A Spatial–Temporal Analysis of Cultural and Creative Industries with Micro-Geographic Disaggregation
Abstract
1. Introduction
2. Delimiting the CCI Sector and Studying Agglomeration Economies: A New Perspective from Smaller Spatial Units
3. Case Study and Methodology
3.1. Data Sources and Spatial Units for Analysis
3.2. Spatial Economics Analysis: Methodological Approach
4. Empirical Application
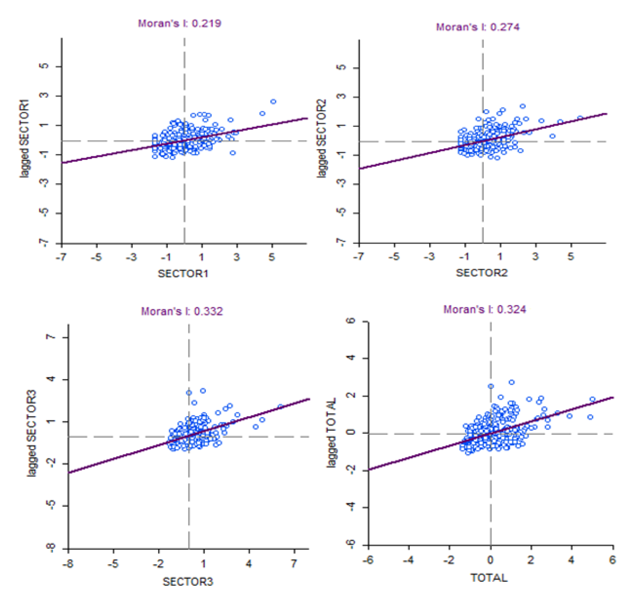
4.1. Spatial Structure and Dynamics of CCI
4.2. Spatial–Temporal Analysis of CCI
5. Discussion and Conclusions
Author Contributions
Funding
Acknowledgments
Conflicts of Interest
References
- United Nations Education, Scientifics and Cultural Organization. Creative Industries. Available online: http://www.unesco.org/new/es/culture/ (accessed on 25 July 2020).
- Correa-Quezada, R.; Álvarez-García, J.; del Río-Rama, M.; Maldonado-Erazo, C. Role of Creative Industries as a Regional Growth Factor. Sustainability 2018, 10, 1649. [Google Scholar] [CrossRef]
- Boix-Domenech, R.; Rausell-Kóster, P. The Economic Impact of the Creative Industry in the European Union. In Drones and the Creative Industry; Santamarina-Campos, V., Segarra-Oña, M., Eds.; Springer: Cham, Switzerland, 2018. [Google Scholar]
- Lazzeretti, L.; Vecco, M. Creative Industries and Entrepreneurship: Paradigms in Transition from a Global Perspective; Edward Elgar Publishing: Cheltenham, UK, 2018. [Google Scholar]
- Cellini, R.; Cuccia, T. Do behaviours in cultural markets affect economic resilience? An analysis of Italian regions. Eur. Plan. Stud. 2019, 27, 784–801. [Google Scholar] [CrossRef]
- Montalto, V.; Moura, C.J.T.; Langedijk, S.; Saisana, M. Culture counts: An empirical approach to measure the cultural and creative vitality of European cities. Cities 2019, 89, 167–185. [Google Scholar] [CrossRef]
- Boal, I.; Herrero, L.C. Reliability of Creative Composite Indicators with Territorial Specification in the EU. Sustainability 2020, 12, 3070. [Google Scholar] [CrossRef]
- He, J.L.; Gebhardt, H. Space of creative industries: A case study of spatial characteristics of creative clusters in Shanghai. Eur. Plan. Stud. 2014, 22, 2351–2368. [Google Scholar] [CrossRef]
- Evans, G. Creative cities, creative spaces and urban policy. Urban. Stud. 2009, 46, 1003–1040. [Google Scholar] [CrossRef]
- Manitiu, D.; Pedrini, G. Urban smartness and sustainability in Europe. An ex ante assessment of environmental, social and cultural domains. Eur. Plan. Stud. 2016, 24, 1766–1787. [Google Scholar] [CrossRef]
- Escalona-Orcao, A.I.; Escolano Utrilla, S.; Sáez-Pérez, L.A.; Sánchez-Valverde García, B. The location of creative clusters in non-metropolitan áreas: A methodological proposition. J. Rural. Stud. 2016, 45, 112–122. [Google Scholar] [CrossRef]
- Mossig, I. Regional Employment Growth in the Cultural and Creative Industries in Germany 2003–2008. Eur. Plan. Stud. 2011, 19, 967–990. [Google Scholar] [CrossRef]
- Cerisola, S. Creativity and local economic development: The role of synergy among different talents. Pap. Reg. Sci. 2016, 46, 637–660. [Google Scholar] [CrossRef]
- Tao, J.; Ho, C.Y.; Luo, S.; Sheng, Y. Agglomeration economies in creative industries. Reg. Sci. Urban. Econ. 2019, 77, 141–154. [Google Scholar] [CrossRef]
- Commonwealth of Australia, Department of Communications and the Arts (DCA). Creative Nation: Commonwealth Cultural Policy; DCA: Canberra, Australia, 1994.
- Department of Culture, Media and Sport (DCMS). Creative Industries Mapping Document, 1st ed.; DCMS: London, UK, 1998.
- Department of Culture, Media and Sport (DCMS). Creative Industries Mapping Document, 2nd ed.; DCMS: London, UK, 2001.
- Department of Culture, Media and Sport (DCMS). Creative Industries Economic Estimates Satistical Bulletin; DCMS: London, UK, 2009.
- KEA. The Economy of Culture in Europe; European Commission Directorate-General for Education and Cultue: Brussels, Belgium, 2006. [Google Scholar]
- United Nations Conference on Trade and Development. Creative Economy Report 2008; UNCTAD: Geneva, Switzerland; New York, NY, USA, 2008. [Google Scholar]
- United Nations Conference on Trade and Development. Creative Economy Report 2010; UNCTAD: Geneva, Switzerland; New York, NY, USA, 2010. [Google Scholar]
- Boix-Domenech, R.; Lazzeretti, L. Las industrias creativas en España: Una panorámica. Investig. Reg. 2012, 22, 181–2015. [Google Scholar]
- Bertacchini, E.; Borrione, P. The geography of the Italian creative economy: The special role of the design and craft-based industries. Reg. Stud. 2013, 47, 135–147. [Google Scholar] [CrossRef]
- Boix-Domenech, R.; Hervás-Oliver, J.L.; De Miguel Molina, B. Micro-geographies of creative industries clusters in Europe: From hot spots to assemblages. Pap. Reg. Sci. 2015, 94, 753–773. [Google Scholar] [CrossRef]
- Arauzo, J.M.; Viladecans, E. Industrial Location at the Intra-metropolitan Level: The Role of Agglomeration Economies. Reg. Stud. 2009, 43, 545–558. [Google Scholar] [CrossRef]
- Lee, B.K.; Sohn, S.Y. Disparities in exploitative and exploratory patenting performance across regions: Focusing on the roles of agglomeration externalities. Pap. Reg. Sci. 2019, 98, 241–263. [Google Scholar] [CrossRef]
- Backman, M.; Nilson, P. The role of cultural heritage in attracting skilled individuals. J. Cult. Econ. 2018, 42, 111–138. [Google Scholar] [CrossRef]
- Gong, H.; Hassink, R. Exploring the clustering of creative industries. Eur. Plan. Stud. 2017, 25, 583–600. [Google Scholar] [CrossRef]
- Jofre-Monseny, J.; Marín-López, R.; Viladecans-Marsal, E. The determinants of localization and urbanization economies: Evidence from the location of new firms in Spain. J. Reg. Sci. 2014, 54, 313–337. [Google Scholar] [CrossRef]
- Glaesser, E. The new economics of urban and regional growth. In The Oxford Handbook of Economic Geography; Clark, G., Feldman, M., Gertler, M., Eds.; Oxford University Press: Oxford, UK, 2000. [Google Scholar]
- Benita, F. On the performance of creative industries: Evidence from Mexican metropolitan areas. Pap. Reg. Sci. 2019, 978, 825–842. [Google Scholar] [CrossRef]
- Mellander, C.; Florida, R. The rise of skills: Human capital, the creative class, and regional development. In Handbook of Regional Science; Fischer, M., Nijkamp, P., Eds.; Springer: Berlín, Germany, 2018. [Google Scholar]
- Andersson, Å.E.; Andersson, D.E.; Daghbashyan, Z.; Hårsman, B. Location and spatial clustering of artists. Reg. Sci. Urban. Econ. 2014, 47, 128–137. [Google Scholar] [CrossRef]
- Markusen, A. Sticky places in slippery space: A typology of industrial districts. Econ. Geogr. 1996, 72, 293–313. [Google Scholar] [CrossRef]
- Ženka, J.; Slach, O.; Ivan, I. Spatial patterns of knowledge-intensive business services in cities of various sizes, morphologies and economies. Sustainability 2020, 12, 1845. [Google Scholar] [CrossRef]
- Lazzeretti, L.; Capone, F.; Boix, R. Reasons for clustering of creative industries in Italy and Spain. Eur. Plan. Stud. 2012, 20, 1243–1262. [Google Scholar] [CrossRef]
- Brazanti, C. Creative Clusters and District Economies: Towards a Taxonomy to Interpret the Phenomenon. Eur. Plan. Stud. 2015, 23, 1401–1418. [Google Scholar] [CrossRef]
- Scott, A. Creative cities: Conceptual issues and policy questions. J. Urban. Aff. 2006, 28, 1–17. [Google Scholar] [CrossRef]
- Bereitschaft, B. Neighbourhood Change among Creative-Cultural Districts in Mid-Sized US Metropolitan Areas, 200–210. Reg. Stud. Reg. Sci. 2014, 1, 158–183. [Google Scholar]
- Lee, N. The creative industries and urban economic growth in the UK. Environ. Plan. A 2014, 46, 455–470. [Google Scholar] [CrossRef]
- Hong, J.; Yu, W.; Guo, X.; Zhao, D. Creative industries agglomeration, regional innovation and productivity growht in China. Chin. Geogr. Sci. 2014, 24, 258–268. [Google Scholar] [CrossRef]
- Casares, P.; Coto-Millán, P.; Inglada López de Sabando, V. Talento, tecnología y desarrollo económico en las provincias españolas. Investig. Reg. 2012, 22, 57–80. [Google Scholar]
- Méndez, R.; Sánchez Moral, S. Spanish cities in the knowledge economy: Theoretical debates and empirical evidences. Eur. Urban. Reg. Stud. 2011, 18, 136–155. [Google Scholar] [CrossRef]
- Méndez, R.; Michelini, J.J.; Prada, J.; Tébar, J. Economía creativa y desarrollo urbano en España: Una aproximación a sus lógicas espaciales. EURE 2012, 38, 5–32. [Google Scholar] [CrossRef]
- Coll-Martínez, E.; Moreno-Monroy, A.I.; Arauzo-Carod, J.M. Agglomeration of creative industries: An intra-metropolitan analysis for Barcelona. Pap. Reg. Sci. 2019, 98, 409–431. [Google Scholar] [CrossRef]
- Cliff, A.; Ord, D. Spatial Processes: Models and Applications; Pion: London, UK, 1981. [Google Scholar]
- Moreno, R.; Vayá, E. Técnicas Econométricas Para el Tratamiento de Datos Espaciales: La Econometría Espacial; Edicions Universitat de Barcelona: Barcelona, Spain, 2000. [Google Scholar]
- Chasco, C.; López, F. Is spatial dependence an instantaneous effect? Some evidence in economic series of Spanish provinces. Estadística Española 2008, 50, 101–118. [Google Scholar]
- Anselin, L. Local indicators of spatial association-LISA. Geogr. Anal. 1995, 27, 93–115. [Google Scholar] [CrossRef]
- Fariñas, J.C.; Huergo, E. Demografía Empresarial en España: Tendencias y Regularidades; FEDEA: Madrid, Spain, 2015; No. 2015/24. [Google Scholar]
- García, M.I.; Fernández, Y.; Zofío, J.L. The economic dimensión of the culture and leisure industry in Spain: National, sectoral and regional analysis. J. Cult. Econ. 2003, 27, 9–30. [Google Scholar] [CrossRef]
- Boal, I.; Herrero, L.C. Where are the artists? Analysing economies of agglomeration in Castile and León, Spain. Pap. Reg. Sci. 2018, 97, 995–1016. [Google Scholar] [CrossRef]
- Anselin, L. Exploring Spatial Data with GeoDa: A Work Book; University of Illinois: Urbana, IL, USA, 2005. [Google Scholar]




| Industries | Activities | Activity Codes NACE Rev.2 |
|---|---|---|
| 1. Central nucleus of arts and cultural heritage | ||
| Cultural heritage | Museums, libraries, archives, leisure and entertainment | 7990; 9101; 9102; 9103; 9104; 9321; 9329 |
| Performing arts | Performing arts and theatre halls management | 9001; 9002; 9004; |
| Artistic and literary creation | Sculptors, cartoonists, writers, restorers | 9003 |
| Cultural education | Education activities for arts, theatre and dance | 8552 |
| Photography | Photographic activities | 7420 |
| 2. Cultural industries | ||
| Cinema, video and music | Film, video, television, sound recording and editing activities | 1820;5911;5912;5913; 5914; 5920 |
| Radio and television | Broadcasting and programming activities | 6010; 6020 |
| Publishing and editing | Printing, graphic arts, multimedia, and other editorial activities | 1811; 1812; 1813; 1814; 5811; 5813; 5814; 5819 |
| 3. Creative industries | ||
| Crafts | Manufacture of musical instruments, jewellery, coins and other related activities | 2899; 3211; 3212; 3220; 3240; 3319; 3320; 9529 |
| Software and videogames | Videogame edition, computer programs, web edition and computer consulting activities | 5821; 5829; 6201; 6202; 6209 |
| Research and development | Research and development in biotechnology, natural and social sciences and humanities activities | 7211; 7219; 7220 |
| Architecture and engineering | Architecture, topography and engineering activities | 7111; 7112; 7490 |
| Advertising | Advertising, marketing and representation services agencies | 7311; 7312 |
| Fashion and related activities | Textile and fashion design activities | 1320; 1412; 1413; 1414; 1419; 1431; 1520; 3299 |
| Activity Sector | Year | No. of Firms | Percentage over Total Spanish Firms | Percentage over Total CCI Firms | Entries | Exits | GEnR | GExR | RR | NEnR |
|---|---|---|---|---|---|---|---|---|---|---|
| 1. Central nucleus of arts and cultural heritage | 2007 | 16,197 | 1.63 | 12.96 | 1181 | 124 | 7.29 | 0.77 | 8.06 | 6.53 |
| 2008 | 17,052 | 1.64 | 12.96 | 952 | 98 | 5.58 | 0.57 | 6.16 | 5.01 | |
| 2009 | 17,705 | 1.65 | 12.93 | 732 | 79 | 4.13 | 0.45 | 4.58 | 3.69 | |
| 2010 | 18,358 | 1.65 | 12.90 | 724 | 71 | 3.94 | 0.39 | 4.33 | 3.56 | |
| 2011 | 18,969 | 1.65 | 12.85 | 671 | 60 | 3.54 | 0.32 | 3.85 | 3.22 | |
| 2012 | 19,590 | 1.65 | 12.80 | 665 | 44 | 3.39 | 0.22 | 3.62 | 3.17 | |
| 2013 | 20,221 | 1.64 | 12.76 | 665 | 34 | 3.29 | 0.17 | 3.46 | 3.12 | |
| 2014 | 20,726 | 1.63 | 12.73 | 525 | 20 | 2.53 | 0.10 | 2.63 | 2.44 | |
| 2015 | 21,161 | 1.61 | 12.74 | 441 | 6 | 2.08 | 0.03 | 2.11 | 2.06 | |
| 2016 | 21,507 | 1.60 | 12.75 | 354 | 7 | 1.65 | 0.03 | 1.68 | 1.61 | |
| 2017 | 21,658 | 1.60 | 12.76 | 150 | 0 | 0.69 | 0.00 | 0.69 | 0.69 | |
| 2. Cultural industries | 2007 | 20,354 | 2.05 | 16.28 | 1212 | 182 | 5.95 | 0.89 | 6.85 | 5.06 |
| 2008 | 21,182 | 2.04 | 16.09 | 946 | 118 | 4.47 | 0.56 | 5.02 | 3.91 | |
| 2009 | 21,866 | 2.04 | 15.97 | 776 | 92 | 3.55 | 0.42 | 3.97 | 3.13 | |
| 2010 | 22,564 | 2.03 | 15.85 | 788 | 90 | 3.49 | 0.40 | 3.89 | 3.09 | |
| 2011 | 23,246 | 2.02 | 15.75 | 741 | 59 | 3.19 | 0.25 | 3.44 | 2.93 | |
| 2012 | 23,905 | 2.01 | 15.62 | 707 | 48 | 2.96 | 0.20 | 3.16 | 2.76 | |
| 2013 | 24,634 | 2.00 | 15.55 | 764 | 35 | 3.10 | 0.14 | 3.24 | 2.96 | |
| 2014 | 25,226 | 1.98 | 15.50 | 611 | 19 | 2.42 | 0.08 | 2.50 | 2.35 | |
| 2015 | 25,703 | 1.96 | 15.47 | 483 | 6 | 1.88 | 0.02 | 1.90 | 1.86 | |
| 2016 | 26,111 | 1.94 | 15.48 | 411 | 3 | 1.57 | 0.01 | 1.59 | 1.56 | |
| 2017 | 26,256 | 1.93 | 15.47 | 146 | 1 | 0.56 | 0.00 | 0.56 | 0.55 | |
| 3. Creative industries | 2007 | 88,463 | 8.89 | 70.76 | 7455 | 1160 | 8.43 | 1.31 | 9.74 | 7.12 |
| 2008 | 93,379 | 8.99 | 70.95 | 5765 | 847 | 6.17 | 0.91 | 7.08 | 5.27 | |
| 2009 | 97,369 | 9.07 | 71.10 | 4578 | 588 | 4.70 | 0.60 | 5.31 | 4.10 | |
| 2010 | 101,435 | 9.13 | 71.25 | 4614 | 548 | 4.55 | 0.54 | 5.09 | 4.01 | |
| 2011 | 105,415 | 9.17 | 71.40 | 4504 | 524 | 4.27 | 0.50 | 4.77 | 3.78 | |
| 2012 | 109,575 | 9.21 | 71.58 | 4556 | 395 | 4.16 | 0.36 | 4.52 | 3.80 | |
| 2013 | 113,558 | 9.21 | 71.68 | 4252 | 269 | 3.74 | 0.24 | 3.98 | 3.51 | |
| 2014 | 116,840 | 9.17 | 71.77 | 3437 | 155 | 2.94 | 0.13 | 3.07 | 2.81 | |
| 2015 | 119,233 | 9.10 | 71.79 | 2445 | 52 | 2.05 | 0.04 | 2.09 | 2.01 | |
| 2016 | 121,078 | 9.02 | 71.77 | 1861 | 16 | 1.54 | 0.01 | 1.55 | 1.52 | |
| 2017 | 121,778 | 8.97 | 71.76 | 700 | 0 | 0.57 | 0.00 | 0.57 | 0.57 | |
| Total CCI | 2007 | 125,014 | 12.57 | - | 9848 | 1466 | 7.88 | 1.17 | 9.05 | 6.70 |
| 2008 | 131,613 | 12.68 | - | 7663 | 1063 | 5.82 | 0.81 | 6.63 | 5.01 | |
| 2009 | 136,940 | 12.75 | - | 6086 | 759 | 4.44 | 0.55 | 5.00 | 3.89 | |
| 2010 | 142,357 | 12.81 | - | 6126 | 709 | 4.30 | 0.50 | 4.80 | 3.81 | |
| 2011 | 147,630 | 12.84 | - | 5916 | 643 | 4.01 | 0.44 | 4.44 | 3.57 | |
| 2012 | 153,070 | 12.86 | - | 5928 | 487 | 3.87 | 0.32 | 4.19 | 3.55 | |
| 2013 | 158,413 | 12.84 | - | 5681 | 338 | 3.59 | 0.21 | 3.80 | 3.37 | |
| 2014 | 162,792 | 12.77 | - | 4573 | 194 | 2.81 | 0.12 | 2.93 | 2.69 | |
| 2015 | 166,097 | 12.67 | - | 3369 | 64 | 2.03 | 0.04 | 2.07 | 1.99 | |
| 2016 | 168,696 | 12.56 | - | 2626 | 26 | 1.56 | 0.02 | 1.57 | 1.54 | |
| 2017 | 169,692 | 12.50 | - | 996 | 1 | 0.59 | 0.00 | 0.59 | 0.59 |
| Absolute Value | Distribution | ||||||
|---|---|---|---|---|---|---|---|
| Size of Districts by Number of CCI | Districts | CCI | Population | CCI/1000 Inhab | Districts | CCI | Population |
| <500 | 267 | 23,480 | 12,635,738 | 1.86 | 82.41% | 13.84% | 27.15% |
| 501–1500 | 34 | 29,411 | 10,041,311 | 2.93 | 10.49% | 17.33% | 21.58% |
| 1501–3000 | 14 | 30,738 | 8,986,347 | 3.42 | 4.32% | 18.11% | 19.31% |
| 3001–40,000 | 9 | 86,063 | 14,871,765 | 5.79 | 2.78% | 50.72% | 31.96% |
| Total | 324 | 169,692 | 46,535,161 | 3.65 | 100.00% | 100.00% | 100.00% |
| 1. Central Nucleus of Arts and Cultural Heritage | 2. Cultural Industries | 3. Creative Industries | Total CCI | |
|---|---|---|---|---|
| Z(I) | Z(I) | Z(I) | Z(I) | |
| 2007 | 6.754 ** | 8.552 ** | 11.557 ** | 10.971 ** |
| 2008 | 6.559 ** | 8.427 ** | 11.611 ** | 10.829 ** |
| 2009 | 6.212 ** | 8.399 ** | 11.590 ** | 10.540 ** |
| 2010 | 6.645 ** | 8.431 ** | 11.212 ** | 10.463 ** |
| 2011 | 6.516 ** | 8.374 ** | 11.210 ** | 10.230 ** |
| 2012 | 6.485 ** | 8.307 ** | 11.160 ** | 10.128 ** |
| 2013 | 6.579 ** | 8.053 ** | 11.091 ** | 10.052 ** |
| 2014 | 6.404 ** | 8.391 ** | 11.060 ** | 10.115 ** |
| 2015 | 6.403 ** | 8.368 ** | 10.835 ** | 10.040 ** |
| 2016 | 6.292 ** | 8.091 ** | 10.786 ** | 9.926 ** |
| 2017 | 6.245 ** | 8.063 ** | 10.528 ** | 9.798 ** |
| 1. Central Nucleus of Arts and Cultural Heritage | 2. Cultural Industries | 3. Creative Industries | Total CCI | |
|---|---|---|---|---|
| Z(It) | Z(It) | Z(It) | Z(It) | |
| 2007–2008 | 6.717 ** | 8.517 ** | 10.905 ** | 10.899 ** |
| 2008–2009 | 6.352 ** | 8.410 ** | 10.737 ** | 10.683 ** |
| 2009–2010 | 6.496 ** | 8.432 ** | 11.068 ** | 10.506 ** |
| 2010–2011 | 6.608 ** | 8.417 ** | 11.009 ** | 10.362 ** |
| 2011–2012 | 6.540 ** | 8.346 ** | 10.874 ** | 10.201 ** |
| 2012–2013 | 6.564 ** | 8.199 ** | 10.655 ** | 10.093 ** |
| 2013–2014 | 6.502 ** | 8.245 ** | 10.618 ** | 10.086 ** |
| 2014–2015 | 6.479 ** | 8.385 ** | 10.688 ** | 10.083 ** |
| 2015–2016 | 6.339 ** | 8.237 ** | 10.676 ** | 9.978 ** |
| 2016–2017 | 6.300 ** | 8.082 ** | 10.576 ** | 9.863 ** |
| 2007–2017 | 6.638 ** | 8.408 ** | 11.200 ** | 10.412 ** |
© 2020 by the authors. Licensee MDPI, Basel, Switzerland. This article is an open access article distributed under the terms and conditions of the Creative Commons Attribution (CC BY) license (http://creativecommons.org/licenses/by/4.0/).
Share and Cite
Boal-San Miguel, I.; Herrero-Prieto, L.C. A Spatial–Temporal Analysis of Cultural and Creative Industries with Micro-Geographic Disaggregation. Sustainability 2020, 12, 6376. https://doi.org/10.3390/su12166376
Boal-San Miguel I, Herrero-Prieto LC. A Spatial–Temporal Analysis of Cultural and Creative Industries with Micro-Geographic Disaggregation. Sustainability. 2020; 12(16):6376. https://doi.org/10.3390/su12166376
Chicago/Turabian StyleBoal-San Miguel, Iván, and Luis César Herrero-Prieto. 2020. "A Spatial–Temporal Analysis of Cultural and Creative Industries with Micro-Geographic Disaggregation" Sustainability 12, no. 16: 6376. https://doi.org/10.3390/su12166376
APA StyleBoal-San Miguel, I., & Herrero-Prieto, L. C. (2020). A Spatial–Temporal Analysis of Cultural and Creative Industries with Micro-Geographic Disaggregation. Sustainability, 12(16), 6376. https://doi.org/10.3390/su12166376

