Potential of Producing Compost from Source-Separated Municipal Organic Waste (A Case Study in Shiraz, Iran)
Abstract
1. Introduction
2. Materials and Methods
2.1. Experimental Site
2.2. Raw Materials
2.3. Methodology
3. Results
3.1. Physical Properties
3.1.1. Temperature
3.1.2. Moisture
3.1.3. Bulk Density and the Weight of the Pile
3.2. Chemical Properties
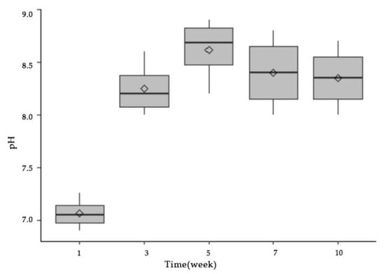
3.2.1. pH
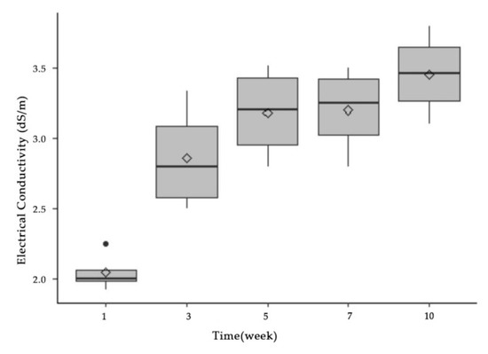
3.2.2. Electric Conductivity (EC)
3.2.3. C/N Ratio
3.2.4. Nitrogen (N), Potassium (K), Phosphor (P)
3.2.5. Heavy Metals
3.2.6. Pathogen Content
3.2.7. Phytotoxicity of the Final Product
4. Discussions
4.1. Scaling-Up the Collection of Source-Separated Organics
4.2. The Positive Effect of Using Class Compost in Soil
5. Conclusions
Author Contributions
Funding
Conflicts of Interest
References
- International Solid Waste Association (ISWA). Global Assessment of Municipal Organic Waste Production and Recycling. Available online: https://www.iswa.org/uploads/media/Report_1_Global_Assessment_of_Municipal_Organic_Waste_Compressed_v2.pdf (accessed on 25 June 2020).
- Awasthi, M.K.; Pandey, A.K.; Khan, J.; Bundela, P.S.; Wong, J.W.C.; Selvam, A. Evaluation of thermophilic fungal consortium for organic municipal solid waste composting. Bioresour. Technol. 2014, 168, 214–221. [Google Scholar] [CrossRef] [PubMed]
- Sukholthaman, P.; Sharp, A. A system dynamics model to evaluate effects of source separation of municipal solid waste management: A case of Bangkok, Thailand. Waste Manag. 2016, 52, 50–61. [Google Scholar] [CrossRef] [PubMed]
- Pohlmann, A. Waste Situation in Refugee Hosting Communities in Northern Jordan, with the Example of the City of Irbid. Master’s Thesis, Rostock University, Rostock, Germany, September 2017. [Google Scholar]
- Qian, X.; Shen, G.; Wang, Z.; Guo, C.; Liu, Y.; Lei, Z.; Zhang, Z. Co-composting of livestock manure with rice straw, Characterization and establishment of maturity evaluation system. Waste Manag. 2014, 34, 530–535. [Google Scholar] [CrossRef] [PubMed]
- Onwosi, C.; Igbokwe, V.; Odimba, J.; Eke, I.; Nwankwoala, M.; Iroh, I.; Ezeogu, L. Composting technology in waste stabilization: On the methods, challenges and future prospects. J. Environ. Manag. 2017, 190, 140–157. [Google Scholar] [CrossRef]
- Storino, F.; Arizmendiarrieta, J.S.; Irigoyen, I.; Muro, J.; Aparicio-Tejo, P.M. Meat waste as feedstock for home composting: Effects on the process and quality of compost. Waste Manag. 2016, 56, 53–62. [Google Scholar] [CrossRef]
- El-Sayed, K. Some physical and chemical properties of compost. Int. J. Waste Resour. 2015, 5, 1–5. [Google Scholar]
- Li, Z.; Lu, H.; Ren, L.; He, L. Experimental and modeling approaches for food waste composting: A review. Chemosphere 2013, 93, 1247–1257. [Google Scholar] [CrossRef]
- Kulikowska, D.; Gusiatin, Z.M.; Bułkowska, K.; Kierklo, K. Humic substances from sewage sludge compost as washing agents effectively remove Cu and Cd from soil. Chemosphere 2015, 136, 42–49. [Google Scholar] [CrossRef]
- Saha, J.K.; Panwar, N.; Singh, M.V. An assessment of municipal solid waste compost quality produced in different cities of India in the perspective of developing quality control indices. Waste Manag. 2010, 30, 192–201. [Google Scholar] [CrossRef]
- Rupani, P.F.; Delarestaghi, R.M.; Abbaspour, M.; Rupani, M.M.; EL-Mesery, H.S.; Shao, W. Current status and future perspectives of solid waste management in Iran: A critical overview of Iranian metropolitan cities. Environ. Sci. Pollut. Res. 2019, 26, 32777–32789. [Google Scholar] [CrossRef]
- Shiraz Municipality, Annual Yearbook of Shiraz City (In Farsi). Available online: https://moba.shiraz.ir (accessed on 2 June 2020).
- Abbassi, B.; Abubaker, S.; Al-Manaseer, E.; Nassour, A.; Dababneh, B.; Shqairat, W.; Al-Jaar, M. Optimization of operating parameters of windrow composting of animal manures. J. Solid Waste Technol. Manag. 2015, 41, 60–67. [Google Scholar] [CrossRef]
- Saad, N.F.M.; Ma’min, N.N.; Zain, S.M.; Basri, N.E.A.; Zaini, N.S.M. Composting of mixed yard and food wastes with effective microbes. J. Teknol. 2013, 65, 89–95. [Google Scholar]
- Rich, N.; Bharti, A. Assessment of different types of in-vessel composters and its effect on stabilization of MSW compost. Int. Res. J. Eng. Technol. 2015, 2, 37–42. [Google Scholar]
- APHA. Standard Methods for the Determination of Water and Wastewater, 23th ed.; American Public Health Association: Washington, DC, USA, 2005. [Google Scholar]
- Hemidat, S. Feasibility Assessment of Waste Management and Treatment in Jordan. Doctoral Dissertation, Rostock University, Rostock, Germany, October 2019. [Google Scholar]
- Pan, I.; Sen, S.K. Microbial and physico-chemical analysis of composting process of wheat straw. IJBT 2013, 12, 120–128. [Google Scholar]
- Warman, P.R. Evaluation of seed germination and growth tests for assessing compost maturity. Compost Sci. Util. 1999, 7, 3–37. [Google Scholar] [CrossRef]
- Epstein, E. The Science of Composting; Technomic Publishing Company: Lancaster, PA, USA, 1997; pp. 19–32. [Google Scholar]
- Norbu, T.; Visvanathan, C.; Basnayake, B. Pretreatment of municipal solid waste prior to landfilling. Waste Manag. 2005, 25, 997–1003. [Google Scholar] [CrossRef]
- Xiao, Y.; Zeng, G.M.; Yang, Z.H.; Shi, W.J.; Huang, C.; Fan, C.Z.; Xu, Z.Y. Continuous thermophilic composting (CTC) for rapid biodegradation and maturation of organic municipal solid waste. Bioresour. Technol. 2009, 100, 4807–4813. [Google Scholar] [CrossRef]
- Insam, H.; De Bertoldi, M. Microbiology of the composting process. Compost Sci. Technol. 2007, 8, 25–48. [Google Scholar]
- Zhang, L.; Sun, X. Influence of bulking agents on physical, chemical, and microbiological properties during the two-stage composting of green waste. Waste Manag. 2016, 48, 115–126. [Google Scholar] [CrossRef]
- Sánchez-Monedero, M.A.; Fernández-Hernández, A.; Higashikawa, F.S.; Cayuela, M.L. Relationships between emitted volatile organic compounds and their concentration in the pile during municipal solid waste composting. Waste Manag. 2018, 79, 179–187. [Google Scholar] [CrossRef]
- Francou, C.; Linères, M.; Derenne, S.; Le Villio-Poitrenaud, M.; Houot, S. Influence of green waste, biowaste and paper–cardboard initial ratios on organic matter transformations during composting. Bioresour. Technol. 2008, 99, 8926–8934. [Google Scholar] [CrossRef] [PubMed]
- Petric, I.; Helic, A.; Avdic, E.A. Evolution of process parameters and determination of kinetics for co-composting of organic fraction of municipal solid waste with poultry manure. Bioresour. Technol. 2012, 117, 107–116. [Google Scholar] [CrossRef] [PubMed]
- Bernal, M.P.; Alburquerque, J.A.; Moral, R. Composting of animal manures and chemical criteria for compost maturity assessment: A review. Bioresour. Technol. 2009, 100, 5444–5453. [Google Scholar] [CrossRef] [PubMed]
- Yue, B.; Chen, T.; Gao, D.; Zheng, G.; Liu, B.; Lee, D. Pile settlement and volume reduction measurement during forced-aeration static composting. Patent of PR China. Bioresour. Technol. 2008, 99, 7450–7457. [Google Scholar] [CrossRef] [PubMed]
- Stentiford, E.; de Bertoldi, M. Composting: Process. J. Solid Waste Technol. 2010, 1, 513–532. [Google Scholar]
- Mohee, R.; Mudhoo, A.; Unmar, G.D. Windrow co-composting of shredded office paper and broiler litter. Int. J. Environ. Waste Manag. 2008, 2, 3–23. [Google Scholar] [CrossRef]
- Agnew, J.M.; Leonard, J.J. The physical properties of compost. Compost Sci. Util. 2003, 11, 238–264. [Google Scholar] [CrossRef]
- Hemidat, S.; Jaar, M.; Nassour, A.; Nelles, M. Monitoring of composting process parameters: A case study in Jordan. Waste Biomass Valorization 2018, 9, 2257–2274. [Google Scholar] [CrossRef]
- Sullivan, D.M.; Miller, R.O. Compost quality attributes, measurements, and variability. In Compost Utilization in Horticultural Cropping Systems; Stoffella, P.J., Kahn, B.A., Eds.; CRC Press: Boca Raton, FL, USA, 2001; pp. 95–120. [Google Scholar]
- Wong, J.W.C.; Fung, S.O.; Selvam, A. Coal fly ash and lime addition enhances the rate and efficiency of decomposition of food waste during composting. Bioresour. Technol. 2009, 100, 3324–3331. [Google Scholar] [CrossRef]
- Oviedo-Ocaña, E.R.; Dominguez, I.; Komilis, D.; Sánchez, A. Co-composting of green waste mixed with unprocessed and processed food waste: Influence on the composting process and product quality. Waste Biomass Valorization 2019, 10, 63–74. [Google Scholar] [CrossRef]
- Gajalakshmi, S.; Abbasi, S.A. Solid waste management by composting: State of the art. Critical Reviews in Environ. Sci. Technol. 2008, 38, 311–400. [Google Scholar] [CrossRef]
- Nakasaki, K.; Yaguchi, H.; Sasaki, Y.; Kubota, H. Effects of pH control on composting of garbage. Waste Manag. Res. 1993, 11, 117–125. [Google Scholar] [CrossRef]
- VanderGheynst, J.S.; Pettygrove, S.; Dooley, T.M.; Arnold, K.A. Estimating electrical conductivity of compost extracts at different extraction ratios. Compost Sci. Util. 2004, 12, 202–207. [Google Scholar] [CrossRef]
- Chan, M.T.; Selvam, A.; Wong, J.W. Reducing nitrogen loss and salinity during ‘struvite’ food waste composting by zeolite amendment. Bioresour. Technol. 2016, 200, 838–844. [Google Scholar] [CrossRef]
- Tchobanoglous, G.; Theisen, H.; Vigil, S. Biological and chemical conversion technologies. In Integrated Solid Waste Management: Engineering Principles and Management Issues, 2nd ed.; Tchobanoglous, G., Ed.; McGraw-Hill Higher Education: New York, NY, USA, 1993; pp. 671–716. [Google Scholar]
- Golueke, C.G. Bacteriology of composting. Biocycle 1992, 33, 55–57. [Google Scholar]
- Zhang, H.; He, P.J.; Shao, L.M. Implication of heavy metals distribution for a municipal solid waste management system—A case study in Shanghai. Sci. Total Environ. 2008, 402, 257–267. [Google Scholar] [CrossRef]
- Singh, J.; Kalamdhad, A.S. Reduction of Heavy Metals during Composting. J. Environ. Prot. 2012, 2, 36–43. [Google Scholar]
- Smith, S.R. A critical review of the bioavailability and impacts of heavy metals in municipal solid waste composts compared to sewage sludge. Environ. Int. 2009, 35, 142–156. [Google Scholar] [CrossRef]
- Wong, J.W.C.; Selvam, A. Speciation of heavy metals during co-composting of sewage sludge with lime. Chemosphere 2006, 63, 980–986. [Google Scholar] [CrossRef]
- Ordinance on the Recovery of Biowaste on Agricultural, Forestry and Horticultural Uses (Biowaste Ordinance—BioAbfV). Available online: https://www.gesetze-im-internet.de/bioabfv/BioAbfV.pdf (accessed on 15 April 2020).
- Strauch, D. Occurrence of Microorganisms Pathogenic for Man and Animals in Source Separated Biowaste and Compost—Importance, Control, Limits, Epidemiology. In The Science of Composting; Bertoldi, M.D., Sequi, P., Lemmes, B., Pap, T., Eds.; Springer: Dordrecht, The Netherlands; Stuttgart, Germany, 1996; pp. 224–232. [Google Scholar]
- Polprasert, C. Organic Waste Recycling Technology and Management, 3rd ed.; IWA Publishing: Bangkok, Thailand, 2007; pp. 88–134. [Google Scholar]
- Hassen, A.; Belguith, K.; Jedidi, N.; Cherif, A.; Cherif, M.; Boudabous, A. Microbial characterization during composting of municipal solid waste. Bioresour. Technol. 2001, 80, 217–225. [Google Scholar] [CrossRef]
- Barral, M.T.; Moldes, A.B.; Cendón, Y.; Díaz-Fierros, F. Assessment of municipal solid waste compost quality using standardized methods before preparation of plant growth media. Waste Manag. Res. 2007, 25, 99–108. [Google Scholar]
- Kim, E.Y.; Hong, Y.K.; Lee, C.H.; Oh, T.K.; Kim, S.C. Effect of organic compost manufactured with vegetable waste on nutrient supply and phytotoxicity. Appl. Biol. Chem. 2018, 61, 509–521. [Google Scholar] [CrossRef]
- Morisaki, N.; Phae, C.G.; Nakasaki, K.; Shoda, M.; Kubota, H. Nitrogen transformation during thermophilic composting. J. Ferment. Bioeng. 1989, 67, 57–61. [Google Scholar] [CrossRef]
- Cesaro, A.; Conte, A.; Belgiorno, V.; Siciliano, A.; Guida, M. The evolution of compost stability and maturity during the full-scale treatment of the organic fraction of municipal solid waste. J. Environ. Manag. 2019, 232, 264–270. [Google Scholar] [CrossRef]
- Barral, M.T.; Paradelo, R. A review on the use of phytotoxicity as a compost quality indicator. Dyn. Soil Dyn. Plant 2011, 5, 36–44. [Google Scholar]
- Emino, E.R.; Warman, P.R. Biological assay for compost quality. Compost Sci. Util. 2004, 12, 342–348. [Google Scholar] [CrossRef]
- Riffaldi, R.; Levi-Minzi, R.; Pera, A.; De Bertoldi, M. Evaluation of compost maturity by means of chemical and microbial analyses. Waste Manag. Res. 1986, 4, 387–396. [Google Scholar] [CrossRef]
- Van Fan, Y.; Lee, C.T.; Klemeš, J.J.; Bong, C.P.C.; Ho, W.S. Economic assessment system towards sustainable composting quality in the developing countries. Clean Technol. Environ. Policy 2016, 18, 2479–2491. [Google Scholar] [CrossRef]
- Tadayon, M.S.; KHoghar, Z.; Moafpourian, G.H.; Ziaeian, A.H.; Keshavarz, H.; Nabavi, F.; Hemati, A.; Haghighatnia, H.; Rastegar, H.; Mirzavan, J.; et al. Fertilizer Recommendations for Agricultural and Horticultural Crops in Fars Province (in Farsi); Sana Publication: Tehran, Iran, 2005; pp. 1–46. [Google Scholar]
- Powlson, D.S.; Bhogal, A.; Chambers, B.J.; Coleman, K.; Macdonald, A.J.; Goulding, K.W.T.; Whitmore, A.P. The potential to increase soil carbon stocks through reduced tillage or organic material additions in England and Wales: A case study. Agric. Ecosyst. Environ. 2012, 146, 23–33. [Google Scholar] [CrossRef]
- International Solid Waste Association (ISWA). Quantifying the Benefits of Applying Quality Compost to Soil. Available online: https://www.iswa.org/uploads/media/Report_4_Quantifying_the_Benefits_to_Soil_of_Applying_Quality_Compost.pdf (accessed on 25 September 2020).









| Parameter | Fruits and Vegetables | Plant Residues |
|---|---|---|
| Physical properties | ||
| Bulk density (kg/m3) | 628.69 | 314.2 |
| Moisture Content MC (%) | 80 | 7 |
| Chemical properties | ||
| Organic matter (%) | 54.30 | 55.00 |
| Total organic Carbon (%) | 30.17 | 30.56 |
| Total Nitrogen (%) | 1.4 | 1.1 |
| C:N Ratio (w/w) | 24.55 | 27.78 |
| pH | 7.10 | 7.7 |
| EC (dS/cm) | 2.72 | 2.98 |
| Total P (%) | 0.21 | 0.24 |
| Total K (%) | 0.6 | 1.4 |
| Raw Input Material | Initial Weight | Pile Dimension (W, H, L) |
|---|---|---|
| Fruits & vegetables | 50.40 tons | 3.5 m, 1.2 m, 20 m |
| Dry leaves | 16.80 tons |
| Parameter (mg/kg) | Value | Iran Standard | German Standard [48] | |
|---|---|---|---|---|
| Class A | Class B | |||
| Pb | 27.35 | 200 | 150 | 100 |
| Cd | 0.04 | 10 | 1.5 | 1.0 |
| Cr | 8.32 | 150 | 100 | 70 |
| Cu | 56.89 | 650 | 100 | 70 |
| Ni | 15.34 | 120 | 50 | 35 |
| Hg | - | 5 | 1.0 | 0.7 |
| Zn | 95.26 | 1300 | 400 | 300 |
| Co | 0.4 | 25 | - | - |
| Type of Pathogen | Content (MPN/g) | Iran Standard |
|---|---|---|
| E. coli | <3 | 1 × 103 (MPN/g) |
| Salmonella | Absent | 3 (MPN/4 g) |
| Compost Application Rate (tons/hectare) | Time (year) | |||
|---|---|---|---|---|
| 5 | 10 | 15 | 20 | |
| 1.5 | 0.96 | 1.93 | 2.89 | 3.85 |
| 5 | 3.21 | 6.42 | 9.63 | 12.85 |
| 10 | 6.42 | 12.85 | 19.27 | 25.69 |
| 20 | 12.85 | 25.69 | 38.54 | 51.38 |
| 30 | 19.27 | 38.54 | 57.80 | 77.07 |
Publisher’s Note: MDPI stays neutral with regard to jurisdictional claims in published maps and institutional affiliations. |
© 2020 by the authors. Licensee MDPI, Basel, Switzerland. This article is an open access article distributed under the terms and conditions of the Creative Commons Attribution (CC BY) license (http://creativecommons.org/licenses/by/4.0/).
Share and Cite
Jalalipour, H.; Jaafarzadeh, N.; Morscheck, G.; Narra, S.; Nelles, M. Potential of Producing Compost from Source-Separated Municipal Organic Waste (A Case Study in Shiraz, Iran). Sustainability 2020, 12, 9704. https://doi.org/10.3390/su12229704
Jalalipour H, Jaafarzadeh N, Morscheck G, Narra S, Nelles M. Potential of Producing Compost from Source-Separated Municipal Organic Waste (A Case Study in Shiraz, Iran). Sustainability. 2020; 12(22):9704. https://doi.org/10.3390/su12229704
Chicago/Turabian StyleJalalipour, Haniyeh, Neematollah Jaafarzadeh, Gert Morscheck, Satyanarayana Narra, and Michael Nelles. 2020. "Potential of Producing Compost from Source-Separated Municipal Organic Waste (A Case Study in Shiraz, Iran)" Sustainability 12, no. 22: 9704. https://doi.org/10.3390/su12229704
APA StyleJalalipour, H., Jaafarzadeh, N., Morscheck, G., Narra, S., & Nelles, M. (2020). Potential of Producing Compost from Source-Separated Municipal Organic Waste (A Case Study in Shiraz, Iran). Sustainability, 12(22), 9704. https://doi.org/10.3390/su12229704

