Variability of Water Balance under Climate Change Scenarios. Implications for Sustainability in the Rhône River Basin
Abstract
1. Introduction
2. Materials and Methods
2.1. Study Area
2.2. Methodological Approach
2.2.1. Model Description
2.2.2. Model Input Data
Land Cover
Watershed Delimitation
Soil Data
Climate Data
2.2.3. Model Calibration
2.2.4. Altitudinal Delimitation of the Basin
- Valleys and hills (<500 m), a zone which includes most of the agricultural fields, as well as the leafy forest and the Mediterranean forest;
- Mountain (500–1200 m), a zone characterised by the existence of important pasture and the development of mainly mixed and leafy forests;
- Subalpine (1200–2000 m), constituted by the coniferous forests, which represent the highest altitude forest mass groups;
- Alpine (>2000 m), which gathers three environments—firstly, the lowest (subnival), represented by irregular vegetation restricted only to the most favourable places and where snow is found during part of the year. The second is the alpine zone, formed by a dense cover of vegetation including alpine meadows and sporadic bushes. In addition, finally, the glacial zone, covered in snow for most of the year.
3. Results
3.1. Trends in Monthly Reference Precipitation and Evapotranspiration Data
3.2. Model Calibration
3.3. Outputs of the Module “Water Yield”
3.4. Altitudinal Analysis of the Modelled Values
4. Discussion
5. Conclusions
Author Contributions
Funding
Acknowledgments
Conflicts of Interest
References
- IPCC. Global warming of 1.5 °C. An IPCC Special Report on the impacts of global warming of 1.5 °C above pre-industrial levels and related global greenhouse gas emission pathways, in the context of strengthening the global response to the threat of climate change, sustainable development, and efforts to eradicate poverty. In Summary for Policy Makers; Masson-Delmotte, V., Zhai, P., Pörtner, H.O., Roberts, D., Skea, J., Shukla, P.R., Pirani, A., Moufouma-Okia, W., Péan, C., Pidcock, R., et al., Eds.; IPCC: Geneva, Switzerland, 2018; Available online: https://www.ipcc.ch/site/assets/uploads/sites/2/2018/07/SR15_SPM_version_stand_alone_LR.pdf (accessed on 1 April 2020).
- Mendizabal, M.; Sepúlveda, J.; Torp, P. Climate change impacts on flood events and its consequences on human in Deba River. Int. J. Environ. Res. 2014, 8, 221–230. [Google Scholar]
- Pavanelli, D.; Capra, A. Climate change and human impacts on hydroclimatic variability in the reno river catchment, Northern Italy. Clean Soil Air Water 2014, 42, 535–545. [Google Scholar] [CrossRef]
- Bréthaut, C.; Clarvis, M.H. Interdisciplinary approaches for analysing governance challenges across the Rôhne basin. Reg. Environ. Chang. 2015, 15, 499–503. [Google Scholar] [CrossRef][Green Version]
- Olivier, J.M.; Carrel, G.; Lamouroux, N.; Dole-Olivier, M.J.; Malard, F.; Bravard, J.P.; Amoros, C. The Rhône River basin. In Rivers of Europe; Tockner, K., Robinson, C., Uehlinger, C.T., Eds.; Academic Press: London, UK, 2009; pp. 247–295. [Google Scholar]
- Guerrin, J.; Bouleau, G.; Grelot, F. “Functional fit” versus “politics of scale” in the governance of floodplain retention capacity. J. Hydrol. 2014, 519, 2405–2414. [Google Scholar] [CrossRef]
- Sauquet, E.; Richard, B.; Devers, A.; Prudhomme, C. Water restrictions under climate change: A Rhône–Mediterranean perspective combining bottom-up and top-down approaches. Hydrol. Earth Syst. Sci. 2019, 23, 3683–3710. [Google Scholar] [CrossRef]
- Bréthaut, C.; Pflieger, G. The shifting territorialities of the Rhone River’s transboundary governance: A historical analysis of the evolution of the functions, uses and spatiality of river basin governance. Reg. Environ. Chang. 2015, 15, 549–558. [Google Scholar] [CrossRef]
- Karpouzoglou, T.; Dewulf, A.; Clark, J. Advancing adaptive governance of social-ecological systems through theoretical multiplicity. Environ. Sci. Policy 2016, 57, 1–9. [Google Scholar] [CrossRef]
- Bréthaut, C. Transboundary Water Management: From Geopolitics to a Non-state Analytical Perspective: The Case of the Rhône River. In A Critical Approach to International Water Management Trends. Palgrave Studies in Water Governance: Policy and Practice; Bréthaut, C., Schweizer, R., Eds.; Palgrave Macmillan: London, UK, 2018; pp. 71–95. [Google Scholar] [CrossRef]
- Tonka, L. Hydropower license renewal and environmental protection policies: A comparison between Switzerland and the USA. Reg. Environ. Chang. 2014, 15, 539–548. [Google Scholar] [CrossRef]
- European Commission (EC). Guidance Document on the Intercalibration Process 2008–2011. Guidance Document No. 14. Implementation Strategy for the Water Framework Directive (2000/60/EC); Office for Official publications of the European Communities: Luxembourg, 2010; p. 102. [Google Scholar]
- Majone, B.; Villa, F.; Deidda, R.; Bellin, A. Impact of climate change and water use policies on hydropower potential in the south-eastern Alpine region. Sci. Total Environ. 2016, 543, 965–980. [Google Scholar] [CrossRef] [PubMed]
- Vivrioli, D.; Weingartner, R. Water towers a global view on the hydrological importance of mountains. In Mountains: Sources of Water, Sources of Knowledge; Wiegandt, E., Ed.; Springer: Dordrecht, The Netherlands, 2008; pp. 15–20. [Google Scholar]
- Briner, S.; Elkin, C.; Huber, R.; Grêt-Regamey, A. Assessing the impacts of economic and climate changes on land-use in mountain regions: A spatial dynamic modeling approach. Agric. Ecosyst. Environ. 2012, 149, 50–63. [Google Scholar] [CrossRef]
- Ruiz-Villanueva, V.; Stoffel, M.; Bussi, G.; Francés, F.; Bréthaut, C. Climate change impacts on discharges of the Rhone River in Lyon by the end of the twenty-first century: Model results and implications. Reg. Environ. Chang. 2015, 15, 505–515. [Google Scholar] [CrossRef]
- Beniston, M. Impacts of climatic change on water and associated economic activities in the Swiss Alps. J. Hydrol. 2012, 412, 291–296. [Google Scholar] [CrossRef]
- Beniston, M.; Stoffel, M. Assessing the impacts of climatic change on mountain water resources. Sci. Total Environ. 2014, 493, 1129–1137. [Google Scholar] [CrossRef] [PubMed]
- Gobiet, A.; Kotlarski, S.; Beniston, M.; Heinrich, G.; Rajczak, J.; Stoffel, M. 21st century climate change in the European Alps—A review. Sci. Total Environ. 2014, 493, 1138–1151. [Google Scholar] [CrossRef] [PubMed]
- Beniston, M.; Stoffel, M.; Hill, M. Impacts of climatic change on water and natural hazards in the Alps: Can current water governance cope with future challenges? examples from the European ‘‘ACQWA’’ project. Environ. Sci. Policy 2011, 14, 734–743. [Google Scholar] [CrossRef]
- Chauveau, M.; Chazot, S.; Perrin, C.; Bourgin, P.Y.; Sauquet, E.; Vidal, J.P.; Rouchy, N.; Martin, E.; David, J.; Norotte, T.; et al. Quels impacts des changements climatiques sur les eaux de surface en France à l’horizon 2070? La Houille Blanche Rev. Int. de l’eau EDP Sci. 2013, 4, 5–15. [Google Scholar] [CrossRef]
- Gaudard, L.; Romerio, F.; Dalla-Valle, F.; Gorret, R.; Maran, S.; Ravazzani, G.; Stoffel, M.; Volonterio, M. Climate change impacts on hydropower in the Swiss and Italian Alps. Sci. Total Environ. 2014, 493, 1211–1221. [Google Scholar] [CrossRef]
- Pellicciotti, F.; Carenzo, M.; Bordoy, R.; Stoffel, M. Changes in glaciers in the Swiss Alps and impact on basin hydrology: Current state of the art and future research. Sci. Total Environ. 2014, 493, 1152–1170. [Google Scholar] [CrossRef]
- Rohling, E.J.; Bryden, H.L. Man-induced salinity and temperature increases in Western Mediterranean Deep Water. J. Geophys. Res. 1992, 97, 191–198. [Google Scholar] [CrossRef]
- Bethoux, J.P.; Gentili, B. Functioning of the Mediterranean Sea: Past and present changes related to freshwater input and climate changes. J. Mar. Syst. 1999, 20, 33–47. [Google Scholar] [CrossRef]
- Barboux, C.; Strozzi, T.; Delaloye, R.; Wegmüller, U.; Collet, C. Mapping slope movements in Alpine environments using TerraSAR-X interferometric methods. ISPRS J. Photogramm. Remote Sens. 2016, 109, 178–192. [Google Scholar] [CrossRef]
- Delaloye, R.; Lambiel, C.; Gärtner-Roer, I. Overview of rock glacier kinematics research in the Swiss Alps: Seasonal rhythm, interannual variations and trends over several decades. Geogr. Helv. 2010, 65, 135–145. Available online: https://www.zora.uzh.ch/id/eprint/38562/1/Delaloye_Lambiel_Overview_Rock_Glacier_2010.pdf (accessed on 16 March 2020). [CrossRef]
- Mollaret, C.; Hilbich, C.; Pellet, C.; Flores-Orozco, A.; Delaloye, R.; Hauck, C. Mountain permafrost degradation documented through a network of permanent electrical resistivity tomography sites. Cryosphere 2019, 13, 2557–2578. [Google Scholar] [CrossRef]
- Jones, D.B.; Harrison, S.; Anderson, K.; Whalley, W.B. Rock glaciers and mountain hydrology: A review. Earth Sci. Rev. 2019, 193, 66–90. [Google Scholar] [CrossRef]
- Fatichi, S.; Rimkus, S.; Burlando, P.; Bordoy, R. Does internal climate variability overwhelm climate change signals in streamflow? The upper Po and Rhone basin case studies. Sci. Total Environ. 2014, 493, 1171–1182. [Google Scholar] [CrossRef]
- Sikorska, A.E.; Renard, B. Calibrating a hydrological model in stage space to account for rating curve uncertainties: General framework and key challenges. Adv. Water Resour. 2017, 105, 51–66. [Google Scholar] [CrossRef]
- Huss, M.; Zemp, M.; Joerg, P.C.; Salzmann, N. High uncertainty in 21st century runoff projections from glacierized basins. J. Hydrol. 2014, 510, 35–48. [Google Scholar] [CrossRef]
- IDR (French National Research Institute for Sustainable Development). Available online: http://www.ird.fr/ (accessed on 4 April 2019).
- Lamouroux, N.; Olivier, J.M.; Camenen, B.; Castella, E.; Clemens, A.; Doledec, S.; Forcellini, M.; Piégay, H.; Riquier, J.; Rosset, V. RhônEco (1998–2018). Suivi Écologique de la Restauration du Rhône. Bilan et Proposition Technique Pour la Période 2014–2018; halshs-01240098, Version 1; ZABR: Lyon, France, 2013; p. 9. [Google Scholar]
- HYDRO. Available online: http://hydro.eaufrance.fr (accessed on 13 March 2019).
- Clarvis, M.H.; Fatichi, S.; Allan, A.; Fuhrer, J.; Stoffel, M.; Romerio, F.; Gaudard, L.; Burlando, P.; Beniston, M.; Xoplaki, E.; et al. Governing and managing water resources under changing hydroclimatic contexts: The case of the upper Rhone basin. Environ. Sci. Policy 2014, 43, 56–67. [Google Scholar] [CrossRef]
- Etchevers, P.; Golaz, C.; Habets, F.; Noilhan, J. Impact of a climate change on the Rhone river catchment hydrology. J. Geophys. Res. 2002, 107, 6–18. [Google Scholar] [CrossRef]
- InVEST User Guide. Available online: http://releases.naturalcapitalproject.org/invest-userguide/latest/reservoirhydropowerproduction.html (accessed on 5 April 2020).
- Arkema, K.K.; Guannel, G.; Verutes, G.; Woo, S.A.; Guerry, A.; Ruckelshaus, M.; Silver, J.M. Coastal habitats shield people and property from sea-level rise and storms. Nat. Clim. Chang. 2013, 3, 913–918. [Google Scholar] [CrossRef]
- Wei, Y.; He, S.; Li, G.; Chen, X.; Shi, L.; Lei, G.; Su, Y. Identifying Nature–Community Nexuses for Sustainably Managing Social and Ecological Systems: A Case Study of the Qianjiangyuan National Park Pilot Area. Sustainability 2019, 11, 6182. [Google Scholar] [CrossRef]
- Fu, B.; Li, N. Tradeoff between Hydropower and River Visual Landscape Services in Mountainous Areas. Sustainability 2019, 11, 5509. [Google Scholar] [CrossRef]
- Meisch, C.; Schirpke, U.; Huber, L.; Rüdisser, J.; Tappeiner, U. Assessing Freshwater Provision and Consumption in the Alpine Space Applying the Ecosystem Service Concept. Sustainability 2019, 11, 1131. [Google Scholar] [CrossRef]
- Xu, X.; Liu, W.; Scanlon, B.R.; Zhang, L.; Pan, M. Local and global factors controlling water-energy balances within the Budyko framework. Geophys. Res. Lett. 2013, 40, 6123–6129. [Google Scholar] [CrossRef]
- Fu, B.P. On the calculation of the evaporation from land surface. Sci. Atmos. Sin. 1981, 5, 23–31. [Google Scholar]
- Budyko, M.I. Climate and Life; Van Mieghem, J., Hales, A.L., Eds.; Academic Press: New York, NY, USA, 1974; Volume 18. [Google Scholar]
- Sanchez-Canales, M.; López, A.; Pons, R.; Bangash, R.; Acuña, V.; Schuhmacher, M.; Elorza, F.J. Sensitivity analysis of an ecosystem service valuation: Application in a sediment retention modeling of a Mediterranean watershed. Sci. Total Environ. 2012, 440, 140–153. [Google Scholar] [CrossRef]
- ESA. Available online: https://www.esa-landcover-cci.org/ (accessed on 13 March 2019).
- JPL (Jet Propulsion Laboratory. California Institute of Technology). Available online: https://www2.jpl.nasa.gov/srtm (accessed on 6 January 2018).
- Lehner, B.; Grill, G. Global river hydrography and network routing: Baseline data and new approaches to study the world’s large river systems. Hydrol. Proces. 2013, 27, 2171–2186. Available online: www.hydrosheds.org (accessed on 16 March 2020). [CrossRef]
- ISRIC. Available online: https://soilgrids.org (accessed on 30 July 2017).
- WorldClim. Available online: http://worldclim.org (accessed on 10 July 2017).
- Fick, S.E.; Hijmans, R.J. Worldclim 2: New 1-km spatial resolution climate surfaces for global land areas. J. Clim. 2017, 37, 4302–4315. [Google Scholar] [CrossRef]
- EURO-CORDEX-Coordinated Downscaling Experiment-European Domain. Available online: https://www.euro-cordex.net/ (accessed on 10 June 2017).
- van Vuuren, D.; Edmonds, J.; Kainuma, M.; Riahi, K.; Thomson, A.; Hibbard, K.; Hurtt, G.; Kram, T.; Krey, V.; Lamarque, J.F.; et al. The representative concentration pathways: An overview. Clim. Chang. 2011, 109, 5–31. [Google Scholar] [CrossRef]
- Chen, J.; Brissette, F.P.; Leconte, R. Uncertainty of downscaling method in quantifying the impact of climate change on hydrology. J. Hydrol. 2011, 401, 190–202. [Google Scholar] [CrossRef]
- Eekhout, J.P.C.; de Vente, J. Assessing the effectiveness of Sustainable Land Management for large-scale climate change adaptation. Sci. Total Environ. 2019, 654, 85–93. [Google Scholar] [CrossRef] [PubMed]
- Eekhout, J.P.C.; Boix-Fayos, C.; Pérez-Cutillas, P.; de Vente, J. The impact of reservoir construction and changes in land use and climate on ecosystem services in a large Mediterranean catchment. J. Hydrol. 2020, 590, 125208. [Google Scholar] [CrossRef]
- San-Martín, D.; Manzanas, R.; Brands, S.; Herrera, S.; Gutiérrez, J. Reassessing model uncertainty for regional projections of precipitation with an ensemble of statistical downscaling methods. J. Clim. 2017, 30, 203–223. [Google Scholar] [CrossRef]
- Moss, R.H.; Edmonds, J.A.; Hibbard, K.A.; Manning, M.R.; Rose, S.K.; van Vuuren, D.P.; Carter, T.R.; Emori, S.; Kainuma, M.; Kram, T.; et al. The next generation of scenarios for climate change research and assessment. Nature 2010, 463, 747–756. [Google Scholar] [CrossRef] [PubMed]
- Hargreaves, G.H.; Samani, Z.A. Reference crop evapotranspiration from temperature. Appl. Eng. Agric. 1985, 1, 96–99. [Google Scholar] [CrossRef]
- Boithias, L.; Acuña, V.; Vergoñós, L.; Ziv, G.; Marcé, R.; Sabater, S. Assessment of the water supply: Demand ratios in a Mediterranean basin under different global change scenarios and mitigation alternatives. Sci. Total Environ. 2014, 470–471, 567–577. [Google Scholar] [CrossRef]
- Federal Office for the Environment FOE-Hydrological Data and Forecast. Scheizeriche Eidgenossenschaft (Switzerland Confederation). Available online: http://www.hydrodaten.admin.ch/ (accessed on 16 July 2020).
- Allen, R.G.; Pereira, L.S.; Raes, D.; Smith, M. Crop evapotranspiration. Guidelines for computing crop water requirements. In FAO Irrigation and Drainage Paper 56; Food and Agriculture Organization of the United Nations: Rome, Italy, 1998; Available online: http://www.fao.org/docrep/x0490e/x0490e00.htm (accessed on 15 July 2020).
- Allen, R.; Pruitt, W.; Raes, D.; Smith, M.; Pereira, L. Estimating Evaporation from Bare Soil and the Crop Coefficient for the Initial Period Using Common Soils Information. J. Irrig. Drai. Eng. 2005, 131, 14–23. [Google Scholar] [CrossRef]
- Oliva, R. Model calibration as a testing strategy for system dynamics models. Eur. J. Oper. Res. 2003, 151, 552–568. [Google Scholar] [CrossRef]
- Yu, P.S.; Yang, T.C. Fuzzy multi-objective function for rainfall-runoff model calibration. J. Hydrol. 2000, 238, 1–14. [Google Scholar] [CrossRef]
- Becker, T.; Dietz, H.; Billeter, R.; Buschmanna, H.; Edwards, P.J. Altitudinal distribution of alien plant species in the Swiss Alps. Perspec. Plant Ecol. Evol. Systemat. 2005, 7, 173–183. [Google Scholar] [CrossRef]
- Niedbała, G. Application of Artificial Neural Networks for Multi-Criteria Yield Prediction of Winter Rapeseed. Sustainability 2019, 11, 533. [Google Scholar] [CrossRef]
- Farley, K.A.; Jobbágy, E.G.; Jackson, R.B. Effects of afforestation on water yield: A global synthesis with implications for policy. Glob. Chang. Biol. 2005, 11, 1565–1576. [Google Scholar] [CrossRef]
- Riedo, M.; Gyalistras, D.; Fuhrer, J. Pasture responses to elevated temperature and doubled CO2 concentration: Assessing the spatial pattern across an alpine landscape. Clim. Res. 2001, 17, 19–31. [Google Scholar] [CrossRef]
- Feyen, L.; Ciscar, J.C.; Gosling, S.; Ibarreta, D.; Soria, A. Climate Change Impacts and Adaptation in Europe. JRC PESETA IV Final Report; EUR 30180EN; Publications Office of the European Union: Luxembourg, 2020; p. JRC119178. [Google Scholar] [CrossRef]
- Agreste (La Statisitque, L’évaluation et la Prospective Agricole du Ministère de L’agriculture et de L’alimentation). Available online: http://agreste.agriculture.gouv.fr/en-region/rhone-alpes/ (accessed on 10 April 2020).
- Fuhrer, J.; Smith, P.; Gobiet, A. Implications of climate change scenarios for agriculture in alpine regions—A case study in the Swiss Rhone catchment. Sci. Total Environ. 2014, 493, 1232–1241. [Google Scholar] [CrossRef]
- Mann, S. The Future of Mountain Agriculture; Springer: Berlin/Heidelberg, Germany, 2013; p. 176. [Google Scholar]
- Boé, J.; Habets, F. Multi-decadal river flow variations in France. Hydrol. Earth Syst. Sci. 2014, 18, 691–708. [Google Scholar] [CrossRef]
- Clarvis, M.H. Governing and managing water resources under changing hydro-climatic contexts: The case of the upper Rhone basin. Environ. Sci. Policy 2013, 43, 56–67. [Google Scholar] [CrossRef]
- Lespinas, F.; Ludwig, W.; Heussner, S. Impact of recent climate change on the hydrology of coastal Mediterranean rivers in Southern France. Clim. Chang. 2010, 99, 425–456. [Google Scholar] [CrossRef]
- Rahman, K.; Gago da Silva, A.; Moran Tejeda, E.; Gobiet, A.; Beniston, M.; Lehmann, A. An independent and combined effect analysis of land use and climate change in the upper Rhone River watershed, Switzerland. App. Geograp. 2015, 63, 264–272. [Google Scholar] [CrossRef]
- Molina, A.; Vanacker, V.; Brisson, E.; Mora, D.; Balthazar, V. Multidecadal change in streamflow associated with anthropogenic disturbances in the tropical Andes. Hydrol. Earth Syst. Sci. 2015, 19, 4201–4213. [Google Scholar] [CrossRef]
- Morán-Tejeda, E.; Ceballos-Barbancho, A.; Llorente-Pinto, J.M. Hydrological response of Mediterranean headwaters to climate oscillations and land-cover changes: The mountains of Duero River basin (Central Spain). Glol. Planet Chang. 2010, 72, 39–49. [Google Scholar] [CrossRef]
- López-Moreno, J.I.; Vicente-Serrano, S.M.; Zabalza, J.; Revuelto, J.; Gilaberte, M.; Azorín-Molina, C.; Morán-Tejeda, E.; García-Ruiz, J.M.; Tague, C. Respuesta hidrológica del Pirineo central al cambio ambiental proyectado para el siglo XXI. Pirineos 2014, 169, e004. [Google Scholar] [CrossRef]
- Pérez-Cutillas, P.; Zema, D.A.; Cataldo, M.F.; de Vente, J.; Boix-Fayos, C. Efectos de la revegetación a escala de cuenca sobre el caudal y la evapotranspiración en ambiente mediterráneo. Cuenca del Taibilla (SE de España). Bosque 2017, 39, 119–129. [Google Scholar] [CrossRef]
- García-Ruiz, J.M.; López-Moreno, J.I.; Vicente-Serrano, S.M.; Lasanta-Martínez, T.; Beguería, S. Mediterranean water resources in a global change scenario. Earth Sci. Rev. 2011, 105, 121–139. [Google Scholar] [CrossRef]
- Linhoss, A.C.; Siegert, C.M. A comparison of five forest interception models using global sensitivity and uncertainty analysis. J. Hydrol. 2016, 538, 109–116. [Google Scholar] [CrossRef]
- Fassnacht, S.R.; Cherry, M.L.; Venable, N.B.H.; Saavedra, F. Snow and albedo climate change impacts across the United States Northern Great Plains. Cryosphere 2016, 10, 329–339. [Google Scholar] [CrossRef]
- Hohmann, C.; Kirchengast, G.; Birk, S. Alpine foreland running drier? Sensitivity of a drought vulnerable catchment to changes in climate, land use, and water management. Clim. Chang. 2018, 147, 179–193. [Google Scholar] [CrossRef]
- Kormann, C.; Francke, T.; Bronstert, A. Detection of regional climate change effects on alpine hydrology by daily resolution trend analysis in Tyrol, Austria. J. Water Clim. Chang. 2015, 6, 124–143. [Google Scholar] [CrossRef]
- Guswa, A.; Brauman, K.A.; Brown, C.; Hamel, P.; Keeler, B.; Sayre, S. Ecosystem services: Challenges and opportunities for hydrologic modeling to support decision making. Water Resour. Res. 2014, 50, 4535–4544. [Google Scholar] [CrossRef]
- Terrado, M.; Acuña, V.; Ennaanay, D.; Tallis, H.; Sabater, S. Impact of climate extremes on hydrological ecosystem services in a heavily humanized Mediterranean basin. Ecol. Ind. 2013, 37, 199–209. [Google Scholar] [CrossRef]
- Sharp, R.; Tallis, H.T.; Ricketts, T.; Guerry, A.D.; Wood, S.A.; Chapin-Kramer, R.; Nelson, E.; Ennaanay, D.; Wolny, S.; Olwero, N.; et al. InVEST 3.2.0 User’s Guide The Natural Capital Project; WWF: Gland, Switzerland; TNC: Arlington County, VA, USA; Institute for the Environment, University of Minnesota: Twin Cities, MN, USA; Stanford WOODS Institute for the Environment: Stanford, CA, USA, 2015. [Google Scholar]
- Redhead, J.W.; Stratford, C.; Sharps, K.; Jones, L.; Ziv, G.; Clarke, D.; Oliver, T.H.; Bullock, J.M. Empirical validation of the InVEST water yield ecosystem service model at a national scale. Sci. Total Environ. 2016, 569–570, 1418–1426. [Google Scholar] [CrossRef]
- Scordo, F.; Lavender, T.M.; Seitz, C.; Perillo, V.L.; Rusak, J.A.; Piccolo, M.C.; Perillo, G.M. Modeling Water Yield: Assessing the role of site and region-specific attributes in determining model performance of the InVEST Seasonal Water Yield Model. Water 2018, 10, 1496. [Google Scholar] [CrossRef]
- Hamel, P.; Guswa, A.J. Uncertainty analysis of a spatially explicit annual water-balance model: Case study of the Cape Fear basin, North Carolina. Hydrol. Earth Syst. Sci. 2015, 19, 839–853. [Google Scholar] [CrossRef]
- Goyal, M.K.; Khan, M. Assessment of spatially explicit annual water-balance model for Sutlej River Basin in eastern Himalayas and Tungabhadra River Basin in peninsular India. Hydrol. Res. 2017, 48, 542–558. [Google Scholar] [CrossRef][Green Version]
- Shukla, A.K.; Pathak, S.; Pal, L.; Ojha, C.S.P.; Mijic, A.; Garg, R.D. Spatio-temporal assessment of annual water balance models for upper Ganga Basin. Hydrol. Earth Syst. Sci. 2018, 22, 5357–5371. [Google Scholar] [CrossRef]
- Pathak, S.; Ojha, C.S.; PShukla, A.K.; Garg, R.D. Assessment of Annual Water-Balance Models for Diverse Indian Watersheds. J. Sustain. Water Built Environ. 2019, 5, 04019002. [Google Scholar] [CrossRef]
- Clerici, N.; Cote-Navarro, F.; Escobedo, F.J.; Rubiano, K.; Villegas, J.C. Spatio-temporal and cumulative effects of land use-land cover and climate change on two ecosystem services in the Colombian Andes. Sci. Total Environ. 2019, 685, 1181–1192. [Google Scholar] [CrossRef]
- Khan, M.; Sharma, A.; Goyal, M.K. Assessment of future water provisioning and sediment load under climate and LULC change scenarios in a peninsular river basin, India. Hydrol. Sci. J. 2019, 64, 405–419. [Google Scholar] [CrossRef]
- Thonicke, K.; Bahn, M.; Lavorel, S.; Bardgett, R.D.; Erb, K.; Giamberini, M.; Reichstein, M.; Vollan, B.; Rammig, A. Advancing the understanding of adaptive capacity of social-ecological systems to absorb climate extremes. Earth’s Future 2020, 8, e2019EF001221. [Google Scholar] [CrossRef]
- EEA. Climate Change, Impacts and Vulnerability in Europe 2016. An Indicator-Based Report; Agency, E.E., Ed.; Publications Office of the European Union: Luxembourg, 2017; p. 419. [Google Scholar]
- Thorel, M.; Piégay, H.; Barthelemy, C.; Räpple, B.; Stella, J.C. Socio-environmental implications of process-based restoration strategies in large rivers: Should we remove novel ecosystems along the Rhône (France)? Reg. Environ. Chang. 2018, 18, 2019–2031. [Google Scholar] [CrossRef]
- Iwanaga, T.; Partington, D.; Ticehurst, J.; Croke, B.F.; Jakeman, A.J. A socio-environmental model for exploring sustainable water management futures: Participatory and collaborative modelling in the Lower Campaspe catchment. J. Hydrol. Reg. Stud. 2020, 28, 100669. [Google Scholar] [CrossRef]




| Regional Climate Model | |||||||
|---|---|---|---|---|---|---|---|
| CCLM | CNRM-ALADIN | HIRHAM5 | RACMO | RCA | WRF | ||
| General Circulation Model | CNRM-CM5 | o | o | o | |||
| EC-EARTH | o | o | o | o | |||
| IPSL-CM5A-MR | o | o | |||||
| MPI-ESM-LR | o | o | |||||
| HadGEM2-ES | o | o | |||||
| River Sub-Basin | Gauging Station | Record Period | Catchment Area Upstream (ha) | Total Discharge (hm3 Year−1) |
|---|---|---|---|---|
| Upper Rhône | Porte-de-Scex | from 1935 | 814,435.32 | 5771.09 |
| Ain | Chazey Sur Ain | from 1959 | 367,649.53 | 3878.93 |
| Saône | Mâcon | from 1952 | 2,983,111.45 | 12,709.01 |
| Isère | Beaumont-Monteux | from 1956 | 1,190,725.34 | 10,627.63 |
| Durance | Meyrargues | from 1994 | 1,330,705.91 | 6338.74 |
| Lower Rhône | Beaucaire | from 1920 | 3,103,491.33 | 14,317.34 |
| Total | 9,790,118.89 | 53,642.736 |
| River Sub-Basin | Observed (hm3 Year−1) | Simulated | MAPE (%) |
|---|---|---|---|
| Upper Rhône | 5771.09 | 5934.42 | 2.8 |
| Ain | 3878.93 | 3365.35 | 13.2 |
| Saône | 12,709.01 | 13,178.48 | 3.7 |
| Isère | 10,627.63 | 10,351.76 | 2.6 |
| Durance | 6338.74 | 6402.61 | 1.0 |
| Lower Rhône | 14,317.34 | 14,705.97 | 2.7 |
| Scenario | Volume (Hm3) | Variation (Hm3) | Rate (%) |
|---|---|---|---|
| Observation | 53,322.75 | ||
| RCP4.5 2020–2050 | 52,662.85 | −659.90 | −1.24 |
| RCP4.5 2070–2100 | 54,298.05 | 975.31 | 1.83 |
| RCP8.5 2020–2050 | 55,952.59 | 2629.85 | 4.93 |
| RCP8.5 2070–2100 | 48,095.63 | −5227.11 | −9.80 |
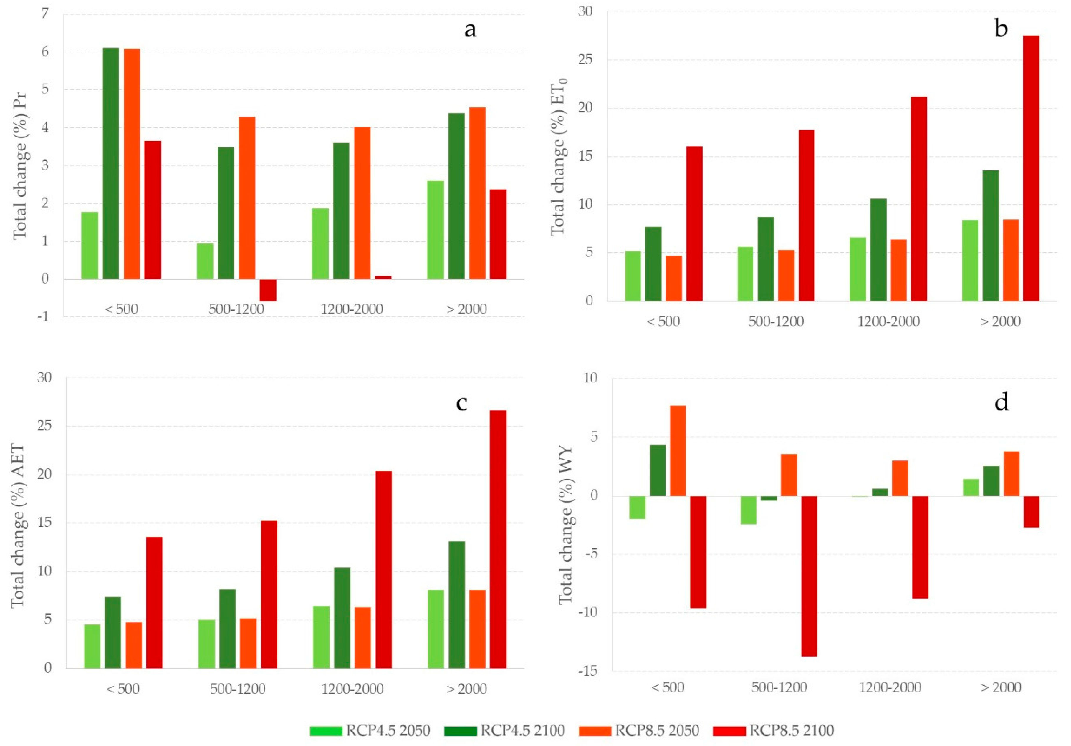
| Alt. Range | <500 | 500–1200 | 1200–2000 | >2000 | ||||||||
|---|---|---|---|---|---|---|---|---|---|---|---|---|
| Surface km2 | 48,174 | 29,256 | 11,190 | 9151 | ||||||||
| Pr (mm) | σ | % | σ | % | σ | % | σ | % | ||||
| Observation | 917.2 | 119.0 | 1073.6 | 176.8 | 1277.8 | 220.7 | 1257.5 | 358.4 | ||||
| RCP4.5 50 | 933.4 | 129.7 | 1.8 | 1083.8 | 193.1 | 0.9 | 1301.7 | 238.3 | 1.9 | 1290.2 | 372.8 | 2.6 |
| RCP4.5 100 | 973.2 | 127.4 | 6.1 | 1111.0 | 187.6 | 3.5 | 1323.7 | 236.1 | 3.6 | 1312.6 | 376.2 | 4.4 |
| RCP8.5 50 | 972.9 | 126.1 | 6.1 | 1119.6 | 187.5 | 4.3 | 1328.9 | 232.4 | 4.0 | 1314.6 | 373.5 | 4.5 |
| RCP8.5 100 | 950.7 | 132.8 | 3.7 | 1067.4 | 193.3 | −0.6 | 1278.9 | 237.6 | 0.1 | 1287.4 | 367.0 | 2.4 |
| ET0 (mm) | ||||||||||||
| Observation | 415.4 | 67.2 | 404.2 | 68.3 | 345.4 | 63.0 | 238.7 | 53.5 | ||||
| RCP4.5 50 | 437.1 | 70.3 | 5.2 | 427.0 | 71.4 | 5.6 | 368.2 | 65.1 | 6.6 | 258.8 | 55.3 | 8.4 |
| RCP4.5 100 | 447.6 | 73.6 | 7.7 | 439.6 | 74.3 | 8.7 | 382.0 | 66.7 | 10.6 | 271.0 | 56.7 | 13.5 |
| RCP8.5 50 | 435.1 | 72.0 | 4.7 | 425.7 | 72.8 | 5.3 | 367.5 | 65.7 | 6.4 | 258.9 | 55.3 | 8.4 |
| RCP8.5 100 | 481.8 | 77.0 | 16.0 | 475.8 | 77.9 | 17.7 | 418.7 | 68.7 | 21.2 | 304.5 | 59.1 | 27.5 |
| AET (mm) | ||||||||||||
| Observation | 520.6 | 96.8 | 485.4 | 98.8 | 390.8 | 88.7 | 233.6 | 83.5 | ||||
| RCP4.5 50 | 544.4 | 99.8 | 4.6 | 509.9 | 101.0 | 5.0 | 415.9 | 91.7 | 6.4 | 252.6 | 88.7 | 8.1 |
| RCP4.5 100 | 559.1 | 103.1 | 7.4 | 525.1 | 104.5 | 8.2 | 431.4 | 94.1 | 10.4 | 264.3 | 92.1 | 13.1 |
| RCP8.5 50 | 545.5 | 101.4 | 4.8 | 510.4 | 103.5 | 5.1 | 415.5 | 92.7 | 6.3 | 252.6 | 88.7 | 8.1 |
| RCP8.5 100 | 591.3 | 105.4 | 13.6 | 559.5 | 104.6 | 15.3 | 470.5 | 96.0 | 20.4 | 295.9 | 100.4 | 26.6 |
| WY (mm) | ||||||||||||
| Observation | 394.5 | 162.2 | 588.2 | 242.9 | 888.4 | 283.2 | 1100.4 | 283.1 | ||||
| RCP4.5 50 | 386.8 | 170.1 | −2.0 | 573.9 | 259.2 | −2.4 | 887.5 | 303.6 | −0.1 | 1116.2 | 298.1 | 1.4 |
| RCP4.5 100 | 411.7 | 170.3 | 4.3 | 585.8 | 257.2 | −0.4 | 893.9 | 302.8 | 0.6 | 1128.4 | 298.6 | 2.5 |
| RCP8.5 50 | 425.1 | 171.7 | 7.7 | 609.1 | 257.5 | 3.5 | 915.1 | 298.8 | 3.0 | 1142.2 | 295.0 | 3.8 |
| RCP8.5 100 | 356.7 | 169.5 | −9.6 | 507.7 | 258.2 | −13.7 | 810.4 | 306.0 | −8.8 | 1070.2 | 292.2 | −2.7 |
© 2020 by the authors. Licensee MDPI, Basel, Switzerland. This article is an open access article distributed under the terms and conditions of the Creative Commons Attribution (CC BY) license (http://creativecommons.org/licenses/by/4.0/).
Share and Cite
Pérez-Cutillas, P.; Baños Páez, P.; Banos-González, I. Variability of Water Balance under Climate Change Scenarios. Implications for Sustainability in the Rhône River Basin. Sustainability 2020, 12, 6402. https://doi.org/10.3390/su12166402
Pérez-Cutillas P, Baños Páez P, Banos-González I. Variability of Water Balance under Climate Change Scenarios. Implications for Sustainability in the Rhône River Basin. Sustainability. 2020; 12(16):6402. https://doi.org/10.3390/su12166402
Chicago/Turabian StylePérez-Cutillas, Pedro, Pedro Baños Páez, and Isabel Banos-González. 2020. "Variability of Water Balance under Climate Change Scenarios. Implications for Sustainability in the Rhône River Basin" Sustainability 12, no. 16: 6402. https://doi.org/10.3390/su12166402
APA StylePérez-Cutillas, P., Baños Páez, P., & Banos-González, I. (2020). Variability of Water Balance under Climate Change Scenarios. Implications for Sustainability in the Rhône River Basin. Sustainability, 12(16), 6402. https://doi.org/10.3390/su12166402

