Research and Application of New Technology of Bionic Enhanced Wellbore and Strong Lubrication Water-Based Drilling Fluid
Abstract
1. Introduction
2. Materials and Methods
2.1. Apparatus
2.2. Developing of Bionic Wall-Fixing Agent
2.3. Research and Development of Bionic Wall-Fixing Agent
2.4. Mechanism of Action of Bionic Wall-Fixing Agent
3. Results
3.1. Performance Evaluation of Bionic Wall-Fixing Agent
3.1.1. Fixing Wall Performance
Qualitative Evaluation of Soaking Experiment
Quantitative Evaluation
3.1.2. Suppression Performance
Linear Expansion Experiment
Rolling Recycling Experiment
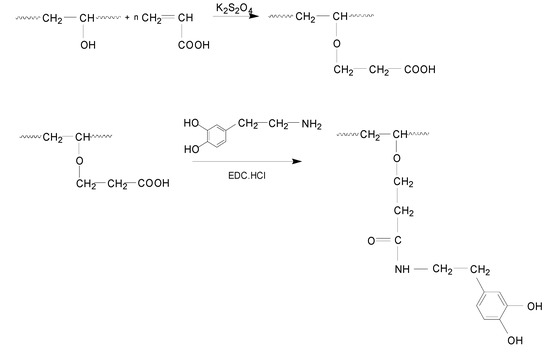
3.2. Using the Mucus Secreted by Earthworms as a Model to Develop Bionic Bonding Lubricants
3.2.1. Development of Bionic Bonded Lubricants Based on the Principle of Earthworms Secreting Mucus
3.2.2. Mechanism of action of bionic bonded lubricant
Bonding
Contact Angle Measurement
3.2.3. Performance Evaluation of Bionic Bonded Lubricant
Coefficient of Extreme Pressure Friction
Comparison of Filter Cake Adhesion Coefficient
Flow Resistance Reduction Rate in Base Slurry
Four-Ball Friction Evaluation
Evaluation of Salt Resistance
Evaluation of Temperature Resistance
4. Discussion
4.1. Bionic Enhanced Wellbore and Super-Lubricated Water-Based Drilling Fluid Technology Establishment and Field Application
4.1.1. Performance Evaluation of Bionic Reinforced Wellbore and Strong Lubricating Water-Based Drilling Fluid
Evaluation of Salt Resistance
Evaluation of Temperature Resistance
Core Compressive Strength Evaluation
Environmental Performance Evaluation
4.1.2. Performance Comparison with Typical Oil-Based Drilling Fluids
Basic Performance Comparison
Inhibitory Comparison
4.2. Field Application Effect
5. Conclusions
Author Contributions
Funding
Acknowledgments
Conflicts of Interest
References
- Mahmoud, H.; Hamza, A.; Nasser, M.S.; Hussein, I.A.; Ahmed, R.; Karami, H. Hole cleaning and drilling fluid sweeps in horizontal and deviated wells: Comprehensive review. J. Pet. Sci. Eng. 2020, 186, 106748. [Google Scholar] [CrossRef]
- Akpan, E.U.; Enyi, G.C.; Nasr, G.; Yahaya, A.A.; Ahmadu, A.A.; Saidu, B. Water-based drilling fluids for high-temperature applications and water-sensitive and dispersible shale formations. J. Pet. Sci. Eng. 2019, 175, 1028–1038. [Google Scholar] [CrossRef]
- Saleh, T.A.; Ibrahim, M.A. Advances in functionalized Nanoparticles based drilling inhibitors for oil production. Energy Rep. 2019, 5, 1293–1304. [Google Scholar] [CrossRef]
- Huang, T.; Cao, L.; Cai, J.; Xu, P. Experimental investigation on rock structure and chemical properties of hard brittle shale under different drilling fluids. J. Pet. Sci. Eng. 2019, 181, 106185. [Google Scholar] [CrossRef]
- Xie, B.Q.; Zhang, X.B.; Li, Y.G.; Liu, W.; Luo, M.W. Application a novel thermo-sensitive copolymer as a potential rheological modifier for deep-water water-based drilling fluids. Colloids Surf. A Physicochem. Eng. Asp. 2019, 581, 123848. [Google Scholar]
- Magalhães, S.; Borges, R.; Calçada, L.; Scheid, C.; Folsta, M.; Waldmann, A.; Martins, A. Development of an expert system to remotely build and control drilling fluids. J. Pet. Sci. Eng. 2019, 181, 106033. [Google Scholar] [CrossRef]
- Luan, J.; Dong, P.; Zheng, J. Experimental studies on reaction laws during the process of air injection into the oil reservoirs with low permeability. J. Pet. Sci. Eng. 2020, 194, 107526. [Google Scholar] [CrossRef]
- Song, Y.; Li, Z.; Jiang, Z.; Luo, Q.; Liu, D.; Gao, Z. Progress and development trend of unconventional oil and gas geological research. Pet. Explor. Dev. 2017, 44, 675–685. [Google Scholar] [CrossRef]
- Wang, Z.; Tong, S.; Wang, C.; Zhang, J.; Fu, W.; Sun, B. Hydrate deposition prediction model for deep-water gas wells under shut-in conditions. Fuel 2020, 275, 117944. [Google Scholar] [CrossRef]
- Zheng, L.; Chen, B.; Zhang, Z.; Tang, J.; Sun, H. Anti-collapse mechanism of CBM fuzzy-ball drilling fluid. Nat. Gas Ind. B 2016, 3, 152–157. [Google Scholar] [CrossRef]
- Brandon, N.; Panesar, S.; Bonanos, N.; Fogarty, P.; Mahmood, M. The effect of cathodic currents on friction and stuck pipe release in aqueous drilling muds. J. Pet. Sci. Eng. 1993, 10, 75–82. [Google Scholar] [CrossRef]
- Al Sandouk-Lincke, N.A.; Schwarzbauer, J.; Antic, V.; Antić, M.; Caase, J.; Grünelt, S.; Reßing, K.; Littke, R. Off-line-pyrolysis–gas chromatography–mass spectrometry analyses of drilling fluids and drill cuttings—Identification of potential environmental marker substances. Org. Geochem. 2015, 88, 17–28. [Google Scholar] [CrossRef]
- Beydokhti, A.K.; Hajiabadi, S.H. Rheological investigation of smart polymer/carbon nanotube complex on properties of water-based drilling fluids. Colloids Surf. A Physicochem. Eng. Asp. 2018, 556, 23–29. [Google Scholar] [CrossRef]
- Zhong, H.; Shen, G.; Qiu, Z.; Lin, Y.; Fan, L.; Xing, X.; Li, J. Minimizing the HTHP filtration loss of oil-based drilling fluid with swellable polymer microspheres. J. Pet. Sci. Eng. 2019, 172, 411–424. [Google Scholar] [CrossRef]
- Paswan, B.K.; Mahto, V. Development of environment-friendly oil-in-water emulsion based drilling fluid for shale gas formation using sunflower oil. J. Pet. Sci. Eng. 2020, 191, 107129. [Google Scholar] [CrossRef]
- Xu, Z.; Song, X.; Li, G.; Zhu, Z.; Zhu, B. Gas kick simulation in oil-based drilling fluids with the gas solubility effect during high-temperature and high-pressure well drilling. Appl. Therm. Eng. 2019, 149, 1080–1097. [Google Scholar] [CrossRef]
- Ke, G.; Youhong, S.; Runfeng, G.; Liang, X.; Chuanliu, W.; Yumin, L. Application and prospect of bionic non-smooth theory in drilling engineering. Pet. Explor. Dev. 2009, 36, 519–541. [Google Scholar] [CrossRef]
- Jiang, J.; Peng, X.; Li, J.; Chen, Y. A comparative study on the performance of typical types of bionic groove dry gas seal based on bird wing. J. Bionic Eng. 2016, 13, 324–334. [Google Scholar] [CrossRef]
- Yin, B.; Xu, T.; Hou, D.; Zhao, E.; Hua, X.; Han, K.; Zhang, Y.; Zhang, J. Superhydrophobic anticorrosive coating for concrete through in-situ bionic induction and gradient mineralization. Constr. Build. Mater. 2020, 257, 257. [Google Scholar] [CrossRef]
- Chen, C.; Zhao, Y.; Mei, H.; Kong, Z.; Mao, M.; Cheng, L. Excellent lubrication properties of 3D printed ceramic bionic structures. Ceram. Int. 2020. [Google Scholar] [CrossRef]
- Kamil, N.; Ewa, L.; Piotr, S.; Katarzyna, E.N.; Jacek, P.S. Bionic eye review—An update. J. Clin. Neurosci. 2020, 78, 8–19. [Google Scholar]
- Han, J.; Hui, Z.; Tian, F.; Chen, G. Review on bio-inspired flight systems and bionic aerodynamics. Chin. J. Aeronaut. 2020. [Google Scholar] [CrossRef]
- Zhan, X.; Yi, P.; Liu, Y.; Jiang, Y.; Jin, Y.; Dong, G.; Zhang, Y. Effects of texture spacing and bulges of bionic sinusoidal texture on the adhesion properties and fracture mechanism of plasma-sprayed coatings. Surf. Coat. Technol. 2020, 393, 125772. [Google Scholar] [CrossRef]
- Xie, Y.; Bai, H.; Liu, Z.; Chen, N. A Novel Bionic Structure Inspired by Luffa Sponge and Its Cushion Properties. Appl. Sci. 2020, 10, 2584. [Google Scholar] [CrossRef]
- Zheng, L.; Su, G.; Li, Z.; Peng, R.; Wang, L.; Wei, P.; Han, S. The wellbore instability control mechanism of fuzzy ball drilling fluids for coal bed methane wells via bonding formation. J. Nat. Gas Sci. Eng. 2018, 56, 107–120. [Google Scholar] [CrossRef]
- Shen, Y.; Liu, H.; Wang, H.; Wu, H. Wellbore instability induced by alternating water injection and well washing with an elasto-plastic erosion model. J. Nat. Gas Sci. Eng. 2015, 27, 1863–1870. [Google Scholar] [CrossRef]
- Dokhani, V.; Yu, M.; Bloys, B. A wellbore stability model for shale formations: Accounting for strength anisotropy and fluid induced instability. J. Nat. Gas Sci. Eng. 2016, 32, 174–184. [Google Scholar] [CrossRef]
- Yu, M.; Chenevert, M.E.; Sharma, M.M. Chemical–mechanical wellbore instability model for shales: Accounting for solute diffusion. J. Pet. Sci. Eng. 2003, 38, 131–143. [Google Scholar] [CrossRef]
- Zhao, X.; Qiu, Z.; Wang, M.; Xu, J.; Huang, W. Experimental investigation of the effect of drilling fluid on wellbore stability in shallow unconsolidated formations in deep water. J. Pet. Sci. Eng. 2019, 175, 595–603. [Google Scholar] [CrossRef]
- Rafieepour, S.; Zamiran, S.; Ostadhassan, M. A cost-effective chemo-thermo-poroelastic wellbore stability model for mud weight design during drilling through shale formations. J. Rock Mech. Geotech. Eng. 2020. [Google Scholar] [CrossRef]
- Chen, X.; Huang, Y.; Yang, G.; Li, J.-X.; Wang, T.; Schulz, O.; Jennings, L. Polydopamine Integrated Nanomaterials and Their Biomedical Applications. Curr. Pharm. Des. 2015, 21, 4262–4275. [Google Scholar] [CrossRef] [PubMed]
- Holten-Andersen, N.; Waite, J.H. Mussel-designed protective coatings for compliant substrates. J. Dent. Res. 2008, 87, 701–709. [Google Scholar] [CrossRef] [PubMed]
- Danner, E.W.; Kan, Y.; Hammer, M.U.; Israelachvili, J.N.; Waite, J.H. Adhesion of Mussel Foot Protein Mefp-5 to Mica: An Underwater Superglue. Biochemistry 2012, 51, 6511–6518. [Google Scholar] [CrossRef]
- Fan, C.; Fu, J.; Zhu, W.; Wang, D.-A. A mussel-inspired double-crosslinked tissue adhesive intended for internal medical use. Acta Biomater. 2016, 33, 51–63. [Google Scholar] [CrossRef] [PubMed]
- Zhang, A.; Neumeyer, J.L.; Baldessarini, R.J. Recent Progress in Development of Dopamine Receptor Subtype-Selective Agents: Potential Therapeutics for Neurological and Psychiatric Disorders. Chem. Rev. 2007, 107, 274–302. [Google Scholar] [CrossRef]
- Lee, H.; Dellatore, S.M.; Miller, W.M.; Messersmith, P.B. Mussel-Inspired Surface Chemistry for Multifunctional Coatings. Science 2007, 318, 426–430. [Google Scholar] [CrossRef]
- Xu, J.-g.; Qiu, Z.; Zhao, X.; Zhong, H.; Huang, W. Study of 1-Octyl-3-methylimidazolium bromide for inhibiting shale hydration and dispersion. J. Pet. Sci. Eng. 2019, 177, 208–214. [Google Scholar] [CrossRef]
- Yang, L.; Jiang, G.; Shi, Y.; Yang, X. Application of Ionic Liquid and Polymeric Ionic Liquid as Shale Hydration Inhibitors. Energy Fuels 2017, 31, 4308–4317. [Google Scholar] [CrossRef]
- Gou, S.; Yin, T.; Xia, Q.; Guo, Q. Biodegradable polyethylene glycol-based ionic liquids for effective inhibition of shale hydration. RSC Adv. 2015, 5, 32064–32071. [Google Scholar] [CrossRef]
- Balaban, R.d.C.; Vidal, E.L.F.; Borges, M.R. Design of experiments to evaluate clay swelling inhibition by different combinations of organic compounds and inorganic salts for application in water base drilling fluids. Appl. Clay Sci. 2015, 105–106, 124–130. [Google Scholar] [CrossRef]
- Jiang, G.; Zhang, X.; Dong, T.; Xuan, Y.; Wang, L.; Jiang, Q. A new inhibitor of P(AM-DMDAAC)/PVA intermacromolecular complex for shale in drilling fluids. J. Appl. Polym. Sci. 2018, 135, 45584. [Google Scholar] [CrossRef]
- Zhong, H.; Qiu, Z.; Sun, D.; Zhang, D.; Huang, W. Inhibitive properties comparison of different polyetheramines in water-based drilling fluid. J. Nat. Gas Sci. Eng. 2015, 26, 99–107. [Google Scholar] [CrossRef]
- Xu, J.-G.; Qiu, Z.; Zhao, X.; Mou, T.; Zhong, H.; Huang, W. A polymer microsphere emulsion as a high-performance shale stabilizer for water-based drilling fluids. RSC Adv. 2018, 8, 20852–20861. [Google Scholar] [CrossRef]
- Teixeira, G.T.; Lomba, R.F.T.; Francisco, A.D.d.S.; da Silva, J.F.C.; Nascimento, R.S.V. Hyperbranched Polyglycerols, Obtained from Environmentally Benign Monomer, as Reactive Clays Inhibitors for Water-Based Drilling Fluids. J. Appl. Polym. Sci. 2014, 131, 40384. [Google Scholar]
- Saffari, H.; Soltani, R.; Alaei, M.; Soleymani, M. Tribological properties of water-based drilling fluids with borate nanoparticles as lubricant additives. J. Pet. Sci. Eng. 2018, 171, 253–259. [Google Scholar] [CrossRef]
- Lan, P.; Iaccino, L.L.; Bao, X.; Polycarpou, A.A. The effect of lubricant additives on the tribological performance of oil and gas drilling applications up to 200 °C. Tribol. Int. 2020, 141, 105896. [Google Scholar] [CrossRef]
- Jiang, G.; Ni, X.; Li, W.; Quan, X.; Luo, X. Super-amphiphobic, strong self-cleaning and high-efficiency water-based drilling fluids. Pet. Explor. Dev. 2020, 47, 421–429. [Google Scholar] [CrossRef]
- Nunes, D.G.; da Silva, A.d.P.M.; Cajaiba, J.; Pérez-Gramatges, A.; Lachter, E.R.; Nascimento, R.S.V. Influence of Glycerides–Xanthan Gum Synergy on Their Performance as Lubricants for Water-Based Drilling Fluids. J. Appl. Polym. Sci. 2014, 131, 41085. [Google Scholar]
- Dong, X.; Wang, L.; Yang, X.; Lin, Y.; Xue, Y. Effect of ester based lubricant SMJH-1 on the lubricity properties of water based drilling fluid. J. Pet. Sci. Eng. 2015, 135, 161–167. [Google Scholar] [CrossRef]
- Liu, X.; Gao, L.; Wang, Q.; Gu, X.; Du, W.; Zhang, J.; Gang, C. Evaluation and application of poly(ethylene glycol) as lubricant in water-based drilling fluid for horizontal well in Sulige Gas Field. Polym. Int. 2020. [Google Scholar] [CrossRef]
- Aftab, A.; Ali, M.; Sahito, M.F.; Mohanty, U.S.; Jha, N.K.; Akhondzadeh, H.; Azhar, M.R.; Ismail, A.R.; Keshavarz, A.; Iglauer, S. Environmental Friendliness and High Performance of Multifunctional Tween 80/ZnO-Nanoparticles-Added Water-Based Drilling Fluid: An Experimental Approach. ACS Sustain. Chem. Eng. 2020, 8, 11224–11243. [Google Scholar] [CrossRef]
- Yang, X.; Shang, Z.; Liu, H.; Cai, J.; Jiang, G. Environmental-friendly salt water mud with nano-SiO2 in horizontal drilling for shale gas. J. Pet. Sci. Eng. 2017, 156, 408–418. [Google Scholar] [CrossRef]
- Zhao, X.; Qiu, Z.; Wang, M.; Huang, W.; Zhang, S. Performance Evaluation of a Highly Inhibitive Water-Based Drilling Fluid for Ultralow Temperature Wells. J. Energy Resour. Technol. 2018, 140, 57. [Google Scholar] [CrossRef]
- Zhao, X.; Qiu, Z.; Zhang, Y.; Zhong, H.; Huang, W.; Tang, Z. Zwitterionic Polymer P(AM-DMC-AMPS) as a Low-Molecular-Weight Encapsulator in Deepwater Drilling Fluid. Appl. Sci. 2017, 7, 594. [Google Scholar] [CrossRef]
- Jiang, G.C.; Dong, T.F.; Zhang, X.M.; Li, Y.L.; Zhao, L.; Liu, P. Study and application of a new high performance water base drilling fluid XZ. Drill. Fluid Complet. Fluid 2018, 35, 49–55. [Google Scholar]















| Element | Content/% |
|---|---|
| Al | 17.87 |
| Si | 55.50 |
| Na | 1.32 |
| Mg | 3.70 |
| Ca | 9.78 |
| Fe | 7.02 |
| Others | 4.81 |
| Core | Rock Mechanics Parameters | ||
|---|---|---|---|
| Breaking Strength (MPa) | Elastic Modulus (GPa) | Poisson’s Ratio | |
| Before processing | 6.803 | 2.259 | 0.035 |
| After processing | 8.361 | 1.855 | 0.053 |
| Condition | Sample | EP Coefficient of Friction | Friction Coefficient Reduction Rate | Yes or No Foams |
|---|---|---|---|---|
| Before aging | 4% base slurry | 0.54 | - | No |
| 4% base slurry + 1% PF-lube | 0.32 | 40.7% | Slight blistering | |
| 4% base slurry + 1% CX-300H | 0.16 | 70.4% | Severe blistering | |
| 4% base slurry + 1% PF-lube | 0.31 | 42.6% | Slight blistering | |
| 4% base slurry + 1% Grandoil | 0.22 | 59.3% | blistering | |
| 4% base slurry + 1% DFL | 0.10 | 81.5% | Slight blistering | |
| 4% base slurry + 1% bionic bonded lubricant | 0.09 | 83.3% | No | |
| After aging | 4% base slurry | 0.52 | - | No |
| 4% base slurry + 1% PF-lube | 0.32 | 38.5% | Obviously blistering | |
| 4% base slurry + 1% CX-300H | 0.15 | 71.2% | Severe blistering | |
| 4% base slurry + 1% PF-lube | 0.13 | 75.0% | Obviously blistering | |
| 4% base slurry + 1% Grandoil | 0.11 | 78.8% | Blistering | |
| 4% base slurry + 1% DFL | 0.08 | 84.6% | Slight blistering | |
| 4% base slurry + 1% bionic bonded lubricant | 0.05 | 90.4% | No |
| Sample | Before Aging | After Aging | ||
|---|---|---|---|---|
| Coefficient of Adhesion | Reduction Rate | Coefficient of Adhesion | Reduction Rate | |
| 4% base slurry | 0.1225 | - | 0.1098 | - |
| 4% base slurry + 1% PF-lube | 0.0845 | 31.0% | 0.0676 | 38.5% |
| 4% base slurry + 1% CX-300H | 0.0592 | 51.7% | 0.0592 | 46.2% |
| 4% base slurry + 1% PF-lube | 0.0676 | 44.8% | 0.0465 | 57.7% |
| 4% base slurry + 1% Grandoil | 0.0592 | 51.7% | 0.0448 | 59.2% |
| 4% base slurry + 1% DFL | 0.0549 | 55.2% | 0.0465 | 57.7% |
| 4% base slurry + 1% bionic bonded lubricant | 0.0465 | 62.1% | 0.0380 | 65.4% |
| Lubricant dosage, % | 0 | 0.1 | 0.2 | 0.3 | 0.4 | 0.5 | 0.6 |
| Drilling fluid flow resistance reduction rate, % | 0 | 5.4 | 7.1 | 8.9 | 10.7 | 12.5 | 12.5 |
| Condition | Sample | Coefficient of Friction | Friction Coefficient Reduction Rate |
|---|---|---|---|
| Before aging | 4% base slurry | 0.52 | - |
| 4% base slurry + 1% lubricant | 0.08 | 84.6% | |
| 4% base slurry + 10%NaCl + 1% lubricant | 0.08 | 84.6% | |
| 4% base slurry + 20%NaCl + 1% lubricant | 0.08 | 84.6% | |
| 4% base slurry + 30%NaCl + 1% lubricant | 0.09 | 82.7% | |
| 4% base slurry + 10%CaCl2 + 1% lubricant | 0.08 | 84.6% | |
| 4% base slurry + 20%CaCl2 + 1% lubricant | 0.09 | 82.7% | |
| 4% base slurry + 30%CaCl2 + 1% lubricant | 0.08 | 84.6% | |
| After aging | 4% base slurry | 0.51 | - |
| 4% base slurry + 1% lubricant | 0.05 | 90.2% | |
| 4% base slurry + 10%NaCl + 1% lubricant | 0.05 | 90.2% | |
| 4% base slurry + 20%NaCl + 1% lubricant | 0.06 | 88.2% | |
| 4% base slurry + 30%NaCl + 1% lubricant | 0.07 | 86.3% | |
| 4% base slurry + 10%CaCl2 + 1% lubricant | 0.05 | 90.2% | |
| 4% base slurry + 20%CaCl2 + 1% lubricant | 0.06 | 88.2% | |
| 4% base slurry + 30%CaCl2 + 1% lubricant | 0.10 | 80.4% |
| Aging Temperature | Sample | Coefficient of Friction | Friction Coefficient Reduction Rate |
|---|---|---|---|
| Room temperature | 4% base slurry | 0.54 | - |
| 4% base slurry + 1% bonding lubricant | 0.09 | 83.3% | |
| Aging at 120 °C for 16 h | 4% base slurry | 0.52 | - |
| 4% base slurry + 1% bonding lubricant | 0.04 | 92.3% | |
| Aging at 150 °C for 16 h | 4% base slurry | 0.50 | - |
| 4% base slurry + 1% bonding lubricant | 0.04 | 92.0% | |
| Aging at 180 °C for 16 h | 4% base slurry | 0.50 | - |
| 4% base slurry + 1% bonding lubricant | 0.05 | 90.0% | |
| Aging at 200 °C for 16 h | 4% base slurry | 0.48 | - |
| 4% base slurry + 1% bonding lubricant | 0.07 | 85.4% | |
| Aging at 220 °C for 16 h | 4% base slurry | 0.45 | - |
| 4% base slurry + 1% bonding lubricant | 0.07 | 84.4% |
| Formula | AV mPa·s | PV mPa·s | YP Pa | YP/PV | HTHP mL |
|---|---|---|---|---|---|
| Bionic water-based drilling fluid system | 37.5 | 35 | 2.5 | 0.0714 | 5 |
| Bionic water-based drilling fluid system + 30% NaCl | 40 | 32 | 8 | 0.2500 | 8 |
| Bionic water-based drilling fluid system + 0.5% CaCl2 | 36.5 | 32 | 4.5 | 0.1406 | 8.4 |
| Temperature, °C | System Number | G10’’Pa | G10’Pa | AV, mPa·s | PV, mPa·s | YPPa | Fluid Loss, mL | ρ, g/cm3 | |
|---|---|---|---|---|---|---|---|---|---|
| API | HTHP | ||||||||
| 80 | 1# | 1 | 5 | 29 | 24 | 5 | 3.2 | 9.8 | 1.29 |
| 2# | 1 | 4.5 | 27 | 22 | 5 | 3 | 9.6 | 1.29 | |
| 120 | 1# | 1 | 5 | 28 | 23 | 5 | 3.2 | 9.8 | 1.29 |
| 2# | 1 | 4 | 25.5 | 20 | 5.5 | 3.0 | 9.6 | 1.29 | |
| 150 | 1# | 1 | 5 | 27.5 | 22 | 5.5 | 3 | 9.8 | 1.29 |
| 2# | 1 | 4 | 24.5 | 19 | 5.5 | 3.4 | 10 | 1.29 | |
| Core Number | Length (mm) | Diameter (mm) | Mass (g) | Density (g/cm3) | Compressive Strength (MPa) |
|---|---|---|---|---|---|
| 2# | 50.18 | 24.78 | 45.20 | 1.87 | 4.101 |
| 4# | 50.18 | 24.44 | 42.36 | 1.80 | 4.68 |
| Sample | EC50 (mg/L) | CODCr (mg/L) | BOD5 (mg/L) | BOD5/CODCr | Biodegradability |
|---|---|---|---|---|---|
| Water-based drilling fluid | 3.18 × 104 | 1.32 × 105 | 2.54 × 104 | 0.192 | Degradable |
| Drilling Fluid Type | FLAPI mL | AV mPa·s | PV mPa·s | YP Pa | GEL, Pa/Pa | FLHTHP mL | Friction Coefficient |
|---|---|---|---|---|---|---|---|
| Bionic water-based | 0 | 103 | 82 | 21 | 5.5/25 | 2.4 | 0.0369 |
| Oil-based | 0.2 | 129.5 | 105 | 24.5 | 4.5/18 | 2.4 | 0.0369 |
| Well Number | Complex Situation Type | Lost Time (h) | Well Number | Complex Type | Lost Time (h) |
|---|---|---|---|---|---|
| Su53-70-28H | Collapse and leakage | 115 | Su53-78-12H | Collapsing and scratching | 15.5 |
| Su53-74-40H | Collapsing and scratching | 84 | Su53-78-12H | Collapse and leakage | 155 |
| Su53-74-40H | Collapse and fill well | 42.5 | Su53-78-24H1 | Well collapse and drop drill tools | 356 |
| Su53-74-41H | Collapsing and scratching | 79 | Su53-78-28H1 | Collapse and leakage | 187 |
| Su53-74-42H | Well collapse, stuck pipe | 9 | Su53-78-28H1 | Collapse and leakage | 210 |
| Number | Well Number | Situation |
|---|---|---|
| 1 | Su53-86-15H1 Well | Solved the problems of frequent accidents and high drilling fluid cost during the drilling of horizontal wells in the block, creating the record of the fastest drilling speed and the shortest construction period of the Great Wall Drilling Horizontal Wells in Sulige Gas Field. |
| 2 | Su53-86-15H Well | 1. Creating a record of the continuous long section of mudstone (1028 m), there is no record of the complex conditions and the fastest drilling speed related to drilling fluid; 2. Compared with other wells containing mudstone, the average ROP of the whole well increased by 35.8% and the drilling fluid cost decreased by 42.3%). |
| 3 | Su53-70-22H Well | The average ROP increased by 37.2%, the drilling fluid cost was reduced by more than 31.8%, and there were no accidents related to drilling fluid. |
© 2020 by the authors. Licensee MDPI, Basel, Switzerland. This article is an open access article distributed under the terms and conditions of the Creative Commons Attribution (CC BY) license (http://creativecommons.org/licenses/by/4.0/).
Share and Cite
Quan, X.; Jiang, G.; Luo, X.; He, Y.; Dong, T. Research and Application of New Technology of Bionic Enhanced Wellbore and Strong Lubrication Water-Based Drilling Fluid. Sustainability 2020, 12, 8387. https://doi.org/10.3390/su12208387
Quan X, Jiang G, Luo X, He Y, Dong T. Research and Application of New Technology of Bionic Enhanced Wellbore and Strong Lubrication Water-Based Drilling Fluid. Sustainability. 2020; 12(20):8387. https://doi.org/10.3390/su12208387
Chicago/Turabian StyleQuan, Xiaohu, Guancheng Jiang, Xuwu Luo, Yinbo He, and Tengfei Dong. 2020. "Research and Application of New Technology of Bionic Enhanced Wellbore and Strong Lubrication Water-Based Drilling Fluid" Sustainability 12, no. 20: 8387. https://doi.org/10.3390/su12208387
APA StyleQuan, X., Jiang, G., Luo, X., He, Y., & Dong, T. (2020). Research and Application of New Technology of Bionic Enhanced Wellbore and Strong Lubrication Water-Based Drilling Fluid. Sustainability, 12(20), 8387. https://doi.org/10.3390/su12208387
