Exploring the Cognitive and Emotional Impact of Online Climate Change Videos on Viewers
Abstract
1. Introduction
2. Related Work
2.1. Social Media and Public Engagement with Climate Change
2.2. Opinion Mining
3. Research Method
3.1. Sample
3.2. Data Processing
3.3. The Hierarchical Negative Binomial Regression Model
4. Results
4.1. Speaker Content Text Analysis
4.2. Viewer Sentiment Response
4.3. Negative Binomial Regression Model
5. Discussion and Conclusions
6. Limitations and Further Work
Funding
Conflicts of Interest
Appendix A
| Case | Title | Year | Speaker | Viewers | Comments (No.) |
|---|---|---|---|---|---|
| 1 | Why Climate Change Is a Threat to Human Rights | 2015 | Mary Robinson | 76,874 | 360 |
| 2 | How to green the world’s deserts and reverse climate change | 2013 | Allan Savory | 3,185,698 | 11,573 |
| 3 | Innovating to zero! | 2010 | Bill Gates | 2,133,376 | 4800 |
| 4 | School strike for climate—save the world by changing the rules | 2018 | Greta Thunberg | 1,400,488 | 3980 |
| 5 | Why renewables can’t save the planet | 2019 | Michael Shellenberger | 954,927 | 8592 |
| 6 | How We Can Make the World a Better Place by 2030 | 2015 | Michael Green | 601,969 | 621 |
| 7 | Climate change: Earth’s giant of Tetris | 2014 | Joss Fong | 468,836 | 378 |
| 8 | The reality of climate change | 2014 | David Puttnam | 441,425 | 2826 |
| 9 | Can wildlife adapt to climate change? | 2016 | Erin Eastwood | 396,526 | 460 |
| 10 | Why I don’t care about ‘Climate Change | 2014 | David Saddington | 380,398 | 1338 |
| 11 | How will we survive when the population hits 10 billion? | 2018 | Charles C. Mann | 598,652 | 2874 |
| 12 | Why I must speak out about climate change | 2012 | James Hansen | 261,191 | 2596 |
| 13 | A simple and smart way to fix climate change | 2014 | Dan Miller | 242,889 | 1371 |
| 14 | Global priorities bigger than climate change | 2007 | Bjorn Lomborg | 240,437 | 842 |
| 15 | The case for optimism on climate change | 2016 | Al Gore | 229,014 | 1047 |
| 16 | Can we stop climate change by removing CO2 from the air? | 2017 | Tim Kruger | 185,667 | 1245 |
| 17 | A Creative Approach To Climate Change | 2017 | Finnegan Harries | 159,141 | 142 |
| 18 | Demystifying Three Climate Lies—The Road to Decarbonization | 2016 | Thomas Stocker | 154,411 | 878 |
| 19 | Climate Change: Fact And Fiction | 2011 | Bruce Wielicki | 150,376 | 551 |
| 20 | The inside story of the Paris climate agreement | 2016 | Christiana Figueres | 125,951 | 415 |
| 21 | The emergent patterns of climate change | 2014 | Gavin Schmidt | 125,483 | 351 |
| 22 | Cloudy climate change: How clouds affect Earth’s temperature | 2014 | Jasper Kirkby | 123,188 | 141 |
| 23 | Cows, Carbon, and Climate | 2016 | Joel Salatin | 121,806 | 247 |
| 24 | How China is (and isn’t) fighting pollution and climate change | 2018 | Angel Hsu | 113,811 | 635 |
| 25 | Why the Arctic is climate change’s canary in the coal mine | 2015 | William Chapman | 113,288 | 117 |
| 26 | A climate solution where all sides can win | 2017 | Ted Halstead | 109,771 | 688 |
| 27 | We need nuclear power to solve climate change | 2016 | Joe Lassiter | 107,128 | 1127 |
| 28 | Climate Change Is Happening. Here’s How We Adapt | 2015 | Alice Bows-Larkin | 102,467 | 589 |
| 29 | The most important thing you can do to fight climate change: talk about it | 2019 | Katharine Hayhoe | 96,102 | 679 |
| 30 | Can we solve global warming? Lessons from how we protected the ozone layer | 2019 | Sean Davis | 78,414 | 514 |
| 31 | How empowering women and girls can help stop global warming | 2019 | Katharine Wilkinson | 73,875 | 216 |
| 32 | A surprising idea for “solving” climate change | 2017 | David Keith | 72,438 | 426 |
| 33 | The state of the climate—and what we might do about it | 2014 | Nicholas Stern | 71,251 | 107 |
| 34 | Forget climate Apocalypse. There’s hope for our warming planet | 2016 | Jelmer Mommers | 131,367 | 607 |
| 35 | Slaying the “zombies” of climate science | 2013 | Dr. Marshall Shepherd | 64,425 | 779 |
| 36 | What if climate change is real? | 2015 | Katharine Hayhoe | 62,750 | 462 |
| 37 | A provocative way to finance the fight against climate change | 2016 | Michael Metcalfe | 59,296 | 487 |
| 38 | The three myths of climate change | 2017 | Linda Mortsch | 50,069 | 151 |
| 39 | How pollution is changing the ocean’s chemistry | 2017 | Triona Joanne Chory | 81,203 | 312 |
| 40 | How supercharged plants could slow climate change | 2019 | Joanne Chory | 40,387 | 450 |
| 41 | Let’s prepare for our new climate | 2012 | Vicki Arroyo | 76,056 | 355 |
| 42 | Climate Change Is Simple | 2012 | David Roberts | 73,124 | 331 |
| 43 | Volcanoes: A Forge for Climate Change | 2015 | Peter Ward | 32,428 | 108 |
| 44 | How the military fights climate change | 2017 | David Titley | 57,250 | 153 |
| 45 | Can clouds buy us more time to solve climate change? | 2017 | Kate Marvel | 55,058 | 291 |
| 46 | The Personal Responsibility Vortex | 2012 | Bret Weinstein | 51,831 | 149 |
| 47 | Climate Change: Simple, Serious, Solvable | 2018 | James Rae | 26,472 | 145 |
| 48 | My Country Will Be Underwater Soon—Unless We Work Together | 2015 | Anote Tong | 42,268 | 223 |
| 49 | Climate Change: Why you should be angry and why anger isn’t enough | 2013 | John Ashton | 37,698 | 738 |
| 50 | A Look Into Our Climate: Past To Present To Future | 2011 | Michael Mann | 37,623 | 556 |
| Sentiment | Anger (Odds Ratio) | Anticipate (Odds Ratio) | Disgust (Odds Ratio) | Fear (Odds Ratio) | Joy (Odds Ratio) | Sadness (Odds Ratio) | Surprise (Odds Ratio) | Trust (Odds Ratio) | |
|---|---|---|---|---|---|---|---|---|---|
| Issues | |||||||||
| emission | 12,897 (0.482) | 18,838 (0.704) | 11,055 (0.413) | 18,785 (0.702) | 15,014 (0.561) | 14,267 (0.533) | 8521 (0.381) | 26,772 (1.000) | |
| temperature | 4957 (0.497) | 6870 (0.689) | 3708 (0.372) | 7067 (0.709) | 5070 (0.508) | 4940 (0.495) | 3116 (0.313) | 9971 (1.000) | |
| environment | 3836 (0.468) | 5468 (0.667) | 2964 (0.361) | 5520 (0.673) | 3853 (0.470) | 3868 (0.472) | 2467 (0.301) | 8203 (1.000) | |
| nature | 9492 (0.472) | 14,299 (0.712) | 8393 (0.418) | 14,257 (0.709) | 11,463 (0.570) | 10,784 (0.537) | 6350 (0.316) | 20,095 (1.000) | |
| renewable energy | 5701 (0.496) | 8387 (0.730) | 4954 (0.431) | 8474 (0.738) | 6914 (0.602) | 6627 (0.577) | 3734 (0.325) | 11,486 (1.000) | |
| economics | 2340 (0.491) | 3243 (0.680) | 1726 (0.362) | 3513 (0.737) | 2576 (0.540) | 2406 (0.505) | 1500 (0.315) | 4768 (1.000) | |
| Sentiment | Negative (Odds Ratio) | Positive (Odds Ratio) | |
|---|---|---|---|
| Issues | |||
| emission | 32,557 (0.690) | 47,158 (1) | |
| temperature | 11,606 (0.717) | 16,176 (1) | |
| environment | 9654 (0.745) | 12,966 (1) | |
| nature | 24,498 (0.676) | 36,243 (1) | |
| renewable energy | 14,886 (0.695) | 21,432 (1) | |
| economics | 5579 (0.741) | 7533 (1) | |
References
- Khan, M.L. Social media engagement: What motivates user participation and consumption on YouTube? Comput. Hum. Behav. 2017, 66, 236–247. [Google Scholar] [CrossRef]
- Liikkanen, L.A.; Salovaara, A. Music on YouTube: User engagement with traditional, user-appropriated and derivative videos. Comput. Hum. Behav. 2015, 50, 108–124. [Google Scholar] [CrossRef]
- Bärtl, M. YouTube channels, uploads and views: A statistical analysis of the past 10 years. Convergence 2018, 24, 16–32. [Google Scholar] [CrossRef]
- Hamid, S.; Ijab, M.T.; Sulaiman, H.; Anwar, R.M.; Norman, A.A. Social media for environmental sustainability awareness in higher education. Int. J. Sustain. High. Educ. 2017, 18, 474–491. [Google Scholar] [CrossRef]
- Swaim, J.A.; Maloni, M.J.; Napshin, S.A.; Henley, A.B. Influences on student intention and behavior toward environmental sustainability. J. Bus. Ethics 2014, 124, 465–484. [Google Scholar] [CrossRef]
- Adger, W.N.; Arnell, N.W.; Tompkins, E.L. Successful adaptation to climate change across scales. Glob. Environ. Chang. 2005, 15, 77–86. [Google Scholar] [CrossRef]
- Froelich, J.; Ananyan, S.; Olson, D.L. Business intelligence through text mining. Bus. Int. J. 2005, 10, 43–50. [Google Scholar]
- Jen, L.; Chou, C.H.; Allenby, G.M. A Bayesian approach to modeling purchase frequency. Mark. Lett. 2003, 14, 5–20. [Google Scholar] [CrossRef]
- Böhning, D.; Dietz, E.; Schlattmann, P.; Mendonça, L.; Kirchner, U. The zero-inflated Poisson model and the decayed, missing and filled teeth index in dental epidemiology. J. R. Stat. Soc. Ser. A Stat. Soc. 1999, 162, 195–209. [Google Scholar] [CrossRef]
- Greene, W. Functional forms for the negative binomial model for count data. Econ. Lett. 2008, 99, 585–590. [Google Scholar] [CrossRef]
- Hilbe, J. Negative Binomial Regression; Cambridge University Press: Cambridge, MA, USA, 2007. [Google Scholar]
- Lorenzoni, I.; Nicholson-Cole, S.; Whitmarsh, L. Barriers perceived to engaging with climate change among the UK public and their policy implications. Glob. Environ. Chang. 2007, 17, 445–459. [Google Scholar] [CrossRef]
- Wolf, J.; Moser, S.C. Individual understandings, perceptions, and engagement with climate change: Insights from in-depth studies across the world. Wiley Interdiscip. Rev. Clim. Chang. 2011, 2, 547–569. [Google Scholar] [CrossRef]
- Feygina, I.; Myers, T.; Placky, B.; Sublette, S.; Souza, T.; Toohey-Morales, J.; Maibach, E.W. Localized climate reporting by TV weathercasters enhances public understanding of climate change as a local problem: Evidence from a randomized controlled experiment. Bull. Am. Meteorol. Soc. 2020, 10, 1092–1100. [Google Scholar] [CrossRef]
- Cody, E.M.; Reagan, A.J.; Mitchell, L.; Dodds, P.S.; Danforth, C.M. Climate change sentiment on Twitter: An unsolicited public opinion poll. PLoS ONE 2015, 10, e0136092. [Google Scholar] [CrossRef] [PubMed]
- Uldam, J.; Askanius, T. Online civic cultures? Debating climate change activism on YouTube. Int. J. Commun. 2013, 7, 1185–1204. [Google Scholar]
- Shapiro, M.A.; Park, H.W. Climate change and YouTube: Deliberation potential in post-video discussions. Environ. Commun. 2018, 12, 115–131. [Google Scholar] [CrossRef]
- Nisbet, M.C.; Kotcher, J.E. A two-step flow of influence? Opinion-leader campaigns on climate change. Sci. Commun. 2009, 30, 328–354. [Google Scholar] [CrossRef]
- Marti, S.; Garcia-Molina, H. Taxonomy of trust: Categorizing P2P reputation systems. Comput. Netw. 2006, 50, 472–484. [Google Scholar] [CrossRef]
- Montoyo, A.; MartíNez-Barco, P.; Balahur, A. Subjectivity and sentiment analysis: An overview of the current state of the area and envisaged developments. Decis. Support Syst. 2012, 53, 675–679. [Google Scholar] [CrossRef]
- Anastasiei, B.; Dospinescu, N. Facebook advertising: Relationship between types of message, brand attitude and perceived buying risk. Ann. Univ. Craiova 2017, 1, 18–26. [Google Scholar]
- Anastasiei, B.; Dospinescu, N. Paid product review in social media—Are they effective? In Proceedings of the 34th International Business Information Management Association Conference, Madrid, Spain, 13–14 November 2019. [Google Scholar]
- Mostafa, M.M. More than words: Social networks’ text mining for consumer brand sentiments. Expert Syst. Appl. 2013, 40, 4241–4251. [Google Scholar] [CrossRef]
- Oksanen, A.; Garcia, D.; Sirola, A.; Näsi, M.; Kaakinen, M.; Keipi, T.; Räsänen, P. Pro-anorexia and anti-pro-anorexia videos on YouTube: Sentiment analysis of user responses. J. Med. Internet Res. 2015, 17, 256. [Google Scholar] [CrossRef] [PubMed]
- Öztürk, N.; Ayvaz, S. Sentiment Analysis on Twitter: A Text Mining Approach to the Syrian Refugee Crisis. Telemat. Inform. 2018, 35, 136–147. [Google Scholar] [CrossRef]
- Meire, M.; Ballings, M.; Van den Poel, D. The added value of auxiliary data in sentiment analysis of Facebook posts. Decis. Support Syst. 2016, 89, 98–112. [Google Scholar] [CrossRef]
- Tudoran, A.A. Why do internet consumers block ads? New evidence from consumer opinion mining and sentiment analysis. Internet Res. 2019, 29, 144–166. [Google Scholar] [CrossRef]
- Jost, F.; Dale, A.; Schwebel, S. How positive is “change” in climate change? A sentiment analysis. Environ. Sci. Policy 2019, 96, 27–36. [Google Scholar] [CrossRef]
- Wan, J.; Lu, Y.; Wang, B.; Zhao, L. How attachment influences users’ willingness to donate to content creators in social media: A socio-technical systems perspective. Inf. Manag. 2017, 54, 837–850. [Google Scholar] [CrossRef]
- Feinerer, I.; Hornik, K.; Meyer, D. Text Mining Infrastructure in R. J. Stat. Softw. 2008, 25, 1–54. [Google Scholar] [CrossRef]
- Hornik, K.; Buchta, C.; Zeileis, A. Open-source machine learning: R meets Weka. Comput. Stat. 2009, 24, 225–232. [Google Scholar] [CrossRef]
- Silge, J.; Robinson, D. tidytext: Text mining and analysis using tidy data principles in R. J. Open Source Softw. Process. 2016, 1, 37. [Google Scholar] [CrossRef]
- Rossi, P.E.; Allenby, G.M.; McCulloch, R. Bayesian Statistics and Marketing; John Wiley & Sons: Chichester, UK, 2012. [Google Scholar]
- Hahn, E.D. Bayesian Methods for Management and Business: Pragmatic Solutions for Real Problems; John Wiley & Sons: Hoboken, NJ, USA, 2014. [Google Scholar]
- Gurmu, S.; Trivedi, P.K. Excess zeros in count models for recreational trips. J. Bus. Econ. Stat. 1996, 14, 469–477. [Google Scholar]
- Cameron, A.C.; Trivedi, P.K. Econometric models based on count data. Comparisons and applications of some estimators and tests. J. Appl. Econ. 1986, 1, 29–53. [Google Scholar] [CrossRef]
- Trexler, A.; Johns-Putra, A. Climate change in literature and literary criticism. Wiley Interdiscip. Rev. Clim. Chang. 2011, 2, 185–200. [Google Scholar] [CrossRef]
- United Nations. General Assembly. United Nations Framework Convention on Climate Change: Text. UNEP/WMO Information Unit on Climate Change; United Nations: New York, NY, USA, 1992. [Google Scholar]
- Anderson, A. Climate change education for mitigation and adaptation. Int. J. Educ. Dev. 2012, 6, 191–206. [Google Scholar] [CrossRef]
- Stern, N.H. Stern Review: The Economics of Climate Change; Cambridge University Press: Cambridge, UK, 2006; Volume 30, p. 2006. [Google Scholar]
- Jaakonmäki, R.; Müller, O.; Vom Brocke, J. The impact of content, context, and creator on user engagement in social media marketing. In Proceedings of the 50th Hawaii International Conference on System Sciences, Wailoloa, HI, USA, 4–7 January 2017. [Google Scholar]
- Li, Q.; Wei, W.; Xiong, N.; Feng, D.; Ye, X.; Jiang, Y. Social media research, human behavior, and sustainable society. Sustainability 2017, 9, 384. [Google Scholar] [CrossRef]
- Moser, S.C.; Dilling, L. Making climate hot. Environ. Sci. Policy Sustain. Dev. 2004, 46, 32–46. [Google Scholar] [CrossRef]
- Dospinescu, O.; Anastasiei, B.; Dospinescu, N. Key factors determining the expected benefit of customers when using bank cards: An analysis on millennials and generation Z in Romania. Symmetry 2019, 11, 1449. [Google Scholar] [CrossRef]
- Dospinescu, O.; Percă-Robu, A.E. The analysis of e-commerce sites with eye-tracking technologies. BRAIN Broad Res. Artif. Intell Neurosci. 2017, 8, 85–100. [Google Scholar]
- Dospinescu, O.; Popa, I. Face Detection and Face Recognition in Android Mobile Applications. Inform. Econ. 2016, 20, 20–28. [Google Scholar] [CrossRef]












| Attributes | Viewers (No.) | Likes (No.) | Dislikes (No.) | Length (Min.) | Comments (No.) | Year of Posting |
|---|---|---|---|---|---|---|
| max | 3,185,698 | 81,000 | 3700 | 29:32 | 11,573 | 2019 |
| min | 26,472 | 279 | 26 | 03:58 | 107 | 2007 |
| median | 111,529.5 | 1693 | 250.5 | 14:56 | 500.5 | 2015.5 |
| Issues | Keywords | No. of Video Appearances (N = 50) |
|---|---|---|
| 1. emission | carbon/dioxide/gas(es)/fossil/fuel(s) | 31 |
| 2. temperature | (global) warming | 22 |
| 3. environment | sea level/ice sheet(s) | 21 |
| 4. nature | animal/species/plants | 18 |
| 5. renewable energy | wind/solar/nuclear | 14 |
| 6. economics | economics | 10 |
| Sentiment | Count | Rank |
|---|---|---|
| trust | 34,237 | 1 |
| fear | 24,677 | 2 |
| anticipation | 24,019 | 3 |
| joy | 19,104 | 4 |
| sadness | 18,346 | 5 |
| anger | 16,645 | 6 |
| disgust | 13,916 | 7 |
| surprise | 10,867 | 8 |
| positive | 59,555 | 1 |
| negative | 41,614 | 2 |
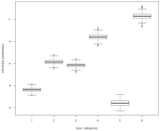
| Parameter | Mean | Rank | S.D. | Confidence Interval |
|---|---|---|---|---|
| 1. emission | 3.819 | 5 | 0.091 | (3.794, 3.844) |
| 2. temperature | 5.075 | 3 | 0.106 | (5.046, 5.104) |
| 3. environment | 4.924 | 4 | 0.099 | (4.897, 4951) |
| 4. nature | 6.196 | 2 | 0.126 | (6.161, 6.231) |
| 5. renewable energy | 3.225 | 6 | 0.157 | (3.181, 3.269) |
| 6. economics | 7.137 | 1 | 0.140 | (7.098, 7.176) |
| Parameter | Mean | Rank | S.D. | Confidence Interval |
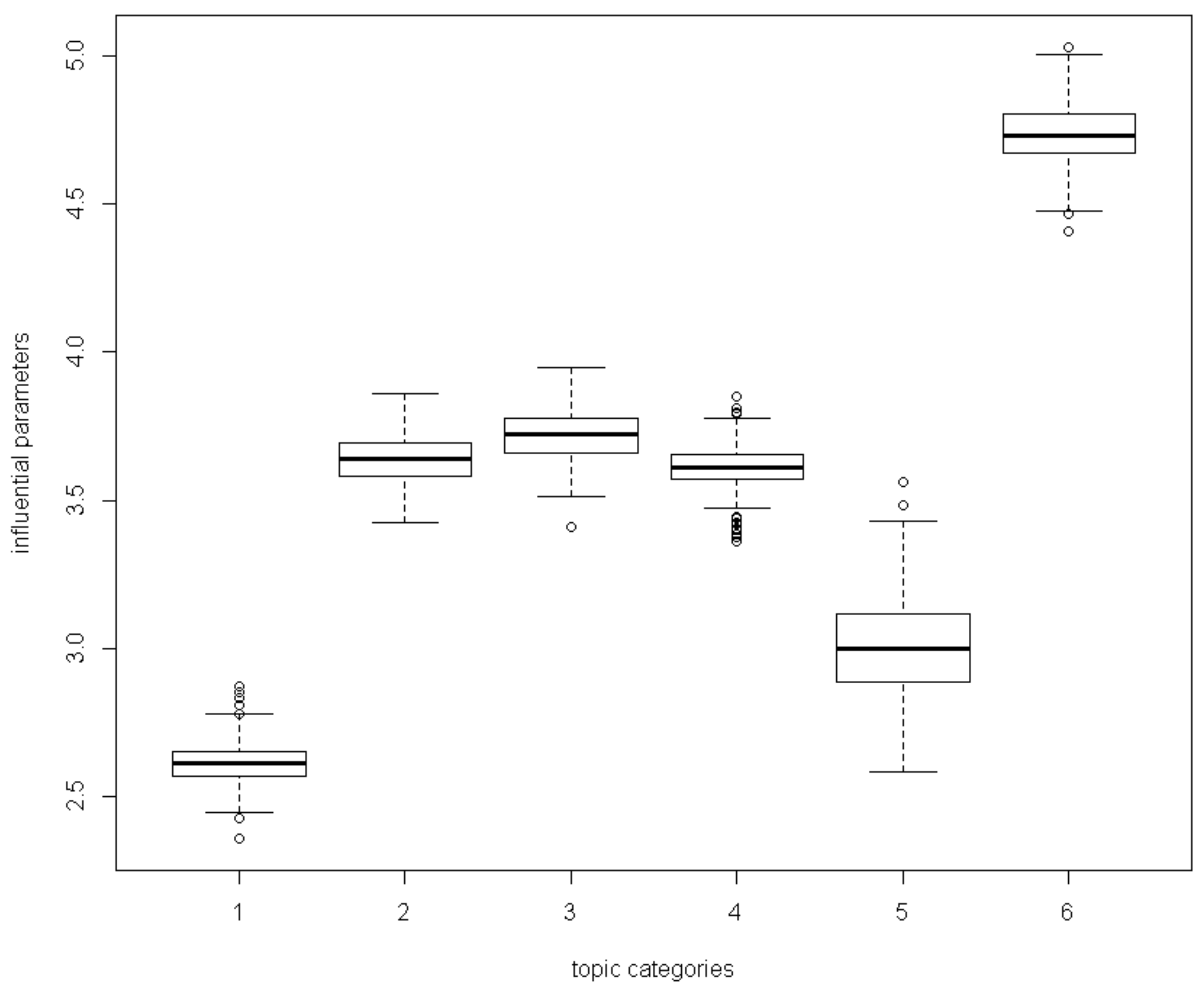
|---|---|---|---|---|
| 1. emission | 2.611 | 6 | 0.074 | (2.590, 2.632) |
| 2. temperature | 3.638 | 3 | 0.082 | (3.615, 3.661) |
| 3. environment | 3.719 | 2 | 0.084 | (3.696, 3.742) |
| 4. nature | 3.613 | 4 | 0.076 | (3.592, 3.634) |
| 5. renewable energy | 3.002 | 5 | 0.174 | (2.954, 3.050) |
| 6. economics | 4.737 | 1 | 0.107 | (4.707, 4.767) |
Publisher’s Note: MDPI stays neutral with regard to jurisdictional claims in published maps and institutional affiliations. |
© 2020 by the author. Licensee MDPI, Basel, Switzerland. This article is an open access article distributed under the terms and conditions of the Creative Commons Attribution (CC BY) license (http://creativecommons.org/licenses/by/4.0/).
Share and Cite
Chen, N.-H. Exploring the Cognitive and Emotional Impact of Online Climate Change Videos on Viewers. Sustainability 2020, 12, 9571. https://doi.org/10.3390/su12229571
Chen N-H. Exploring the Cognitive and Emotional Impact of Online Climate Change Videos on Viewers. Sustainability. 2020; 12(22):9571. https://doi.org/10.3390/su12229571
Chicago/Turabian StyleChen, Nai-Hua. 2020. "Exploring the Cognitive and Emotional Impact of Online Climate Change Videos on Viewers" Sustainability 12, no. 22: 9571. https://doi.org/10.3390/su12229571
APA StyleChen, N.-H. (2020). Exploring the Cognitive and Emotional Impact of Online Climate Change Videos on Viewers. Sustainability, 12(22), 9571. https://doi.org/10.3390/su12229571

