Research on the Transformation Path of the Green Intelligent Port: Outlining the Perspective of the Evolutionary Game “Government–Port–Third-Party Organization”
Abstract
1. Introduction
2. Literature Review
3. Model Construction
3.1. Symbol Description
- Assume that the initial period of the diffusion model is the same as that of the evolutionary game model.
- Suppose that the participants in the diffusion model are the same as the participants in the evolutionary game model, that is, the government and the port.
- The definitions of b, p, cp1, and cp2 parameters in the diffusion model are the same as those in the evolutionary game, which represent the policy subsidy, reward, or punishment measures when the government evaluates the port. In this paper, these two parameters are also the main external influencing factors for the port to choose green intelligent port construction. In the formula, α1 represents the proportion of government subsidies in the total cost of green intelligent port construction, which is the government subsidy coefficient. α2 represents the proportion of the government penalty in the total cost of green intelligent port construction, which is the government penalty coefficient. The changes of the government subsidy coefficient and the punishment coefficient affect the diffusion rate and comprehensive development level of green intelligent port construction.
- h1(t) and h2(t) in the diffusion model represent the number of port market investors that choose to increase the construction of green intelligent ports at time t and the number of port market investors that do not choose to strengthen the construction of green intelligent ports, respectively.
- N1 and N2 in the diffusion model respectively represent the maximum market capacity of the two port types, such as the maximum capacity of port throughput, logistics collection, distribution capacity, etc.
- Assuming that there is a competitive and cooperative relationship between the two types of ports in the diffusion model, parameters and respectively represent the coefficients of competition and cooperation between ports. This means they are the inhibition coefficient of general ports for increasing the construction of green intelligent ports, and the substitution coefficient of innovative ports for general ports. These coefficients are affected by the market for green intelligent ports, acceptance of the intelligent port concept, the construction cost, the pollution control cost of green intelligent ports, the improvement of green intelligent port technology, innovative investment in energy conservation and emission reduction projects, port logistics performance and development potential, etc.
- Assuming that the internal competition coefficient βi of the population in the diffusion model is 1, the influence of the internal competitive relationship of the port on the result is not considered.
- The diffusion model is not affected by other diffusion factors in the cycle.
3.2. The Construction of the Tripartite Evolutionary Game Model
3.3. Construction of the Port Diffusion Model
4. Model Analysis
4.1. The Solution of the Replicator Dynamic Equation for Three Sides
4.2. The solution of Equilibrium Point of the Tripartite Evolutionary Game
4.3. The Solution of the Stable Strategy of the Tripartite Evolutionary Game
4.4. Stable Strategy Solution for the Diffusion Model
5. Simulation Analysis
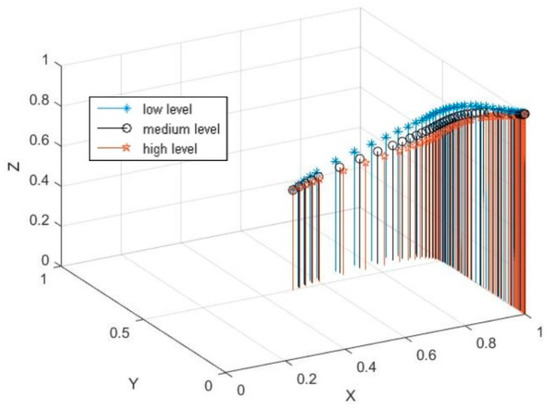
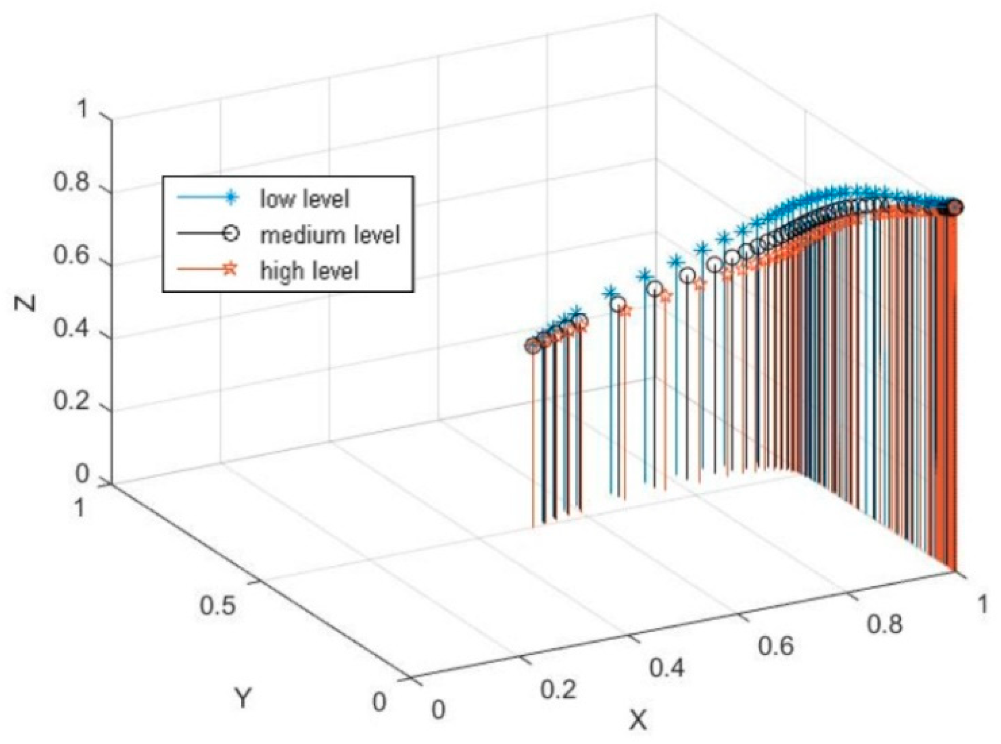
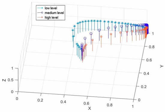
5.1. The Impact of Random Initial Strategy on Evolutionary Stability
5.2. The Impact of Government and the Third-Party Organization Regulation on the Speed of Evolutionary Equilibrium
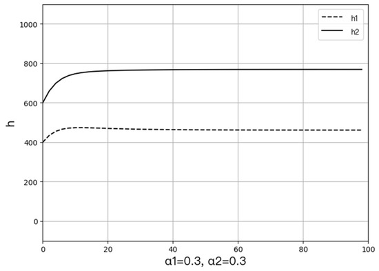
5.3. The Sensitivity Analysis of the Diffusion Model
6. Conclusions and Management Implications
6.1. Conclusions
- Under the mode of third-party organization evaluation and government supervision, an evolutionary game model based on the assumption of bounded rationality of the government, port, and third-party organization was constructed, and eight equilibrium points of the system were determined by solving the differential equation. Based on the requirements of this paper, the four equilibrium points were screened and stability analysis was carried out. It was found that the main factors affecting the choice of port strategy are its own benefits of becoming a green intelligent port (λ1 − λ2), the intensity of government regulation (b + p), and the quantitative influence of the third-party evaluation results on the port strategy selection (m3 + e). The main factors influencing the government’s choice of strategy include the cost of its own regulation (cg), subsidies for ports (b), and incentives for evaluation of third-party organizations (m2). Whether the third-party organization conducts an evaluation depends largely on the evaluation cost (cf) and the funding received (sf + m1 + m2), independent of the benefit of the port (λ1 − λ2).
- In the absence of government regulation or the influence of third-party organizations, ports will not actively increase the green intelligent port construction investment in the initial strategy selection. The government always needs to play a macro-control role before it can benefit. If both the government and the third-party organization adopt the high probability initial strategy, the evolution and stability rate of the port will be accelerated, and the construction of green intelligent ports will be promoted faster. Moreover, compared with the macro-control policies of the government, the influence of the third-party organization on the port is significantly smaller.
6.2. Management Implications
- Establish a set of evaluation index systems and evaluation models of port transformation intention, and conduct scientific and reasonable evaluations of port greenness and intelligence. By establishing a streamlined and informative evaluation index system, the government can not only improve the evaluation efficiency and reduce the evaluation cost of the current status of a port, but also can rank the development of the port based on the evaluation results. By analyzing the scores of different criterion layers and indicator layers, the port can be urged to carry out key rectifications of certain aspects and strengthen them in a targeted manner, thereby improving the transformation efficiency.
- Motivate the enthusiasm of third-party supervision and public supervision to improve the concept of socially sustainable development. The construction of green intelligent ports not only requires the evaluation and supervision of the government, but can also be entrusted to third-party intermediary organizations such as NGOs to evaluate and supervise the ports. The government only plays an appropriate regulatory role, which can save costs and provide policy support for the ports. In addition, the government’s publicity of green intelligent ports through official channels can improve the public’s acceptance of green intelligent ports, thus encouraging a side supervision role for ports by consumers and strengthening the construction of a corporate social responsibility for ports.
- Encourage innovative technology research and development of green intelligent ports, improve resource utilization, reduce port costs, and weaken port resistance to transformation. As an integrated hub, port logistics consume a large amount of energy through storage, transportation, loading, unloading, handling, etc. The use of high-tech and scientific means to save energy and promote energy recycling is not only a good way to reduce the cost of port production, but also an important consideration in the port transformation process. On the other hand, in order to ensure the smooth transformation of the port, the government can also reduce taxes related to the port and improve the port’s revenue.
- With the support of relevant government subsidies, ports should intensify their investment and construction efforts, construct reasonable action plans for key construction projects for green intelligent ports, such as automation transformation, sewage treatment facility transformation, and energy-saving standard system construction, and continuously evaluate and strategically adjust according to operating conditions, which helps ports to reduce energy consumption and reduce emissions of carbon dioxide and other waste gases and wastewater while improving operating efficiency. Through the transformation and upgrading of the loading and unloading of equipment, vehicles, and vessels operating in ports, governance costs can also be reduced, optimization of port energy structure can be strengthened, and further moves can be made toward developing a green intelligent port.
6.3. Limitations
Author Contributions
Funding
Conflicts of Interest
References
- Aregall, M.G.; Bergqvist, R.; Monios, J. A global review of the hinterland dimension of green port strategies. Transp. Res. Part D-Transp. Environ. 2018, 59, 23–34. [Google Scholar] [CrossRef]
- Lee, T.; Yeo, G.T.; Thai, V.V. Environmental efficiency analysis of port cities: Slacks-based measure data envelopment analysis approach. Transp. Policy 2014, 33, 82–88. [Google Scholar] [CrossRef]
- Yang, L.; Cai, Y.; Wei, Y.; Huang, S. Choice of technology for emission control in port areas: A supply chain perspective. J. Clean. Prod. 2019, 240, 82–88. [Google Scholar] [CrossRef]
- Barnes-Dabban, H.; van Tatenhove, J.P.; van Koppen, K.C.; Termeer, K.J. Institutionalizing environmental reform with sense-making: West and Central Africa ports and the ‘green port’ phenomenon. Mar. Policy 2017, 86, 111–120. [Google Scholar] [CrossRef]
- State Council of China. Notice of the State Council on Printing and Distributing the Development Plan of Modern Comprehensive Transportation System During the 13th Five Year Plan; GF: Beijing, China, 2017; No. 11. [Google Scholar]
- Ministry of Transportation of China. The Letter of the General Office of the Ministry of Transport on Soliciting Opinions on the Action Plan for Further Promoting the Construction of Green Port (2018–2022); Gbsh: Beijing, China, 2018; No. 480. [Google Scholar]
- Bergqvist, R.; Egelszandén, N. Green port dues—The case of hinterland transport. Res. Transp. Bus. Manag. 2012, 5, 85–91. [Google Scholar] [CrossRef]
- Teerawattana, R.; Yang, Y.C. Environmental performance indicators for green port policy evaluation: Case study of laem chabang port. Asian J. Shipp. Logist. 2019, 35, 63–69. [Google Scholar] [CrossRef]
- Yang, Y.C.; Chang, W.M. Impacts of electric rubber-tired gantries on green port performance. Res. Transp. Bus. Manag. 2013, 8, 67–76. [Google Scholar] [CrossRef]
- Chiu, R.H.; Lin, L.H.; Ting, S.C. Evaluation of green port factors and performance: A fuzzy AHP analysis. Math. Probl. Eng. 2014, 12, 1–12. [Google Scholar] [CrossRef]
- Radwan, M.E.; Chen, J.; Wan, Z.; Zheng, T.; Hua, C.; Huang, X. Critical barriers to the introduction of shore power supply for green port development: Case of Djibouti container terminals. Clean Technol. Environ. Policy 2019, 21, 1293–1306. [Google Scholar] [CrossRef]
- Luna, G.M.; Manini, E.; Turk, V.; Tinta, T.; D’Errico, G.; Baldrighi, E.; Baljak, V.; Buda, D.; Cabrini, M.; Campanelli, A.; et al. Status of faecal pollution in ports: A basin-wide investigation in the Adriatic Sea. Mar. Pollut. Bull. 2019, 147, 219–228. [Google Scholar] [CrossRef]
- Mcarthur, D.P.; Osland, L. Ships in a city harbour: An economic valuation of atmospheric emissions. Transp. Res. Part D Transp. Environ. 2013, 21, 7–52. [Google Scholar] [CrossRef]
- Chen, J.; Zheng, T.; Garg, A.; Xu, L.; Li, S.; Fei, Y. Alternative Maritime Power application as a green port strategy: Barriers in China. J. Clean. Prod. 2019, 213, 825–837. [Google Scholar] [CrossRef]
- Wan, C.; Zhang, D.; Yan, X.; Yang, Z. A novel model for the quantitative evaluation of green port development–A case study of major ports in China. Transp. Res. Part D Transp. Environ. 2018, 61, 431–443. [Google Scholar] [CrossRef]
- Ballini, F.; Bozzo, R. Air pollution from ships in ports: The socio-economic benefit of cold-ironing technology. Res. Transp. Bus. Manag. 2015, 17, 92–98. [Google Scholar] [CrossRef]
- Homsombat, W.; Yip, T.L.; Yang, H.; Fu, X. Regional cooperation and management of port pollution. Marit. Policy Manag. 2013, 40, 451–466. [Google Scholar] [CrossRef]
- Daamen, T.A.; Vries, I. Governing the European port–city interface: Institutional impacts on spatial projects between city and port. J. Transp. Geogr. 2013, 27, 4–13. [Google Scholar] [CrossRef]
- Poulsen, R.T.; Ponte, S.; Sornn-Friese, H. Environmental upgrading in global value chains: The potential and limitations of ports in the greening of maritime transport. Geoforum 2018, 89, 83–95. [Google Scholar] [CrossRef]
- Carpenter, A.; Lozano, R.; Sammalisto, K.; Astner, L. Securing a port’s future through Circular Economy: Experiences from the Port of Gävle in contributing to sustainability. Mar. Pollut. Bull. 2018, 128, 539–547. [Google Scholar] [CrossRef]
- Puig, M.; Wooldridge, C.; Michail, A.; Darbra, R.M. Current status and trends of the environmental performance in European ports. Environ. Sci. Policy 2015, 48, 57–66. [Google Scholar] [CrossRef]
- Lam, J.S.; Li, K.X. Green port marketing for sustainable growth and development. Transp. Policy 2019, 84, 73–81. [Google Scholar] [CrossRef]
- Seguí, X.; Puig, M.; Quintieri, E.; Wooldridge, C.; Darbra, R.M. New environmental performance baseline for inland ports: A benchmark for the European inland port sector. Environ. Sci. Policy 2016, 58, 29–40. [Google Scholar] [CrossRef]
- Chen, J.; Huang, T.; Xie, X.; Lee, P.T.W.; Hua, C. Constructing Governance Framework of a Green and Smart Port. J. Mar. Sci. Eng. 2019, 7, 83. [Google Scholar] [CrossRef]
- Acciaro, M.; Vanelslander, T.; Sys, C.; Ferrari, C.; Roumboutsos, A.; Giuliano, G.; Kapros, S. Environmental sustainability in seaports: A framework for successful innovation. Marit. Policy Manag. 2014, 41, 480–500. [Google Scholar] [CrossRef]
- Vejvar, M.; Lai, K.; Lo, C.K.Y.; Fürst, E.W. Strategic responses to institutional forces pressuring sustainability practice adoption: Case-based evidence from inland port operations. Transp. Res. Part D Transp. Environ. 2018, 61, 274–288. [Google Scholar] [CrossRef]
- Woo, J.K.; Moon, D.S.; Lam, J.S. The impact of environmental policy on ports and the associated economic opportunities. Transp. Res. Part A Policy Pract. 2018, 110, 234–242. [Google Scholar] [CrossRef]
- Lam, J.S.; Notteboom, T. The greening of ports: A comparison of port management tools used by leading ports in Asia and Europe. Transp. Rev. 2014, 34, 169–189. [Google Scholar] [CrossRef]
- Schipper, C.A.; Vreugdenhil, H.; DeJong, M.P. A sustainability assessment of ports and port-city plans: Comparing ambitions with achievements. Transp. Res. Part D Transp. Environ. 2017, 57, 84–111. [Google Scholar] [CrossRef]
- Yang, Y.C.; Chen, S.L. Determinants of global logistics hub ports: Comparison of the port development policies of Taiwan, Korea, and Japan. Transp. Policy 2016, 45, 179–189. [Google Scholar] [CrossRef]
- Mjelde, A.; Endresen, Ø.; Bjørshol, E.; Gierløff, C.W.; Husby, E.; Solheim, J.; Mjøs, N.; Eide, M.S. Differentiating on port fees to accelerate the green maritime transition. Mar. Pollut. Bull. 2019, 149, 110561. [Google Scholar] [CrossRef]
- Tseng, P.; Pilcher, N. Evaluating the key factors of green port policies in Taiwan through quantitative and qualitative approaches. Transp. Policy 2019, 82, 127–137. [Google Scholar] [CrossRef]
- Saeed, N.; Larsen, O.I. Container terminal concessions: A game theory application to the case of the ports of Pakistan. Marit. Econ. Logist. 2010, 12, 237–262. [Google Scholar] [CrossRef]
- Kaysi, I.; Nehme, N. Optimal investment strategy in a container terminal: A game theoretic approach. Marit. Econ. Logist. 2016, 18, 250–263. [Google Scholar] [CrossRef]
- Khanizad, R.; Montazer, G. Participation against competition in banking markets based on cooperative game theory. J. Financ. Data Sci. 2018, 4, 16–28. [Google Scholar] [CrossRef]
- Álvarez, X.; Gómez-Rúa, M.; Vidal-Puga, J. River flooding risk prevention: A cooperative game theory approach. J. Environ. Manag. 2019, 248, 109284. [Google Scholar] [CrossRef]
- Csercsik, D.; Hubert, F.; Sziklai, B.R.; Kóczy, L.Á. Modeling transfer profits as externalities in a cooperative game-theoretic model of natural gas networks. Energy Econ. 2019, 80, 355–365. [Google Scholar] [CrossRef]
- Song, D.P.; Lyons, A.; Li, D.; Sharifi, H. Modeling port competition from a transport chain perspective. Transp. Res. Part E Logist. Transp. Rev. 2016, 87, 75–96. [Google Scholar] [CrossRef]
- Talley, W.K.; Ng, M.W. Port economic cost functions: A service perspective. Transp. Res. Part E Logist. Transp. Rev. 2016, 88, 1–10. [Google Scholar] [CrossRef]
- Chang, Y.T.; Park, H.K.; Lee, S.; Kim, E. Have emission control areas (ecas) harmed port efficiency in europe? Transp. Res. Part D Transp. Environ. 2018, 58, 39–53. [Google Scholar] [CrossRef]
- Fan, K.; Hui, E.C.M. Evolutionary game theory analysis for understanding the decision-making mechanisms of governments and developers on green building incentives. Build. Environ. 2020, 179, 106972. [Google Scholar] [CrossRef]
- Wan, X.L.; Qie, X.Q. Poverty alleviation ecosystem evolutionary game on smart supply chain platform under the government financial platform incentive mechanism. J. Comput. Appl. Math. 2020, 372, 112595. [Google Scholar] [CrossRef]
- Nielsen, I.E.; Majumder, S.; Sana, S.S.; Saha, S. Comparative analysis of government incentives and game structures on single and two-period green supply chain. J. Clean. Prod. 2019, 235, 1371–1398. [Google Scholar] [CrossRef]
- Xi, X.; Zhang, J. Complexity analysis of a decision-making game concerning governments and heterogeneous agricultural enterprises with bounded rationality. Chaos Solitons Fractals 2020, 140, 110220. [Google Scholar] [CrossRef]
- Jiang, B.; Wang, X.; Xue, H.; Li, J.; Gong, Y. An evolutionary game model analysis on emission control areas in China. Mar. Policy 2020, 118, 104010. [Google Scholar] [CrossRef]
- Gao, X.; Shen, J.; He, W.; Sun, F.; Zhang, Z.; Guo, W.; Zhang, X.; Kong, Y. An evolutionary game analysis of governments’ decision-making behaviors and factors influencing watershed ecological compensation in china. J. Environ. Manag. 2019, 251, 109592. [Google Scholar] [CrossRef]
- Friedman, D. Evolutionary Games in Economics. Econometrica 1991, 59, 637–666. [Google Scholar] [CrossRef]
- Zhang, M.; Li, H.; Xue, L.; Wang, W. Using three-sided dynamic game model to study regional cooperative governance of haze pollution in China from a government heterogeneity perspective. Sci. Total Environ. 2019, 12, 694. [Google Scholar] [CrossRef]
- Zhang, N.; Zhang, X.; Yang, Y. The behavior mechanism of the urban joint distribution alliance under government supervision from the perspective of sustainable development. Sustainability 2019, 11, 6232. [Google Scholar] [CrossRef]












| Participants | Parameter Hypothesis | Interpretation | Literature Review |
|---|---|---|---|
| Port H | cp1 | The port cost of increasing investment in the construction of green intelligent ports | [9,10,19,38] |
| cp2 | The port cost of not increasing investment in the construction of green intelligent ports | [20,38] | |
| zp1 | The cost of port management after increasing investment in green intelligent construction | [11,12,39] | |
| zp2 | The cost of port management when the port does not increase investment in green intelligent construction | [14,16,39] | |
| sp1 | The performance income after green intelligent construction investment | [28,32,40] | |
| sp2 | The performance income after not increasing investment in green intelligent ports | [29,34,40] | |
| e | Losses such as governance costs when a third-party organization conducts an evaluation and the port fails to meet government standards | [14,30,46] | |
| m3 | The obtained social reputation when the third-party organization conducts an evaluation and finds that the port increased its investment | [15,45] | |
| Government G | cg | Cost invested by the government in green intelligent port supervision | [4,18,26,44] |
| b | The government’s financial subsidy when the port increased investment in green intelligent construction | [41,42,43] | |
| p | The port’s fine when the port fails to meet the government’s standards | [8,30,45] | |
| zg | The additional cost for the government when a port does not increase investment in green intelligent construction | [27,31,44] | |
| sg1 | Green benefits and superior rewards resulting from port increases and government supervision | [7,21,23,46] | |
| sg2 | When the government does not supervise, the government’s green benefits resulting from the port’s increasing investment in green intelligent construction | [22,24,46] | |
| m1 | The subsidies from the government when the third-party organizations conduct an evaluation | [41,42,43] | |
| The third-party organization T | cf | The cost of evaluation by a third-party organization | [4,18], [45] |
| sf | Social funding received when a third-party organization conducts an evaluation | [15,25] | |
| m2 | The reward when a third-party organization conducts an evaluation, the government supervises, and the port meets the government’s standards | [7,23,46] | |
| r | The amount of government funding reduced when the third-party organization does not conduct an evaluation and the port does not meet the standards | [13,34,41] |
| Participants and Strategies of the Game | Port H | ||
|---|---|---|---|
| Increase in Green Intelligent Investment (x) | No Increase in Green Intelligent Investment (1−x) | ||
| Government G | Adopt supervised behavior (y) | λ1 + b + m3, −cg + sg1− b − m1 − m2 | λ2−p − e, −cg− zg + p − m1 |
| Adopt unsupervised behavior (1−y) | λ1+ m3, sg2−m1 | λ2−e, −zg−m1 | |
| Participants and Strategies of the Game | Port H | ||
|---|---|---|---|
| Increase in Green Intelligent Investment (x) | No Increase in Green Intelligent Investment (1−x) | ||
| Government G | Adopt supervised behavior (y) | λ1+ b, −cg + sg1−b | λ2−p, −cg−zg + p + r |
| Adopt unsupervised behavior (1−y) | λ1, sg2 | λ2, −zg | |
| Participants and Strategies of the Game | Third-Party Organization T | ||
|---|---|---|---|
| Conducts Evaluation (z) | Does not Conduct Evaluation (1−z) | ||
| Port H Government G | Increase, supervise | —, —, −cf + m1 + sf + m2 | —, —, 0 |
| Increase, not supervise | —, —, −cf + m1 + sf | —, —, 0 | |
| Not increase, supervise | —, —, −cf + m1+ sf | —, —, −r | |
| Not increase, not supervise | —, —, −cf + m1 + sf | —, —, 0 | |
© 2020 by the authors. Licensee MDPI, Basel, Switzerland. This article is an open access article distributed under the terms and conditions of the Creative Commons Attribution (CC BY) license (http://creativecommons.org/licenses/by/4.0/).
Share and Cite
Meng, B.; Kuang, H.; Niu, E.; Li, J.; Li, Z. Research on the Transformation Path of the Green Intelligent Port: Outlining the Perspective of the Evolutionary Game “Government–Port–Third-Party Organization”. Sustainability 2020, 12, 8072. https://doi.org/10.3390/su12198072
Meng B, Kuang H, Niu E, Li J, Li Z. Research on the Transformation Path of the Green Intelligent Port: Outlining the Perspective of the Evolutionary Game “Government–Port–Third-Party Organization”. Sustainability. 2020; 12(19):8072. https://doi.org/10.3390/su12198072
Chicago/Turabian StyleMeng, Bin, Haibo Kuang, Erxuan Niu, Jing Li, and Zhenhui Li. 2020. "Research on the Transformation Path of the Green Intelligent Port: Outlining the Perspective of the Evolutionary Game “Government–Port–Third-Party Organization”" Sustainability 12, no. 19: 8072. https://doi.org/10.3390/su12198072
APA StyleMeng, B., Kuang, H., Niu, E., Li, J., & Li, Z. (2020). Research on the Transformation Path of the Green Intelligent Port: Outlining the Perspective of the Evolutionary Game “Government–Port–Third-Party Organization”. Sustainability, 12(19), 8072. https://doi.org/10.3390/su12198072
