Sustainable Disaster Response Management Related to Large Technical Systems
Abstract
1. Introduction
2. Methodology
2.1. Governing Ideas
2.1.1. Requirements of the Generally Applicable Indicators or Indexes
2.1.2. Improving the Supporting System
- information reliability−the provided information as inputs for response management is very robust, deficient and even antinomy,
- short information presentation−this usually, even in developed operation centers, is well behind the possible solutions presenting information in preliminary evaluated forms together with short time predictions and the prioritized list of required actions,
- a lack in competences of operators and staff−due to fortune, the disasters occur vary rarely.
2.1.3. Make the System Effective
2.2. Developed Methodology Supported by Predictive Simulation
- there are no principal differences in the compared regulatory systems, neither in the structure, nor the contents,
- there is a lack of regulation related to the use of railway systems in disaster management,
- the best practice in the general regulation of disaster management are developed, used, and published by FEMA (Federal Emergency Management), while, according to the railway disaster management to earthquakes, it could be learned from the Japanese regulation.
2.2.1. Step 0-Prepardeness
- design the system for the maximum earthquake magnitude that might be accoutered by 1% probability during the next 50 years,
- the system should be returned to its 70% of operability (usability) within one week and 86% in two weeks,
- the technical, the organizational performance, and the distribution of provisions (depots with materials, instruments, machines required for restoration) must be planned and optimized for the minimum (life cycle) cost, and must be sustainable,
- the materials, instruments, machines must be stored in depots not more than 20 years, with their continuous replacement.
2.2.2. Step 1–3-First Level Response (Iteration Cycle)
2.2.3. Step 1–3-First Level Response (Iteration Cycle)
2.2.4. Step 4–5-Second Level Response
2.2.5. Step 6-The Third Level of Response (Decision)
2.2.6. Step 7-Long Term Recovery Planning
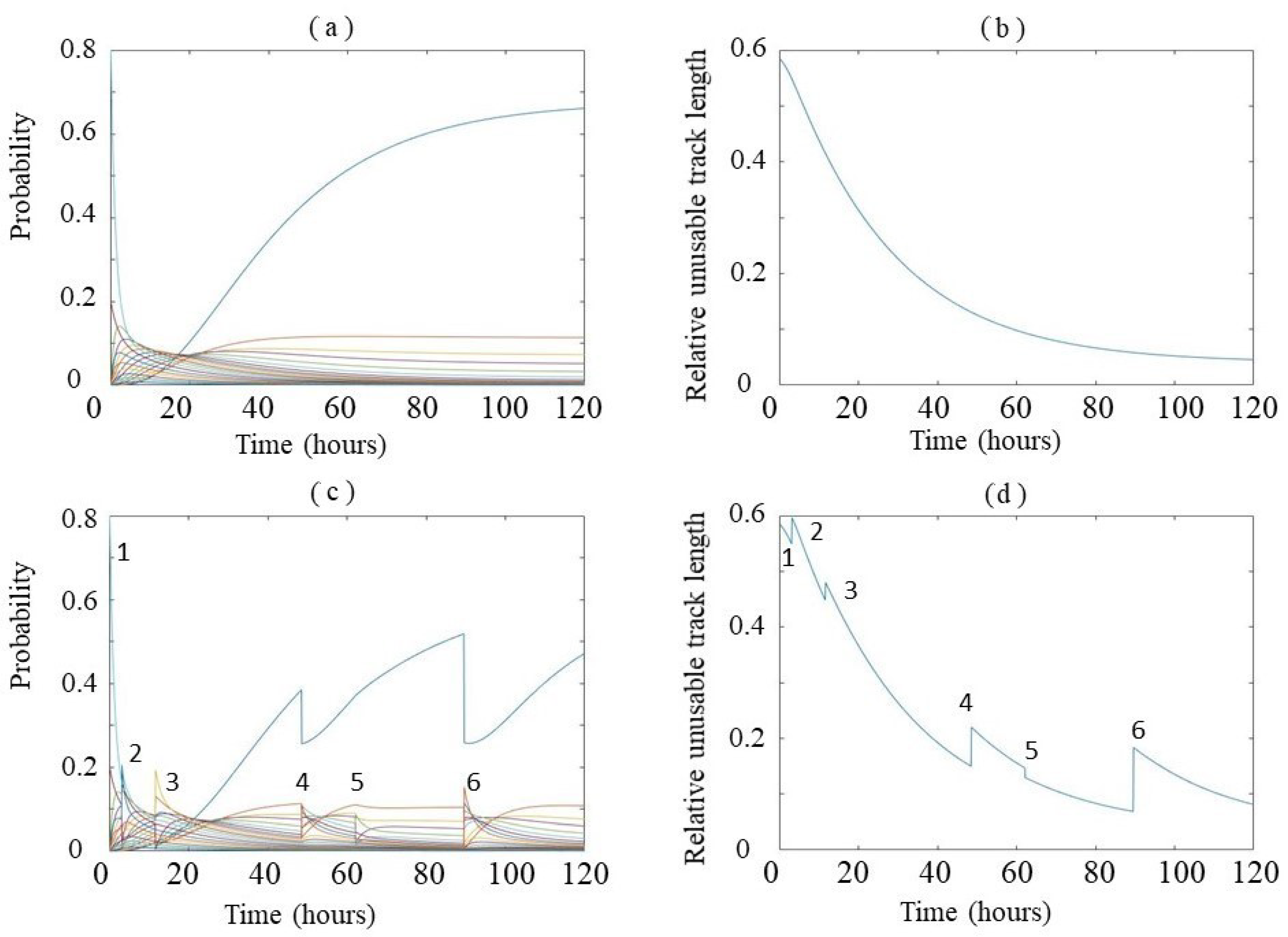
3. Results-Concept Testing
3.1. Dilemma on Concept Evaluation
- modelling the full process by a Markov chain being continuously adapted (every 3–6 min), with re-estimated elements of the transition matrix,
- using a special Monte Carlo simulation to predict the aftershocks’ appearance,
- predicting the secondary effects based on the previously available historical data and
- using a wide range of further calculations (like computational fluid dynamics to study the motion of flood, finite elements methods to study the structural damages).
3.2. Concept Validation Test
4. Discussion
5. Conclusions
- The role of railway systems in the (earthquake) response management should be considerably improved because
- ○
- it is underestimated today
- ○
- its damage (caused by an earthquake) is usually less severe relative to other transportation means (in the case of having a well-prepared earthquake-resistant infrastructure and a developed monitoring system),
- ○
- it could be rapidly recovered to the operational (usable) level within 6–24 h (in case of having a conventional system) or 30 days maximum (in case of having a high-speed train system that requires preliminary test runs of trains), therefore
- ○
- it is especially relevant for countries having a limited road system and/or high risks of earthquake occurrence.
- An extensive literature survey was performed, models and methodologies analyzed, which could be applied to
- ○
- response to the railway damages caused by earthquakes,
- ○
- collection of historical data on the railway system recovery after earthquakes, including primary and secondary effects and aftershocks,
- ○
- evaluation of the damage by the introduction of a new indicator–relative unusable track length (like a parameter of the lost capacity) and
- ○
- select/improve/develop the sub-models to support response and recovery management.
- An active and adaptive methodology was developed, which is recommended to improve earthquake response management techniques that are;
- ○
- based on recurring cycles of the zero + six + one steps,
- ○
- including semi-empirical situation awareness-evaluation-decision making between each step,
- ○
- supported by the discussed sub-models employing different theoretical, semi-practical calculations and simulations.
- The introduced methodology was applied to simulations and concept validation tests that
- ○
- applied the available historical data on railway damages caused by earthquakes and fast recovery,
- ○
- followed experts’ recommendations advising possible decisions in different simulated situations and
- ○
- used simulation models employing approximation of the relative unusable track length changing process by a Markov chain adapted to the applied decision at each step and included a Monte-Carlo simulation of the aftershocks’ possible occurrence (and secondary effects).
Author Contributions
Funding
Conflicts of Interest
References
- Helmsttetter, A.; Kagan, Y.; Jackson, D. Comparison of short-term and long-term earthquake forecast models for southern California. Bull. Seismol. Soc. Am. Seismol. 2006, 96, 90–106. [Google Scholar] [CrossRef]
- Edwards, F.L.; Goodric, D.C.; Hellweg, M.; Strauss, J.A.; Eskijan, M.; Jaradat, O. Great East Japan Earthquake, JR East Mitigation Successes, and Lessons for California High-Speed Rail; (project short information); Mineta Transportation Institute, San José State University: San José, CA, USA, 2015; Available online: https://transweb.sjsu.edu/sites/default/files/1225-great-east-japan-earthquake-lessons-for-California-HSR-brief.pdf (accessed on 12 August 2020).
- Reasenberg, P.A.; Jones, L.M. Earthquake hazard after a mainshock in California. Science 1989, 243, 1173–1176. [Google Scholar] [CrossRef] [PubMed]
- Page, M.T.; van der Elst, N.; Hardebeck, J.; Fedzer, K.; Michael, A.J. Three ingredients for improved global aftershock forecasts: Tectonic region, time-dependent catalog incompleteness and intersequence variability. Bull. Seismol. Soc. Am. 2016, 106, 2290–2301. [Google Scholar] [CrossRef]
- Kia, M.B.; Pirasteh, S.; Pradhan, B.; Mahmud, A.R.; Sulaiman, W.N.A.; Moradi, A. An artificial neural network model for flood simulation using GIS: Johor River Basin, Malaysia. Environ. Earth Sci. 2012, 67, 251–264. [Google Scholar] [CrossRef]
- Saito, T.; Furumura, T. Three-dimensional simulation of tsunami generation and propagation: Application to intraplate events. J. Geogr. Res. 2009, 114, 15. [Google Scholar] [CrossRef]
- Bagiya, M.S.; Kherani, E.A.; Sunil, P.S.; Sunil, A.S.; Sunda, S.; Ramesh, D.S. Origin of the ahead of tsunami traveling ionospheric disturbances during Sumatra tsunami and offshore forecasting. J. Geophys. Res. Space Phys. 2017, 9. [Google Scholar] [CrossRef]
- Teplykh, S.Y.; Strelkov, A.K. Characteristics of railroad natural-technogenic complexes. Procedia Eng. 2015, 111, 742–747. [Google Scholar] [CrossRef][Green Version]
- Bray, J.D.; Seed, R.B.; Cluff, L.S.; Seed, H.B. Earthquake fault rupture propagation through soil. Discussion and closure. J. Geotech. Eng. 1996, 122, 79–83. [Google Scholar]
- Hori, M. Introduction to Computation Earthquake Engineering, 3rd ed.; World Scientific Publishing Europe Ltd.: London, UK, 2018; p. 430. [Google Scholar]
- Wesnousky, S.G. Predicting the endpoints of earthquake ruptures. Nature 2006, 444, 358–360. [Google Scholar] [CrossRef]
- Hassan, H.M.; Fasan, M.; Sayed, M.A.; Romanelli, F.; ElGabry, M.N.; Vaccari, F.; Hamed, A. Site-specific ground motion modelling for a historical Cairo site as a step towards computation of seismic input at cultural heritage sites. Eng. Geol. 2020, 268, 19. [Google Scholar] [CrossRef]
- Evangelista, L.; del Gaudio, S.; Smerzini, C.; d’Onofrio, A.; Festa, G.; Iervolino, I.; Landolfi, L.; Paolucci, R.; Santo, A.; Silvestri, F. Physics-based seismic input for engineering applications: A case study in the aterno river valley, central Italy. Bull. Earthq. Eng. 2017, 15, 2645–2671. [Google Scholar] [CrossRef]
- SPEED, SPectral Elements in Elastodynamics with Discontinuous Galerkin. 2020. Available online: http://speed.mox.polimi.it/ (accessed on 11 July 2020).
- Chiou, B.; Darragh, R.; Gregor, N.; Silva, W. NGA project strong-motion database. Earthq. Spectra 2008, 24, 23–44. [Google Scholar] [CrossRef]
- Luzi, L.; Puglia, R.; Russo, E. ORFEUS WG5. Engineering strong motion database, version 1.0. Istituto Nazionale di Geofisica e Vulcanologia, Observatories & Research Facilities for European Seismolog. 2016. Available online: https://esm.mi.ingv.it/DYNA-stage/CadmoDriver?_action_do=1&_page=ACC_redirect_home_page&_rock=INVALID&_state=initial&_tabber=0&_token=NULLNULLNULLNULL (accessed on 7 July 2020).
- McGuire, R.K. Seismic Hazard and Risk Analysis((Engineering Monographs on Earthquake Criteria, Structural Design, and Strong Motion Records); Earthquake Engineering Research Institute: Oakland, CA, USA, 2004; p. 221. ISBN #0-943198-01-1. [Google Scholar]
- Erdik, M.; Şeşetyan, K.; Demircioğlu, M.B.; Hancılar, U.; Zülfikar, C. Rapid earthquake loss assessment after damaging earthquakes. Soil Dyn. Earthq. Eng. 2011, 31, 247–266. [Google Scholar] [CrossRef]
- FEMA. Hazus®, Estimated Annualized Earthquake Losses for the United States; FEMA—Federal Emergency Management Agency: Washington, DC, USA, 2017; p. 366. [Google Scholar]
- Guo, W.; Gao, X.; Hu, P. Seismic damage features of high-speed railway simply supported bridge–track system under near-fault earthquake. Adv. Struct. Eng. 2020, 23. [Google Scholar] [CrossRef]
- William, G.; Byers, P.E. Railroad lifeline damage in earthquakes. In Proceedings of the13th World Congress on Earthquake Engineering, Vancouver, BC, Canada, 1–6 August 2004. p. 12.
- Shekerbekov, U. Destruction of transport structures during strong earthquakes of the past from 1895–1988 (in Russian). Bull. Kazakh Acad. Transport. Commun. Named M. Tynyshpaev 2010, 62, 71–77. [Google Scholar]
- Nurmagambetov, A. Safety of the population and economic facilities of Kazakhstan, taking into account the risk of strong earthquakes (in Russian). Bull. Kokshetau Tech. Inst. Minist. Emerg. Situat. Repub. Kazakhstan 2012, 5, 3–8. [Google Scholar]
- Yavorskyi, A.V.; Karpash, M.O.; Zhovtulia, L.Y.; Poberezhny, L.Y.; Maruschak, P.O. Safe operation of engineering structures in the oil and gas industry. J. Nat. Gas. Sci. Eng. 2017, 46, 289–295. [Google Scholar] [CrossRef]
- Hayashi, A.; Ito, Y.; Ishikawa, K. Earthquake disaster prevention and required performance of railway facilities in Japan. In Proceedings of the 17th U.S.-Japan-New Zealand Workshop on the Improvement of Structural Engineering and Resilience, Queenstown, New Zealand, 12–14 November 2018; pp. 3–10. [Google Scholar]
- Yamamoto, S.; Tomori, M. Earthquake early warning system for railways and its performance. J. Jpn. Soc. Civ. Eng. 2013, 1, 322–328. [Google Scholar] [CrossRef]
- Boyed, A.; Hokanson, J.B.; Johnson, L.A.; Schwab, J.C.; Topping, K.C. Planning for Post-disaster Recovery: Next Generation; APA—American Planning Association: Chicago, IL, USA, 2014. [Google Scholar]
- Kinzhikeyev, S. Modelling and Management for Supporting the Recovery of Railway Systems after Earthquakes. Ph.D. Thesis, Budapest University of Technology and Economics, Budapest, Hungary, 2020. [Google Scholar]
- Haddow, G.D.; Bullock, J.A.; Coppola, D.P. Introduction to Emergency Management, 4th ed.; Elsevier: Amsterdam, The Netherlands, 2011; p. 423. [Google Scholar]
- Rohacs, J. Emergency management technology. In Proceedings of the International Symposium on Safety Science Technology, Shanghai, China, 25–28 October 2004; pp. 2507–2516. [Google Scholar]
- GFDRR Earthquake reconstruction The World Bank, GFDRR—Global Facility for Disaster Reduction and Recovery, Washington, DC. 2011, p. 99. Available online: https://www.gfdrr.org/sites/default/files/publication/GFDRR_Earthquake_Reconstruction16Nov2011_0.pdf (accessed on 12 November 2020).
- McEntire, D.A. The status of emergency management theory: Issues, barriers, and recommendations for improved scholarship. In Proceedings of the FEMA Higher Education Conference, Emmitsburg, MD, USA, 8–10 June 2004. [Google Scholar]
- FEMA Federal Emergency Management Agency. 2020. Available online: https://www.fema.gov/ (accessed on 14 January 2020).
- Japan Cabinet Office. White Paper on Disaster Management in Japan 2019; Japan Cabinet Office: Tokio, Japan, 2019; p. 238. [Google Scholar]
- FDMA Fire and Disaster Management Agency. 2020. Available online: https://www.fdma.go.jp/en/post1.html (accessed on 14 January 2020).
- Badiru, A.B.; Racz, L.A. Handbook of Emergency Response A Human Factors and Systems Engineering Approach; Taylor & Francis Group, CRC Press: Boca Raton, FL, USA, 2014; p. 758. [Google Scholar]
- US DoD (Department of Defence). C4ISR Architecture Framework, Version 2.0; US DoD C4ISR Architecture Working Group (AWG): Washington, DC, USA, 1997; p. 231. [Google Scholar]
- ERCC Emergency Response Coordination Centre. 2020. Available online: https://ec.europa.eu/echo/what/civil-protection/emergency-response-coordination-centre-ercc_en (accessed on 14 January 2020).
- FEMA. National Disaster Recovery Framework, Strengthening Disaster Recovery for the Nation; Federal Emergency Management Agency: Washington, DC, USA, 2011; p. 116. [Google Scholar]
- Rolland, E.; Patterson, R.A.; Ward, K.; Dodin, B. Decision support for disaster management. Oper. Manag. Res. 2010, 3, 68–79. [Google Scholar]
- Vagnoli, M.; Remenyte-Prescott, R.; Andrews, J. Railway bridge structural health monitoring and fault detection: State-of-the-art methods and future challenges. Struct. Health Monit. 2018, 17, 971–1007. [Google Scholar] [CrossRef]
- Fraga-Lamas, P.; Fernández-Caramés, T.G.; Castedo, L. Towards the internet of smart trains: A review on industrial iot-connected railways. Sensors 2017, 17, 1457. [Google Scholar] [CrossRef] [PubMed]
- Alaward, H.; Kaewunruen, S. Wireless sensor networks: Toward smarter railway stations. Infrastructure 2018, 3, 17. [Google Scholar]
- Interface. Bridge Seismic Force Monitoring Solution. 18 May 2020. Available online: https://www.interfaceforce.com/solutions/industrial-automation/bridge-seismic-force-monitoring-solution/ (accessed on 6 June 2020).
- Suriyanita, R.; Adnan, A. Optoimisation of sensor locations for bridge seismic monitoring system using genetic algoritm. In Proceedings of the Second International Conference on Earthquake Engineering and Disaster Mitigation (ICEEDM-2), Surabaya, Indonesia,19–20 July 2011. p. 8.
- Schröter, E.; Kiefl, R.; Neidhardt, E.; Gurczik, G.; Dalaff, C. Trialing innovative technologies in crisis management—Airborne and terrestrial situational awareness as support tool in flood response. Appl. Sci. 2020, 10, 3743. [Google Scholar] [CrossRef]
- Pobereznyi, L.Y.; Poberezhna, L.Y.; Maruschak, P.O.; Panin, S.V. Assessment of potential environmental risks from saline soils subsidence. In Proceedings of the Ecology and Safety in the Technosphere: Current Problems and Solutions, Yurga, Russian, 17–19 November 2016. [Google Scholar]
- Djalante, R.; Holley, C.; Thomalla, F. Adaptive governance and managing resilience to natural hazards. Int. J. Disaster Risk Sci. 2011, 2, 1–14. [Google Scholar] [CrossRef]
- Bitaraf, M.; Hurlebaus, S.; Barroso, L.R. Active and semi-active adaptive control for undamaged and damaged building structures under seismic load. Comput. Aided Civil. Infrastruct. Eng. 2012, 27, 48–64. [Google Scholar] [CrossRef]
- Akimov, V.A. Ground-space monitoring of emergency situations. In All-Russian Research Institutre for Civil Defense of the EMERCOM of Russia (the Federal Science and High Technology Center); Federal State Budgetary Institution: Moscow, Russia, 2016; p. 128. (In Russian) [Google Scholar]
- Restás, Á. Drone applications for supporting disaster. World J. Eng. Technol. 2015, 3, 316–321. [Google Scholar] [CrossRef]
- Kasianov, V.A. Subjective Analysis; National Aviation University: Kiev, Ukraine, 2007; p. 511. (In Russian) [Google Scholar]
- Kasianov, V.A. Subjective Entropy of Preferences, Subjective Analysis; Institute of Aviation: Warsaw, Poland, 2013; p. 644. ISBN 978-83-63539*-08-5. [Google Scholar]
- Rohacs, J. Subjective analysis and modelling the endogenous active systems. In Proceedings of the 12th Mini Conference on Vehicle System Dynamics, Identification and Anomalies, Budapest, Hungary, 8–10 November 2012. [Google Scholar]
- Petrova, E. Natural hazard impacts on transport infrastructure in Russia. J. Nat. Hazards Earth Syst. Sci. (NHESS) 2020, 20, 1969–1983. [Google Scholar] [CrossRef]
- Takada, S.; Ueno, J. Performance of lifeline systems during the 1995 Great Hanshin Earthquake. In Proceedings of the 6th U.S.-Japan Workshop on Earthquake Disaster Prevention for Lifeline Systems, Osaka, Japan, 18–19 July 1995; pp. 165–184. [Google Scholar]
- Chang, S.E.; Nojima, N. Measuring post-disaster transportation system performance: The 1995 kobe earthquake in comparative perspective. Transp. Res. Part. A Policy Pract. 2001, 35, 475–494. [Google Scholar] [CrossRef]
- Endsley, M.R. Toward a theory of situation awareness in dynamic systems. Hum. Factors 1995, 37, 32–64. [Google Scholar] [CrossRef]
- Rasmussen, J. Information Processing and Human-machine Interaction: An Approach to Cognitive Engineering; Elsevier Science Inc.: New York, NY, USA, 1986; p. 228. [Google Scholar]
- Rohacs, J.; Rohacs, D.; Jankovics, I. Conceptual development of an advanced air traffic controller workstation based on objective workload monitoring and augmented reality. Proc. Inst. Mech. Eng. Part. G J. Aerosp. Eng. 2016, 230, 1747–1761. [Google Scholar] [CrossRef]
- Ferrer, J.M.; Ortuño, M.T.; Tirado, G. A new ant colony-based methodology for disaster relief. Mathematics 2020, 8, 518. [Google Scholar] [CrossRef]
- Jung, D.; Tuan, V.T.; Tran, D.Q.; Park, M.; Park, S. Conceptual framework of an intelligent decision support system for smart city disaster management. Appl. Sci. 2020, 10, 666. [Google Scholar] [CrossRef]
- UN. Secretary-General World Commission on Environment and Development. Report of the World Commission on Environment and Development: Our Common Future; Oxford University Press: Oxford, UK, 1987; p. 383. ISBN 019282080X. [Google Scholar]
- Wangai, A.W.; Rohacs, D.; Boros, A. Supporting the sustainable development of railway transport in developing countries. Sustainability 2020, 12, 3572. [Google Scholar] [CrossRef]
- Gan, X.; Fernandez, I.C.; Guo, J.; Wilson, M.; Zhao, Y.; Zhou, B.; We, J. When to use what: Methods for weighting and aggregating sustainability indicators. Ecol. Indic. 2017, 81, 491–502. [Google Scholar] [CrossRef]
- Diaz-Balteiro, L.; González-Pachón, J.; Romero, C. Measuring systems sustainability with multi-criteria methods: A cruitical view. Eur. J. Oper. Res. 2017, 258, 607–616. [Google Scholar] [CrossRef]
- Docekalova, M.P.; Kocmanova, A. Composite indicator for measuring corporate sustainability. Ecol. Indic. 2016, 61, 612–623. [Google Scholar] [CrossRef]
- Searcy, C. Measuring enterprise sustainability. Bus. Strategy Environ. 2016, 25, 120–133. [Google Scholar] [CrossRef]
- Marques, R.C.; Ferraira de Cruise, N.; Pires, J. Measuring the sustainability of urban water services. Environ. Sci. Policy 2015, 54, 142–151. [Google Scholar] [CrossRef]
- Munda, G. “Measuring sustainability”: A multi-criterion framework. Environ. Dev. Sustain. 2005, 7, 117–134. [Google Scholar] [CrossRef]
- Kuhlman, T.; Farrington, J. What is Sustainability? Sustainability 2010, 2, 3436–3448. [Google Scholar] [CrossRef]
- Dhillon, B.S. Life Cycle Costing for Engineers; Taylor & Francis Group, CRC Press: Danvers, MA, USA, 2010; p. 224. [Google Scholar]
- Bierer, A.; Gotze, U.; Meynerts, L.; Sygulla, R. Integrating life cycle costing and life cycle assessment using extended material flow cost accounting. J. Clean. Prod. 2015, 108, 1289–1301. [Google Scholar] [CrossRef]
- Cravezero Life Cycle Cost Tool Free Downloadable Exceltool. 2020. Available online: https://www.cravezero.eu/pinboard/Downloads/LCCTool.htm (accessed on 24 September 2020).
- Chester, M.V.; Horvath, A. Environmental assessment of passenger transportation should include infrastructure and supply chains. Environ. Res. Lett. 2009, 4, 8. [Google Scholar] [CrossRef]
- Adell, A.; Seebach, D.; Möller, M.; Tepper, P. LCC-CO2 Tool User Guide Visual Guide to Using the Life-cycle Costing and CO2 Assessment Tool (LCC-CO2 Tool); SMART SPP consortium, c/o ICLEI—Local Govermnets for Sustainability: Bonn, Germany, 2011; p. 26. [Google Scholar]
- WRI and WBCSD. Technical Guidance for Calculating Scope 3 Emissions (Version 1.0) Supplement to the Corporate Value Chain (Scope 3) Accounting & Reporting Standard; WRI, WBSCD World Resources Institute & World Business Council for Sustainable Development: Geneva, Switzerland, 2013; p. 182. [Google Scholar]
- Buchanan, J.M.; Stubblebine, W.C. Externality. Economica 1962, 29, 371–384. [Google Scholar] [CrossRef]
- Van Essen, H.; Van Wijngaarden, L.; Schroten, A.; Sutter, D.; Bieler, C.; Maffii, S.; Brambilla, M.; Fiorello, D.; Fermi, F.; Parolin, R.; et al. Handbook on the External Costs of Transport, Version 2019; CE Delft: Delft, The Netherlands, 2019. [Google Scholar]
- Roth, I.F.; Ambs, L.L. Incorporating externalities into a full cost approach to electric power generation life-cycle costing. Energy 2004, 29, 2125–2144. [Google Scholar] [CrossRef]
- Jansen, B.W.; van Stijn, A.; Gruis, V.; van Bortel, G. A circular economy life cycle costing model (CE-LCC) for building components. Resour. Conserv. Recycl. 2020, 161, 11. [Google Scholar]
- Wangai, A.U.; Kinzhikeyev, S. An application of impactcalcualtion method in transportation. Tranpost 2020, 35, 435–446. [Google Scholar]
- Rohacs, J.; Rohacs, D. Total impact evaluation of transportation systems. Transport. 2020, 35, 193–202. [Google Scholar] [CrossRef]
- Sylves, R.T. Disaster Policy and Politics: Emergency Management and Homeland Security, 3rd ed.; SAGE, CQ Press: Washington, DC, USA, 2019; p. 632. [Google Scholar]
- IFRC & UNDP. Effective Law and Regulation for Disaster Risk Reduction: A Multi-Country Report; IFRC & UNDP, International Federation of Red Cross and Red crescent Societies—United Nations Development Programme: New York, NY, USA, 2014; p. 28. [Google Scholar]
- IFRC & UNDP. The Handbook on Law and Disaster Risk Reduction; International Federation of Red Cross and Red Crescent Societies and United Nations Development Programme: Geneva, Switzerland, 2015. [Google Scholar]
- CMDA. Model. Comprehensive Disaster management Legislation and regulations 2013; CMDA—The Caribbean Disaster Emergency Management Agency: St. Michael, Barbados, 2013; p. 152. [Google Scholar]
- Chang, L.; Elnashai, A.S.; Spencer, B.F.; Song, J.-H.; Quyang, Y. Transportations Systems Modelling and Applications; Mid-America Earthquake Center, Universoity of Illinois at Urbana-Champaigh: Urbana, IL, USA, 2010. [Google Scholar]
- ESRI. GIS Best Practice, GIS for Earthquakes; ESRI—Environmental Systems Research Institute: New York, NY, USA, 2007. [Google Scholar]
- Rusydy, I.; Faustino-Eslava, D.V.; Muksin, U.; Gallardo-Zafra, R.; Aguirre, J.J.C.; Bantayan, N.C.; Alam, L.; Dakey, S. A GIS-based earthquake damage prediction in different earthquake models: A case study at the university of the philippines los baños, philippines. Philipp. J. Sci. 2018, 147, 301–316. [Google Scholar]
- Liu, J.; Shi, Z.; Wang, Y. Measuring and characterizing community recovery to earthquake: The case of 2008 wenchuan earthquake, China. J. Nat. Hazards Earth Syst. Sci. (NHESS) 2017, 21. [Google Scholar] [CrossRef]
- Ngamkhanong, C.; Kaewunruen, S.; Costa, B.J.A. State-of-the-art review of railway track resilience monitoring. Infrastructures 2018, 3, 3. [Google Scholar] [CrossRef]
- Gagniuc, P.A. Markov Chains: From Theory to Implementation and Experimentation; John Wiley & Sons: New York, NY, USA, 2017; p. 256. [Google Scholar]
- Tehseen, R.; Farooq, M.S.; Abid, A. Earthquake prediction using expert systems: A systematic mapping study. Sustainability 2020, 12, 2420. [Google Scholar] [CrossRef]
- Silacheva, N.V.; Kulbayeva, U.K.; Kravchenko, N.A. Probabilistic seismic hazard assessment of kazakhstan and almaty city in peak ground accelerations. Geod. Geodyn. 2018, 9, 131–141. [Google Scholar] [CrossRef]
- Karimzadeh, S.; Matsuoka, M.; Kuang, J.; Ge, L. Spatial prediction of aftershocks triggered by a major earthquake: A binary machine learning perspective. Int. J. Geo-Inf. 2019, 8, 462. [Google Scholar] [CrossRef]
- Felzer, K.R.; Becker, T.W.; Abercrombie, R.E.; Ekström, G.; Rice, J.R. Triggering of the 1999 MW 7.1 hector mine earthquake by aftershocks of the 1992 MW 7.3 landers earthquake. J. Geophys. Res. 2002, 107, 13. [Google Scholar] [CrossRef]
- Guo, Z.; Ogata, Y. Statistical relation between the parameters of aftershocks in time, space and magnitude. J. Geophys. Res. 1997, 102, 2857–2873. [Google Scholar] [CrossRef]
- Rehman, K.; Qadri, S.M.T.; Ali, A.; Al, A.; Ahmed, A. Analysis of the devastating kashmir earthquake 2005 aftershocks. Arab. J. Geosci. 2016, 9, 10. [Google Scholar] [CrossRef]
- Christophersen, A.; Smith, E.G.C. A global model for aftershock behaviour. In Proceedings of the 12th World Conference on Earthquake Engineering, Auckland, New Zealand, 30 January–4 February 2000. [Google Scholar]
- North-West Europe, Water test network. The Different between Verificatio, Validation, Regulatory Compliance and Certiification for SMES Considering the Water Test Network; NEW—North-West Europe, Water test network, European Regional Developing Fund. 2020, p. 3. Available online: https://www.nweurope.eu/media/9617/guide-to-verification_validation_certification.pdf (accessed on 12 November 2020).
- Balci, O. Validation, verification and testing techniques throughout the life cycle of a simulation study. Ann. Oper. Res. 1994, 53, 121–173. [Google Scholar] [CrossRef]
- Kellner, M.I.; Madachy, R.J.; Raffo, D.M. Software process simulation modeling: Why? what? how? J. Syst. Softw. 1994, 46, 1–18. [Google Scholar] [CrossRef]
- Cao, X.-R.; Chen, H.-F. Semi-markov decision problems and performance sensitivity analysis. IEEE Trans. Autom. Control. 1997, 42, 1382–1393. [Google Scholar] [CrossRef]
- Grützner, G.; Walker, R.T.; Abdrakhmatov, K.E.; Mukambaev, A.; Elliott, A.J.; Elliott, J.R. Active tectonics around almaty and along the zailisky alatau rangefront. AGU Advencing Aerth Space Sci. 2017, 36, 2192–2226. [Google Scholar] [CrossRef]
- Blagovechshenskiy, V.; Kapitsa, V.; Kasatkin, N. Danger of GLOFs in the mountain areas of kazakhstan. J. Earth Sci. Eng. 2015, 5, 182–187. [Google Scholar] [CrossRef]







| Time (hour) | Event, Actions, Works Done or Need to be Done | Comments |
|---|---|---|
| pre-event | Preparedness: Make a disaster response plan and plan the required supporting system. Preparedness includes the preliminary studies with the latest result of sciences and technologies (as probabilistic prediction of hazards, seismic wave propagation, new construction materials, new measuring, observing systems as UAVs), monitoring and warning systems to be applied, methods of restoration education and training of the required staff. Outputs of preparedness are estimated reserve materials, parts, instruments, details, machines, including the mobile machines, required staff size and their optimized distribution in the zone of the possible earthquakes’ appearances. | Step 0 Operability, or usability means the ratio of the system that can be used even with some limitations (like seriously reduced speed of trains). It must be re-evaluated at every five years. |
| prewarning | In case of seismic activities the supporting system must be “turned” into stand-by condition. | It can happen 1–10 days before the main earthquake appearance. Check the availability of the techniques and the staff |
| 0.0 | Earthquake occurring | |
| 0.005 | Warning signal to reduce the operation level (like sped of trains), stop the system operation | Due to transferring the warning signal with higher speed than the seismic waves are moving |
| 0.015 | Initiating the response supporting systems, actions and starting the response management: definition of the responsibilities, inputs, and warning –up the simulation supporting system. | Major input size (magnitude) and location of the earthquake’s epileft |
| 0.05 | Getting first results by using the preliminary prepared GIS information data block, making the first estimation on the preliminary estimation of size of damages and losses (in critical infrastructure), determining the first value of the major indicator (for example for railway system the relative unusable length of track), definition of the first priority list (which critical infrastructure must be restored firstly) and preparing the mobile staff for their required actions (where, what by which technical support, materials, machines they must do). | First estimated by (1) and (4), list of critical infrastructure must be firstly restored (prioritised on the basis of indicators types (2)), first commands for first response actions |
| 0.1 | Starting the response. The mobile monitoring, rescue and measuring machines move to the defined critical infrastructures. Drones are used to have further real information on the damages, losses. First machines, trucks departure to the predefined sites in order to start the restoration. Simulation support has initiated in adapting recurring process. Every 0.1 h, the simulation results appear on the screens in the operation lefts to make further evaluations, develop new decisions and improve the response process. The simulation process is adapting to the available information, objectives of prioritisation and priority list might be changed during each cycle. | Step 1–3 By step 0.1 h the process is adapted to the following cycles of simulation. Simulation uses the Markov model (8), Monte Carlo simulation to predict the aftershock, empirical (statistical) models to evaluate the secondary effects and series of software to predict the transition (moving) of the secondary effects. |
| 0.82 | Specialist shown up. They join to the staff works. If it is required the leaderships and different managing positions are shifted to the person having large practice or higher rank, position. | The process is running without serious changes |
| 3.2 | New information from the mobile measuring staff and from applied UAVs. Drones arrived and the simulation process is adapted. Measurements show that the damages are more serious than it was estimated. | Step 4–5 considerable changes in (here increased) estimated by the new measurements provided by the mobile (UAV), applications, after it returns to Steps 1–3. |
| 11.7 | In the simulation the possible appearance of aftershocks are predicted by a Monte Carlo simulation. Now, it is a real situation, when the aftershock is greater than 4 M. The partly restored infrastructures have new damages. | Step 4–5 increased considerably, after it returns to Steps 1–3 |
| 26.7 | There is a warning signal about the dam failure. The simulation starts to CFD analysis of moving water to the railway infrastructures. Every 0.1 h cycle new information appears on the screens showing results of simulations and real information on flood. Mobile measuring lefts, UAVs are sent to observing the development of the flood. | Following Step 1–3 adapted to the real situation, and including sub-simulations of different problems, like moving the flood studied by CFD methods. |
| 48.6 | Real information about the damages caused by flood that reached the railway lines, infrastructures. | Step 4–5 increased considerably after it returns to Steps 1–3 |
| after 6.0 | Every 2 h, initiating the final evaluation of the objectives of the first response management | Step 6. |
| 62.2 | New information about the real damages caused by flood. | Step 4–5 decreased considerably, after it returns to the Steps 1–3 |
| 89.6 | Again, an aftershock occurred with a magnitude of 5.6. | Step 4–5 increased considerably, after it returns to the Steps 1–3 |
| 11.1 | Reaching the operation level defined preliminary, = 0.1 | Step 7. |
| 12.0 | Simulation is stopped |
Publisher’s Note: MDPI stays neutral with regard to jurisdictional claims in published maps and institutional affiliations. |
© 2020 by the authors. Licensee MDPI, Basel, Switzerland. This article is an open access article distributed under the terms and conditions of the Creative Commons Attribution (CC BY) license (http://creativecommons.org/licenses/by/4.0/).
Share and Cite
Kinzhikeyev, S.; Rohács, J.; Rohács, D.; Boros, A. Sustainable Disaster Response Management Related to Large Technical Systems. Sustainability 2020, 12, 10290. https://doi.org/10.3390/su122410290
Kinzhikeyev S, Rohács J, Rohács D, Boros A. Sustainable Disaster Response Management Related to Large Technical Systems. Sustainability. 2020; 12(24):10290. https://doi.org/10.3390/su122410290
Chicago/Turabian StyleKinzhikeyev, Sergey, József Rohács, Dániel Rohács, and Anita Boros. 2020. "Sustainable Disaster Response Management Related to Large Technical Systems" Sustainability 12, no. 24: 10290. https://doi.org/10.3390/su122410290
APA StyleKinzhikeyev, S., Rohács, J., Rohács, D., & Boros, A. (2020). Sustainable Disaster Response Management Related to Large Technical Systems. Sustainability, 12(24), 10290. https://doi.org/10.3390/su122410290

