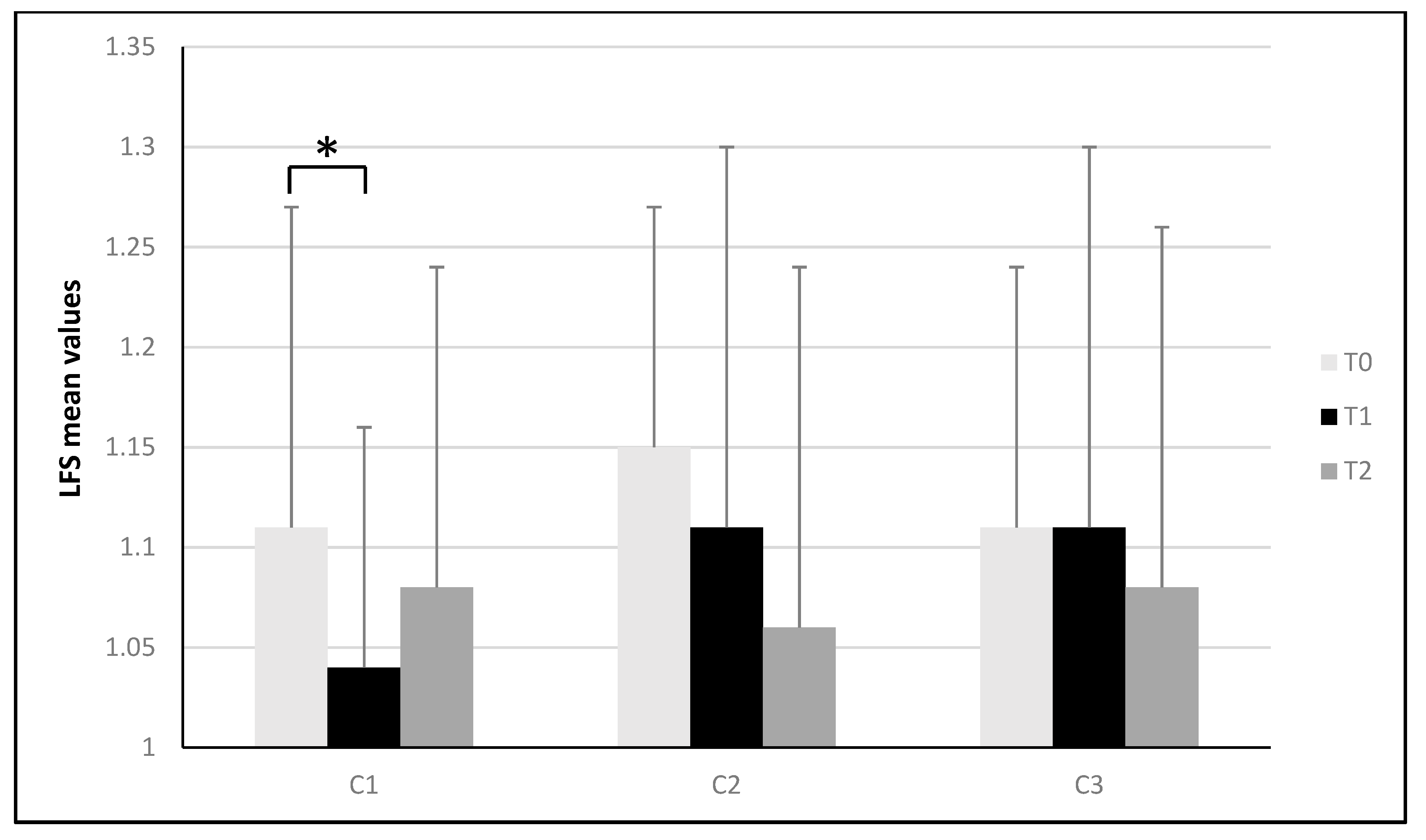
T test revealed that the C1 condition had a significant effect on APA (T1 vs. T0, ƞ2 = −30.02 p < 0.01) as it is shown in Figure 1, and a value close to significance for LFS, as reported in Figure 2 (T1 vs. T0, ƞ2 = −0.08 p = 0.05); Figure 3 showed that the C2 condition showed a tendency to improve on BFL (T1 vs. T0, ƞ2 = −2.70 p = 0.05), while no significative differences were found for the C3 condition. Moreover, only the APA variable showed significant difference between T0 and T2 for the C3 condition as shown in Figure 1 (T2 vs. T0 ƞ2 = −18.21, p < 0.05).
Figure 1.
APA mean values for the three conditions across T0, T1 and T2. APA = anterior–posterior acceleration. * p ≤ 0.05.
Figure 2.
LFS mean values for the three conditions across T0, T1 and T2. LFS = length function of surface. * p ≤ 0.05.
Figure 3.
BFL mean values for the three conditions across T0, T1 and T2. BFL = backfoot load. * p ≤ 0.05.
ANOVA analysis revealed significative differences only for APA variable for the three oculomotor conditions between T1 and T0 (F2, 27 = 3.46, p < 0.05, η2 p = 0.20); post-hoc analysis revealed that C1 condition had an improvement effect on APA values at T1 especially with respect to C3 (C1 vs. C3, p = 0.015).
4. Discussion
To reduce physical inactivity and bad postural behaviors induced by modern times and increased by pandemic confinement, effective and sustainable interventions are required to facilitate the acquisition of healthy lifestyles, possibly in a home context. The aim of our study was to investigate if specific oculomotor training could improve postural stability in active adults after a specific session. Balance control and postural control depend on the integrity of various sensory and motor systems [29]. Visual and postural systems are mutually affected and negatively reduced visual acuity influence feedback to the complex postural control system [30]. In the study, we also verified the chronic effects of home-based training with the same eye exercises that lasted 5 weeks. Eye exercises were studied in several fields with different effects that need to be further explored and supported by robust studies [19]. Previous studies showed that eye movement increases body sway and supports the functional relation between body sway and eye movements [31,32]. Fischetti et al. found significative improvement after a 4-week home program based on saccadic eye movements and smooth pursuit, while the control group did not show any difference [22]. Pimenta and colleagues reported that oculomotor and gaze stability exercises are easy to learn [33], and they can be performed at home autonomously or with minimal supervision. In the present study, three different oculomotor exercises were proposed to check for differences both in acute and after a home-based training that lasted 5 weeks. Our preliminary results revealed statistically significative differences for one of the five dependent variables for the three oculomotor conditions across the three evaluations. In any case, parameter values of postural control decreased especially for APA, BFL and LFS (as it is shown in Figure 1, Figure 2 and Figure 3), leading to improvements in postural stability. In particular, a general tendency to statistical significance was found in acute (T1) rather than after 5 weeks of home exercises. This could be explained with the relative effectiveness of the self-done exercises between T1 and T2 and consequently to a transient effect that these exercises may have, if not constantly performed or adequately supervised. Both C1 and C2 conditions showed better results than C3, suggesting that counterclockwise and clockwise exercises had a higher effect on the improvement of the postural control. These results differ from previous findings that showed that home-based exercises for 4 weeks significatively improved posture stability in the experimental group with respect to the control [22]. Our study involved both males (n = 10) and females (n = 20), while several others recruited only female participants [22,23]. Although it has been proposed that gender differences may occur regarding the postural control, suggesting that female athletes present a neuromuscular system more exposed to pain and injuries [34], other authors reported no significant gender-related differences [35,36]. Further studies should better clarify this topic and also check for gender differences after following oculomotor training on larger samples. It could be also argued that, for the present study, the specificity of the oculomotor training was more complex than that proposed in the previous study [22]; in addition, our participants were more regularly active with respect to the sample of the abovementioned research. Thus, subjects, if not adequately supervised by an expert instructor, are less able to effectively reproduce the exercises on their own. Although subjects were asked to complete a daily schedule where they had to report the time and how many times they performed the training, it is possible that not everybody performed the exercises the same number of times, consequently altering the total home training volume. Regarding which type of condition produced more improvements, as it is shown for mean and median values in Table 1, C1 and C2 seem to be more effective than C3. In particular, LFS showed a tendency towards improvement for C1 and C2; APA values improved at T1 and T2 for C2 and only at T1 for C1; CGA values tended to improve at T2 for C1 and C3; LCG values improved especially at T1 for C1 and C3; BFL improved only at T1 for C1, C2 and C3. It is also to remark that despite the fact that some differences are not statistically significant, they show a remarkable tendency to improve postural control, depending on the experimental condition. C3 showed less improvements than C1 and C2; moreover, three subjects who performed C3 exercises at T2 reported a sensation of nausea and discomfort, suggesting that they could have consequently reduced the frequency and the regularity of their home training.
Limitations of the study include the relatively small size and age heterogeneity of the sample; besides, the unsupervised home training could have reduced the regular practice of the oculo-motor exercises and thus their sustained effectiveness across the time. Further studies should investigate more accurately the home training, with the possibility of adding an intermediate evaluation by a trainer/operator to check for any discrepancy among subjects. Remote online support could facilitate home practice, allowing for a higher frequency and higher effectiveness with sustainable costs, especially during the current pandemic scenario. Indeed, it is recognized that, to induce stable modifications and to incorporate good praxis in daily life, low cost and easily reproducible physical activities are more effective. Moreover, a control group would be helpful to better understand the effects of different interventions.
Gauchard et al. also proposed that, with aging, physical exercise affects ocular mobility which could be useful to limit the risk of falls [37]; it would therefore be of interest to analyze the impact of oculomotor training on the visual system in order to prevent and reduce falls in the older population, and also to minimize the risk of non-contact injuries in athletes as previously reported [38]. In addition, it should be investigated if a multilateral approach to physical and sport activities that lead to enhanced motor competences [39], correspond to a facilitation of the oculomotor afference capacity.
Thus, training based on eye exercises could positively impact postural control and stability either in active adults and in athletes, allowing a reduced risk for falls/injuries with relatively easy tasks to perform; it should be further verified if the presence of an instructor is necessary and also advisable for athletes. Moreover, oculo-motor training as a self-administered and home-based technique, could represent valid support to enjoy the domestic context and its relative time in order to acquire a healthier lifestyle with no costs for individual nor for the collectivity.
In conclusion, the present study, even if not controlled, adds a contribution to the previous literature and suggests that specific oculomotor training can improve, especially in acute, postural control in healthy active adults. Although home-based training could be less effective if not supervised and followed by an operator, in our study, it led to a general tendency in improving postural control anyway. Home-based training, indeed, can represent an effective strategy to facilitate the acquisition of healthy and sustainable lifestyles that positively reflect on the individual’s well-being.
As vision is one of the main components of posture, and visual training potentially facilitates performance in a range of fast-paced sports, oculomotor training could allow for a better postural control that would potentially lead to enhanced health-related quality of life in the adult population with long-lasting active lifestyle.
Author Contributions
Conceptualization, V.B. and F.F.; methodology, S.C. and A.C.; software, A.G.; formal analysis, V.B. and A.C.; investigation, S.C. and F.F.; data curation, V.B. and A.C.; writing—original draft preparation, V.B. and S.C.; writing—review and editing, V.B. and F.F.; visualization, V.B and S.C.; supervision, F.F.; project administration, A.G.; All authors have read and agreed to the published version of the manuscript.
Funding
This research received no external funding.
Conflicts of Interest
The authors declare no conflict of interest.
References
- Ammar, A.; Chtourou, H.; Boukhris, O.; Trabelsi, K.; Masmoudi, L.; Brach, M.; Bouaziz, B.; Bentlage, E.; How, D.; Ahmed, M.; et al. Covid-19 home confinement negatively impacts social participation and life satisfaction: A worldwide multicenter study. Int. J. Environ. Res. Public Health 2020, 17, 6237. [Google Scholar] [CrossRef]
- Tison, G.H.; Avram, R.; Kuhar, P.; Abreau, S.; Marcus, G.M.; Pletcher, M.J.; Olgin, J.E. Worldwide effect of COVID-19 on physical activity: A descriptive study. Ann. Intern. Med. 2020, 173, 767–770. [Google Scholar] [CrossRef]
- Woods, J.; Hutchinson, N.T.; Powers, S.K.; Roberts, W.O.; Gomez-Cabrera, M.C.; Radak, Z.; Berkes, I.; Boros, A.; Boldogh, I.; Leeuwenburgh, C.; et al. The COVID-19 pandemic and physical activity. Sports Med. Health Sci. 2020, 2, 55–64. [Google Scholar] [CrossRef]
- Lear, S.A.; Hu, W.; Rangarajan, S.; Gasevic, D.; Leong, D.; Iqbal, R.; Casanova, A.; Swaminathan, A.R.M.; Kumar, R.; Rosengren, L.; et al. The effect of physical activity on mortality and cardiovascular disease in 130 000 people from 17 high-income, middle-income, and low-income countries: The PURE study. Lancet 2017, 390, 2643–2654. [Google Scholar] [CrossRef]
- Anderson, E.; Durstine, J.L. Physical activity, exercise, and chronic diseases: A brief review. Sports Med. Health Sci. 2019, 1, 3–10. [Google Scholar] [CrossRef]
- Alomari, M.A.; Khabour, O.F.; Alzoubi, K.H. Changes in Physical Activity and Sedentary Behavior Amid Confinement: The BKSQ-COVID-19 Project. Risk Manag. Healthc. Policy 2020, 13, 1757. [Google Scholar] [CrossRef]
- Joy, E.L.; Blair, S.N.; McBride, P.; Sallis, R. Physical activity counselling in sports medicine: A call to action. Br. J. Sports Med. 2013, 47, 49–53. [Google Scholar] [CrossRef]
- Bize, R.; Johnson, J.A.; Plotnikoff, R.C. Physical activity level and health-related quality of life in the general adult population: A systematic review. Prev. Med. 2007, 45, 401–415. [Google Scholar] [CrossRef]
- Maurer, C.; Mergner, T.; Peterka, R.J. Multisensory control of human upright stance. Exp. Brain Res. 2006, 171, 231. [Google Scholar] [CrossRef]
- Meshkati, Z.; Namazizadeh, M.; Salavati, M.; Meshkati, L. The comparison of the role of vision on static postural stability in athletes and nonathletes. Iran. Rehabil. J. 2010, 8, 50–53. [Google Scholar]
- Peterka, R.J. Sensory integration for human balance control. In Handbook of Clinical Neurology; Elsevier: Amsterdam, The Netherlands, 2018; Volume 159, pp. 27–42. [Google Scholar]
- Jeka, J.; Oie, K.S.; Kiemel, T. Multisensory information for human postural control: Integrating touch and vision. Exp. Brain Res. 2000, 134, 107–125. [Google Scholar] [CrossRef]
- Friedrich, M.; Grein, H.J.; Wicher, C.; Schuetze, J.; Mueller, A.; Lauenroth, A.; Schwesig, R. Influence of pathologic and simulated visual dysfunctions on the postural system. Exp. Brain Res. 2008, 186, 305–314. [Google Scholar] [CrossRef]
- Della Volpe, R.; Popa, T.; Ginanneschi, F.; Spidalieri, R.; Mazzocchio, R.; Rossi, A. Changes in coordination of postural control during dynamic stance in chronic low back pain patients. Gait Posture 2006, 24, 349–355. [Google Scholar] [CrossRef]
- Bonnet, C.T.; Baudry, S.A. functional synergistic model to explain postural control during precise visual tasks. Gait Posture 2016, 50, 120–125. [Google Scholar] [CrossRef]
- Paillard, T. Plasticity of the postural function to sport and/or motor experience. NeuroSci. Biobehav. Rev. 2017, 72, 129–152. [Google Scholar] [CrossRef]
- Paillard, T.; Noe, F. Techniques and methods for testing the postural function in healthy and pathological subjects. Biomed. Res. Int. 2015, 2015, 891390. [Google Scholar] [CrossRef]
- Horak, F.B. Postural orientation and equilibrium: What do we need to know about neural control of balance to prevent falls? Age Ageing 2006, 35 (Suppl. 2), ii7–ii11. [Google Scholar] [CrossRef]
- Rawstron, J.A.; Burley, C.D.; Elder, M.J. A systematic review of the applicability and efficacy of eye exercises. J. Pediatr. Ophthalmol. Strabismus 2005, 42, 82–88. [Google Scholar] [CrossRef]
- Morimoto, H.; Asai, Y.; Johnson, E.G.; Lohman, E.B.; Khoo, K.; Mizutani, Y.; Mizutani, T. Effect of oculo-motor and gaze stability exercises on postural stability and dynamic visual acuity in healthy young adults. Gait Posture 2011, 33, 600–603. [Google Scholar] [CrossRef]
- Bhardwaj, V.; Vats, M. Effectiveness of gaze stability exercises on balance in healthy elderly population. Int. J. Physiother. Res. 2014, 2, 642–647. [Google Scholar]
- Fischetti, F.; Cataldi, S.; Giunto, A.; Greco, G. Effect of home-based oculomotor exercises on postural stability in healthy female adults. J. Hum. Sports Exerc. 2020, 15, 653–660. [Google Scholar] [CrossRef]
- Minoonejad, H.; Barati, A.H.; Naderifar, H.; Heidari, B.; Kazemi, A.S.; Lashay, A. Effect of four weeks of ocular-motor exercises on dynamic visual acuity and stability limit of female basketball players. Gait Posture 2019, 73, 286–290. [Google Scholar] [CrossRef]
- Stoffregen, T.A.; Pagulayan, R.J.; Bardy, B.G.; Hettinger, L.J. Modulating postural control to facilitate visual performance. Hum. Mov. Sci. 2000, 19, 203–220. [Google Scholar] [CrossRef]
- Carpenter, M.G.; Frank, J.S.; Winter, D.A.; Peysar, G.W. Sampling duration effects on centre of pressure summary measures. Gait Posture 2001, 13, 35–40. [Google Scholar] [CrossRef]
- Bricot, B. La Riprogrammazione Posturale Globale; Sauramps Medicàl: Montpellier, France, 1998. [Google Scholar]
- Clark, N.C.; Röijezon, U.; Treleaven, J. Proprioception in musculoskeletal rehabilitation. Part 2: Clinical assessment and intervention. Man. Ther. 2015, 20, 378–387. [Google Scholar] [CrossRef] [PubMed]
- Cohen, J. Statistical Power Analysis for the Behavioral Sciences, 2nd ed.; L. Lawrence Earlbaum Associates: Hillsdale, NJ, USA, 1988. [Google Scholar]
- Glasauer, S.; Schneider, E.; Jahn, K.; Strupp, M.; Brandt, T. How the eyes move the body. Neurology 2005, 65, 1291–1293. [Google Scholar] [CrossRef]
- Manor, B.; Costa, M.D.; Hu, K.; Newton, E.; Starobinets, O.; Kang, H.G.; Peng, C.K.; Novak, V.; Lipsitz, L.A. Physiological complexity and system adaptability: Evidence from postural control dynamics of older adults. J. Appl. Physiol. 2010, 109, 1786–1791. [Google Scholar] [CrossRef]
- Jahn, K.; Strupp, M.; Krafczyk, S.; SchuÈler, O.; Glasauer, S.; Brandt, T. Suppression of eye movements improves balance. Brain 2002, 125, 2005–2011. [Google Scholar] [CrossRef]
- Strupp, M.; Glasauer, S.; Jahn, K.; Schneider, E.; Krafczyk, S.; Brandt, T. Eye movements and balance. Ann. N. Y. Acad. Sci. 2003, 1004, 352–353. [Google Scholar] [CrossRef]
- Pimenta, C.; Correia, A.; Alves, M.; Virella, D. Effects of oculomotor and gaze stability exercises on balance after stroke: Clinical trial protocol. Porto Biomed. J. 2017, 2, 76–80. [Google Scholar] [CrossRef]
- Sell, T.C.; Lephart, S.M. Neuromuscular differences between men and women. In ACL Injuries in the Female Athlete; Springer: Berlin/Heidelberg, Germany, 2012; pp. 133–152. [Google Scholar]
- Hageman, P.A.; Leibowitz, J.M.; Blanke, D. Age and gender effects on postural control measures. Arch. Phys. Med. Rehabil. 1995, 76, 961–965. [Google Scholar] [CrossRef]
- Kahraman, B.O.; Kahraman, T.; Kalemci, O.; Sengul, Y.S. Gender differences in postural control in people with nonspecific chronic low back pain. Gait Posture 2018, 64, 147–151. [Google Scholar] [CrossRef]
- Gauchard, G.C.; Gangloff, P.; Jeandel, C.; Perrin, P.P. Physical activity improves gaze and posture control in the elderly. NeuroSci. Res. 2003, 45, 409–417. [Google Scholar] [CrossRef]
- Barcellona, M.; Giustino, V.; Messina, G.; Battaglia, G.; Fischetti, F.; Palma, A.; Iovane, A. Effects of a specific training protocol on posturographic parameters of a taekwondo elite athlete and implications on injury prevention: A case study. Acta Med. 2018, 34, 1533. [Google Scholar]
- Fischetti, F.; Greco, G. Multilateral methods in Physical Education improve physical capacity and motor skills performance of the youth. J. Physic. Educ. Sport 2017, 17, 2160–2168. [Google Scholar]
Publisher’s Note: MDPI stays neutral with regard to jurisdictional claims in published maps and institutional affiliations. |
© 2020 by the authors. Licensee MDPI, Basel, Switzerland. This article is an open access article distributed under the terms and conditions of the Creative Commons Attribution (CC BY) license (http://creativecommons.org/licenses/by/4.0/).


