Immersive Virtual Reality-Aided Conjoint Analysis of Urban Square Preference by Living Environment
Abstract
1. Introduction
2. Literature Review
2.1. Evolution of European Urban Squares
2.2. Design Elements of European Urban Squares
2.3. Application of European Urban Squares to Cities with Different Contexts
3. Data and Methods
3.1. Outline of the Experimental Design and Analytical Framework
3.2. Conjoint Analysis Design and Key Test Variables
3.3. D Modeling and VR Conversion
3.4. Visual Assessment Survey with IVR and Variables
3.4.1. Participants
3.4.2. Visual Assessment Survey with IVR and Dependent Variables (Perceived Qualities of Urban Squares)
3.4.3. Post Hoc Questionnaire Survey and Control Variables
4. Analysis Results
4.1. Multiple Regression Analyses
4.2. Conjoint Analyses
4.2.1. Results of Full Sample Model and Stratified Models by Regional Origin
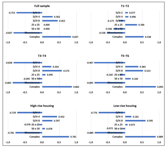
4.2.2. Results of the Stratified Models by Living Environment
5. Conclusions
Author Contributions
Funding
Acknowledgments
Conflicts of Interest
References
- Alexander, C.; Ishikawa, S.; Silverstein, M. A Pattern Language: Towns, Buildings, Construction; Oxford University Press: New York, NY, USA, 1977. [Google Scholar]
- Lang, J.; Marshall, N. Urban Squares As Places, Links and Displays: Successes and Failures; Routledge: New York, NY, USA, 2016. [Google Scholar]
- Lynch, K. Good City Form; MIT Press: Cambridge, MA, USA, 1984. [Google Scholar]
- Marcus, C.C.; Francis, C. People Places: Design Guidlines for Urban Open Space; John Wiley & Sons: Hoboken, NJ, USA, 1997. [Google Scholar]
- Moughtin, C. Urban Design: Street and Square; Routledge: Abingdon, UK, 2003. [Google Scholar]
- Kim, J. The square has finally become a ‘square’! J. Environ. Stud. 2017, 59, 4–6. [Google Scholar]
- Yeganeh, M.; Almasi, M.H. Socio-Economic Values and Architectural Features in Traditional Bazaars of Islamic Cites. Urban Manag. 2016, 15, 149–162. [Google Scholar]
- Hakim, B.S. Arabic Islamic Cities Rev: Building and Planning Principles; Routledge: New York, NY, USA, 2013. [Google Scholar]
- Piazzoni, M.F.; Banerjee, T. Mimicry in design: The urban form of development. J. Urban Des. 2018, 23, 482–498. [Google Scholar] [CrossRef]
- Malik, A. After modernity: Contemporary non-western cities and architecture. Futures 2001, 33, 873–882. [Google Scholar] [CrossRef]
- Mateo-Babiano, I.; Ieda, H. Theoretical discourse on sustainable space design: Towards creating and sustaining effective sidewalks. Bus. Strateg. Environ. 2005, 14, 300–314. [Google Scholar] [CrossRef]
- Fishman, R. Urban Utopias in the Twentieth Century: Ebenezer Howard, Frank Lloyd Wright, and Le Corbusier; MIT Press: Cambridge, MA, USA, 1982. [Google Scholar]
- Xie, Y.; Costa, F.J. Urban design practice in socialist China. Third World Plan. Rev. 1991, 13, 277. [Google Scholar] [CrossRef]
- Schmidt, W.; Nzimande, A. Cultural differences in color/form preference and in classificatory behavior. Hum. Dev. 1970, 13, 140–148. [Google Scholar] [CrossRef]
- Lennard, C.H.; Lennard, L. Genius of the European Square: Carmel; International Making Cities Livable Council: Carmel, CA, USA, 2008. [Google Scholar]
- Mumford, L. The City in History: Its Origins, Its Transformations, and Its Prospects; Harcourt Brace & Company: New York, NY, USA, 1961. [Google Scholar]
- Kostof, S. The City Shaped: Urban Patterns and Meanings through History; Bulfinch Press: New York, NY, USA, 1991. [Google Scholar]
- Morris, A.E.J. History of Urban Form before the Industrial Revolution; Routledge: New York, NY, USA, 2013. [Google Scholar]
- Ewing, R.; Clemente, O. Measuring Urban Design: Metrics forLlivable Places; Island Press: Washington, DC, USA, 2013. [Google Scholar]
- Ashihara, Y. Exterior Design in Architecture; Van Nostrand Reinhold Inc.: New York, NY, USA, 1970. [Google Scholar]
- Lynch, K.; Hack, G. Site Planning; MIT Press: Cambridge, MA, USA, 1984. [Google Scholar]
- Shin, H.-D.; Zoh, K.-J. A study of the planning process, design idea and implementation of the Gwanghwamun plaza. J. Korean Inst. Landsc. Archit. 2013, 41, 24–41. [Google Scholar] [CrossRef]
- Yang, B. Koreans and Square. J. Environ. Stud. 2017, 59, 24–34. [Google Scholar]
- Shirvani Dastgerdi, A.; De Luca, G. Joining historic cities to the global world: Feasibility or fantasy? Sustainability 2019, 11, 2662. [Google Scholar] [CrossRef]
- Krier, R.; Rowe, C. Urban Space; Academy Editions: London, UK, 1979. [Google Scholar]
- Trancik, R. Finding Lost Space: Theories of Urban Design; John Wiley & Sons: Hoboken, NJ, USA, 1986. [Google Scholar]
- Memluk, M.Z. Designing Urban Squares. In Advances in Landscape Architecture; Ozyavuz, M., Ed.; IntechOpen: London, UK, 2013. [Google Scholar]
- Gehl, J. Cities for People; Island Press: Washington, DC, USA, 2013. [Google Scholar]
- Jacobs, A.B. Great Streets; MIT Press: Cambridge, MA, USA, 1993. [Google Scholar]
- Alberti, L.B. The Ten Books of Architecture, The 1755 Leoni ed.; Dover Publications: New York, NY, USA, 1986. [Google Scholar]
- Collins, G.R.; Sitte, C.; Collins, C.C. Camillo Sitte: The Birth of Modern City Planning; Dover Publications: New York, NY, USA, 2006. [Google Scholar]
- Handy, S.L.; Boarnet, M.G.; Ewing, R.; Killingsworth, R.E. How the built environment affects physical activity: Views from urban planning. Am. J. Prev. Med. 2002, 23, 64–73. [Google Scholar] [CrossRef]
- Whyte, W.H. City: Rediscovering the Center; University of Pennsylvania Press: Philadelphia, PA, USA, 2012. [Google Scholar]
- Hadelich, V. Quality by Design: The Venustas of Urban Squares. In Proceedings of the CNU20, West Palm Beach, FL, USA, 9–12 May 2012. [Google Scholar]
- Kim, J. Comparing the Influences of the D/H Ratio, Size, and Facade Design of an Enclosed Square on Its Perceptual Qualities as a Sustainable Urban Space in South Korea. Sustainability 2017, 9, 675. [Google Scholar] [CrossRef]
- Kim, J.; Kim, S. Finding the Optimal D/H Ratio for an Enclosed Urban Square: Testing an Urban Design Principle Using Immersive Virtual Reality Simulation Techniques. Int. J. Environ. Res. Public Health 2019, 16, 865. [Google Scholar] [CrossRef] [PubMed]
- Tang, H. An Analysis of Contemporary Urban Public Open Space Design and Construction in China: Progresses and Problems. Ph.D. Thesis, Heriot-Watt University, Edinburgh, UK, 2004. [Google Scholar]
- Chen, C. Designing the danceable city: How residents in Beijing cultivate health and community ties through urban dance. J. Am. Plan. Assoc. 2018, 84, 237–249. [Google Scholar] [CrossRef]
- Nisbett, R. The Geography of Thought: How Asians and Westerners Think Differently and Why; Simon and Schuster: New York, NY, USA, 2004. [Google Scholar]
- Heath, T.F. Beharioral and Perceptual Aspects of the Aesthetics of Urban Environments. In Environmental Aesthetics: Theory, Research, and Application; Nasar, J.L., Ed.; Cambridge University Press: New York, NY, USA, 1992; pp. 6–10. [Google Scholar]
- Saulton, A.; Bülthoff, H.H.; De La Rosa, S.; Dodds, T.J. Cultural differences in room size perception. PLoS ONE 2017, 12, e0176115. [Google Scholar] [CrossRef]
- Tips, W. Landscape preference evaluation and Sociocultural background-A comparison among Asian countries. J. Environ. Manag. 1986, 22, 113–124. [Google Scholar]
- Yu, K. Cultural variations in landscape preference: Comparisons among Chinese sub-groups and Western design experts. Landsc. Urban Plan. 1995, 32, 107–126. [Google Scholar] [CrossRef]
- Allison, M.T. Breaking boundaries and barriers: Future directions in cross-cultural research. Leisure Sci. 1988, 10, 247–259. [Google Scholar] [CrossRef]
- Boeschenstein, W. Expressive urban color. J. Archit. Plan. Res. 1986, 3, 275–285. [Google Scholar]
- De Vries, N.J.; Moscato, P. Consumer Behaviour and Marketing Fundamentals for Business Data Analytics. In Business and Consumer Analytics: New Ideas; De Vries, N.J., Moscato, P., Eds.; Springer: Cham, Switzerland, 2019; pp. 119–162. [Google Scholar]
- Portman, M.E.; Natapov, A.; Fisher-Gewirtzman, D. To go where no man has gone before: Virtual reality in architecture, landscape architecture and environmental planning. Comput. Environ. Urban Syst. 2015, 54, 376–384. [Google Scholar] [CrossRef]
- Katoshevski, R.; Timmermans, H. Using conjoint analysis to formulate user-centred guidelines for urban design: The example of new residential development in Israel. J. Urban Des. 2001, 6, 37–53. [Google Scholar] [CrossRef]
- Levine, J.; Frank, L.D. Transportation and land-use preferences and residents’ neighborhood choices: The sufficiency of compact development in the Atlanta region. Transportation 2007, 34, 255–274. [Google Scholar] [CrossRef]
- Tayyaran, M.R. Impacts of Telecommuting, and Related Aspects of Intelligent Transportation Systems on Residential Location Choice; A Combined Revealed and Stated Preference Approach; Carleton University: Ottawa, ON, Canada, 2000. [Google Scholar]
- Brown, D.S.; Finkelstein, E.A.; Brown, D.R.; Buchner, D.M.; Johnson, F.R. Estimating older adults’ preferences for walking programs via conjoint analysis. Am. J. Prev. Med. 2009, 36, 201–207. [Google Scholar] [CrossRef] [PubMed]
- Xu, Q. Achieving User-Centered Place-Making: An Attempt to Apply Conjoint Analysis in Urban Design. Bachelor’s Dissertation, University of Liverpool, Liverpool, UK, 2013. [Google Scholar]
- Ghekiere, A.; Deforche, B.; Mertens, L.; De Bourdeaudhuij, I.; Clarys, P.; De Geus, B.; Cardon, G.; Nasar, J.; Salmon, J.; Van Cauwenberg, J. Creating cycling-friendly environments for children: Which micro-scale factors are most important? An experimental study using manipulated photographs. PLoS ONE 2015, 10, e0143302. [Google Scholar] [CrossRef] [PubMed]
- Patterson, Z.; Darbani, J.M.; Rezaei, A.; Zacharias, J.; Yazdizadeh, A. Comparing text-only and virtual reality discrete choice experiments of neighbourhood choice. Landsc. Urban Plan. 2017, 157, 63–74. [Google Scholar] [CrossRef]
- Birenboim, A.; Dijst, M.; Ettema, D.; De Kruijf, J.; de Leeuw, G.; Dogterom, N. The utilization of immersive virtual environments for the investigation of environmental preferences. Landsc. Urban Plan. 2019, 189, 129–138. [Google Scholar] [CrossRef]
- Orme, B. Formulating Attributes and Levels in Conjoint Analysis; Sawtooth Software, Inc.: Provo, UT, USA, 2002; pp. 1–4. [Google Scholar]
- Adamowicz, W.; Louviere, J.; Swait, J. Introduction to Attribute-Based Stated Choice Methods; National Oceanic and Atmospheric Administration: Edmonton, AB, Canada, 1998. [Google Scholar]
- Bridges, J.F.; Hauber, A.B.; Marshall, D.; Lloyd, A.; Prosser, L.A.; Regier, D.A.; Johnson, F.R.; Mauskopf, J. Conjoint analysis applications in health—A checklist: A report of the ISPOR Good Research Practices for Conjoint Analysis Task Force. Value Health 2011, 14, 403–413. [Google Scholar] [CrossRef]
- Wittink, D.R.; Huber, J.; Zandan, P.; Johnson, R.M. The Number of Levels Effect in Conjoint: Where Does It Come From, and Can It Be Eliminated; Sawtooth Software, Inc.: Provo, UT, USA, 1992; pp. 1–11. [Google Scholar]
- Ikemoto, H.; Yamaoka, T. Conjoint Analysis Method That Minimizes the Number of Profile Cards. In Proceedings of the International Conference on Human-Computer Interaction, Orlando, FL, USA, 9–14 July 2011; pp. 23–28. [Google Scholar]
- Schneider, S.; Bengler, K. Virtually the same? Analysing pedestrian behaviour by means of virtual reality. Transp. Res. Part F Traffic Psychol. Behav. 2020, 68, 231–256. [Google Scholar] [CrossRef]
- McCullough, D. A user’s guide to conjoint analysis. Mark. Res. 2002, 14, 18–23. [Google Scholar]
- Grillon, C.; Baas, J.M.; Cornwell, B.; Johnson, L. Context conditioning and behavioral avoidance in a virtual reality environment: Effect of predictability. Biol. Psychiatry 2006, 60, 752–759. [Google Scholar] [CrossRef]
- Saiano, M.; Pellegrino, L.; Casadio, M.; Summa, S.; Garbarino, E.; Rossi, V.; Dall’Agata, D.; Sanguineti, V. Natural interfaces and virtual environments for the acquisition of street crossing and path following skills in adults with Autism Spectrum Disorders: A feasibility study. J. Neuroeng. Rehabil. 2015, 12, 1–13. [Google Scholar] [CrossRef] [PubMed]
- Shi, Y.; Du, J.; Ragan, E.; Choi, K.; Ma, S. Social Influence on Construction Safety Behaviors: A Multi-User Virtual Reality Experiment. In Proceedings of the Construction Research Congress, New Orleans, LA, USA, 2–4 April 2018; pp. 147–183. [Google Scholar]
- Velasco, J.P.N.; Farah, H.; van Arem, B.; Hagenzieker, M.P. Studying pedestrians’ crossing behavior when interacting with automated vehicles using virtual reality. Transp. Res. Part F Traffic Psychol. Behav. 2019, 66, 1–14. [Google Scholar] [CrossRef]
- Gehl, J. Life Between Buildings: Using Public Space; Island Press: Washington, DC, USA, 2011. [Google Scholar]
- Tabrizian, P.; Baran, P.K.; Smith, W.R.; Meentemeyer, R.K. Exploring perceived restoration potential of urban green enclosure through immersive virtual environments. J. Environ. Psychol. 2018, 55, 99–109. [Google Scholar] [CrossRef]
- Gifford, R.; Hine, D.W.; Muller-Clemm, W.; Reynolds, D.A.J., Jr.; Shaw, K.T. Decoding modern architecture: A lens model approach for understanding the aesthetic differences of architects and laypersons. Environ. Behav. 2000, 32, 163–187. [Google Scholar] [CrossRef]
- Gifford, R.; Hine, D.W.; Muller-Clemm, W.; Shaw, K.T. Why architects and laypersons judge buildings differently: Cognitive properties and physical bases. J. Archit. Plan. Res. 2002, 19, 131–148. [Google Scholar]
- Geslin, E.; Bouchard, S.; Richir, S. Gamers’ versus non-gamers’ emotional response in virtual reality. J. CyberTher. Rehabil. 2011, 4, 489–493. [Google Scholar]
- Kuliga, S.F.; Thrash, T.; Dalton, R.C.; Hölscher, C. Virtual reality as an empirical research tool—Exploring user experience in a real building and a corresponding virtual model. Comput. Environ. Urban Syst. 2015, 54, 363–375. [Google Scholar] [CrossRef]
- Rosling, H.; Rosling, O.; Rönnlund, A.R. Factfulness: Ten Reasons We’re Wrong About The World–And Why Things Are Better Than You Think; Flatiron Books: New York, NY, USA, 2018. [Google Scholar]
- Dwyer, J.F.; Hutchison, R. Outdoor Recreation Participation and Preferences by Black and White Chicago Households. In Social Science and Natural Resource Recreation Management; Vining, J., Ed.; Westview Press: New York, NY, USA, 1990; pp. 49–67. [Google Scholar]
- Yang, B.-E.; Brown, T.J. A cross-cultural comparison of preferences for landscape styles and landscape elements. Environ. Behav. 1992, 24, 471–507. [Google Scholar] [CrossRef]
- Chrzan, K.; Orme, B. An Overview and Comparison of Design Strategies for Choice-Based Conjoint Analysis. In Proceedings of the Sawtooth Software Research Paper Series, Hilton Head, SC, USA, 21–24 March 2000. [Google Scholar]
- Getting Started: What is CBC Analysis? Available online: https://sawtoothsoftware.com/help/lighthouse-studio/manual/index.html?hid_web_whatcbc.html (accessed on 22 October 2019).





| ID | D/H Ratio | Size | Number of Stories of Surrounding Buildings Determined by D/H Ratio and Size | Façade Details |
|---|---|---|---|---|
| 1 | 2 | 25 × 25 m | 4 | Complex |
| 2 | 8 | 50 × 50 m | 2 | Complex |
| 3 | 8 | 25 × 25 m | 1 | Monotonous |
| 4 | 2 | 50 × 50 m | 8 | Monotonous |
| 5 | 4 | 50 × 50 m | 4 | Monotonous |
| 6 | 4 | 25 × 25 m | 2 | Complex |
| 7 | 2 | 25 × 25 m | 4 | Monotonous |
| 8 | 2 | 50 × 50 m | 8 | Complex |
| Category | Variables | N | Mean (Ratio) | Standard Deviation |
|---|---|---|---|---|
| Perceived qualities of urban squares (dependent variables) | ||||
| Intuitive qualities | Coziness | 800 | 5.425 | 2.170 |
| Openness | 800 | 5.400 | 2.353 | |
| Behavioral suitability for: | Informal gatherings | 800 | 5.521 | 2.128 |
| Formal events | 800 | 4.814 | 2.207 | |
| Overall goodness | Overall goodness | 800 | 5.446 | 2.065 |
| Living environment variables | ||||
| Nationality (continent) | Korea (ref. group) | 100 | 0.500 | 0.503 |
| African countries | 100 | 0.130 | 0.338 | |
| Asian countries except Korea | 100 | 0.250 | 0.435 | |
| Central and South American countries | 100 | 0.070 | 0.256 | |
| European countries | 100 | 0.050 | 0.219 | |
| Urbanity level of hometown | Natural and rural (ref. group) | 100 | 0.130 | 0.338 |
| Suburban | 100 | 0.150 | 0.359 | |
| General urban | 100 | 0.220 | 0.416 | |
| Urban center | 100 | 0.390 | 0.490 | |
| Urban core | 100 | 0.110 | 0.314 | |
| Housing type | High-rise building (ref. = low-rise building) | 100 | 0.480 | 0.502 |
| Other individual characteristics and control variables | ||||
| Major | Urban studies (ref. group) | 100 | 0.630 | 0.485 |
| Architecture | 100 | 0.070 | 0.256 | |
| Arts and social science | 100 | 0.150 | 0.359 | |
| Science and engineering | 100 | 0.150 | 0.359 | |
| Gender | Female | 100 | 0.380 | 0.488 |
| Age (years) | 21–25 (reference group) | 100 | 0.530 | 0.502 |
| 26–30 | 100 | 0.270 | 0.446 | |
| ≥31 | 100 | 0.200 | 0.402 | |
| University | Chung-Ang University (ref. group) | 100 | 0.800 | 0.402 |
| University of Seoul | 100 | 0.150 | 0.359 | |
| Yonsei University | 100 | 0.050 | 0.219 | |
| IVR experience | Have experienced | 100 | 0.610 | 0.490 |
| HMD type | Oculus Go (ref. group) | 100 | 0.560 | 0.499 |
| Oculus Rift | 100 | 0.440 | 0.499 | |
| Intuitive Qualities | Behavioral Suitability for Social Activities | Overall Goodness | ||||||||
|---|---|---|---|---|---|---|---|---|---|---|
| Coziness | Openness | Informal Gatherings | Formal Events | |||||||
| B | p | B | p | B | p | B | p | B | p | |
| D/H ratio | −0.079 | 0.008 *** | 0.264 | 0.000 *** | 0.088 | 0.002 *** | 0.125 | 0.000 *** | 0.133 | 0.000 *** |
| Large square | −0.087 | 0.553 | −0.201 | 0.184 | −0.698 | 0.000 *** | 0.676 | 0.000 *** | 0.043 | 0.746 |
| Complex façade | 0.704 | 0.000 *** | 0.801 | 0.000 *** | 0.541 | 0.000 *** | 0.641 | 0.000 *** | 1.245 | 0.000 *** |
| Nationality (ref. = Korea) | ||||||||||
| African | 0.115 | 0.767 | −0.285 | 0.478 | 0.388 | 0.301 | −0.737 | 0.058 * | −0.312 | 0.376 |
| Asian (except Korea) | −0.487 | 0.101 | −0.219 | 0.476 | -0.191 | 0.505 | −0.604 | 0.043 ** | −0.572 | 0.034 ** |
| C/S American | −0.050 | 0.895 | −0.394 | 0.313 | −0.085 | 0.816 | −0.845 | 0.025 ** | −0.741 | 0.030 ** |
| European | −0.578 | 0.184 | 0.074 | 0.870 | −0.655 | 0.119 | −0.382 | 0.380 | −0.522 | 0.185 |
| Urbanity level of hometown (ref. = natural and rural) | ||||||||||
| Suburban | −0.096 | 0.762 | 0.121 | 0.713 | 0.358 | 0.242 | −0.157 | 0.621 | −0.121 | 0.673 |
| General urban | −0.285 | 0.328 | 0.527 | 0.081 * | 0.298 | 0.291 | −0.191 | 0.514 | 0.062 | 0.815 |
| Urban center | 0.027 | 0.922 | −0.167 | 0.563 | −0.074 | 0.783 | −0.499 | 0.074 * | −0.531 | 0.036 ** |
| Urban core | 0.130 | 0.702 | -0.478 | 0.174 | 0.211 | 0.521 | −0.742 | 0.030 ** | −0.787 | 0.011 ** |
| Housing type (high-rise = 1) | −0.178 | 0.363 | 0.598 | 0.003 *** | 0.136 | 0.471 | 0.031 | 0.873 | 0.238 | 0.178 |
| Major (ref. = urban studies) | ||||||||||
| Architecture | −1.360 | 0.000 *** | −0.536 | 0.160 | −1.515 | 0.000 *** | -0.721 | 0.051* | −1.138 | 0.001*** |
| Arts and social science | −1.179 | 0.000 *** | −0.596 | 0.021 ** | −0.977 | 0.000 *** | -0.620 | 0.013** | −0.405 | 0.073* |
| Science and engineering | −0.571 | 0.028 ** | 0.010 | 0.971 | −0.430 | 0.086 * | -0.209 | 0.420 | −0.209 | 0.375 |
| Gender (female = 1) | −0.218 | 0.192 | 0.234 | 0.177 | 0.226 | 0.161 | 0.027 | 0.873 | 0.473 | 0.002*** |
| Age (ref. = 21–25) (years) | ||||||||||
| 26–30 | 0.037 | 0.867 | −0.168 | 0.463 | −0.566 | 0.008 *** | -0.482 | 0.029 ** | −0.068 | 0.736 |
| ≥ 31 | 0.506 | 0.067 * | −0.516 | 0.071 * | -0.950 | 0.000 *** | -0.626 | 0.024 ** | 0.144 | 0.565 |
| University (ref. = CAU) | ||||||||||
| University of Seoul | −0.748 | 0.033 ** | 0.040 | 0.911 | −0.141 | 0.677 | −0.142 | 0.686 | −0.415 | 0.190 |
| Yonsei University | 0.295 | 0.526 | −1.039 | 0.031 ** | 0.193 | 0.667 | −0.018 | 0.970 | 0.280 | 0.507 |
| IVR experience (Y = 1) | 0.174 | 0.333 | −0.472 | 0.011 ** | −0.112 | 0.519 | −0.535 | 0.003 *** | 0.099 | 0.543 |
| HMD type (Oculus Rift = 1) | 0.958 | 0.000 *** | 0.919 | 0.000 *** | 0.814 | 0.000 *** | 0.786 | 0.000 *** | 0.940 | 0.000 *** |
| Survey order of the profile cards | −0.039 | 0.222 | −0.003 | 0.933 | −0.014 | 0.647 | −0.015 | 0.635 | −0.011 | 0.707 |
| (Constant) | 5.783 | 0.000 *** | 3.985 | 0.000 *** | 5.466 | 0.000 *** | 4.796 | 0.000 *** | 4.322 | 0.000 *** |
| Adj. R-Square | 0.103 | 0.181 | 0.129 | 0.130 | 0.185 | |||||
| Korean | African | Asian | Central and South American | European | Full Sample | |
|---|---|---|---|---|---|---|
| Attribute importance | ||||||
| D/H ratio | 46.139 | 38.715 | 42.517 | 44.676 | 46.138 | 44.020 |
| Square size | 25.441 | 26.038 | 28.270 | 19.653 | 29.399 | 25.981 |
| Façade detail | 28.420 | 35.247 | 29.212 | 35.671 | 24.462 | 29.999 |
| Utilities (part-worth) | ||||||
| D/H ratio 2 | −0.913 | −0.179 | −0.568 | −1.333 | −0.400 | −0.753 |
| D/H ratio 4 | 0.482 | −0.083 | 0.228 | 0.452 | −0.500 | 0.302 |
| D/H ratio 8 | 0.432 | 0.263 | 0.340 | 0.881 | 0.900 | 0.452 |
| 25 × 25 m square Size | −0.280 | 0.654 | 0.037 | −0.036 | 0.900 | 0.000 |
| 50 × 50 m square Size | 0.280 | −0.654 | −0.037 | 0.036 | −0.900 | 0.000 |
| Monotonous façade | −0.780 | −0.885 | −0.852 | −1.143 | −0.750 | −0.837 |
| Complex façade | 0.780 | 0.885 | 0.852 | 1.143 | 0.750 | 0.837 |
| # of participants | 50 | 13 | 25 | 7 | 5 | 100 |
| Total | Korea | African | Asian | Central and South American | European | |
|---|---|---|---|---|---|---|
| T1–T2 | 13 | 3 | 3 | 6 | 0 | 1 |
| T3–T4 | 37 | 10 | 8 | 12 | 4 | 3 |
| T5–T6 | 50 | 37 | 2 | 7 | 3 | 1 |
| Low-rise | 52 | 15 | 12 | 17 | 6 | 2 |
| High-rise | 48 | 35 | 1 | 8 | 1 | 3 |
| N | 100 | 50 | 13 | 25 | 7 | 5 |
| T1–T2 | T3–T4 | T5–T6 | High-Rise Housing | Low-Rise Housing | Full Sample | |
|---|---|---|---|---|---|---|
| Attribute importance | ||||||
| D/H ratio | 41.473 | 40.826 | 47.045 | 45.809 | 42.368 | 44.020 |
| Square size | 32.873 | 27.736 | 22.891 | 24.791 | 27.080 | 25.981 |
| Façade detail | 25.653 | 31.438 | 30.064 | 29.400 | 30.552 | 29.999 |
| Utilities (part-worth) | ||||||
| D/H ratio 2 | 0.077 | −0.838 | −0.907 | −0.729 | −0.776 | −0.753 |
| D/H ratio 4 | 0.096 | 0.264 | 0.383 | 0.432 | 0.181 | 0.302 |
| D/H ratio 8 | −0.173 | 0.574 | 0.523 | 0.297 | 0.595 | 0.452 |
| 25 × 25 m square size | 0.346 | 0.095 | −0.160 | −0.078 | 0.072 | 0.000 |
| 50 × 50 m square size | −0.346 | −0.095 | 0.160 | 0.078 | −0.072 | 0.000 |
| Monotonous façade | −0.538 | −0.865 | −0.895 | −0.781 | −0.889 | −0.837 |
| Complex façade | 0.538 | 0.865 | 0.895 | 0.781 | 0.889 | 0.837 |
| # of participants | 13 | 37 | 50 | 48 | 52 | 100 |
© 2020 by the authors. Licensee MDPI, Basel, Switzerland. This article is an open access article distributed under the terms and conditions of the Creative Commons Attribution (CC BY) license (http://creativecommons.org/licenses/by/4.0/).
Share and Cite
Kim, S.; Kim, J.; Kim, B. Immersive Virtual Reality-Aided Conjoint Analysis of Urban Square Preference by Living Environment. Sustainability 2020, 12, 6440. https://doi.org/10.3390/su12166440
Kim S, Kim J, Kim B. Immersive Virtual Reality-Aided Conjoint Analysis of Urban Square Preference by Living Environment. Sustainability. 2020; 12(16):6440. https://doi.org/10.3390/su12166440
Chicago/Turabian StyleKim, Seungnam, Jaecheol Kim, and Beakchan Kim. 2020. "Immersive Virtual Reality-Aided Conjoint Analysis of Urban Square Preference by Living Environment" Sustainability 12, no. 16: 6440. https://doi.org/10.3390/su12166440
APA StyleKim, S., Kim, J., & Kim, B. (2020). Immersive Virtual Reality-Aided Conjoint Analysis of Urban Square Preference by Living Environment. Sustainability, 12(16), 6440. https://doi.org/10.3390/su12166440

