Assessing the Effectiveness of Supplemental Irrigation to Improve Soil Moisture in an Arid Ecosystem with an Emphasis on Climate Change: A Case Study from the State of Kuwait
Abstract
1. Introduction
2. Materials and Methods
2.1. Study Area
2.2. Implementing the Water Budget Model
2.3. Data Collection and Preparation
2.3.1. Meteorological Data
2.3.2. Soil Data Collection
2.3.3. Supplemental Irrigation
2.3.4. Implementing Model Parameters
- Surface water runoff (Q)
- Evapotranspiration
2.3.5. Determining the Main Variables Influencing the Water Budget Model
2.3.6. Climate Change Prediction
- is the future value of the temperature or precipitation on year .
- is the baseline value of the temperature or precipitation on year .
- is the value of anomaly of the temperature or precipitation on year .
2.3.7. Aridity Index
3. Results
3.1. Rainy Seasons Classification
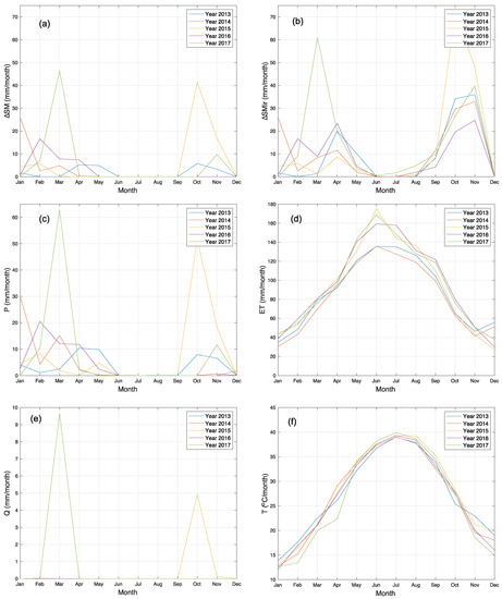
3.2. Seasonal Behavior of Water Budget Model
3.3. Rainfed vs. Irrigated Site
3.3.1. Wet Years (2015 and 2017)
3.3.2. Average Rainfall Years (2014 and 2016)
3.3.3. Dry Year (2013)
3.4. Factors Influencing the Water Storage Model
3.5. Climate Change Projection for the Period 2021–2100
4. Discussions
4.1. Seasonal Behavior of the Water Budget Model
4.2. The Effect of Climate Change on the Water Budget Model
4.3. Can Irrigation Support the Soil Water Content in Arid Lands?
4.4. Research Limitation and Future Enhancement
Author Contributions
Funding
Acknowledgments
Conflicts of Interest
References
- Rockström, J.; Gordon, L.; Folke, C.; Falkenmark, M.; Engwall, M. Linkages among water vapor flows, food production, and terrestrial ecosystem services. Conserv. Ecol. 1999, 3, 3. [Google Scholar] [CrossRef]
- Perrow, M.R.; Davy, A.J. Handbook of Ecological Restoration; Cambridge University Press: Cambridge, UK, 2002; Volume 2. [Google Scholar]
- Costantini, E.A.; Branquinho, C.; Nunes, A.; Schwilch, G.; Stavi, I.; Valdecantos, A.; Zucca, C. Soil indicators to assess the effectiveness of restoration strategies in dryland ecosystems. Solid Earth 2016, 7, 397–414. [Google Scholar] [CrossRef]
- Ulgiati, S.; Brown, M.T. Monitoring patterns of sustainability in natural and man-made ecosystems. Ecol. Model. 1998, 108, 23–36. [Google Scholar] [CrossRef]
- Mohtar, R.H.; Daher, B. Water, energy, and food: The ultimate nexus. In Encyclopedia of Agricultural, Food, and Biological Engineering; CRC Press, Taylor and Francis Group: Boca Raton, FL, USA, 2012. [Google Scholar]
- Karabulut, A.A.; Crenna, E.; Sala, S.; Udias, A. A proposal for integration of the ecosystem-water-food-land-energy (EWFLE) nexus concept into life cycle assessment: A synthesis matrix system for food security. J. Clean. Prod. 2018, 172, 3874–3889. [Google Scholar] [CrossRef]
- Abdullah, M.M.; Assi, A.T.; Abdullah, M.T.; Feagin, R.A. Arid ecosystem resilience to total petroleum hydrocarbons disturbance: A case-study from the State of Kuwait associated with the Second Gulf War. Land Degrad. Dev. 2019, 31, 155–167. [Google Scholar] [CrossRef]
- Abdullah, M.M.; Addae-Wireko, L.; Tena-Gonzalez, G.A. Assessing native desert vegetation recovery in a war-affected area using multispectral and hyperspectral imagery: A case study of the Sabah Al-Ahmad Nature Reserve, Kuwait. Restor. Ecol. 2017, 25, 982–993. [Google Scholar] [CrossRef]
- Qian, W.; Zhu, Y. Climate Change in China from 1880 to 1998 and its impact on the environmental condition. Clim. Chang. 2001, 50, 419–444. [Google Scholar] [CrossRef]
- Ding, Y.; Ren, G.; Zhao, Z.; Xu, Y.; Luo, Y.; Li, Q.; Zhang, J. Detection, causes and projection of climate change over China: An overview of recent progress. Adv. Atmos. Sci. 2007, 24, 954–971. [Google Scholar] [CrossRef]
- Alcamo, J.; Henrichs, T.; Rösch, T. World Water in 2025—Global Modeling and Scenario Analysis for the World Commission on Water for the 21st Century; Report A0002; Center for Environmental Systems Researched, University of Kassel: Kassel, Germany, 2000. [Google Scholar]
- Li, Q.; Yu, X.; Xin, Z.; Sun, Y. Modeling the effects of climate change and human activities on the hydrological processes in a semiarid watershed of loess plateau. J. Hydrol. Eng. 2013, 18, 401–412. [Google Scholar] [CrossRef]
- Gorguner, M.; Kavvas, M.L. Modeling impacts of future climate change on reservoir storages and irrigation water demands in a mediterranean basin. Sci. Total. Environ. 2020, 748, 141246. [Google Scholar] [CrossRef]
- El-Keblawy, A. Impact of fencing and irrigation on species composition and diversity of desert plant communities in the United Arab Emirates. Land Degrad. Dev. 2016, 28, 1354–1362. [Google Scholar] [CrossRef]
- He, Y. The effect of precipitation on vegetation cover over three landscape units in a protected semi-arid grassland: Temporal dynamics and suitable climatic index. J. Arid. Environ. 2014, 109, 74–82. [Google Scholar] [CrossRef]
- Lehmann, P.; Berli, M.; Koonce, J.E.; Or, D. Surface evaporation in arid regions: Insights from lysimeter decadal record and global application of a surface evaporation capacitor (SEC) model. Geophys. Res. Lett. 2019, 46, 9648–9657. [Google Scholar] [CrossRef]
- Scanlon, B.R.; Levitt, D.G.; Reedy, R.C.; Keese, K.E.; Sully, M.J. Ecological controls on water-cycle response to climate variability in deserts. Proc. Natl. Acad. Sci. USA 2005, 102, 6033–6038. [Google Scholar] [CrossRef] [PubMed]
- Scanlon, B.R.; Keese, K.; Reedy, R.C.; Simunek, J.; Andraski, B.J. Variations in flow and transport in thick desert vadose zones in response to paleoclimatic forcing (0–90 kyr): Field measurements, modeling, and uncertainties. Water Resour. Res. 2003, 39, 18. [Google Scholar] [CrossRef]
- Scanlon, B.R.; Keese, K.E.; Flint, A.L.; Flint, L.E.; Gaye, C.B.; Edmunds, W.M.; Simmers, I. Global synthesis of groundwater recharge in semiarid and arid regions. Hydrol. Process. 2006, 20, 3335–3370. [Google Scholar] [CrossRef]
- Gee, G.W.; Wierenga, P.J.; Andraski, B.; Young, M.H.; Fayer, M.J.; Rockhold, M.L. Variations in water balance and recharge potential at three western desert sites. Soil Sci. Soc. Am. J. 1994, 58, 63–72. [Google Scholar] [CrossRef]
- Abdullah, M.M.; Al, A.Z.; Abdullah, M.T. Estimating the structure and distribution of native desert shrubs using very high-resolution aerial imagery to support the long-term monitoring and assessment of restoration and revegetation projects. Plant Ecol. (under revision) VEGE-D-20-00077R1.
- Deus, D.; Gloaguen, R.; Krause, P. Water balance modeling in a semi-arid environment with limited in situ data using remote sensing in Lake Manyara, East African Rift, Tanzania. Remote. Sens. 2013, 5, 1651–1680. [Google Scholar] [CrossRef]
- JMP®, Version x 9.3.3 1989–2019; SAS Institute Inc.: Cary, NC, USA.
- ASTM. Standard Test Method for Determination of Water Content of Soil and Rock by Microwave Oven Heating; ASTM International: West Conshohocken, PA, USA, 2017. [Google Scholar]
- ASTM. Test Method for Sieve Analysis of Fine and Coarse Aggregates; ASTM International: West Conshohocken, PA, USA, 2006. [Google Scholar]
- Andraski, B.J. Soil-water movement under natural-site and waste-site conditions: A multiple-year field study in the Mojave Desert, Nevada. Water Resour. Res. 1997, 33, 1901–1916. [Google Scholar] [CrossRef]
- Scott, R.L.; Biederman, J.A. Critical Zone Water Balance Over 13 Years in a Semiarid Savanna. Water Resour. Res. 2019, 55, 574–588. [Google Scholar] [CrossRef]
- Beven, K.J. Rainfall-Runoff Modelling: The Primer; John Wiley & Sons: Hoboken, NJ, USA, 2011. [Google Scholar]
- Mockus, V. National Engineering Handbook; United States Department of Agriculture: Washington, DC, USA, 1964; Volume 4.
- Cronshey, R. Urban Hydrology for Small Watersheds; United States Department of Agriculture: Washington, DC, USA, 1986.
- Al-Dousari, A.; Milewski, A.; Din, S.U.; Ahmed, M. Remote sensing inputs to SWAT model for groundwater recharge estimates in Kuwait. Adv. Nat. Appl. Sci. 2010, 4, 71–77. [Google Scholar]
- Mockus, V. Estimation of direct runoff from storm rainfall. SCS Nat. Eng. Handb. Sect. 1972, 4, 10.1–10.24. [Google Scholar]
- Ghadiri, H.; Rose, C. Modeling Chemical Transport in Soils: Natural and Applied Contaminants; CRC Press: Boca Raton, FL, USA, 1992. [Google Scholar]
- Alagha, M.O.; Gutub, S.A.; Elfeki, A.M. Estimation of nrcs curve number from watershed morphometric parameters: A case study of yiba watershed in saudi arabia. Int. J. Civ. Eng. Technol. 2016, 7, 247–265. [Google Scholar]
- Mohawesh, O. Evaluation of evapotranspiration models for estimating daily reference evapotranspiration in arid and semiarid environments. Plant Soil Environ. 2011, 57, 145–152. [Google Scholar] [CrossRef]
- Allen, R.G.; Pereira, L.S.; Raes, D.; Smith, M. Crop evapotranspiration-guidelines for computing crop water requirements-FAO Irrigation and drainage paper 56. FAO Rome 1998, 300, D05109. [Google Scholar]
- Al-Mukhtar, M.; Qasim, M. Future predictions of precipitation and temperature in Iraq using the statistical downscaling model. Arab. J. Geosci. 2019, 12, 25. [Google Scholar] [CrossRef]
- Ramirez-Villegas, J.; Jarvis, A. Downscaling global circulation model outputs: The delta method decision and policy analysis Working Paper No. 1. Policy Anal. 2010, 1, 1–8. [Google Scholar]
- IPCC What Is a GCM? Available online: http://www.ipcc-data.org/guidelines/pages/gcm_guide.html (accessed on 20 December 2019).
- Riahi, K.; Grübler, A.; Nakicenovic, N. Scenarios of long-term socio-economic and environmental development under climate stabilization. Technol. Forecast. Soc. Chang. 2007, 74, 887–935. [Google Scholar] [CrossRef]
- Clarke, L.; Edmonds, J.; Jacoby, H.; Pitcher, H.; Reilly, J.; Richels, R. Scenarios of Greenhouse Gas Emissions and Atmospheric Concentrations; US Department of Energy Publication, University of Nebraska Lincoln: Lincoln, NE, USA, 2007.
- Thornthwaite, C.W. The Climates of North America: According to a new classification. Geogr. Rev. 1931, 21, 633. [Google Scholar] [CrossRef]
- Al-Sudani, H.I.Z. Temperature—Potential evapotranspiration relationship in Iraq using thornthwaite method. J. Univ. Babylon Eng. Sci. 2019, 27, 16–25. [Google Scholar] [CrossRef][Green Version]
- Parsons, A.J.; Abrahams, A.D. Geomorphology of desert environments. In Geomorphology of Desert Environments; Springer Science and Business Media LLC: Berlin/Heidelberg, Germany, 1994; pp. 3–12. [Google Scholar]
- Molla, D.D.; Tegaye, T.A.; Fletcher, C.G. Simulated surface and shallow groundwater resources in the Abaya-Chamo Lake basin, ethiopia using a spatially-distributed water balance model. J. Hydrol. Reg. Stud. 2019, 24, 100615. [Google Scholar] [CrossRef]
- Chen, J.-F.; Lee, C.-H.; Yeh, T.-C.J.; Yu, J.-L. A Water budget model for the Yun-Lin Plain, Taiwan. Water Resour. Manag. 2005, 19, 483–504. [Google Scholar] [CrossRef]
- Gokmen, M.; Vekerdy, Z.; Lubczynski, M.W.; Timmermans, J.; Batelaan, O.; Verhoef, W. Assessing groundwater storage changes using remote sensing–based evapotranspiration and precipitation at a large semiarid basin scale. J. Hydrometeorol. 2013, 14, 1733–1753. [Google Scholar] [CrossRef]
- Leta, O.T.; El-Kadi, A.I.; Dulai, H. Implications of climate change on water budgets and reservoir water harvesting of Nuuanu area watersheds, Oahu, Hawaii. J. Water Resour. Plan. Manag. 2017, 143, 05017013. [Google Scholar] [CrossRef]
- Li, Y.; Feng, A.; Liu, W.; Ma, X.; Dong, G. Variation of aridity index and the role of climate variables in the southwest China. Water 2017, 9, 743. [Google Scholar] [CrossRef]
- Jia, Y.-H.; Shao, M.-A. Dynamics of deep soil moisture in response to vegetational restoration on the loess plateau of China. J. Hydrol. 2014, 519, 523–531. [Google Scholar] [CrossRef]
- Neal, J.; Murphy, S.R.; Harden, S.; Fulkerson, W. Differences in soil water content between perennial and annual forages and crops grown under deficit irrigation and used by the dairy industry. Field Crop. Res. 2012, 137, 148–162. [Google Scholar] [CrossRef]
- Deng, L.; Yan, W.; Zhang, Y.; Shangguan, Z.-P. Severe depletion of soil moisture following land-use changes for ecological restoration: Evidence from northern China. For. Ecol. Manag. 2016, 366, 1–10. [Google Scholar] [CrossRef]
- Misak, R.F.; Al-Awadhi, J.M.; Omar, S.A.; Shahid, S.A. Soil degradation in Kabd area, southwestern Kuwait city. Land Degrad. Dev. 2002, 13, 403–415. [Google Scholar] [CrossRef]
- Abdullah, M.M.; Feagin, R.A.; Abdullah, M.T.; Al-Musawi, L. Will autogenic succession be sufficient to recover from vegetation cover loss or will soil condition need to be addressed in the arid lands of Kuwait? Arab. J. Geosci. 2017, 10, 111. [Google Scholar] [CrossRef]
- Padgett, P.E.; Kee, S.N.; Allen, E.B. The Effects of irrigation on revegetation of semi-arid coastal sage scrub in southern California. Environ. Manag. 2000, 26, 427–435. [Google Scholar] [CrossRef] [PubMed]
- Asner, G.P.; Hughes, R.F.; Vitousek, P.M.; Knapp, D.E.; Kennedy-Bowdoin, T.; Boardman, J.; Martin, R.E.; Eastwood, M.; Green, R.O. Invasive plants transform the three-dimensional structure of rain forests. Proc. Natl. Acad. Sci. USA 2008, 105, 4519–4523. [Google Scholar] [CrossRef]








| Independent Variable | Multivariate, Stepwise | ||
|---|---|---|---|
| With Precipitation | Parameter | R2 Added | p-Value |
| P | 0.976 | 0.0001 | |
| Q | 0.0002 | 0.5788 | |
| T | 0.0003 | 0.5976 | |
| ET | 0.0003 | 0.9528 | |
| Without Precipitation | Q | 0.089 | 0.0001 |
| T | 0.758 | 0.0000 | |
| ET | 0.000 | 0.7260 | |
Publisher’s Note: MDPI stays neutral with regard to jurisdictional claims in published maps and institutional affiliations. |
© 2020 by the authors. Licensee MDPI, Basel, Switzerland. This article is an open access article distributed under the terms and conditions of the Creative Commons Attribution (CC BY) license (http://creativecommons.org/licenses/by/4.0/).
Share and Cite
Alqallaf, A.; Al-Anzi, B.; Alabdullah, M. Assessing the Effectiveness of Supplemental Irrigation to Improve Soil Moisture in an Arid Ecosystem with an Emphasis on Climate Change: A Case Study from the State of Kuwait. Sustainability 2020, 12, 9104. https://doi.org/10.3390/su12219104
Alqallaf A, Al-Anzi B, Alabdullah M. Assessing the Effectiveness of Supplemental Irrigation to Improve Soil Moisture in an Arid Ecosystem with an Emphasis on Climate Change: A Case Study from the State of Kuwait. Sustainability. 2020; 12(21):9104. https://doi.org/10.3390/su12219104
Chicago/Turabian StyleAlqallaf, Ahmed, Bader Al-Anzi, and Meshal Alabdullah. 2020. "Assessing the Effectiveness of Supplemental Irrigation to Improve Soil Moisture in an Arid Ecosystem with an Emphasis on Climate Change: A Case Study from the State of Kuwait" Sustainability 12, no. 21: 9104. https://doi.org/10.3390/su12219104
APA StyleAlqallaf, A., Al-Anzi, B., & Alabdullah, M. (2020). Assessing the Effectiveness of Supplemental Irrigation to Improve Soil Moisture in an Arid Ecosystem with an Emphasis on Climate Change: A Case Study from the State of Kuwait. Sustainability, 12(21), 9104. https://doi.org/10.3390/su12219104

