Sign in to use this feature.

Years

Between: -

Subjects

remove_circle_outline
remove_circle_outline
remove_circle_outline
remove_circle_outline
remove_circle_outline
remove_circle_outline
remove_circle_outline
remove_circle_outline
remove_circle_outline

Journals

remove_circle_outline
remove_circle_outline
remove_circle_outline
remove_circle_outline
remove_circle_outline
remove_circle_outline
remove_circle_outline
remove_circle_outline
remove_circle_outline
remove_circle_outline
remove_circle_outline
remove_circle_outline
remove_circle_outline
remove_circle_outline
remove_circle_outline
remove_circle_outline
remove_circle_outline
remove_circle_outline
remove_circle_outline
remove_circle_outline
remove_circle_outline
remove_circle_outline
remove_circle_outline
remove_circle_outline
remove_circle_outline
remove_circle_outline
remove_circle_outline
remove_circle_outline
remove_circle_outline
remove_circle_outline
remove_circle_outline
remove_circle_outline
remove_circle_outline
remove_circle_outline

Article Types

Countries / Regions

remove_circle_outline
remove_circle_outline
remove_circle_outline
remove_circle_outline
remove_circle_outline
remove_circle_outline
remove_circle_outline
remove_circle_outline

Search Results (4,520)

Search Parameters:
Keywords = environmental perception

Order results
Result details
Results per page
Select all
Export citation of selected articles as:
33 pages, 1056 KB  
Article
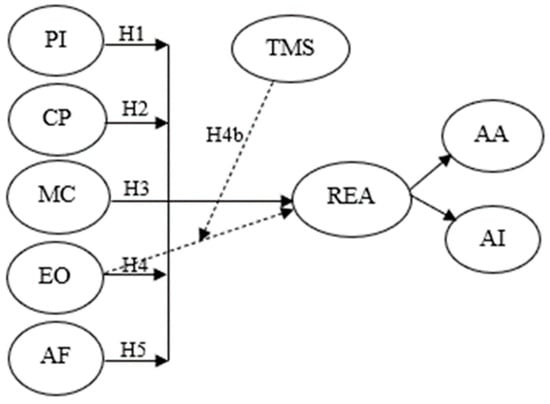
Barriers and Socio-Economic Drivers of Renewable Energy Adoption Among Manufacturing SMEs: A Structural Equation Modeling Approach
by Tanvir Fittin Abir, Md. Mamun Mia and Jewel Kumar Roy
Sustainability 2026, 18(8), 3809; https://doi.org/10.3390/su18083809 (registering DOI) - 11 Apr 2026
Abstract
Background: Small- and medium-sized enterprises (SMEs) constitute a large portion of the industrial energy demand in the emerging economies, but their shift to renewable energy is not well comprehended at the firm level. Bangladesh is a special case, since the country has adopted [...] Read more.
Background: Small- and medium-sized enterprises (SMEs) constitute a large portion of the industrial energy demand in the emerging economies, but their shift to renewable energy is not well comprehended at the firm level. Bangladesh is a special case, since the country has adopted national commitments to Sustainable Development Goal 7 on clean energy, but the uptake of renewable energy by SMEs remains minimal due to complex socio-economic factors. Most of the literature has concentrated on household access to energy or national policy models, leaving a gap in empirically validated models of firm-level adoption in the manufacturing sector. Method: Based on the diffusion of innovation theory, institutional theory, and the resource-based view, this research paper formulates and empirically verifies a combined socio-economic model of renewable energy adoption. Partial least squares structural equation modeling (PLS-SEM) was used to analyze a cross-sectional survey of 426 owners and managers of manufacturing SMEs in Bangladesh’s textile and food processing sub-sectors. Findings: Four out of five hypothesized direct relationships were supported. The most important drivers were environmental orientation (β = 0.467, p < 0.001, f2 = 0.413), market competitiveness (β = 0.287, p < 0.001, f2 = 0.413), policy and institutional factors (β = 0.211, p < 0.001, f2 = 0.413), and access to finance (β = 0.096, p = 0.004). Perceptions of cost did not become significant (β= −0.036, p = 0.279). Top management support significantly and negatively moderated the relationship between environmental orientation and adoption (β = −0.093, p = 0.003), possibly because it moderates the substitution mechanism in SME decision-making, which is highly centralized. The model accounted for 64.5% of the variation in renewable energy adoption (R2 = 0.645). Conclusion: The results show that attitudinal and institutional factors tend to be more important than financial barriers in determining SMEs’ energy transitions. Environmental consciousness, market incentives, and streamlined institutional access should be the focus of policy interventions to hasten inclusive low-carbon transitions in emerging manufacturing economies. Full article
(This article belongs to the Special Issue Energy Sustainability in the 21st Century)
Show Figures

Figure 1

14 pages, 416 KB  
Article
A Qualitative Study of Maternal and Caregiver Perceptions of Dietary Practices Contributing to Undernutrition Among Children Under Five in Ngqeleni, Eastern Cape
by Patiswa Mto and Xolelwa Ntlongweni
Int. J. Environ. Res. Public Health 2026, 23(4), 482; https://doi.org/10.3390/ijerph23040482 (registering DOI) - 11 Apr 2026
Abstract
Background: Undernutrition among children under five years remains a major public health challenge, particularly in low- and middle-income countries and rural communities where poverty, food insecurity, and limited access to health services persist. Maternal and caregiver perceptions play a critical role in shaping [...] Read more.
Background: Undernutrition among children under five years remains a major public health challenge, particularly in low- and middle-income countries and rural communities where poverty, food insecurity, and limited access to health services persist. Maternal and caregiver perceptions play a critical role in shaping feeding practices and health-seeking behaviours that influence child nutritional outcomes. Objective: This study explored mothers’ and caregivers’ perceptions of factors contributing to undernutrition among children under five years in a rural community of Ngqeleni, Eastern Cape, South Africa. Methods: A qualitative descriptive study was conducted at a primary healthcare clinic in the Ngqeleni sub-district. Purposive sampling was used to recruit mothers and caregivers of children under five years. Data were collected through seven in-depth interviews and three focus group discussions involving a total of 25 participants. Interviews were conducted using a semi-structured guide and analyzed thematically. Results: Five major themes emerged: caregivers’ perceptions of nutrition, household food insecurity and unemployment, limited dietary diversity, culturally influenced feeding practices, and gaps in practical nutrition knowledge. Caregivers demonstrated concern for child nutrition but described constrained feeding choices shaped by poverty, reliance on social grants, environmental challenges, and limited access to diverse foods. Environmental challenges such as drought and lack of piped water further limited food production. Limited nutrition knowledge and reliance on informal information sources contributed to suboptimal feeding practices. Conclusions: Undernutrition in this rural setting is shaped by a complex interaction of economic hardship, environmental constraints, and limited caregiver knowledge. Community-based nutrition education, strengthened primary healthcare counselling, and multisectoral interventions addressing poverty, water access, and food security are essential to improve child nutrition outcomes. Full article
20 pages, 788 KB  
Article
Sustainable Practices and Climate Change Adaptation in Olive Farming: Insights from Producers in Aetolia–Acarnania, Greece
by Vassiliki Psilou, Eleni Zafeiriou, Chrysovalantou Antonopoulou, Christos Chatzissavvidis and Garyfallos Arabatzis
Agriculture 2026, 16(8), 845; https://doi.org/10.3390/agriculture16080845 - 10 Apr 2026
Abstract
Olive cultivation represents a key pillar of rural economies and cultural heritage in Mediterranean regions, including western Greece. Despite its socio-economic importance, the sector faces increasing pressures from climate change, market volatility, and technological transformation, while progress toward environmentally sustainable production remains uneven. [...] Read more.
Olive cultivation represents a key pillar of rural economies and cultural heritage in Mediterranean regions, including western Greece. Despite its socio-economic importance, the sector faces increasing pressures from climate change, market volatility, and technological transformation, while progress toward environmentally sustainable production remains uneven. This study investigates how olive farmers’ perceptions of carbon footprint and climate risks are influenced by their demographic characteristics. Primary data were collected through 402 structured questionnaires distributed to olive producers in the Aetolia–Acarnania region. The sample was designed to represent farmers directly engaged in olive production, ensuring the relevance and reliability of the collected data. The findings, based on descriptive statistics, reveal significant heterogeneity in producers’ perceptions of climate risks and their capacity to respond through sustainable practices. Demographic characteristics appear to play an important role in shaping awareness of carbon footprint and the potential adoption of environmentally responsible farming strategies. These results suggest that sustainability transitions in perennial cropping systems depend not only on technological availability but also on social, informational, and institutional capacities. Strengthening agricultural advisory services, farmer training, and climate adaptation strategies may therefore support the adoption of climate-smart practices in olive cultivation. Furthermore, cooperation and value-chain integration are identified as potentially important mechanisms for facilitating knowledge transfer and supporting the adoption of sustainable practices (e.g., efficient irrigation and optimized input use). However, their contribution to environmental performance and greenhouse gas mitigation cannot be directly inferred from the present perception-based analysis and should be examined in future research using appropriate quantitative or environmental assessment frameworks. Full article
24 pages, 2960 KB  
Article
Indoor Plant and Mental Wellbeing: Understanding Preferences, Perceptions, and Spatial Arrangements Among University Students
by Bing-Tao Xavier Lee and Koen Steemers
Buildings 2026, 16(8), 1494; https://doi.org/10.3390/buildings16081494 - 10 Apr 2026
Abstract
People spend most of their time indoors, highlighting the importance of indoor environmental quality for health and wellbeing. While previous studies have shown that exposure to nature can benefit wellbeing, much of this research has focused on outdoor environments, and less is known [...] Read more.
People spend most of their time indoors, highlighting the importance of indoor environmental quality for health and wellbeing. While previous studies have shown that exposure to nature can benefit wellbeing, much of this research has focused on outdoor environments, and less is known about how indoor plants and their spatial characteristics influence human perceptions and experiences. This paper reports on a survey study exploring how perceived health and wellbeing are influenced by indoor plants and human preferences for their characteristics, spatial arrangement, and other features within indoor environments. Indoor plants serve as visual and multisensory environmental stimuli. By examining the relationship between indoor plants, preferences, perceptions, visual comfort, multisensory experiences, and wellbeing, the study aims to understand these influences. The questionnaires include multiple-choice questions, yes-no questions, and open-ended questions, allowing the collection of both quantitative and qualitative data. The survey findings highlight the unique benefits of indoor plants, emphasising their potential to enhance wellbeing in ways that outdoor nature may not fully replicate in indoor settings. One significant finding of this study is that scattering indoor plants throughout a space can enhance the connection to nature through three-dimensional spatial interaction, potentially improving wellbeing. This arrangement may serve as a bridge to the outdoors, providing a psychological link to the natural environment. Crucial preference factors also include the complexity and coherence of indoor plants’ appearance, such as colour, shape, and size. The results further indicate that students prefer indoor plants over other elements such as cut flowers, fake plants, or artificial plant representations. The findings indicate that caring for indoor plants may foster emotional engagement, a sense of fulfilment, and place attachment through everyday interaction. In public spaces, plants may also enhance feelings of refuge and perceived security. These findings provide practical recommendations for designing indoor environments that enhance student wellbeing and human–environment interaction. Full article
(This article belongs to the Section Architectural Design, Urban Science, and Real Estate)
Show Figures

Figure 1

11 pages, 236 KB  
Article
Veterinary Medicine Students’ Perceptions of Hunting and Game Meat: A Cross-Sectional Survey at a Portuguese University
by Sara Marques, Ricardo J. Figueiredo, Alexandra Müller and Eduarda Gomes-Neves
Animals 2026, 16(8), 1149; https://doi.org/10.3390/ani16081149 - 9 Apr 2026
Abstract
Background: Veterinarians are pivotal to wildlife health surveillance and game-meat safety, yet these topics receive limited emphasis in many veterinary curricula. Understanding students’ perceptions can inform targeted educational improvements. Methods: We conducted a cross-sectional, anonymous online survey among students enrolled in the Integrated [...] Read more.
Background: Veterinarians are pivotal to wildlife health surveillance and game-meat safety, yet these topics receive limited emphasis in many veterinary curricula. Understanding students’ perceptions can inform targeted educational improvements. Methods: We conducted a cross-sectional, anonymous online survey among students enrolled in the Integrated Master’s in Veterinary Medicine at ICBAS-UP (Portugal). The questionnaire covered sociodemographic, meat and game-meat consumption, perceived appeal of working with game animals, and multi-select views on hunting, game-meat consumption and the veterinary role. We computed descriptive statistics and tested associations between categorical variables using Pearson’s Chi-square or Fisher’s exact tests (Monte Carlo correction when appropriate). Results: Of the 391 eligible students, 152 responded (39%). The majority (76%) associated hunting with veterinary inspection of game meat and research in epidemiology and emerging diseases, and many (72%) recognized as core roles monitoring the health of game animals and the contribution to public health and environmental sustainability. Significant associations included: prior game-meat consumption with finding game animals appealing/interest in learning more; year of enrolment with recognising hunting as an economic activity and acknowledging veterinary inspection and public health contributions; and perceiving game animals as appealing with associating hunting with population control (all p < 0.05; Cramer’s V indicating weak–moderate effects). Conclusions: Students show awareness of veterinary roles in game-animal health and meat inspection, but interest in working with game animals is low and knowledge gaps persist (e.g., inspection of game meat). Findings support curricular integration of wildlife health, game-meat inspection and One Health. Multicenter studies and evaluation of educational interventions are warranted. Full article
21 pages, 5538 KB  
Article
Design of Unattended Rain and Snow Protection Device for Total Station Based on D-S Evidence Fusion
by Liangquan Jia, Yong Liu, Guangzeng Du, Xinxin Li, Zhikang Wang, Yujie Lu and Zhibin Zhang
Sensors 2026, 26(8), 2327; https://doi.org/10.3390/s26082327 - 9 Apr 2026
Abstract
Aiming at the rain protection problem of outdoor precision instruments such as total stations, this paper designs an environmentally adaptive intelligent protection system based on D-S evidence fusion and state machine control. In terms of mechanical structure, the protective cover is designed as [...] Read more.
Aiming at the rain protection problem of outdoor precision instruments such as total stations, this paper designs an environmentally adaptive intelligent protection system based on D-S evidence fusion and state machine control. In terms of mechanical structure, the protective cover is designed as a sinking type, which not only improves the safety of the equipment but also avoids the shielding problem of the working surface compared with the traditional upward-lifting structure. The system collects data from multi-source meteorological sensors and uses D-S evidence theory for fusion decision-making. To alleviate decision conflicts in high-conflict scenarios, a conflict-guided dynamic weight adjustment strategy is introduced. Combined with a dual-layer finite state machine, the system realizes coordinated control between environmental perception and protection actions and can activate protection within 30 s under severe weather. Simulation results show that the improved method increases the response speed by 41.9–62.5% compared with traditional D-S fusion in weather transition conditions. In a 28-day field test, the system achieves a daily protection success rate of 96.4% and 100% reliability in critical weather transitions. The proposed system can provide reliable support for the all-weather safe operation of field precision measurement equipment. Full article
(This article belongs to the Section Environmental Sensing)
Show Figures

Figure 1

28 pages, 2994 KB  
Article
Hierarchical Redundancy-Driven Real-Time Replanning for Manipulators Under Dynamic Environments and Task Constraints
by Yi Zhang, Hongguang Wang, Xinan Pan and Qianyi Wang
Electronics 2026, 15(8), 1577; https://doi.org/10.3390/electronics15081577 - 9 Apr 2026
Abstract
Redundant robot manipulators are widely used in constrained operations and tasks in complex environments. However, when multiple task constraints and inequality constraints coexist, motion planning becomes significantly more difficult. In high-dimensional configuration spaces, conventional planners are prone to local minima and may generate [...] Read more.
Redundant robot manipulators are widely used in constrained operations and tasks in complex environments. However, when multiple task constraints and inequality constraints coexist, motion planning becomes significantly more difficult. In high-dimensional configuration spaces, conventional planners are prone to local minima and may generate trajectories that are difficult to execute in real time. To address these issues, this paper proposes a hierarchical, redundancy-driven real-time replanning framework. First, we perform Cartesian sampling on the task-constraint manifold to reduce the search dimension and generate multiple candidate joint configurations for each Cartesian sample via a redundancy mapping. During connection, manipulability and executability margin are used as evaluation metrics, so that redundant degrees of freedom are explicitly exploited in tree expansion and configuration selection. Second, at the local execution layer, we employ a null-space manipulability optimization strategy to continuously improve dexterity while keeping the primary task unchanged and combine it with a priority-based hard inequality constraint filtering mechanism to project the nominal motion onto the feasible set under joint limits, velocity bounds, and safety-distance constraints in real time. Unlike existing approaches that treat global planning and local control as loosely coupled modules, the proposed framework unifies redundancy reconfiguration, feasibility maintenance, and topological replanning within a single closed-loop structure, thereby reinterpreting local minima as event-triggered topology-switching conditions. To handle the mismatch between dynamic environments and real-time perception, we further introduce a feasibility-margin monitoring mechanism that triggers event-based replanning based on changes in manipulability, constraint scaling, and safety distance, enabling fast topology-level switching and escape from local minima. Simulation and experimental results show that the proposed method effectively restores manipulability through redundancy-driven configuration adjustment and achieves a higher success rate of local recovery under dynamic obstacle intrusion. In forced replanning scenarios, the framework further demonstrates faster environmental response and lower replanning overhead while maintaining better task-constraint stability compared with existing approaches. Full article
(This article belongs to the Section Systems & Control Engineering)
Show Figures

Figure 1

26 pages, 5800 KB  
Article
Agentic AI-Based IoT Precision Agriculture Framework—Our Vision and Challenges
by Danco Davcev, Slobodan Kalajdziski, Ivica Dimitrovski, Ivan Kitanovski and Kosta Mitreski
AgriEngineering 2026, 8(4), 147; https://doi.org/10.3390/agriengineering8040147 - 9 Apr 2026
Abstract
Accurate, timely, and resource-efficient decision-making is critical for sustainable precision agriculture. This paper proposes an agentic AI-based Internet of Things (IoT) framework that enables coordinated, closed-loop perception–decision–action processes across heterogeneous sensing and actuation components. The framework models agricultural systems as distributed collections of [...] Read more.
Accurate, timely, and resource-efficient decision-making is critical for sustainable precision agriculture. This paper proposes an agentic AI-based Internet of Things (IoT) framework that enables coordinated, closed-loop perception–decision–action processes across heterogeneous sensing and actuation components. The framework models agricultural systems as distributed collections of goal-driven agents responsible for multimodal sensing, uncertainty-aware reasoning, and adaptive decision-making. To provide a structured foundation, the proposed architecture is formalized within a Multi-Agent Partially Observable Markov Decision Process (MPOMDP) perspective, enabling systematic treatment of coordination, uncertainty, and decision policies. The framework integrates multimodal information sources, including vision-based perception and environmental sensing, and defines mechanisms for their fusion and use in system-level decision-making. A proof-of-concept instantiation is presented using publicly available datasets, combining visual perception models and tabular reasoning models within the proposed agentic workflow. The experiments are designed to demonstrate the feasibility, modularity, and coordination capabilities of the framework, rather than to benchmark predictive performance or provide field-validated evaluation. The results illustrate how multimodal information can be integrated to support adaptive and resource-aware decision processes. Finally, the paper discusses key challenges and outlines directions for future work, including real-world deployment, integration with physical actuation systems, and validation under operational conditions. Full article
(This article belongs to the Special Issue The Future of Artificial Intelligence in Agriculture, 2nd Edition)
Show Figures

Figure 1

21 pages, 2210 KB  
Article
From Wildfires to Sustainable Forest Governance: An Analysis of Media Framing and Social Acceptance in the Mediterranean Context
by Marta Esteve-Navarro, José-Vicente Oliver-Villanueva, Celia Yagüe-Hurtado and Guillermo Palau-Salvador
Sustainability 2026, 18(8), 3687; https://doi.org/10.3390/su18083687 - 8 Apr 2026
Viewed by 174
Abstract
Mediterranean forests are increasingly exposed to climate-related risks, including large wildfires, prolonged droughts and rural abandonment, making sustainable forest management (SFM) a key element for climate adaptation and territorial resilience. However, despite its recognised importance, the social acceptance of SFM remains insufficiently understood, [...] Read more.
Mediterranean forests are increasingly exposed to climate-related risks, including large wildfires, prolonged droughts and rural abandonment, making sustainable forest management (SFM) a key element for climate adaptation and territorial resilience. However, despite its recognised importance, the social acceptance of SFM remains insufficiently understood, particularly in relation to how public perceptions are shaped by media narratives and information ecosystems. This study addresses this gap by analysing the relationship between media framing and social acceptance of SFM in a Mediterranean context. A mixed-methods approach was applied in the Valencian region (Spain), combining (i) a systematic analysis of conventional and digital media, (ii) a system mapping exercise to identify dominant narratives and communication dynamics, and (iii) a population survey (n = 1070) focused on perceptions of forests, climate change and forest management. The results reveal a high level of environmental concern and climate awareness, coexisting with limited knowledge of SFM and simplified or distorted perceptions of forest dynamics. Media coverage is predominantly reactive and event-driven, strongly focused on wildfire events, while preventive and adaptive forest management practices remain largely invisible. In this context, support for SFM increases significantly when management practices are clearly explained and contextualised, indicating that resistance is more closely related to communication gaps than to ideological opposition. These findings highlight the critical role of media framing and communication processes in shaping the social acceptance of SFM. The study contributes to the literature by integrating media analysis and social perception within a forest governance perspective, and provides empirical insights to support more effective communication strategies and policy design in Mediterranean regions facing increasing climate pressures. Full article
(This article belongs to the Section Sustainable Forestry)
Show Figures

Figure 1

20 pages, 2131 KB  
Article
Academic Perceptions of Sea Turtle Conservation in Sinaloa, Mexico: Evidence from an Exploratory Factor Analysis
by Manuel Alejandro Avendaño Leon, Héctor José Peinado Guevara, Jorge Saul Ramirez Perez, Víctor Manuel Peinado Guevara, Luz Isela Peinado Guevara, Ingmar Sosa Cornejo, Jesús Alberto Peinado Guevara, Jaime Herrera Barrientos, Andrea Alejandra Padilla Lafarga and Alejandro Urias Camacho
Sustainability 2026, 18(8), 3666; https://doi.org/10.3390/su18083666 - 8 Apr 2026
Viewed by 124
Abstract
Marine turtles are key species for the stability of coastal and oceanic ecosystems; however, their conservation faces increasing pressures derived from climate change and anthropogenic activities. This study analyzes the perception of the academic and scientific community in biology, environmental sciences, and marine [...] Read more.
Marine turtles are key species for the stability of coastal and oceanic ecosystems; however, their conservation faces increasing pressures derived from climate change and anthropogenic activities. This study analyzes the perception of the academic and scientific community in biology, environmental sciences, and marine sciences regarding marine turtle conservation along the coast of Sinaloa, Mexico. A quantitative cross-sectional survey-based study with an exploratory approach was employed, using a Likert-scale questionnaire administered to 358 participants. The instrument demonstrated adequate internal consistency (α = 0.836; ω = 0.827). An exploratory factor analysis (EFA) using principal component extraction identified four components explaining 55.51% of the total variance, corresponding to four dimensions: (1) commitment to conservation, (2) environmental and climatic impacts on reproductive processes, (3) key factors and threats in the reproductive cycle, and (4) conservation practices and knowledge. Results suggest a general tendency toward agreement on the ecological importance of marine turtles and the threats affecting their reproductive success, particularly climate-related and habitat degradation factors. However, greater variability was observed in perceptions related to applied practices and technical knowledge, indicating differences in perceptions related to the implementation of conservation strategies. These findings suggest the potential relevance of strengthening applied training, interdisciplinary collaboration, and knowledge transfer mechanisms to enhance the effectiveness of conservation initiatives in priority nesting areas of Sinaloa. Full article
(This article belongs to the Section Sustainability, Biodiversity and Conservation)
Show Figures

Figure 1

22 pages, 4214 KB  
Article
Sustainable Automation of Monitoring and Production Accounting in Greenhouse Complexes Using Integrated AI, Robotics, and Data Systems
by Alexander Uzhinskiy, Lev Teryaev, Artem Dorokhin and Mikhail Ivashev
Sustainability 2026, 18(7), 3620; https://doi.org/10.3390/su18073620 - 7 Apr 2026
Viewed by 172
Abstract
Production greenhouse complexes increasingly require automation and digitalization to address rising labor costs, improve productivity, and support sustainable resource use. However, most existing solutions target isolated tasks and lack a unified framework for continuous monitoring and production-oriented accounting at facility scale. This paper [...] Read more.
Production greenhouse complexes increasingly require automation and digitalization to address rising labor costs, improve productivity, and support sustainable resource use. However, most existing solutions target isolated tasks and lack a unified framework for continuous monitoring and production-oriented accounting at facility scale. This paper proposes a system-level architecture that integrates robotic monitoring platforms, AI-based perception, and cloud-based data management into a coherent operational framework. The robotic monitoring platforms operate on rails and concrete surfaces and are capable of elevating cameras and sensors up to 5 m to support plant-health assessment, environmental monitoring, and production accounting. Aggregated data are incorporated into a digital twin that supports spatial traceability, historical analysis, and decision support. The proposed approach enables continuous inspection, improves early detection of crop stress, reduces repetitive manual scouting, and supports targeted interventions. The framework provides a scalable foundation for sustainable, data-driven greenhouse management and practical deployment of robotic monitoring systems in industrial production environments. Full article
Show Figures

Figure 1

23 pages, 6225 KB  
Article
Experiencing Coordination with Non-Humans Through Role-Playing: The “Ubuntu” Game for Engaging with Non-Human Agency
by Nicolas Gaidet
Sustainability 2026, 18(7), 3602; https://doi.org/10.3390/su18073602 - 7 Apr 2026
Viewed by 138
Abstract
Scholars across disciplines are urging a rethinking of human–nature relationships beyond anthropocentrism, but these ideas remain difficult to convey to broader audiences and to implement in environmental management practices. This study analyses the design and performance of a serious game (used in 12 [...] Read more.
Scholars across disciplines are urging a rethinking of human–nature relationships beyond anthropocentrism, but these ideas remain difficult to convey to broader audiences and to implement in environmental management practices. This study analyses the design and performance of a serious game (used in 12 sessions with 99 participants in total) developed to encourage participants to reflect on modes of attention and relationships with non-humans in an everyday environment. The game draws on storytelling and art-based approaches to guide players through a thought experiment in which humans and non-humans can gradually communicate and coordinate. A series of game features have been designed to challenge players’ perception of ownership, stakeholders and agency beyond humans. In the sessions played, players initially competed against each other. The revelation, throughout the game, of non-humans’ presence in the landscape, and among the game’s characters themselves, led players to cooperate. Yet they mostly cooperated among human characters to address the needs of non-humans, but they rarely engaged directly with the non-human characters themselves through voluntary interactions. Engaging participants to act as, and interact with, non-humans through role-play allows questioning established interpretations and power dynamics in land or resource management. It offers an imaginative yet embodied experience for exploring what happens if non-humans are treated as active partners with whom we can directly communicate and coordinate to address environmental challenges. Full article
(This article belongs to the Section Sustainability, Biodiversity and Conservation)
Show Figures

Graphical abstract

20 pages, 746 KB  
Article
Assessing Public Perceptions and Technical Potential of Waste-to-Energy in Kuwait’s Residential Sector
by Ziad Hunaiti, Sultan Alotaibi, Zayed Ali Huneiti and Wamadeva Balachandran
Urban Sci. 2026, 10(4), 206; https://doi.org/10.3390/urbansci10040206 - 6 Apr 2026
Viewed by 250
Abstract
Kuwait faces mounting challenges in municipal solid waste (MSW) management alongside continued dependence on fossil-fuel-based electricity generation. Per capita waste generation in Kuwait is approximately 1.7 kg/person/day, exceeding the global average of 0.74 kg/person/day, indicating substantial potential for resource recovery and energy conversion. [...] Read more.
Kuwait faces mounting challenges in municipal solid waste (MSW) management alongside continued dependence on fossil-fuel-based electricity generation. Per capita waste generation in Kuwait is approximately 1.7 kg/person/day, exceeding the global average of 0.74 kg/person/day, indicating substantial potential for resource recovery and energy conversion. This study evaluates public perceptions of waste-to-energy (WtE) in Kuwait’s residential sector and estimates the potential electricity that could be generated from household waste. A structured online household survey (n = 470) was administered to assess socio-demographic characteristics and key perception constructs, including awareness, perceived risks, perceived benefits, and overall attitudes toward WtE. In parallel, a quantitative estimation was undertaken using literature-based parameters for monthly per capita waste generation and electricity consumption to derive household-level waste quantities, corresponding energy potential, and generated-to-consumed energy ratios. Survey findings indicate generally favourable attitudes toward WtE and recognition of its potential to reduce landfill dependence and contribute to electricity supply, although respondents showed stronger support for locating WtE facilities away from residential neighbourhoods. Perceived risks—particularly related to health and environmental impacts—remained salient, while perceived benefits associated with waste reduction and local economic value were also acknowledged. The technical assessment indicates that higher waste generation increases theoretical energy recovery potential; however, high residential electricity demand reduces the relative contribution of WtE, with a generated-to-consumed energy ratio of approximately 2, compared with a global benchmark ratio of 4.1. This study highlights the need for targeted public engagement, improved source segregation, and more detailed Kuwait-specific technical and economic evaluations to support evidence-based WtE policy and investment decisions. Full article
Show Figures

Figure 1

29 pages, 10248 KB  
Article
Fs2PA: A Full-Scale Feature Synergistic Perception Architecture for Vehicular Infrared Object Detection via Physical Priors and Semantic Constraints
by Boxuan Pei, Leyuan Wu, Xiaoyan Zheng, Chao Zhou and Dingxiang Wang
Sensors 2026, 26(7), 2257; https://doi.org/10.3390/s26072257 - 6 Apr 2026
Viewed by 178
Abstract
Vehicular infrared object detection is a key technology supporting autonomous driving systems to achieve all-weather environmental perception. However, infrared images inherently lack texture, resulting in blurred object contours. Additionally, deep network propagation severely erodes and loses feature information of distant tiny objects. To [...] Read more.
Vehicular infrared object detection is a key technology supporting autonomous driving systems to achieve all-weather environmental perception. However, infrared images inherently lack texture, resulting in blurred object contours. Additionally, deep network propagation severely erodes and loses feature information of distant tiny objects. To address the above issues, this study proposes a Full-Scale Feature Synergistic Perception Architecture for vehicular infrared object detection. This architecture first designs a Gradient-Informed Attention module, which initializes convolution kernels through physical gradient operators to inject geometric prior information into the network, enhancing the model’s perception capability of blurred object boundaries. Secondly, it constructs a Full-Scale Feature Pyramid containing a P2 high-resolution feature layer to effectively recover the geometric detail features of distant tiny objects. Finally, it proposes a Scale-Aware Shared Head, which relies on a cross-scale parameter sharing mechanism to achieve extreme parameter compression, and simultaneously introduces deep semantic information to form strong constraints, suppressing noise interference in shallow features. Experimental results on the FLIR v2 and M3FD datasets show that the proposed architecture exhibits excellent detection performance. On FLIR v2, it raises mAP@50 to 64.06% (6.51% relative gain vs. YOLOv11) while maintaining 547 FPS inference speed, achieving an optimal accuracy–efficiency balance. Full article
Show Figures

Graphical abstract

22 pages, 745 KB  
Article
Quality Expectations and Willingness to Pay of German, Italian, and Turkish Strawberry Consumers
by Eda Yaşa Özeltürkay, Stefano Predieri, Chiara Medoro, Edoardo Gatti, Marta Cianciabella, Giulia Maria Daniele, Luca Mazzoni, Saila Karhu, Terhi Latvala, Ebru Kafkas, Duygu Ayvaz Sönmez, Klaus Olbricht and Bruno Mezzetti
Horticulturae 2026, 12(4), 451; https://doi.org/10.3390/horticulturae12040451 - 5 Apr 2026
Viewed by 264
Abstract
This study investigated consumer expectations and perceived quality of strawberries across different geographical contexts to identify the main drivers of purchasing behavior within a cross-country framework. An online survey was conducted among consumers in Italy, Germany, and Turkey to explore consumption habits, purchasing [...] Read more.
This study investigated consumer expectations and perceived quality of strawberries across different geographical contexts to identify the main drivers of purchasing behavior within a cross-country framework. An online survey was conducted among consumers in Italy, Germany, and Turkey to explore consumption habits, purchasing channels, sensory expectations, product perceptions, and willingness to pay (WTP) for specific product attributes. Results confirmed a high level of consumer appreciation for strawberries across all countries, primarily driven by their sensory characteristics. However, purchasing behavior and consumption patterns were strongly influenced by cultural and market-related factors. Visual attributes were confirmed to be key cues guiding product choice; however, label indications related to sensory traits and functional properties exerted a greater influence. Flavor, firmness, and overall taste balance represented critical determinants of consumer satisfaction. Differences across demographic groups were also observed, with younger and male consumers reporting lower levels of satisfaction with key sensory attributes, including juiciness, aroma, and freshness. Cross-country comparisons revealed heterogeneous WTP patterns, with Turkish consumers showing a greater propensity to pay premium prices for quality-related, local, organic, and environmentally friendly attributes compared with German and Italian consumers. Overall, the findings highlight the combined influence of sensory quality, cultural context, and sociodemographic characteristics in shaping strawberry perception and purchasing behavior. These insights may support breeders, producers, and retailers in developing targeted product strategies and market positioning across different geographical areas and consumer segments. Full article
(This article belongs to the Special Issue Consumer Preferences for Horticultural Products)
Show Figures

Figure 1

Back to TopTop