New Market Model with Social and Commercial Tiers for Improved Prosumer Trading in Microgrids
Abstract
1. Introduction
- Climate change. The need to integrate in existing electricity distribution systems renewable energy sources (RES) has led to the development of technologies such as PV panels and wind turbines, whose costs are constantly decreasing. The consumers who choose to install such generation sources become prosumers, which presents a challenge for the current structure of electricity networks. They can create technical difficulties for the Distribution Network Operators (DNOs) in ensuring the energy balance. However, electricity generation at the household level (classically with PV panels on the roof) is a great opportunity for the development of blockchain technology-based architectures, because it capitalizes on the distributed nature of electricity generation with unprecedented efficiency.
- The development of technologies that allow the transition to active distribution networks. The technological solutions refer to the communications and networking components, inverters, bidirectional smart metering systems, energy storage solutions. This evolution allows greater control at network level. Electricity becomes a controllable, storable and easily quantifiable product, suitable for trading through smart contracts.
- The creation of energy communities managed by local energy production cooperatives formed by community members. The microgrids which integrate the blockchain technology can represent a solution for connecting the poorest consumers to cleaner and cheaper energy, but also for energy savings and more responsible and accessible consumption. In some EU member states, European Federation of Renewable Energy Cooperatives (REScoop) have explicitly set social goals, such as reducing energy poverty. They meet those objectives by developing solidarity schemes aimed at lowering the energy bills of vulnerable members, providing them with services and training in reducing consumption. They also use the gains from RES energy generation to increase the living standards of vulnerable and low-income households.
- Simplifying the architecture of the current trading models. The implementation of a blockchain-based prosumer network leads to the elimination of a large number of intermediaries in the electricity trading process.
2. Literature Review
3. Materials and Methods
- The prosumer and consumer selling and buying offers are managed by the local non-profit aggregator using two possible market mechanisms integrated in a blockchain trading system:
- ○
- A primary market built on the blockchain technology, ensuring anonymity and security for the placed orders.
- ○
- A secondary market with a two-tier trading mechanism for minimizing the imbalance between the offers placed in the blockchain system and the actual traded quantities.
- The primary market can use two alternative price-setting methods based on blockchain technology: the ‘first-come-first-served’ (FCFS) method or the merit-order method used in traditional day-ahead markets.
- The secondary market provides two optional trading tiers:
- ○
- The energy poverty mitigation tier, aimed at low-income consumers who otherwise could not afford to participate in the market.
- ○
- The commercial tier, with two options, aimed for expanding the market through crowdsourcing, with two types of consumers: those participating occasionally, in exchange for a fee, and consumers who do not participate directly with offers but are represented (invited) in the market by other consumers.
- For the invite option of the commercial tier, any consumer Ci can acquire electricity from the second market layer only if has signed previously a P2P contract with a specific prosumer Pj.
- The selling price of a prosumer or consumer can vary hourly, but in the paper is set constant for all trading intervals. This approach is modelling the practice used for traditional differentiated tariffs where the peak and night prices are outside the hours when PV panels can generate electricity, and the case where no storage capabilities are installed in the network. Electricity is sold on the market for the surplus intervals, and settlement is performed at the end of each trading interval.
- If the local surplus exceeds the demand traded in the market, the surplus will be sold to the aggregator/market administrator, at regulated tariffs.
- The secondary two-tier market components are optional, but the case study considers all the available options, in order to better demonstrate the advantages of the proposed trading algorithm.
3.1. Input Data for the Local Market
- as actual consumption value measured in [W], when the price is set according to the blockchain priority model, as in [40];
- as a multiple of 100 W for the price setting according to the day-ahead merit order model used in wholesale markets.
- The sum of the buy offers is lower than the aggregated offers placed by the prosumers, i.e., the prosumers need to sell the remaining surplus:
- The buy offer of a consumer i is greater than the actual consumption because of the forecast error or representation model used in the market (multiple of 100 kW).where TCO(h,i) is the quantity of electricity actually traded by the consumer i at hour h, which can be equal to or less than the offer placed on the market.
3.2. The Primary Market
- Consumers place on the market buy offers for the entire consumption at hour h, in order to minimize their electricity bill by attempting to buy the maximum quantity of electricity from the local market, at lower prices, rather than from the main grid, at higher prices.
- Consumers place on the market buy offers determined by forecast techniques using big data analysis or remote sensing techniques.
- At given hours, the total local generation available in the market (sell offers) exceed the total consumption (buy offers).
- If the merit-order method is used, the buy offers are given as multiples of 100 W, while the sell offers are the S(h,i) quantities. This leads to S(h,i) fractions that cannot be fulfilled.
- The consumers place in the market buy offers that exceed their real consumption, following forecast errors or significant accidental deviations from the daily demand pattern.
3.3. The Secondary Market—The Energy Poverty Tier
3.4. The Secondary Market—The Commercial Tier
- Option 1: Fee access.
- Option 2: Invite access.
4. Results
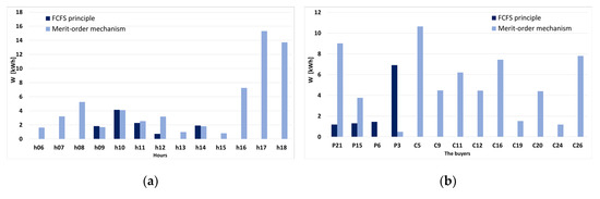
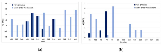
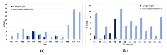
4.1. The Primary Market
4.2. The Secondary Market—The Energy Poverty Mitigation Tier
4.3. The Secondary Market—The Commercial Tariff Access Tier
4.4. The Secondary Market—The Commercial Invite Access Tier
5. Discussion
6. Conclusions
- The reduction of electricity quantities traded back to the grid (at lower prices) for prosumers;
- The reduction of electricity costs for consumers, brought by acquiring cheaper electricity from the local prosumers;
- The increase of profits for prosumers, by selling larger quantities to local consumers, at higher prices than the regulated tariff used to sell back to the grid. This can also be seen as an incentive for increasing sustainable electricity generation from renewable resources;
- The energy poverty mitigation for some consumers, an aspect regarding economic and social sustainability.
7. Patents
Author Contributions
Funding
Acknowledgments
Conflicts of Interest
Abbreviations
| ADMM | Alternating Direction Method of Multipliers |
| ADN | Active Distribution Network |
| AEA | Active Energy Agent |
| ANRE | Romanian Energy Regulatory Authority |
| C | Consumers/Consumption Quantity |
| CO | Consumption Offers |
| COP | Consumer Offers Price |
| DM | Demurrage Mechanism |
| DNOs | Distribution Network Operators |
| DR | Demand Response |
| EU | European Union |
| f% | fee added to the price resulting from trading mechanism |
| FCFS | First-Come-First-Served |
| G | Generation Quantity |
| GO | Generation Offers |
| HEM | Home Energy Management |
| kWh | kilowatt-hours |
| LEM | Local Electricity Market |
| LV | Low Voltage |
| MCP | Market Clearing Price |
| MEP | Multiple Energy Prosumers |
| MO | Merit-order |
| mu | Monetary units |
| NC | Total Number of Consumers |
| NCM | Number of Consumers participating in the Market |
| NP | Total Number of Prosumers |
| NPM | Number of Prosumers participating in the Market |
| P | Prosumer/Price |
| P2P | Peer-to-Peer |
| PCO | Price of Consumption Offers |
| PGO | Price of Generation Offers |
| PM | Primary Market |
| POP | Prosumer Offers Price |
| PoW | Proof-of-Work |
| PV | Photovoltaic |
| REScoop | European Federation of Renewable Energy Cooperatives |
| S | Surplus |
| SM | Secondary Market |
| SSRES | Small-Scale Renewable Energy Sources |
| TC | The Maximum Amount of Traded Electricity by Consumers |
| TP | Transaction of Prosumers |
| TCO | The Quantity of Electricity Actually Traded |
| WEM | Wholesale Electricity Market |
Appendix A. Input Data for the Primary Market
| Hour | C2 | C3 | C4 | C5 | C6 | C7 | C8 | C9 | C10 |
|---|---|---|---|---|---|---|---|---|---|
| h1 | 0.616 | 2.010 | 0.273 | 0.000 | 1.370 | 2.418 | 1.152 | 1.936 | 0.310 |
| h2 | 0.608 | 1.908 | 0.078 | 0.020 | 1.520 | 2.210 | 1.664 | 1.368 | 0.678 |
| h3 | 0.557 | 2.004 | 0.048 | 0.260 | 1.910 | 2.149 | 2.056 | 1.376 | 0.300 |
| h4 | 0.522 | 2.010 | 0.306 | 0.040 | 1.770 | 2.151 | 2.048 | 2.048 | 0.640 |
| h5 | 0.522 | 1.902 | 0.063 | 0.050 | 1.990 | 2.192 | 1.816 | 1.528 | 0.360 |
| h6 | 0.571 | 2.004 | 0.165 | 0.250 | 2.070 | 2.299 | 1.168 | 2.992 | 0.468 |
| h7 | 0.529 | 1.836 | 0.213 | 0.125 | 2.280 | 2.364 | 0.720 | 3.352 | 0.748 |
| h8 | 0.592 | 1.236 | 0.060 | 4.710 | 2.530 | 2.543 | 1.704 | 2.240 | 3.208 |
| h9 | 0.562 | 1.302 | 0.312 | 1.290 | 1.850 | 2.382 | 1.976 | 2.112 | 2.815 |
| h10 | 0.616 | 1.200 | 0.258 | 0.525 | 1.850 | 2.549 | 1.944 | 2.192 | 1.483 |
| h11 | 0.860 | 1.188 | 0.243 | 2.985 | 1.460 | 2.426 | 1.904 | 2.232 | 4.538 |
| h12 | 0.535 | 1.146 | 0.423 | 1.895 | 1.180 | 2.414 | 1.872 | 2.144 | 3.295 |
| h13 | 0.641 | 1.140 | 0.198 | 4.595 | 1.650 | 2.450 | 2.456 | 2.048 | 3.650 |
| h14 | 0.322 | 1.374 | 0.378 | 0.930 | 1.950 | 2.418 | 2.632 | 2.176 | 5.230 |
| h15 | 0.181 | 1.944 | 0.321 | 0.260 | 1.810 | 2.444 | 1.896 | 2.256 | 4.293 |
| h16 | 0.214 | 1.542 | 0.207 | 0.535 | 2.640 | 2.467 | 2.072 | 2.328 | 3.895 |
| h17 | 0.781 | 2.148 | 0.495 | 2.125 | 2.810 | 2.553 | 2.080 | 2.288 | 3.028 |
| h18 | 0.764 | 1.902 | 0.282 | 1.025 | 2.720 | 2.757 | 2.016 | 2.336 | 1.980 |
| h19 | 0.426 | 1.968 | 0.336 | 0.140 | 3.580 | 3.042 | 2.720 | 2.464 | 1.768 |
| h20 | 0.426 | 1.968 | 0.336 | 0.140 | 3.580 | 3.042 | 2.720 | 2.464 | 1.768 |
| h21 | 0.496 | 1.956 | 0.207 | 0.210 | 5.310 | 3.515 | 2.672 | 3.136 | 3.033 |
| h22 | 0.561 | 1.986 | 0.405 | 0.480 | 5.390 | 3.248 | 2.488 | 1.312 | 5.695 |
| h23 | 0.554 | 1.872 | 0.246 | 0.195 | 4.750 | 3.075 | 2.432 | 1.336 | 4.033 |
| h24 | 0.578 | 1.986 | 0.045 | 0.100 | 3.170 | 2.713 | 2.088 | 1.184 | 1.180 |
| h06–18 | 7.168 | 19.962 | 3.555 | 21.250 | 26.800 | 32.066 | 24.440 | 30.696 | 38.631 |
| Hour | C11 | C12 | C13 | C14 | C15 | C16 | C17 | C18 | C19 |
| h1 | 0.230 | 0.585 | 0.142 | 0.910 | 2.783 | 2.220 | 0.210 | 0.360 | 0.345 |
| h2 | 0.220 | 0.765 | 0.078 | 0.920 | 2.411 | 1.320 | 0.000 | 0.525 | 0.286 |
| h3 | 0.200 | 0.585 | 0.352 | 0.925 | 2.548 | 0.942 | 0.000 | 0.534 | 0.243 |
| h4 | 0.200 | 0.675 | 0.440 | 1.225 | 2.313 | 0.972 | 0.045 | 0.636 | 0.213 |
| h5 | 0.200 | 0.660 | 0.062 | 1.345 | 2.288 | 0.954 | 0.000 | 0.444 | 0.237 |
| h6 | 1.240 | 0.570 | 1.416 | 1.290 | 2.426 | 1.044 | 0.115 | 0.462 | 0.242 |
| h7 | 1.400 | 0.900 | 0.482 | 1.325 | 3.239 | 1.374 | 0.075 | 0.477 | 0.281 |
| h8 | 1.440 | 0.630 | 0.182 | 1.520 | 3.798 | 3.984 | 0.475 | 0.450 | 0.287 |
| h9 | 1.170 | 0.765 | 0.502 | 1.430 | 3.097 | 2.184 | 0.380 | 0.504 | 0.278 |
| h10 | 1.130 | 0.645 | 1.046 | 1.120 | 4.371 | 1.986 | 0.495 | 0.579 | 0.268 |
| h11 | 1.390 | 0.555 | 0.150 | 1.170 | 2.994 | 1.986 | 1.130 | 0.573 | 0.285 |
| h12 | 1.740 | 0.630 | 1.032 | 1.265 | 3.763 | 2.844 | 0.630 | 0.498 | 0.315 |
| h13 | 1.760 | 0.615 | 0.056 | 1.760 | 2.999 | 1.566 | 0.420 | 0.600 | 0.301 |
| h14 | 1.200 | 0.570 | 0.056 | 2.000 | 2.759 | 0.930 | 0.980 | 0.540 | 0.329 |
| h15 | 0.280 | 0.750 | 0.236 | 1.840 | 3.807 | 0.798 | 0.955 | 0.357 | 0.312 |
| h16 | 0.460 | 0.555 | 1.024 | 1.815 | 3.317 | 1.152 | 0.965 | 0.423 | 0.350 |
| h17 | 3.180 | 0.825 | 0.232 | 2.015 | 3.214 | 1.944 | 0.970 | 0.588 | 0.366 |
| h18 | 2.570 | 0.780 | 0.890 | 2.365 | 2.940 | 2.046 | 0.960 | 0.570 | 0.468 |
| h19 | 2.890 | 0.780 | 0.458 | 2.480 | 3.445 | 2.460 | 1.450 | 0.678 | 0.443 |
| h20 | 2.890 | 0.780 | 0.458 | 2.480 | 3.445 | 2.460 | 1.450 | 0.678 | 0.443 |
| h21 | 3.210 | 0.630 | 0.864 | 2.580 | 3.278 | 1.884 | 1.385 | 0.753 | 0.454 |
| h22 | 3.260 | 0.570 | 1.326 | 2.365 | 2.475 | 1.374 | 1.660 | 0.621 | 0.482 |
| h23 | 2.815 | 0.720 | 0.376 | 2.060 | 2.073 | 1.380 | 1.235 | 0.750 | 0.509 |
| h24 | 1.780 | 0.570 | 0.200 | 1.495 | 2.769 | 1.158 | 0.880 | 0.390 | 0.328 |
| h06–18 | 18.960 | 8.790 | 7.304 | 20.915 | 42.724 | 23.838 | 8.550 | 6.621 | 4.082 |
| Hour | C20 | C21 | C22 | C23 | C24 | C25 | C26 | C27 | C28 |
| h1 | 0.973 | 0.636 | 0.790 | 0.049 | 1.266 | 0.384 | 0.248 | 0.024 | 0.973 |
| h2 | 1.013 | 0.484 | 0.780 | 0.056 | 1.194 | 0.384 | 0.296 | 0.000 | 1.013 |
| h3 | 0.733 | 0.448 | 0.730 | 0.749 | 1.056 | 0.388 | 0.260 | 0.000 | 0.733 |
| h4 | 0.453 | 0.460 | 0.920 | 1.148 | 1.032 | 0.392 | 0.292 | 0.000 | 0.453 |
| h5 | 0.680 | 0.520 | 0.800 | 1.148 | 1.014 | 0.400 | 0.208 | 0.000 | 0.680 |
| h6 | 0.773 | 0.512 | 1.340 | 1.148 | 1.020 | 0.396 | 0.356 | 0.192 | 0.773 |
| h7 | 0.980 | 0.428 | 0.960 | 1.946 | 1.122 | 0.376 | 0.700 | 0.140 | 0.980 |
| h8 | 1.560 | 0.368 | 0.270 | 1.393 | 1.116 | 0.352 | 0.336 | 0.152 | 1.560 |
| h9 | 1.580 | 0.408 | 0.420 | 1.596 | 1.110 | 0.356 | 0.144 | 0.000 | 1.580 |
| h10 | 1.347 | 0.408 | 1.000 | 2.975 | 1.110 | 0.360 | 0.128 | 0.004 | 1.347 |
| h11 | 1.713 | 0.668 | 0.930 | 1.519 | 1.242 | 0.620 | 0.204 | 0.076 | 1.713 |
| h12 | 1.913 | 0.412 | 1.050 | 2.492 | 1.260 | 0.344 | 0.320 | 0.508 | 1.913 |
| h13 | 3.127 | 0.344 | 1.020 | 1.974 | 1.266 | 0.324 | 0.476 | 0.056 | 3.127 |
| h14 | 2.560 | 0.428 | 0.970 | 1.974 | 1.260 | 0.332 | 0.384 | 0.020 | 2.560 |
| h15 | 1.433 | 1.068 | 1.010 | 2.240 | 1.206 | 0.940 | 0.456 | 0.244 | 1.433 |
| h16 | 2.013 | 0.424 | 1.110 | 2.296 | 1.134 | 2.500 | 0.352 | 0.088 | 2.013 |
| h17 | 4.000 | 0.448 | 1.540 | 1.778 | 1.140 | 2.544 | 2.000 | 0.080 | 4.000 |
| h18 | 1.067 | 0.468 | 1.630 | 1.939 | 1.260 | 2.820 | 0.876 | 0.228 | 1.067 |
| h19 | 1.907 | 0.436 | 1.570 | 1.750 | 1.296 | 2.104 | 1.824 | 0.000 | 1.907 |
| h20 | 1.907 | 0.436 | 1.570 | 1.750 | 1.296 | 2.104 | 1.824 | 0.000 | 1.907 |
| h21 | 2.473 | 1.092 | 1.280 | 1.106 | 1.212 | 2.144 | 0.728 | 0.408 | 2.473 |
| h22 | 2.253 | 1.484 | 1.110 | 1.092 | 1.194 | 2.084 | 0.688 | 0.412 | 2.253 |
| h23 | 1.933 | 1.364 | 0.710 | 1.092 | 1.194 | 2.248 | 0.256 | 0.532 | 1.933 |
| h24 | 1.260 | 0.880 | 0.840 | 0.763 | 1.176 | 2.008 | 0.324 | 0.144 | 1.260 |
| h06–18 | 12.900 | 24.066 | 6.384 | 13.250 | 25.270 | 15.246 | 12.264 | 6.732 | 1.788 |
| Hour | P27 | P21 | P7 | P15 | P6 | P3 | P10 | P25 |
|---|---|---|---|---|---|---|---|---|
| h1 | 0 | 0 | 0 | 0 | 0 | 0 | 0 | 0 |
| h2 | 0 | 0 | 0 | 0 | 0 | 0 | 0 | 0 |
| h3 | 0 | 0 | 0 | 0 | 0 | 0 | 0 | 0 |
| h4 | 0 | 0 | 0 | 0 | 0 | 0 | 0 | 0 |
| h5 | 0 | 0 | 0 | 0 | 0 | 0 | 0 | 0 |
| h6 | 0.249 | 2.361 | 2.183 | 4.374 | 2.011 | 2.212 | 1.965 | 4.072 |
| h7 | 0.518 | 2.785 | 2.627 | 4.824 | 2.132 | 2.642 | 2.364 | 4.609 |
| h8 | 1.004 | 3.286 | 3.247 | 5.384 | 2.357 | 3.115 | 2.922 | 4.942 |
| h9 | 1.581 | 3.329 | 3.438 | 5.325 | 2.592 | 3.139 | 3.094 | 5.066 |
| h10 | 1.735 | 3.639 | 3.642 | 5.673 | 2.966 | 3.451 | 3.278 | 5.342 |
| h11 | 1.859 | 3.751 | 3.826 | 5.769 | 3.346 | 3.561 | 3.443 | 5.417 |
| h12 | 1.915 | 3.735 | 3.639 | 5.643 | 3.509 | 3.539 | 3.275 | 5.320 |
| h13 | 1.984 | 3.812 | 3.863 | 5.825 | 3.945 | 3.603 | 3.477 | 5.506 |
| h14 | 1.756 | 3.742 | 3.803 | 5.704 | 3.297 | 3.553 | 3.423 | 5.474 |
| h15 | 1.562 | 3.461 | 3.492 | 5.353 | 2.994 | 3.276 | 3.143 | 4.908 |
| h16 | 0.915 | 2.832 | 2.877 | 4.642 | 2.541 | 2.675 | 2.589 | 4.343 |
| h17 | 0.495 | 2.403 | 2.305 | 4.276 | 2.352 | 2.283 | 2.075 | 4.017 |
| h18 | 0.308 | 2.237 | 2.105 | 4.101 | 1.791 | 2.123 | 1.895 | 3.859 |
| h19 | 0 | 0 | 0 | 0 | 0 | 0 | 0 | 0 |
| h20 | 0 | 0 | 0 | 0 | 0 | 0 | 0 | 0 |
| h21 | 0 | 0 | 0 | 0 | 0 | 0 | 0 | 0 |
| h22 | 0 | 0 | 0 | 0 | 0 | 0 | 0 | 0 |
| h23 | 0 | 0 | 0 | 0 | 0 | 0 | 0 | 0 |
| h24 | 0 | 0 | 0 | 0 | 0 | 0 | 0 | 0 |
| Trading Interval | C5 | C8 | C9 | C11 | C12 | C14 | C16 | C19 | C20 | C24 | C26 |
|---|---|---|---|---|---|---|---|---|---|---|---|
| h6 | 0.30 | 1.10 | 3.20 | 1.30 | 0.60 | 1.20 | 2.00 | 0.20 | 0.50 | 1.20 | 0.50 |
| h7 | 0.40 | 0.80 | 3.40 | 1.40 | 0.80 | 1.30 | 2.00 | 0.30 | 2.10 | 2.00 | 0.40 |
| h8 | 4.10 | 1.70 | 2.10 | 1.30 | 0.60 | 1.40 | 3.50 | 0.30 | 0.60 | 1.50 | 0.40 |
| h9 | 1.50 | 2.00 | 2.20 | 1.00 | 0.80 | 1.50 | 2.00 | 0.20 | 0.40 | 1.60 | 0.40 |
| h10 | 0.80 | 1.90 | 2.10 | 1.00 | 0.80 | 1.10 | 2.00 | 0.30 | 0.40 | 2.80 | 0.40 |
| h11 | 3.20 | 1.90 | 2.20 | 0.90 | 0.60 | 1.20 | 2.00 | 0.30 | 0.30 | 1.50 | 0.60 |
| h12 | 2.00 | 2.00 | 2.10 | 0.00 | 0.60 | 1.30 | 2.00 | 0.30 | 0.50 | 2.40 | 0.40 |
| h13 | 4.70 | 2.50 | 2.00 | 1.50 | 0.70 | 1.80 | 1.80 | 0.30 | 0.70 | 2.00 | 0.30 |
| h14 | 1.10 | 2.40 | 2.20 | 1.20 | 0.70 | 2.00 | 1.00 | 0.30 | 0.60 | 2.00 | 0.30 |
| h15 | 0.60 | 2.10 | 2.20 | 0.70 | 0.80 | 1.80 | 1.00 | 0.30 | 1.30 | 2.20 | 1.00 |
| h16 | 0.60 | 2.20 | 2.30 | 0.70 | 0.70 | 1.90 | 1.00 | 0.40 | 1.20 | 2.30 | 2.50 |
| h17 | 2.60 | 2.40 | 2.40 | 2.50 | 0.70 | 2.10 | 1.50 | 0.40 | 1.60 | 1.80 | 2.50 |
| h18 | 1.30 | 2.30 | 2.50 | 3.00 | 0.90 | 2.20 | 2.00 | 0.50 | 1.60 | 1.90 | 2.80 |
| Trading Interval | C5 | C8 | C9 | C11 | C12 | C14 | C16 | C19 | C20 | C24 | C26 |
|---|---|---|---|---|---|---|---|---|---|---|---|
| h6–h18 | 0.45 | 0.6 | 0.55 | 0.52 | 0.48 | 0.6 | 0.49 | 0.39 | 0.55 | 0.57 | 0.5 |
| Trading Interval | P27 | P21 | P7 | P15 | P6 | P3 | P10 | P25 |
|---|---|---|---|---|---|---|---|---|
| h6–h18 | 0.43 | 0.55 | 0.4 | 0.48 | 0.43 | 0.47 | 0.42 | 0.43 |
Appendix B. Data for the Energy Poverty Mitigation Market
| Hour | P21 | P7 | P15 | P6 | P3 | Total |
|---|---|---|---|---|---|---|
| h06 | 0 | 0 | 0 | 0 | 0 | 0 |
| h07 | 0 | 0 | 0 | 0 | 0 | 0 |
| h08 | 0 | 0 | 0 | 0 | 0 | 0 |
| h09 | 0 | 0 | 0 | 0 | 1.815 | 1.815 |
| h10 | 0 | 0 | 1.302 | 0 | 2.840 | 4.142 |
| h11 | 0 | 0 | 0 | 0 | 2.345 | 2.345 |
| h12 | 0 | 0 | 0 | 1.241 | 0 | 1.241 |
| h13 | 0 | 0 | 0 | 0 | 0 | 0 |
| h14 | 1.182 | 0 | 0 | 0.739 | 0 | 1.921 |
| h15 | 0 | 0.113 | 0 | 0 | 0 | 0.113 |
| h16 | 0 | 0 | 0 | 0 | 0 | 0 |
| h17 | 0 | 0 | 0 | 0 | 0 | 0 |
| h18 | 0 | 0 | 0 | 0 | 0 | 0 |
| Total | 1.182 | 0.113 | 1.302 | 1.980 | 7.000 | 11.576 |
| Hour | P21 | P15 | P3 | C5 | C9 | C11 | C12 | C16 | C19 | C20 | C24 | C26 | Total |
|---|---|---|---|---|---|---|---|---|---|---|---|---|---|
| h06 | 0 | 0 | 0 | 0.300 | 0 | 0 | 0.600 | 0.708 | 0.200 | 0 | 0 | 0 | 1.808 |
| h07 | 0 | 0 | 0 | 0.400 | 0 | 0 | 0.800 | 1.838 | 0.300 | 0 | 0 | 0 | 3.338 |
| h08 | 0 | 0 | 0 | 4.100 | 0 | 0 | 0.600 | 0.397 | 0.300 | 0 | 0 | 0 | 5.397 |
| h09 | 1.682 | 0 | 0 | 0 | 0 | 0 | 0 | 0 | 0 | 0 | 0 | 0 | 1.682 |
| h10 | 2.292 | 1.302 | 0.493 | 0 | 0 | 0 | 0 | 0 | 0 | 0 | 0 | 0 | 4.087 |
| h11 | 2.038 | 0.563 | 0 | 0 | 0 | 0 | 0 | 0 | 0 | 0 | 0 | 0 | 2.601 |
| h12 | 1.822 | 1.860 | 0 | 0 | 0 | 0 | 0 | 0 | 0 | 0 | 0 | 0 | 3.682 |
| h13 | 0 | 0 | 0 | 0.746 | 0 | 0 | 0 | 0 | 0.3 | 0 | 0 | 0 | 1.046 |
| h14 | 1.182 | 0.641 | 0 | 0 | 0 | 0 | 0 | 0 | 0 | 0 | 0 | 0 | 1.823 |
| h15 | 0 | 0 | 0 | 0.600 | 0 | 0 | 0.155 | 0 | 0.300 | 0 | 0 | 0 | 1.055 |
| h16 | 0 | 0 | 0 | 0.600 | 0.241 | 0.700 | 0.700 | 1 | 0.400 | 1.200 | 0 | 2.500 | 7.341 |
| h17 | 0 | 0 | 0 | 2.600 | 2.400 | 2.500 | 0.700 | 1.5 | 0.400 | 1.600 | 1.181 | 2.500 | 15.381 |
| h18 | 0 | 0 | 0 | 1.300 | 1.835 | 3.000 | 0.900 | 2 | 0.500 | 1.600 | 0 | 2.800 | 13.935 |
| Total | 9.016 | 4.366 | 0.493 | 10.646 | 4.476 | 6.200 | 4.455 | 7.443 | 2.700 | 4.400 | 1.181 | 7.800 | 63.176 |
| Hour | P21 | P7 | P15 | P6 | P3 | Total |
|---|---|---|---|---|---|---|
| h06 | 0 | 0 | 0 | 0 | 0 | 0 |
| h07 | 0 | 0 | 0 | 0 | 0 | 0 |
| h08 | 0 | 0 | 0 | 0 | 0 | 0 |
| h09 | 0 | 0 | 0 | 0 | 0 | 0 |
| h10 | 0 | 0 | 0 | 0 | 0.004 | 0.004 |
| h11 | 0 | 0 | 0 | 0 | 0.076 | 0.076 |
| h12 | 0 | 0 | 0 | 0.508 | 0 | 0.508 |
| h13 | 0 | 0 | 0 | 0 | 0 | 0 |
| h14 | 0 | 0 | 0 | 0.020 | 0 | 0.020 |
| h15 | 0 | 0.113 | 0 | 0 | 0 | 0.113 |
| h16 | 0 | 0 | 0 | 0 | 0 | 0 |
| h17 | 0 | 0 | 0 | 0 | 0 | 0 |
| h18 | 0 | 0 | 0 | 0 | 0 | 0 |
| Total | 0 | 0.113 | 0 | 0.528 | 0.08 | 0.721 |
| Hour | P21 | P15 | P3 | C5 | C9 | C11 | C12 | C16 | C19 | C20 | C24 | C26 | Total |
|---|---|---|---|---|---|---|---|---|---|---|---|---|---|
| h06 | 0 | 0 | 0 | 0 | 0 | 0 | 0 | 0 | 0.192 | 0 | 0 | 0 | 0.192 |
| h07 | 0 | 0 | 0 | 0 | 0 | 0 | 0 | 0 | 0.140 | 0 | 0 | 0 | 0.140 |
| h08 | 0 | 0 | 0 | 0 | 0 | 0 | 0 | 0 | 0.152 | 0 | 0 | 0 | 0.152 |
| h09 | 0 | 0 | 0 | 0 | 0 | 0 | 0 | 0 | 0 | 0 | 0 | 0 | 0 |
| h10 | 0 | 0 | 0.004 | 0 | 0 | 0 | 0 | 0 | 0 | 0 | 0 | 0 | 0.004 |
| h11 | 0 | 0.076 | 0 | 0 | 0 | 0 | 0 | 0 | 0 | 0 | 0 | 0 | 0.076 |
| h12 | 0 | 0.508 | 0 | 0 | 0 | 0 | 0 | 0 | 0 | 0 | 0 | 0 | 0.508 |
| h13 | 0 | 0 | 0 | 0 | 0 | 0 | 0 | 0 | 0.056 | 0 | 0 | 0 | 0.056 |
| h14 | 0 | 0.020 | 0 | 0 | 0 | 0 | 0 | 0 | 0 | 0 | 0 | 0 | 0.020 |
| h15 | 0 | 0 | 0 | 0 | 0 | 0 | 0 | 0 | 0.244 | 0 | 0 | 0 | 0.244 |
| h16 | 0 | 0 | 0 | 0 | 0 | 0 | 0 | 0 | 0.088 | 0 | 0 | 0 | 0.088 |
| h17 | 0 | 0 | 0 | 0 | 0 | 0 | 0 | 0 | 0.080 | 0 | 0 | 0 | 0.080 |
| h18 | 0 | 0 | 0 | 0 | 0 | 0 | 0 | 0 | 0.228 | 0 | 0 | 0 | 0.228 |
| Total | 0 | 0.604 | 0.004 | 0 | 0 | 0 | 0 | 0 | 1.180 | 0 | 0 | 0 | 1.788 |
Appendix C. Data for the Commercial Secondary Market, Fee-Access Method
| Hour | P21 | P15 | P6 | P3 | Total |
|---|---|---|---|---|---|
| h06 | 0 | 0 | 0 | 0 | 0 |
| h07 | 0 | 0 | 0 | 0 | 0 |
| h08 | 0 | 0 | 0 | 0 | 0 |
| h09 | 0 | 0 | 0 | 1.815 | 1.815 |
| h10 | 0 | 1.302 | 0 | 2.836 | 4.138 |
| h11 | 0 | 0 | 0 | 2.269 | 2.269 |
| h12 | 0 | 0 | 0.733 | 0 | 0.733 |
| h13 | 0 | 0 | 0 | 0 | 0 |
| h14 | 1.182 | 0 | 0.719 | 0 | 1.901 |
| h15 | 0 | 0 | 0 | 0 | 0 |
| h16 | 0 | 0 | 0 | 0 | 0 |
| h17 | 0 | 0 | 0 | 0 | 0 |
| h18 | 0 | 0 | 0 | 0 | 0 |
| Total | 1.182 | 1.302 | 1.452 | 6.920 | 10.855 |
| Vendor | P21 | P15 | P3 | C5 | C9 | C11 | C12 | C16 | C19 | C20 | C24 | C26 | Total |
|---|---|---|---|---|---|---|---|---|---|---|---|---|---|
| h06 | 0 | 0 | 0 | 0.300 | 0 | 0 | 0.600 | 0.708 | 0.008 | 0 | 0 | 0 | 1.616 |
| h07 | 0 | 0 | 0 | 0.400 | 0 | 0 | 0.800 | 1.838 | 0.160 | 0 | 0 | 0 | 3.198 |
| h08 | 0 | 0 | 0 | 4.100 | 0 | 0 | 0.600 | 0.397 | 0.148 | 0 | 0 | 0 | 5.245 |
| h09 | 1.682 | 0 | 0 | 0 | 0 | 0 | 0 | 0 | 0 | 0 | 0 | 0 | 1.682 |
| h10 | 2.292 | 1.302 | 0.489 | 0 | 0 | 0 | 0 | 0 | 0 | 0 | 0 | 0 | 4.083 |
| h11 | 2.038 | 0.487 | 0 | 0 | 0 | 0 | 0 | 0 | 0 | 0 | 0 | 0 | 2.525 |
| h12 | 1.822 | 1.352 | 0 | 0 | 0 | 0 | 0 | 0 | 0 | 0 | 0 | 0 | 3.174 |
| h13 | 0 | 0 | 0 | 0.746 | 0 | 0 | 0 | 0 | 0.244 | 0 | 0 | 0 | 0.990 |
| h14 | 1.182 | 0.621 | 0 | 0 | 0 | 0 | 0 | 0 | 0 | 0 | 0 | 0 | 1.803 |
| h15 | 0 | 0 | 0 | 0.600 | 0 | 0 | 0.155 | 0 | 0.056 | 0 | 0 | 0 | 0.811 |
| h16 | 0 | 0 | 0 | 0.600 | 0.241 | 0.700 | 0.700 | 1.000 | 0.312 | 1.200 | 0 | 2.500 | 7.253 |
| h17 | 0 | 0 | 0 | 2.600 | 2.400 | 2.500 | 0.700 | 1.500 | 0.320 | 1.600 | 1.181 | 2.500 | 15.301 |
| h18 | 0 | 0 | 0 | 1.300 | 1.835 | 3.000 | 0.900 | 2.000 | 0.272 | 1.600 | 0 | 2.800 | 13.707 |
| Total | 9.016 | 3.762 | 0.489 | 10.646 | 4.476 | 6.200 | 4.455 | 7.443 | 1.520 | 4.400 | 1.181 | 7.800 | 61.388 |
| Hour | 21 | 15 | 6 | 3 | Total |
|---|---|---|---|---|---|
| h06 | 0 | 0 | 0 | 0 | 0 |
| h07 | 0 | 0 | 0 | 0 | 0 |
| h08 | 0 | 0 | 0 | 0 | 0 |
| h09 | 0 | 0 | 0 | 1.386 | 1.386 |
| h10 | 0 | 0 | 0 | 2.120 | 2.120 |
| h11 | 0 | 0 | 0 | 1.853 | 1.853 |
| h12 | 0 | 0 | 0.733 | 0 | 0.733 |
| h13 | 0 | 0 | 0 | 0 | 0 |
| h14 | 0.858 | 0 | 0.719 | 0 | 1.576 |
| h15 | 0 | 0 | 0 | 0 | 0 |
| h16 | 0 | 0 | 0 | 0 | 0 |
| h17 | 0 | 0 | 0 | 0 | 0 |
| h18 | 0 | 0 | 0 | 0 | 0 |
| Total | 0.858 | 0 | 1.452 | 5.359 | 7.668 |
| Hour | P21 | P15 | P3 | C5 | C9 | C11 | C12 | C16 | C19 | C20 | C24 | C26 | Total |
|---|---|---|---|---|---|---|---|---|---|---|---|---|---|
| h06 | 0 | 0 | 0 | 0.300 | 0 | 0 | 0.600 | 0.708 | 0.008 | 0 | 0 | 0 | 1.616 |
| h07 | 0 | 0 | 0 | 0.400 | 0 | 0 | 0.474 | 0 | 0.160 | 0 | 0 | 0 | 1.034 |
| h08 | 0 | 0 | 0 | 0.959 | 0 | 0 | 0 | 0 | 0.148 | 0 | 0 | 0 | 1.107 |
| h09 | 1.386 | 0 | 0 | 0 | 0 | 0 | 0 | 0 | 0 | 0 | 0 | 0 | 1.386 |
| h10 | 0.329 | 1.302 | 0.489 | 0 | 0 | 0 | 0 | 0 | 0 | 0 | 0 | 0 | 2.120 |
| h11 | 1.366 | 0.487 | 0 | 0 | 0 | 0 | 0 | 0 | 0 | 0 | 0 | 0 | 1.853 |
| h12 | 0.808 | 1.352 | 0 | 0 | 0 | 0 | 0 | 0 | 0 | 0 | 0 | 0 | 2.160 |
| h13 | 0 | 0 | 0 | 0.746 | 0 | 0 | 0 | 0 | 0.244 | 0 | 0 | 0 | 0.990 |
| h14 | 0.955 | 0.621 | 0 | 0 | 0 | 0 | 0 | 0 | 0 | 0 | 0 | 0 | 1.576 |
| h15 | 0 | 0 | 0 | 0.600 | 0 | 0 | 0.155 | 0 | 0.056 | 0 | 0 | 0 | 0.811 |
| h16 | 0 | 0 | 0 | 0.600 | 0 | 0 | 0.700 | 0.8 | 0.312 | 0 | 0 | 0 | 2.412 |
| h17 | 0 | 0 | 0 | 1.470 | 0 | 0 | 0 | 0 | 0.320 | 0 | 0 | 0 | 1.790 |
| h18 | 0 | 0 | 0 | 1.300 | 0 | 0 | 0.848 | 0 | 0.272 | 0 | 0 | 0 | 2.420 |
| Total | 4.844 | 3.762 | 0.489 | 6.375 | 0 | 0 | 2.777 | 1.508 | 1.520 | 0 | 0 | 0 | 21.275 |
| Hour | C13 | C17 | C18 | Total |
|---|---|---|---|---|
| h06 | 0 | 0 | 0 | 0 |
| h07 | 0 | 0 | 0 | 0 |
| h08 | 0 | 0 | 0 | 0 |
| h09 | 0.502 | 0.380 | 0.504 | 1.386 |
| h10 | 1.046 | 0.495 | 0.579 | 2.120 |
| h11 | 0.150 | 1.130 | 0.573 | 1.853 |
| h12 | 0.733 | 0 | 0 | 0.733 |
| h13 | 0 | 0 | 0 | 0 |
| h14 | 0.056 | 0.980 | 0.540 | 1.576 |
| h15 | 0 | 0 | 0 | 0 |
| h16 | 0 | 0 | 0 | 0 |
| h17 | 0 | 0 | 0 | 0 |
| h18 | 0 | 0 | 0 | 0 |
| Total | 2.487 | 2.985 | 2.196 | 7.668 |
| Hour | C13 | C17 | C18 | Total |
|---|---|---|---|---|
| h06 | 1.416 | 0 | 0.200 | 1.616 |
| h07 | 0.482 | 0.075 | 0.477 | 1.034 |
| h08 | 0.182 | 0.475 | 0.450 | 1.107 |
| h09 | 0.502 | 0.380 | 0.504 | 1.386 |
| h10 | 1.046 | 0.495 | 0.579 | 2.120 |
| h11 | 0.150 | 1.130 | 0.573 | 1.853 |
| h12 | 1.032 | 0.630 | 0.498 | 2.160 |
| h13 | 0.056 | 0.334 | 0.600 | 0.990 |
| h14 | 0.056 | 0.980 | 0.540 | 1.576 |
| h15 | 0.236 | 0.218 | 0.357 | 0.811 |
| h16 | 1.024 | 0.965 | 0.423 | 2.412 |
| h17 | 0.232 | 0.970 | 0.588 | 1.790 |
| h18 | 0.890 | 0.960 | 0.570 | 2.420 |
| Total | 7.304 | 7.612 | 6.359 | 21.275 |
References
- Agora-Energiewende, European Energy Transition 2030: The Big Picture. Available online: https://www.agora-energiewende.de/fileadmin2/Projekte/2019/EU_Big_Picture/153_EU-Big-Pic_WEB.pdf (accessed on 1 August 2020).
- Saevelect, What Is eDREAM? Available online: https://www.todaysoftmag.ro/article/2469/tehnologia-blockchain (accessed on 1 August 2020).
- Haber, S.; Scott Stornetta, W. How to time-stamp a digital document. J. Cryptol. 1991, 3, 99–111. [Google Scholar] [CrossRef]
- Bayer, D.; Haber, S.; Scott Stornetta, W. Improving the Efficiency and Reliability of Digital Time-Stamping; Capocelli, R., de Santis, A., Vaccaro, U., Eds.; Sequences II; Springer: New York, NY, USA, 1993. [Google Scholar]
- Toth, L.A. Blockchain Technology, Today Software Magazine. Available online: https://www.todaysoftmag.ro/article/2469/tehnologia-blockchain (accessed on 1 August 2020).
- Tradesilvania. Why Use Blockchain Technology? Available online: https://tradesilvania.com/ro/ (accessed on 1 August 2020).
- Stratulat, A.M. Blockchain: A New Paradigm for the Energy System. Available online: https://medium.com/@adrianmihaistratulat/blockchain-o-noua-paradigma-pentru-sistemul-energetic-ac95761b12a2 (accessed on 1 August 2020).
- Unlimited Energy for Energy Communities from Renewable Sources. Available online: http://fiiprosumator.ro/static/brosura-greenpeace-energie-fara-limite.pdf (accessed on 1 August 2020).
- Unguru, M. Blockchain technology: Opportunities for the energy sector. Euro Infor 2018, 2, 53–58. [Google Scholar]
- NewsEnergy, Blockchain Technology and Renewables, the Next “Power Couple”. Available online: https://newsenergy.ro/tehnologia-blockchain-si-regenerabilele-urmatorul-power-couple/ (accessed on 1 August 2020).
- Andoni, M.; Robu, V.; Flynn, D.; Abram, S.; Geach, D.; Jenkins, D.; McCallum, P.; Peacock, A. Blockchain technology in the energy sector: A systematic review of challenges and opportunities. Renew. Sustain. Energy Rev. 2019, 100, 143–174. [Google Scholar] [CrossRef]
- Mika, B.; Goudz, A. Blockchain-technology in the energy industry: Blockchain as a driver of the energy revolution? With focus on the situation in Germany. Energy Syst. 2020. [Google Scholar] [CrossRef]
- PwC Global Power & Utilities, Blockchain an Opportunity for Energy Producers and Consumers? Available online: https://www.pwc.com/gx/en/industries/assets/pwc-blockchain-opportunity-for-energy-producers-and-consumers.pdf (accessed on 1 August 2020).
- Maxim, A.; Mihai, C.; Apostoaie, C.-M.; Popescu, C.; Istrate, C.; Bostan, I. Implications and Measurement of Energy Poverty across the European Union. Sustainability 2016, 8, 483. [Google Scholar] [CrossRef]
- Surowiecki, J. The Wisdom of Crowds; Anchor: San Diego, CA, USA, 2005. [Google Scholar]
- Wang, S.; Taha, A.F.; Wang, J.; Kvaternik, K.; Hahn, A. Energy crowdsourcing and peer-to-peer energy trading in blockchain-enabled smart grids. IEEE Trans. Syst. Man Cybern. B Cybern. 2019, 49, 1612–1623. [Google Scholar] [CrossRef]
- National Regulatory Authority for Energy. The 228 Order for the Approval of the Technical Norm Technical Conditions for Connection to the Public Electrical Networks of the Prosumers; National Regulatory Authority for Energy: Bucharest, Romania, 2018. [Google Scholar]
- Neagu, B.C.; Grigoras, G.; Ivanov, O. An Efficient Peer-to-Peer Based Blokchain Approach for Prosumers Energy Trading in Microgrids. In Proceedings of the International Conference on Modern Power Systems (MPS), Cluj Napoca, Romania, 21–23 May 2019; pp. 1–4. [Google Scholar]
- Mohan, V.; Bu, S.; Jisma, M.; Rijinlal, V.C.; Thirumala, K.; Thomas, M.S.; Xu, Z. Realistic energy commitments in peer-to-peer transactive market with risk adjusted prosumer welfare maximization. Int. J. Electr. Power Energy Syst. 2020, 124, 106377. [Google Scholar] [CrossRef]
- De La Nieta, A.A.S.; Gibescu, M.; Wang, X.; Song, M.; Jensen, E.; Saleem, A.; Bremdal, B.; Ilieva, I. Local economic dispatch with local renewable generation and flexible load management. In Proceedings of the International Conference on Smart Energy Systems and Technologies (SEST), Sevilla, Spain, 10–12 September 2018; pp. 1–6. [Google Scholar]
- Ottesen, S.Ø.; Tomasgard, A.; Fleten, S.-E. Prosumer bidding and scheduling in electricity markets. Energy 2016, 94, 828–843. [Google Scholar] [CrossRef]
- Ferruzzi, G.; Cervone, G.; Delle Monache, L.; Graditi, G.; Jacobone, F. Optimal bidding in a Day-Ahead energy market for Micro Grid under uncertainty in renewable energy production. Energy 2016, 106, 194–202. [Google Scholar] [CrossRef]
- Gregg, J.S.; Nyborg, S.; Hansen, M.; Schwanitz, V.J.; Wierling, A.; Zeiss, J.P.; Delvaux, S.; Saenz, V.; Polo-Alvarez, L.; Candelise, C.; et al. Collective action and social innovation in the energy sector: A mobilization model perspective. Energies 2020, 13, 651. [Google Scholar] [CrossRef]
- Candelise, C.; Ruggieri, G. Status and evolution of the community energy sector in Italy. Energies 2020, 13, 1888. [Google Scholar] [CrossRef]
- Marinakis, V.; Doukas, H.; Koasidis, K.; Albuflasa, H. From intelligent energy management to value economy through a digital energy currency: Bahrain city case study. Sensors 2020, 20, 1456. [Google Scholar] [CrossRef] [PubMed]
- Horstink, L.; Wittmayer, J.M.; Ng, K.; Luz, G.P.; Marín-González, E.; Gährs, S.; Campos, I.; Holstenkamp, L.; Oxenaar, S.; Brown, D. Collective renewable energy prosumers and the promises of the energy union: Taking stock. Energies 2020, 13, 421. [Google Scholar] [CrossRef]
- The First Green Energy Cooperative in Romania Will “Open Its Doors” Soon, Including for Prosumers. Available online: https://newsenergy.ro/prima-cooperativa-de-energie-verde-din-romania-isi-va-deschide-portile-in-curand-inclusiv-pentru-prosumatori/ (accessed on 1 August 2020).
- Son, Y.-B.; Im, J.-H.; Kwon, H.-Y.; Jeon, S.-Y.; Lee, M.-K. Privacy-preserving peer-to-peer energy trading in blockchain-enabled smart grids using functional encryption. Energies 2020, 13, 1321. [Google Scholar] [CrossRef]
- Wang, S.; Taha, A.F.; Wang, J. Blockchain-assisted crowdsourced energy systems. In Proceedings of the IEEE Power & Energy Society General Meeting (PESGM), Porto, Portugal, 9–11 September 2018; pp. 1–5. [Google Scholar]
- Morstyn, T.; Teytelboym, A.; Hepburn, C.; McCulloch, M.D. Integrating P2P Energy Trading with Probabilistic Distribution Locational Marginal Pricing. IEEE Trans. Smart Grid 2019, 11, 3095–3106. [Google Scholar] [CrossRef]
- Fu, M.; Xu, Z.; Wang, N.; Lyu, X.; Xu, W. “Peer-to-Peer Plus” electricity transaction within community of active energy agents regarding distribution network constraints. Energies 2020, 13, 2408. [Google Scholar] [CrossRef]
- Khorasany, M.; Mishra, Y.; Ledwich, G. Design of auction-based approach for market clearing in peer-to-peer market platform. J. Eng. 2019, 4813–4818. [Google Scholar] [CrossRef]
- Khorasany, M.; Azuatalam, D.; Glasgow, R.; Liebman, A.; Razzaghi, R. Transactive energy market for energy management in microgrids: The monash microgrid case study. Energies 2020, 13, 2010. [Google Scholar] [CrossRef]
- Haghifam, S.; Zare, K.; Abapour, M.; Muñoz-Delgado, G.; Contreras, J. A stackelberg game-based approach for transactive energy management in smart distribution networks. Energies 2020, 13, 3621. [Google Scholar] [CrossRef]
- Liu, Z.; Gao, J.; Yu, H.; Wang, X. Operation mechanism and strategies for transactive electricity market with multi-microgrid in grid-connected mode. IEEE Access 2020, 8, 79594–79603. [Google Scholar] [CrossRef]
- Hwang, Y.M.; Sim, I.; Sun, Y.G.; Lee, H.-J.; Kim, J.Y. Game-theory modeling for social welfare maximization in smart grids. Energies 2018, 11, 2315. [Google Scholar] [CrossRef]
- Singh, P.; Talwariya, A.; Kolhe, M. Demand response management in the presence of renewable energy sources using Stackelberg game theory. IOP Conf. Ser. Mater. Sci. Eng. 2019, 605, 012004. [Google Scholar] [CrossRef]
- Arun, S.L.; Selvan, M.P. Prosumer based demand response for profitable power exchange between end-user and utility. In Proceedings of the 2018 20th National Power Systems Conference (NPSC), Iruchirappalli, India, 14–16 December 2018; pp. 1–6. [Google Scholar]
- Liu, T.; Tan, X.; Sun, B.; Wu, Y.; Guan, X.; Tsang, D.H. Energy management of cooperative microgrids with p2p energy sharing in distribution networks. In Proceedings of the 2015 IEEE International Conference on Smart Grid Communications (SmartGridComm), Miami, FL, USA, 2–5 November 2015; pp. 410–415. [Google Scholar]
- Neagu, B.-C.; Ivanov, O.; Grigoras, G.; Gavrilas, M. A new vision on the prosumers energy surplus trading considering smart peer-to-peer contracts. Mathematics 2020, 8, 235. [Google Scholar] [CrossRef]
- Yahaya, A.S.; Javaid, N.; Alzahrani, F.A.; Rehman, A.; Ullah, I.; Shahid, A.; Shafiq, M. Blockchain based sustainable local energy trading considering home energy management and demurrage mechanism. Sustainability 2020, 12, 3385. [Google Scholar] [CrossRef]
- Lovati, M.; Zhang, X.; Huang, P.; Olsmats, C.; Maturi, L. Optimal simulation of three peer to peer (p2p) business models for individual pv prosumers in a local electricity market using agent-based modelling. Buildings 2020, 10, 138. [Google Scholar] [CrossRef]
- Martín, D.; Bordel, B.; Alcarria, R.; Sánchez-Picot, Á.; de Rivera, D.S.; Robles, T. Prosumerization Approach to Semantic Ambient Intelligence Platforms. In Proceedings of the International Conference on Ubiquitous Computing and Ambient Intelligence, Philadelphia, PA, USA, 7–10 November 2017; pp. 109–120. [Google Scholar]
- Parag, Y. Beyond energy efficiency: A prosumer market as an integrated platform for consumer engagement with the energy system. Eur. Counc. Energy Effic. Econ. Summer Study 2015, 1, 15–23. [Google Scholar]
- Bytschkow, D.; Capone, A.; Mayer, J.; Kramer, M.; Licklederer, T. An OPC UA-based Energy Management Platform for Multi-Energy Prosumers in Districts. In Proceedings of the 2019 IEEE PES Innovative Smart Grid Technologies Europe (ISGT-Europe), Bucharest, Romania, 29 September–2 October 2019; pp. 1–5. [Google Scholar]
- Mamounakis, I.; Vergados, D.J.; Makris, P.; Varvarigos, E.; Mavridis, T. A virtual microgrid platform for the efficient orchestration of multiple energy prosumers. In Proceedings of the 19th Panhellenic Conference on Informatics (PCI’15), Athens, Greece, 1–3 October 2015. [Google Scholar]
- Küfeoğlu, S.; Lehtonen, M. Comparison of different models for estimating the residential sector customer interruption costs. Electr. Power Syst. Res. 2015, 122, 50–55. [Google Scholar] [CrossRef]
- Samuel, O.; Almogren, A.; Javaid, A.; Zuair, M.; Ullah, I.; Javaid, N. Leveraging blockchain technology for secure energy trading and least-cost evaluation of decentralized contributions to electrification in Sub-Saharan Africa. Entropy 2020, 22, 226. [Google Scholar] [CrossRef]
- Engeland, K.; Borga, M.; Creutin, J.-D.; François, B.; Ramos, M.-H.; Vidal, J.-P. Space-time variability of climate variables and intermittent renewable electricity production—A review. Renew. Sustain. Energy Rev. 2017, 79, 600–617. [Google Scholar] [CrossRef]
- Etukudor, C.; Couraud, B.; Robu, V.; Früh, W.-G.; Flynn, D.; Okereke, C. Automated negotiation for peer-to-peer electricity trading in local energy markets. Energies 2020, 13, 920. [Google Scholar] [CrossRef]
- Narayanan, A.; Haapaniemi, J.; Kaipia, T.; Partanen, J. Economic impacts of power-based tariffs on peer-to-peer electricity exchange in community microgrids. In Proceedings of the International Conference on the European Energy Market, EEM, Lodz, Poland, 27–29 June 2018. [Google Scholar]
- Kuzemko, C.; Lawrence, A.; Watson, M. New directions in the international political economy of energy. Rev. Int. Polit. Econ. 2019, 26, 1–24. [Google Scholar] [CrossRef]
- Van Leeuwen, G.; AlSkaif, T.; Gibescu, M.; van Sark, W. An integrated blockchain-based energy management platform with bilateral trading for microgrid communities. Appl. Energy 2020, 263, 114613. [Google Scholar] [CrossRef]
- Huang, H.; Nie, S.; Lin, J.; Wang, Y.; Dong, J. Optimization of peer-to-peer power trading in a microgrid with distributed PV and battery energy storage systems. Sustainability 2020, 12, 923. [Google Scholar] [CrossRef]
- Ghaemi, S.; Khazaei, H.; Musilek, P. ChainFaaS: An open blockchain-based serverless platform. IEEE Access 2020, 8, 131760–131778. [Google Scholar] [CrossRef]
- Anthony, B.; Petersen, S.A.; Ahlers, D.; Krogstie, J.; Livik, K. Big data-oriented energy prosumption service in smart community districts: A multi-case study perspective. Energy Inform. 2019, 2, 36. [Google Scholar] [CrossRef]
- Cornélusse, B.; Savelli, I.; Paoletti, S.; Giannitrapani, A.; Vicino, A. A community microgrid architecture with an internal local market. Appl. Energy 2019, 242, 547–560. [Google Scholar] [CrossRef]
- Eisele, S.; Eghtesad, T.; Campanelli, K.; Agrawal, P.; Laszka, A.; Dubey, A. Safe and private forward-trading platform for transactive microgrids. arXiv 2019, arXiv:1910.12579. [Google Scholar]
- Laszka, A.; Eisele, S.; Dubey, A.; Karsai, G.; Kvaternik, K. TRANSAX: A blockchain-based decentralized forward-trading energy exchanged for transactive microgrids. In Proceedings of the 24th International Conference on Parallel and Distributed Systems (ICPADS), Singapore, Singapore, 11–13 December 2018; pp. 918–927. [Google Scholar]
- Li, S.; Lian, J.; Conejo, A.; Zhang, W. Transactive energy system: Market-Based coordination of distributed energy resources. arXiv 2019, arXiv:1908.03641. [Google Scholar]
- Vergados, D.J.; Mamounakis, I.; Makris, P.; Varvarigos, E. Prosumer clustering into virtual microgrids for cost reduction in renewable energy trading markets. Sustain. Energy Grids Netw. 2016, 7, 90–103. [Google Scholar] [CrossRef]
- Cui, S.; Wang, Y.; Xiao, J. Peer-to-Peer energy sharing among smart energy buildings by distributed transaction. IEEE Trans. Smart Grid 2019, 6, 6491–6501. [Google Scholar] [CrossRef]
- Cui, S.; Wang, Y.; Shi, Y.; Xiao, J. A new and fair Peer-to-Peer energy sharing framework for energy buildings. IEEE Trans. Smart Grid 2020, 11, 3817–3826. [Google Scholar] [CrossRef]
- Ghorbanian, M.; Dolatabadi, S.H.; Siano, P.; Kouveliotis-Lysikatos, I.; Hatziargyriou, N.D. Methods for flexible management of blockchain-based cryptocurrencies in electricity markets and smart grids. IEEE Trans. Smart Grid 2020, 11, 4227–4235. [Google Scholar] [CrossRef]
- Praça, I.; Ramos, S.; Andrade, R.; da Silva, A.S.; Sica, E.T. Analysis and simulation of local energy markets. In Proceedings of the 2019 16th International Conference on the European Energy Market (EEM), Ljubljana, Slovenia, 18–20 September 2019; pp. 1–5. [Google Scholar]
- Neves, D.; Scott, I.; Silva, C.A. Peer-to-peer energy trading potential: An assessment for the residential sector under different technology and tariff availabilities. Energy 2020, 205, 118023. [Google Scholar] [CrossRef]
- Almenning, O.M.; Bjarghov, S.; Farahmand, H. Reducing Neighborhood Peak Loads with implicit Peer-to-Peer energy trading under Subscribed Capacity tariffs. In Proceedings of the 2019 International Conference on Smart Energy Systems and Technologies (SEST), Porto, Portugal, 9–11 September 2019; pp. 1–6. [Google Scholar]
- Liang, B.; Liu, W.; Sun, L.; He, Z.; Hou, B. An aggregated model for energy management considering crowdsourcing behaviors of distributed energy resources. IEEE Access 2020, 7, 145757–145766. [Google Scholar] [CrossRef]
- Zepter, J.M.; Lüth, A.; Del Granado, P.C.; Egging, R. Prosumer integration in wholesale electricity markets: Synergies of peer-to-peer trade and residential storage. Energy Build. 2019, 184, 163–176. [Google Scholar] [CrossRef]
- Neagu, B.C.; Gavrilaş, M.; Pentiuc, R.D.; Hopulele, E. Optimal Placement of Energy Storage Systems in Microgrids Using a PSO based Approach. In Proceedings of the 2019 IEEE PES Innovative Smart Grid Technologies Europe (ISGT-Europe), Bucharest, Romania, 29 September–2 October 2019; pp. 1–5. [Google Scholar] [CrossRef]
- Faraji, J.; Ketabi, A.; Hashemi-Dezaki, H. Optimization of the scheduling and operation of prosumers considering the loss of life costs of battery storage systems. J. Energy Storage 2020, 31, 101655. [Google Scholar] [CrossRef]
- All You Need to Know to Become A Prosumer. Available online: https://energyindustryreview.com/renewables/all-you-need-to-know-to-become-a-prosumer/ (accessed on 4 August 2020).
- Neagu, B.C.; Grigoras, G. A Fair Load Sharing Approach Based on Microgrid Clusters and Transactive Energy Concept. In Proceedings of the 12th International Conference on Electronics, Computers and Artificial Intelligence (ECAI 2020), Bucharest, Romania, 25–27 June 2020; pp. 1–5. [Google Scholar]
- Electricity Market Monitoring Report—April 2020. Available online: https://www.anre.ro/en/electric-energy/legislation/electictricity-market-monitoring/2020 (accessed on 4 August 2020).


























| Reference No. | Blockchain | P2P Contracts | Energy Crowdsourcing | REScoop | Energy Poverty | Settlement Procedure |
|---|---|---|---|---|---|---|
| [16,29] | Yes | Yes | Yes | No | No | Negotiated |
| [28] | Yes | Yes | No | Yes | No | Negotiated |
| [24,25,44,49,57] | No | No | No | Yes | No | Negotiated |
| [26,27] | Yes | No | No | Yes | No | Negotiated |
| [30,31,32,35,38,42,56,60,65] | No | Yes | No | No | No | Negotiated or MCP |
| [33,34,36,37,43,45] | No | No | No | No | No | Negotiated |
| [39,46,50,51,69,71] | No | Yes | No | Yes | No | Negotiated or MCP |
| [40,41,54,58,59] | Yes | Yes | No | No | No | Negotiated |
| [53] | Yes | Yes | No | No | Yes | Negotiated |
| [48,55,64] | Yes | No | No | No | No | Negotiated |
| [61,66] | No | No | No | No | Yes | Negotiated or MCP |
| [62,63] | No | Yes | No | No | Yes | Negotiated |
| [68] | No | Yes | Yes | No | No | Negotiated |
| Proposed model | Yes | Yes | Yes | Yes | Yes | Negotiated and MCP |
| Hour | P27 | P21 | P7 | P15 | P6 | P3 | P10 | P25 | Total |
|---|---|---|---|---|---|---|---|---|---|
| h6 | 0.000 | 1.588 | 0.000 | 1.948 | 0.000 | 1.208 | 2.496 | 3.052 | 10.292 |
| h7 | 0.000 | 1.805 | 0.263 | 1.585 | 0.000 | 1.806 | 2.616 | 3.487 | 11.562 |
| h8 | 0.668 | 1.726 | 0.704 | 1.586 | 0.000 | 2.879 | 0.714 | 3.826 | 12.103 |
| h9 | 1.437 | 1.749 | 1.056 | 2.228 | 0.741 | 2.836 | 1.279 | 3.956 | 15.282 |
| h10 | 1.607 | 2.292 | 1.093 | 1.302 | 1.116 | 3.251 | 2.794 | 4.232 | 17.687 |
| h11 | 1.655 | 2.038 | 1.400 | 2.775 | 1.886 | 3.372 | 0.000 | 4.175 | 17.301 |
| h12 | 1.595 | 1.822 | 1.225 | 1.880 | 2.328 | 3.392 | 0.980 | 4.060 | 17.282 |
| h13 | 1.508 | 0.685 | 1.413 | 2.826 | 2.294 | 3.462 | 0.826 | 4.240 | 17.254 |
| h14 | 1.372 | 1.182 | 1.385 | 2.945 | 1.347 | 3.178 | 0.000 | 4.214 | 15.623 |
| h15 | 1.106 | 2.028 | 1.048 | 1.546 | 1.184 | 2.331 | 0.000 | 3.702 | 12.945 |
| h16 | 0.563 | 0.819 | 0.410 | 1.325 | 0.000 | 2.133 | 0.000 | 3.209 | 8.459 |
| h17 | 0.000 | 0.000 | 0.000 | 1.062 | 0.000 | 1.134 | 0.046 | 2.877 | 5.119 |
| h18 | 0.000 | 1.170 | 0.000 | 1.161 | 0.000 | 1.221 | 0.914 | 2.599 | 7.065 |
| Total | 11.511 | 18.904 | 9.997 | 24.169 | 10.896 | 32.203 | 12.665 | 47.629 | 167.974 |
| Consumer | C5 | C8 | C9 | C11 | C12 | C14 | C16 | C19 | C20 | C24 | C26 | Total |
|---|---|---|---|---|---|---|---|---|---|---|---|---|
| Consumption (offers FCFS) | 21.25 | 24.44 | 30.70 | 18.96 | 8.79 | 20.92 | 23.84 | 4.08 | 12.90 | 25.27 | 12.26 | 203.41 |
| offers MO | 23.2 | 25.30 | 30.9 | 16.50 | 9.30 | 20.80 | 23.8 | 4.10 | 11.80 | 25.20 | 12.50 | 203.40 |
| traded FCFS | 17.32 | 20.29 | 25.07 | 15.33 | 6.04 | 13.20 | 16.54 | 3.08 | 9.05 | 21.04 | 9.44 | 156.40 |
| traded MO | 12.55 | 25.30 | 26.42 | 10.30 | 4.85 | 20.80 | 16.36 | 1.40 | 7.40 | 24.02 | 4.70 | 154.10 |
| rem. FCFS | 3.93 | 4.15 | 5.62 | 3.64 | 2.75 | 7.72 | 7.30 | 1.01 | 3.85 | 4.23 | 2.82 | 47.01 |
| rem. MO | 10.65 | 0 | 4.48 | 6.20 | 4.45 | 0 | 7.44 | 2.70 | 4.40 | 1.18 | 7.80 | 49.30 |
| Hour | h06 | h07 | h08 | h09 | h10 | h11 | h12 | h13 | h14 | h15 | h16 | h17 | h18 | Total |
|---|---|---|---|---|---|---|---|---|---|---|---|---|---|---|
| Consumption (offer FCFS) | 11.8 | 14.06 | 18.87 | 13.47 | 13.55 | 14.96 | 16.04 | 18.16 | 13.7 | 12.83 | 15.23 | 20.77 | 19.99 | 203.43 |
| offer MO | 12.1 | 14.9 | 17.5 | 13.6 | 13.6 | 14.7 | 13.6 | 18.3 | 13.8 | 14 | 15.8 | 20.5 | 21 | 203.40 |
| traded FCFS | 10.29 | 11.56 | 12.1 | 13.47 | 13.55 | 14.96 | 16.04 | 17.25 | 13.7 | 12.83 | 8.46 | 5.12 | 7.07 | 156.40 |
| traded MO | 10.29 | 11.56 | 12.1 | 13.6 | 13.6 | 14.7 | 13.6 | 17.25 | 13.8 | 12.95 | 8.46 | 5.12 | 7.07 | 154.10 |
| rem. FCFS | 1.51 | 2.5 | 6.77 | 0 | 0 | 0 | 0 | 0.91 | 0 | 0 | 6.77 | 15.65 | 12.92 | 47.03 |
| rem. MO | 1.81 | 3.34 | 5.40 | 0 | 0 | 0 | 0 | 1.05 | 0 | 1.05 | 7.34 | 15.38 | 13.93 | 49.30 |
| Prosumer | P27 | P21 | P7 | P15 | P6 | P3 | P10 | P25 | Total |
|---|---|---|---|---|---|---|---|---|---|
| surplus | 11.51 | 18.90 | 10.00 | 24.17 | 10.90 | 32.20 | 12.67 | 47.63 | 167.97 |
| traded FCFS | 11.51 | 17.72 | 9.88 | 22.87 | 8.92 | 25.20 | 12.67 | 47.63 | 156.40 |
| traded MO | 11.51 | 9.89 | 10.00 | 19.80 | 10.90 | 31.71 | 12.67 | 47.63 | 154.10 |
| rem. FCFS | 0 | 1.18 | 0.11 | 1.30 | 1.98 | 7.00 | 0 | 0 | 11.58 |
| rem. MO | 0 | 9.02 | 0 | 4.37 | 0 | 0.49 | 0 | 0 | 13.88 |
| Hour | h06 | h07 | h08 | h09 | h10 | h11 | h12 | h13 | h14 | h15 | h16 | h17 | h18 | Total |
|---|---|---|---|---|---|---|---|---|---|---|---|---|---|---|
| Surplus | 10.29 | 11.56 | 12.10 | 15.28 | 17.69 | 17.30 | 17.28 | 17.25 | 15.62 | 12.95 | 8.46 | 5.12 | 7.07 | 167.97 |
| traded FCFS | 10.29 | 11.56 | 12.10 | 13.47 | 13.55 | 14.96 | 16.04 | 17.25 | 13.70 | 12.83 | 8.46 | 5.12 | 7.07 | 156.40 |
| traded MO | 10.29 | 11.56 | 12.10 | 13.60 | 13.60 | 14.70 | 13.60 | 17.25 | 13.80 | 12.95 | 8.46 | 5.12 | 7.07 | 154.10 |
| rem. FCFS | 0 | 0 | 0 | 1.82 | 4.14 | 2.35 | 1.24 | 0 | 1.92 | 0.11 | 0 | 0 | 0 | 11.58 |
| rem. MO | 0 | 0 | 0 | 1.68 | 4.09 | 2.60 | 3.68 | 0 | 1.82 | 0 | 0 | 0 | 0 | 13.88 |
| Consumers | C5 | C8 | C9 | C11 | C12 | C14 | C16 | C19 | C20 | C24 | C26 | Total | |
|---|---|---|---|---|---|---|---|---|---|---|---|---|---|
| FCFS | MCP | 8.28 | 9.23 | 11.30 | 6.96 | 2.70 | 5.87 | 7.59 | 1.36 | 4.00 | 9.42 | 4.39 | 71.11 |
| COP | 7.80 | 12.17 | 13.79 | 7.97 | 2.90 | 7.92 | 8.10 | 1.20 | 4.98 | 11.99 | 4.72 | 83.54 | |
| POP | 8.28 | 9.23 | 11.30 | 6.96 | 2.70 | 5.87 | 7.59 | 1.36 | 4.00 | 9.42 | 4.39 | 71.11 | |
| MO | MCP | 6.40 | 13.15 | 13.91 | 5.44 | 2.47 | 10.89 | 8.49 | 0.68 | 3.94 | 12.53 | 2.46 | 80.36 |
| COP | 5.65 | 15.18 | 14.53 | 5.36 | 2.33 | 12.48 | 8.01 | 0.55 | 4.07 | 13.69 | 2.35 | 84.20 | |
| POP | 6.03 | 10.52 | 11.79 | 4.80 | 2.34 | 9.00 | 7.91 | 0.67 | 3.41 | 10.56 | 2.25 | 69.28 | |
| Consumers | h06 | h07 | h08 | h09 | h10 | h11 | h12 | h13 | h14 | h15 | h16 | h17 | h18 | Total | |
|---|---|---|---|---|---|---|---|---|---|---|---|---|---|---|---|
| FCFS | MCP | 4.74 | 5.31 | 5.58 | 6.11 | 6.06 | 6.81 | 7.30 | 7.73 | 6.12 | 5.90 | 3.87 | 2.30 | 3.28 | 71.11 |
| COP | 5.60 | 6.33 | 6.21 | 7.20 | 7.35 | 7.84 | 8.51 | 9.12 | 7.51 | 7.06 | 4.42 | 2.61 | 3.79 | 83.54 | |
| POP | 4.74 | 5.31 | 5.58 | 6.11 | 6.06 | 6.81 | 7.30 | 7.73 | 6.12 | 5.90 | 3.87 | 2.30 | 3.28 | 71.11 | |
| MO | MCP | 5.66 | 6.36 | 6.66 | 7.48 | 6.39 | 7.06 | 6.53 | 9.49 | 6.62 | 7.12 | 4.65 | 2.46 | 3.89 | 80.36 |
| COP | 5.66 | 6.43 | 6.60 | 7.28 | 7.33 | 7.68 | 7.26 | 9.13 | 7.53 | 7.18 | 4.90 | 3.05 | 4.15 | 84.20 | |
| POP | 4.74 | 5.31 | 5.58 | 6.04 | 5.90 | 6.52 | 5.94 | 7.73 | 6.13 | 5.95 | 3.87 | 2.30 | 3.28 | 69.28 | |
| Prosumers | P27 | P21 | P7 | P15 | P6 | P3 | P10 | P25 | Total | |
|---|---|---|---|---|---|---|---|---|---|---|
| FCFS | MCP | 4.95 | 9.75 | 3.95 | 10.98 | 3.83 | 11.85 | 5.32 | 20.48 | 71.11 |
| COP | 6.02 | 9.04 | 5.15 | 11.86 | 4.74 | 13.95 | 7.04 | 25.74 | 83.54 | |
| POP | 4.95 | 9.75 | 3.95 | 10.98 | 3.83 | 11.85 | 5.32 | 20.48 | 71.11 | |
| MO | MCP | 5.88 | 5.44 | 5.13 | 10.50 | 5.51 | 16.44 | 6.67 | 24.78 | 80.36 |
| COP | 6.11 | 4.98 | 6.00 | 9.80 | 5.90 | 16.25 | 7.54 | 27.61 | 84.20 | |
| POP | 4.95 | 5.44 | 4.00 | 9.51 | 4.69 | 14.90 | 5.32 | 20.48 | 69.28 | |
| Prosumers | h06 | h07 | h08 | h09 | h10 | h11 | h12 | h13 | h14 | h15 | h16 | h17 | h18 | Total | |
|---|---|---|---|---|---|---|---|---|---|---|---|---|---|---|---|
| FCFS | MCP | 4.74 | 5.31 | 5.58 | 6.11 | 6.06 | 6.81 | 7.30 | 7.73 | 6.12 | 5.90 | 3.87 | 2.30 | 3.28 | 71.11 |
| COP | 5.60 | 6.33 | 6.21 | 7.20 | 7.35 | 7.84 | 8.51 | 9.12 | 7.51 | 7.06 | 4.42 | 2.61 | 3.79 | 83.54 | |
| POP | 4.74 | 5.31 | 5.58 | 6.11 | 6.06 | 6.81 | 7.30 | 7.73 | 6.12 | 5.90 | 3.87 | 2.30 | 3.28 | 71.11 | |
| MO | MCP | 5.66 | 6.36 | 6.66 | 7.48 | 6.39 | 7.06 | 6.53 | 9.49 | 6.62 | 7.12 | 4.65 | 2.46 | 3.89 | 80.36 |
| COP | 5.66 | 6.43 | 6.60 | 7.28 | 7.33 | 7.68 | 7.26 | 9.13 | 7.53 | 7.18 | 4.90 | 3.05 | 4.15 | 84.20 | |
| POP | 4.74 | 5.31 | 5.58 | 6.04 | 5.90 | 6.52 | 5.94 | 7.73 | 6.13 | 5.95 | 3.87 | 2.30 | 3.28 | 69.28 | |
| Consumer | C28 |
|---|---|
| Consumption (offers FCFS) | 1.79 |
| offers MO | 1.79 |
| traded FCFS | 0.72 |
| traded MO | 1.79 |
| rem. FCFS | 1.07 |
| rem. MO | 0 |
| Hour | h06 | h07 | h08 | h09 | h10 | h11 | h12 | h13 | h14 | h15 | h16 | h17 | h18 | Total |
|---|---|---|---|---|---|---|---|---|---|---|---|---|---|---|
| Consumption (offer FCFS) | 0.19 | 0.14 | 0.15 | 0 | 0 | 0.08 | 0.51 | 0.06 | 0.02 | 0.24 | 0.09 | 0.08 | 0.23 | 1.79 |
| offer MO | 0.19 | 0.14 | 0.15 | 0 | 0 | 0.08 | 0.51 | 0.06 | 0.02 | 0.24 | 0.09 | 0.08 | 0.23 | 1.79 |
| traded FCFS | 0 | 0 | 0 | 0 | 0 | 0.08 | 0.51 | 0 | 0.02 | 0.11 | 0 | 0 | 0 | 0.72 |
| traded MO | 0.19 | 0.14 | 0.15 | 0 | 0 | 0.08 | 0.51 | 0.06 | 0.02 | 0.24 | 0.09 | 0.08 | 0.23 | 1.79 |
| rem. FCFS | 0.19 | 0.14 | 0.15 | 0 | 0 | 0 | 0 | 0.06 | 0 | 0.13 | 0.09 | 0.08 | 0.23 | 1.07 |
| rem. MO | 0 | 0 | 0 | 0 | 0 | 0 | 0 | 0 | 0 | 0 | 0 | 0 | 0 | 0 |
| Vendor | P21 | P7 | P15 | P6 | P3 | C5 | C9 | C11 | C12 | C16 | C19 | C20 | C24 | C26 | Total |
|---|---|---|---|---|---|---|---|---|---|---|---|---|---|---|---|
| surplus FCFS | 1.18 | 0.11 | 1.30 | 1.98 | 7.00 | 0 | 0 | 0 | 0 | 0 | 0 | 0 | 0 | 0 | 11.58 |
| surplus MO | 9.02 | 0 | 4.37 | 0 | 0.49 | 10.65 | 4.48 | 6.20 | 4.46 | 7.44 | 2.70 | 4.40 | 1.18 | 7.80 | 63.18 |
| traded FCFS | 0 | 0.11 | 0 | 0.53 | 0.08 | 0 | 0 | 0 | 0 | 0 | 0 | 0 | 0 | 0 | 0.72 |
| traded MO | 0 | 0 | 0.60 | 0 | 0.00 | 0 | 0 | 0 | 0 | 0 | 1.18 | 0 | 0 | 0 | 1.79 |
| rem. FCFS | 1.18 | 0.00 | 1.30 | 1.45 | 6.92 | 0 | 0 | 0 | 0 | 0 | 0 | 0 | 0 | 0 | 10.86 |
| rem. MO | 9.02 | 0.00 | 3.76 | 0 | 0.49 | 10.65 | 4.48 | 6.20 | 4.46 | 7.44 | 1.52 | 4.40 | 1.18 | 7.80 | 61.39 |
| Hour | h06 | h07 | h08 | h09 | h10 | h11 | h12 | h13 | h14 | h15 | h16 | h17 | h18 | Total |
|---|---|---|---|---|---|---|---|---|---|---|---|---|---|---|
| surplus FCFS | 0 | 0 | 0 | 1.82 | 4.14 | 2.35 | 1.24 | 0 | 1.92 | 0.11 | 0 | 0 | 0 | 11.58 |
| surplus MO | 1.81 | 3.34 | 5.40 | 1.68 | 4.09 | 2.60 | 3.68 | 1.05 | 1.82 | 1.06 | 7.34 | 15.38 | 13.94 | 63.18 |
| traded-FCFS | 0 | 0 | 0 | 0 | 0.00 | 0.08 | 0.51 | 0 | 0.02 | 0.11 | 0 | 0 | 0 | 0.72 |
| traded-MO | 0.19 | 0.14 | 0.15 | 0.00 | 0.00 | 0.08 | 0.51 | 0.06 | 0.02 | 0.24 | 0.09 | 0.08 | 0.23 | 1.79 |
| rem. FCFS | 0 | 0 | 0 | 1.82 | 4.14 | 2.27 | 0.73 | 0 | 1.90 | 0 | 0 | 0 | 0 | 10.86 |
| rem. MO | 1.62 | 3.20 | 5.25 | 1.68 | 4.08 | 2.53 | 3.17 | 0.99 | 1.80 | 0.81 | 7.25 | 15.30 | 13.71 | 61.39 |
| Consumers | C28 | |
|---|---|---|
| FCFS | POP | 0.72 |
| MO | POP | 0.75 |
| Consumers | h06 | h07 | h08 | h09 | h10 | h11 | h12 | h13 | h14 | h15 | h16 | h17 | h18 | Total | |
|---|---|---|---|---|---|---|---|---|---|---|---|---|---|---|---|
| FCFS | POP | 0 | 0 | 0 | 0 | 0.00 | 0.08 | 0.51 | 0 | 0.02 | 0.11 | 0 | 0 | 0 | 0.72 |
| MO | POP | 0.07 | 0.05 | 0.06 | 0 | 0.00 | 0.04 | 0.24 | 0.02 | 0.01 | 0.10 | 0.03 | 0.03 | 0.09 | 0.75 |
| Vendors | P21 | P7 | P15 | P6 | P3 | C5 | C9 | C11 | C12 | C16 | C19 | C20 | C24 | C26 | Total | |
|---|---|---|---|---|---|---|---|---|---|---|---|---|---|---|---|---|
| FCFS | POP | 0 | 0.11 | 0 | 0.53 | 0.08 | 0 | 0 | 0 | 0 | 0 | 0 | 0 | 0 | 0 | 0.72 |
| MO | POP | 0 | 0 | 0.29 | 0 | 0.00 | 0 | 0 | 0 | 0 | 0 | 0.46 | 0 | 0 | 0 | 0.75 |
| Prosumers | h06 | h07 | h08 | h09 | h10 | h11 | h12 | h13 | h14 | h15 | h16 | h17 | h18 | Total | |
|---|---|---|---|---|---|---|---|---|---|---|---|---|---|---|---|
| FCFS | POP | 0 | 0 | 0 | 0 | 0.00 | 0.08 | 0.51 | 0 | 0.02 | 0.11 | 0 | 0 | 0 | 0.72 |
| MO | POP | 0.07 | 0.05 | 0.06 | 0 | 0.00 | 0.04 | 0.24 | 0.02 | 0.01 | 0.10 | 0.03 | 0.03 | 0.09 | 0.75 |
| Consumer | C13 | C17 | C18 | Total |
|---|---|---|---|---|
| offer FCFS | 7.30 | 8.55 | 6.62 | 22.48 |
| offer MO | 7.30 | 8.55 | 6.62 | 22.48 |
| traded FCFS | 2.49 | 2.99 | 2.20 | 7.67 |
| traded MO | 7.30 | 7.61 | 6.36 | 21.28 |
| rem. FCFS | 4.82 | 5.57 | 4.43 | 14.81 |
| rem. MO | 0.00 | 0.94 | 0.26 | 1.20 |
| Hour | h06 | h07 | h08 | h09 | h10 | h11 | h12 | h13 | h14 | h15 | h16 | h17 | h18 | Total |
|---|---|---|---|---|---|---|---|---|---|---|---|---|---|---|
| offer FCFS | 1.99 | 1.03 | 1.11 | 1.39 | 2.12 | 1.85 | 2.16 | 1.08 | 1.58 | 1.55 | 2.41 | 1.79 | 2.42 | 22.48 |
| offer MO | 1.99 | 1.03 | 1.11 | 1.39 | 2.12 | 1.85 | 2.16 | 1.08 | 1.58 | 1.55 | 2.41 | 1.79 | 2.42 | 22.48 |
| traded FCFS | 0 | 0 | 0 | 1.39 | 2.12 | 1.85 | 0.73 | 0 | 1.58 | 0 | 0 | 0 | 0 | 7.67 |
| traded MO | 1.62 | 1.03 | 1.11 | 1.39 | 2.12 | 1.85 | 2.16 | 0.99 | 1.58 | 0.81 | 2.41 | 1.79 | 2.42 | 21.28 |
| rem. FCFS | 1.99 | 1.03 | 1.11 | 0.00 | 0.00 | 0.00 | 1.43 | 1.08 | 0.00 | 1.55 | 2.41 | 1.79 | 2.42 | 14.81 |
| rem. MO | 0.38 | 0.00 | 0.00 | 0.00 | 0.00 | 0.00 | 0.00 | 0.09 | 0.00 | 0.74 | 0.00 | 0.00 | 0.00 | 1.20 |
| Vendor | P21 | P15 | P6 | P3 | C5 | C9 | C11 | C12 | C16 | C19 | C20 | C24 | C26 | Total |
|---|---|---|---|---|---|---|---|---|---|---|---|---|---|---|
| surplus FCFS | 1.18 | 1.30 | 1.45 | 6.92 | 0 | 0 | 0 | 0 | 0 | 0 | 0 | 0 | 0 | 10.86 |
| surplus MO | 9.02 | 3.76 | 0.00 | 0.49 | 10.65 | 4.48 | 6.20 | 4.46 | 7.44 | 1.52 | 4.40 | 1.18 | 7.80 | 61.39 |
| traded FCFS | 0.86 | 0 | 1.45 | 5.36 | 0 | 0 | 0 | 0 | 0 | 0 | 0 | 0 | 0 | 7.67 |
| traded MO | 4.84 | 3.76 | 0 | 0.49 | 6.38 | 0 | 0.00 | 2.78 | 1.51 | 1.52 | 0 | 0 | 0 | 21.28 |
| rem. FCFS | 0.32 | 1.30 | 0 | 1.56 | 0 | 0 | 0 | 0 | 0 | 0 | 0 | 0 | 0 | 3.19 |
| rem. MO | 4.17 | 0 | 0 | 0 | 4.27 | 4.48 | 6.20 | 1.68 | 5.94 | 0 | 4.40 | 1.18 | 7.80 | 40.11 |
| Hour | h06 | h07 | h08 | h09 | h10 | h11 | h12 | h13 | h14 | h15 | h16 | h17 | h18 | Total |
|---|---|---|---|---|---|---|---|---|---|---|---|---|---|---|
| surplus FCFS | 0 | 0 | 0 | 1.82 | 4.14 | 2.27 | 0.73 | 0 | 1.90 | 0 | 0 | 0 | 0 | 10.86 |
| surplus MO | 1.62 | 3.20 | 5.25 | 1.68 | 4.08 | 2.53 | 3.17 | 0.99 | 1.80 | 0.81 | 7.25 | 15.30 | 13.71 | 61.39 |
| traded FCFS | 0 | 0 | 0 | 1.39 | 2.12 | 1.85 | 0.73 | 0 | 1.58 | 0 | 0 | 0 | 0 | 7.67 |
| traded MO | 1.62 | 1.03 | 1.11 | 1.39 | 2.12 | 1.85 | 2.16 | 0.99 | 1.58 | 0.81 | 2.41 | 1.79 | 2.42 | 21.28 |
| diff FCFS | 0 | 0 | 0 | 0.43 | 2.02 | 0.42 | 0.00 | 0 | 0.32 | 0 | 0 | 0 | 0 | 3.19 |
| diff MO | 0 | 2.16 | 4.14 | 0.30 | 1.96 | 0.67 | 1.01 | 0 | 0.23 | 0 | 4.84 | 13.51 | 11.29 | 40.11 |
| Consumers | C13 | C17 | C18 | Total | Total + 10% Fee | |
|---|---|---|---|---|---|---|
| FCFS | MCP | 1.14 | 1.47 | 1.01 | 3.61 | 3.98 |
| COP | 1.17 | 0.90 | 0.92 | 2.99 | 3.29 | |
| POP | 1.14 | 1.47 | 1.01 | 3.61 | 3.98 | |
| MO | MCP | 3.71 | 3.86 | 3.20 | 10.77 | 11.85 |
| COP | 3.43 | 2.28 | 2.67 | 8.39 | 9.23 | |
| POP | 3.37 | 3.84 | 3.02 | 10.23 | 11.26 | |
| Consumers | h06 | h07 | h08 | h09 | h10 | h11 | h12 | h13 | h14 | h15 | h16 | h17 | h18 | Total | Total + 10% Fee | |
|---|---|---|---|---|---|---|---|---|---|---|---|---|---|---|---|---|
| FCFS | MCP | 0 | 0 | 0 | 0.65 | 1.00 | 0.87 | 0.32 | 0 | 0.78 | 0 | 0 | 0 | 0 | 3.61 | 3.98 |
| COP | 0 | 0 | 0 | 0.56 | 0.88 | 0.65 | 0.34 | 0 | 0.55 | 0 | 0 | 0 | 0 | 2.99 | 3.29 | |
| POP | 0 | 0 | 0 | 0.65 | 1.00 | 0.87 | 0.32 | 0 | 0.78 | 0 | 0 | 0 | 0 | 3.61 | 3.98 | |
| MO | MCP | 0.79 | 0.50 | 0.50 | 0.76 | 1.17 | 1.02 | 1.19 | 0.45 | 0.87 | 0.39 | 1.18 | 0.81 | 1.16 | 10.77 | 11.85 |
| COP | 0.75 | 0.45 | 0.42 | 0.56 | 0.88 | 0.65 | 0.88 | 0.38 | 0.55 | 0.33 | 0.95 | 0.65 | 0.95 | 8.39 | 9.23 | |
| POP | 0.77 | 0.47 | 0.49 | 0.76 | 1.04 | 0.99 | 1.09 | 0.43 | 0.82 | 0.37 | 1.12 | 0.79 | 1.10 | 10.23 | 11.26 | |
| Vendors | P21 | P15 | P6 | P3 | C5 | C9 | C11 | C12 | C16 | C19 | C20 | C24 | C26 | Total | |
|---|---|---|---|---|---|---|---|---|---|---|---|---|---|---|---|
| FCFS | MCP | 0.47 | 0 | 0.62 | 2.52 | 0 | 0 | 0 | 0 | 0 | 0 | 0 | 0 | 0 | 3.61 |
| COP | 0.26 | 0 | 0.63 | 2.10 | 0 | 0 | 0 | 0 | 0 | 0 | 0 | 0 | 0 | 2.99 | |
| POP | 0.47 | 0 | 0.62 | 2.52 | 0 | 0 | 0 | 0 | 0 | 0 | 0 | 0 | 0 | 3.61 | |
| MO | MCP | 2.66 | 2.07 | 0 | 0.27 | 2.97 | 0 | 0 | 1.35 | 0.74 | 0.71 | 0 | 0 | 0 | 10.77 |
| COP | 1.65 | 1.65 | 0 | 0.23 | 2.55 | 0 | 0 | 1.05 | 0.56 | 0.70 | 0 | 0 | 0 | 8.39 | |
| POP | 2.66 | 1.81 | 0 | 0.23 | 2.87 | 0 | 0 | 1.33 | 0.74 | 0.59 | 0 | 0 | 0 | 10.23 | |
| Prosumers | h06 | h07 | h08 | h09 | h10 | h11 | h12 | h13 | h14 | h15 | h16 | h17 | h18 | Total | |
|---|---|---|---|---|---|---|---|---|---|---|---|---|---|---|---|
| FCFS | MCP | 0 | 0 | 0 | 0.65 | 1.00 | 0.87 | 0.32 | 0 | 0.78 | 0 | 0 | 0 | 0 | 3.61 |
| COP | 0 | 0 | 0 | 0.56 | 0.88 | 0.65 | 0.34 | 0 | 0.55 | 0 | 0 | 0 | 0 | 2.99 | |
| POP | 0 | 0 | 0 | 0.65 | 1.00 | 0.87 | 0.32 | 0 | 0.78 | 0 | 0 | 0 | 0 | 3.61 | |
| MO | MCP | 0.79 | 0.50 | 0.50 | 0.76 | 1.17 | 1.02 | 1.19 | 0.45 | 0.87 | 0.39 | 1.18 | 0.81 | 1.16 | 10.77 |
| COP | 0.75 | 0.45 | 0.42 | 0.56 | 0.88 | 0.65 | 0.88 | 0.38 | 0.55 | 0.33 | 0.95 | 0.65 | 0.95 | 8.39 | |
| POP | 0.77 | 0.47 | 0.49 | 0.76 | 1.04 | 0.99 | 1.09 | 0.43 | 0.82 | 0.37 | 1.12 | 0.79 | 1.10 | 10.23 | |
| Hour | Initial Generation | Surplus | |||
|---|---|---|---|---|---|
| Initial | After the Primary Market | After the Secondary Market, 1st Tier | After the Secondary Market, 2nd Tier (Tariff-Access) | ||
| h01 | 2.361 | 1.588 | 0 | 0 | 0 |
| h02 | 2.785 | 1.805 | 0 | 0 | 0 |
| h03 | 3.286 | 1.726 | 0 | 0 | 0 |
| h04 | 3.329 | 1.749 | 1.682 | 1.682 | 0.296 |
| h05 | 3.639 | 2.292 | 2.292 | 2.292 | 1.963 |
| h06 | 3.751 | 2.038 | 2.038 | 2.038 | 0.672 |
| h07 | 3.735 | 1.822 | 1.822 | 1.822 | 1.014 |
| h08 | 3.812 | 0.685 | 0 | 0 | 0 |
| h09 | 3.742 | 1.182 | 1.182 | 1.182 | 0.227 |
| h10 | 3.461 | 2.028 | 0 | 0 | 0 |
| h11 | 2.832 | 0.819 | 0 | 0 | 0 |
| h12 | 2.403 | 0 | 0 | 0 | 0 |
| h13 | 2.237 | 1.17 | 0 | 0 | 0 |
| Total | 41.373 | 18.904 | 9.016 | 9.016 | 4.172 |
| Hour | Surplus, P21 | Consumption, C22 | Electricity Sold in the Tariff-Access Market | Electricity Sold to C22 in the Invite-Access Market |
|---|---|---|---|---|
| h06 | 0 | 1.340 | 0 | 0 |
| h07 | 0 | 0.960 | 0 | 0 |
| h08 | 0 | 0.270 | 0 | 0 |
| h09 | 1.682 | 0.420 | 1.386 | 0.420 |
| h10 | 2.292 | 1.000 | 0.329 | 1.000 |
| h11 | 2.038 | 0.930 | 1.366 | 0.930 |
| h12 | 1.822 | 1.050 | 0.808 | 1.050 |
| h13 | 0 | 1.020 | 0 | 0 |
| h14 | 1.182 | 0.970 | 0.955 | 0.970 |
| h15 | 0 | 1.010 | 0 | 0 |
| h16 | 0 | 1.110 | 0 | 0 |
| h17 | 0 | 1.540 | 0 | 0 |
| h18 | 0 | 1.630 | 0 | 0 |
| Total | 9.016 | 13.250 | 4.844 | 4.370 |
| Trading Priority in PM | Initial Consumption (No Market) | Traded in PM | Consumer Surplus for SM | Consumption Bought from the Grid after PM | Traded in SM1 | Traded in SM2 | Consumption Bought from the Grid after SM |
|---|---|---|---|---|---|---|---|
| FCFS | 203.41 | 156.4 | 0 | 47.01 | 0.72 | 7.67 | 38.62 |
| MO | 203.41 | 154.1 | 49.31 | 98.62 | 1.79 | 21.28 | 75.55 |
| Market Player Type | PM Trading Priority | Initial Surplus | Traded in PM | Surplus after PM | Traded in SM1 | Traded in SM2 | Surplus after SM |
|---|---|---|---|---|---|---|---|
| prosumers | FCFS | 167.97 | 156.4 | 11.58 | 0.72 | 7.67 | 3.18 |
| MO | 167.97 | 154.1 | 13.88 | 0.6 | 9.1 | 4.17 | |
| consumers | FCFS | 0 | 0 | 0 | 0 | 0 | 0 |
| MO | 0 | 0 | 49.31 | 1.18 | 12.68 | 35.45 |
| Trading Priority in PM | Settlement Price | PM | SM1 | SM2 | SM | Total PM + SM |
|---|---|---|---|---|---|---|
| FCFS | MCP | 71.11 | 0 | 3.98 | 3.98 | 75.09 |
| COP | 83.54 | 0 | 3.29 | 3.29 | 86.83 | |
| POP | 71.11 | 0.72 | 3.98 | 4.7 | 75.81 | |
| MO | MCP | 80.36 | 0 | 11.85 | 11.85 | 92.21 |
| COP | 84.2 | 0 | 9.23 | 9.23 | 93.43 | |
| POP | 69.28 | 0.75 | 11.26 | 12.01 | 81.29 |
| Sellers | Revenue without Local Market | PM Trading Priority | Settlement Price | PM | SM1 | SM2 | SM | Total PM + SM | Total PM + SM + Grid |
|---|---|---|---|---|---|---|---|---|---|
| prosumers | 42.16 | FCFS | MCP | 71.11 | 0 | 3.61 | 3.61 | 74.72 | 75.52 |
| COP | 83.54 | 0 | 2.99 | 2.99 | 86.53 | 87.33 | |||
| POP | 71.11 | 0.72 | 3.61 | 4.33 | 75.44 | 76.24 | |||
| MO | MCP | 80.36 | 0 | 5 | 5 | 85.36 | 86.41 | ||
| COP | 84.2 | 0 | 3.53 | 3.53 | 87.73 | 88.78 | |||
| POP | 69.28 | 0.29 | 4.7 | 4.99 | 74.27 | 75.32 | |||
| consumers | 12.38 | FCFS | MCP | 0 | 0 | 0 | 0 | 0 | 12.38 |
| COP | 0 | 0 | 0 | 0 | 0 | ||||
| POP | 0 | 0 | 0 | 0 | 0 | ||||
| MO | MCP | 0 | 0 | 5.77 | 5.77 | 5.77 | 14.67 | ||
| COP | 0 | 0 | 4.86 | 4.86 | 4.86 | 13.76 | |||
| POP | 0 | 0.46 | 5.53 | 5.99 | 5.99 | 14.89 |
| PM Trading Priority | Settlement Price | Cost with Regulated Tariff | Cost with PM | Cost with PM and SM | % Reduction PM | % Reduction PM + SM |
|---|---|---|---|---|---|---|
| FCFS | MCP | 136.89 | 102.75 | 101.08 | 24.94 | 26.16 |
| COP | 136.89 | 115.18 | 112.82 | 15.86 | 17.59 | |
| POP | 136.89 | 102.75 | 101.80 | 24.94 | 25.64 | |
| MO | MCP | 136.89 | 146.73 | 137.29 | −7.19 | −0.29 |
| COP | 136.89 | 150.57 | 139.42 | −9.99 | −1.84 | |
| POP | 136.89 | 135.65 | 126.15 | 0.91 | 7.85 |
© 2020 by the authors. Licensee MDPI, Basel, Switzerland. This article is an open access article distributed under the terms and conditions of the Creative Commons Attribution (CC BY) license (http://creativecommons.org/licenses/by/4.0/).
Share and Cite
Neagu, B.-C.; Ivanov, O.; Grigoras, G.; Gavrilas, M.; Istrate, D.-M. New Market Model with Social and Commercial Tiers for Improved Prosumer Trading in Microgrids. Sustainability 2020, 12, 7265. https://doi.org/10.3390/su12187265
Neagu B-C, Ivanov O, Grigoras G, Gavrilas M, Istrate D-M. New Market Model with Social and Commercial Tiers for Improved Prosumer Trading in Microgrids. Sustainability. 2020; 12(18):7265. https://doi.org/10.3390/su12187265
Chicago/Turabian StyleNeagu, Bogdan-Constantin, Ovidiu Ivanov, Gheorghe Grigoras, Mihai Gavrilas, and Dumitru-Marcel Istrate. 2020. "New Market Model with Social and Commercial Tiers for Improved Prosumer Trading in Microgrids" Sustainability 12, no. 18: 7265. https://doi.org/10.3390/su12187265
APA StyleNeagu, B.-C., Ivanov, O., Grigoras, G., Gavrilas, M., & Istrate, D.-M. (2020). New Market Model with Social and Commercial Tiers for Improved Prosumer Trading in Microgrids. Sustainability, 12(18), 7265. https://doi.org/10.3390/su12187265

