Improving Representation of Decision Rules in LUCC-ABM: An Example with an Elicitation of Farmers’ Decision Making for Landscape Restoration in Central Malawi
Abstract
1. Introduction
2. Materials and Methods
2.1. Modeling Human–Environmental Behaviors and Decision Processes
Representation of Human–Environmental Decisions in Agent-Based Computational Modeling
2.2. Conceptual Approach to Develop Restoration Decision Rules
2.3. Study Area, Data Collection, and Analysis
2.3.1. Study Area
2.3.2. Data Collection
2.3.3. Data Analysis
3. Results
3.1. Forest-Agricscape Restoration and Restoration Activities and Practices
“We do swales making, conservation agriculture with mulching and minimum tillage, tree planting and management, vetiver planting, construction of check dams, making and applying of manure. For example, in manure making, we conduct trainings to encourage people to make and use manure. In tree management, we make tree nurseries, prepare land for tree planting; we do actual planting of trees, making firebreaks to prevent trees from uncontrolled fire.”(FGD, Bwanali Community, Kachindamoto, Dedza)
“As VNRMC, we do a lot of things to protect and manage trees through encouraging community members to have individual forests and protect the trees as we were trained by PERFORM [a forest project]. We also make sure that people are collecting firewood sustainably as trained by PEFORM. We also do patrols to check whosoever is illegally harvesting trees. We also use firewood-saving cookstoves as a way of reducing firewood that we use to cook.”(FGD, Ntchisi)
3.2. Farmers’ Restoration Rationales, Motives, Benefits, and Incentives in Central Malawi
3.2.1. Farmers’ Restoration Rationales and Motives
“People have interest in tree planting both individually and collectively because of scarcity of firewood and to maintain reliable rains that come when the forest is intact. We also want to conserve trees for our generation. With the pace [at which] trees are being cut down, our children will not have the chance to know some tree species, for example ‘Mbawa’ [Pterocarpus angolensis].”(FGD, Kapenuka Community, Kamenyagwaza, Dedza)
“We get involved in community work because we have similar objectives of protecting and restoring the environment that is being degraded. We have the same purpose of forest protection [because] trees provide fresh air and can host our beehives, and people do not cut trees where there is beehive as they are afraid of bees.”(FGD, Kabulika Community, Kachindamoto, Dedza)
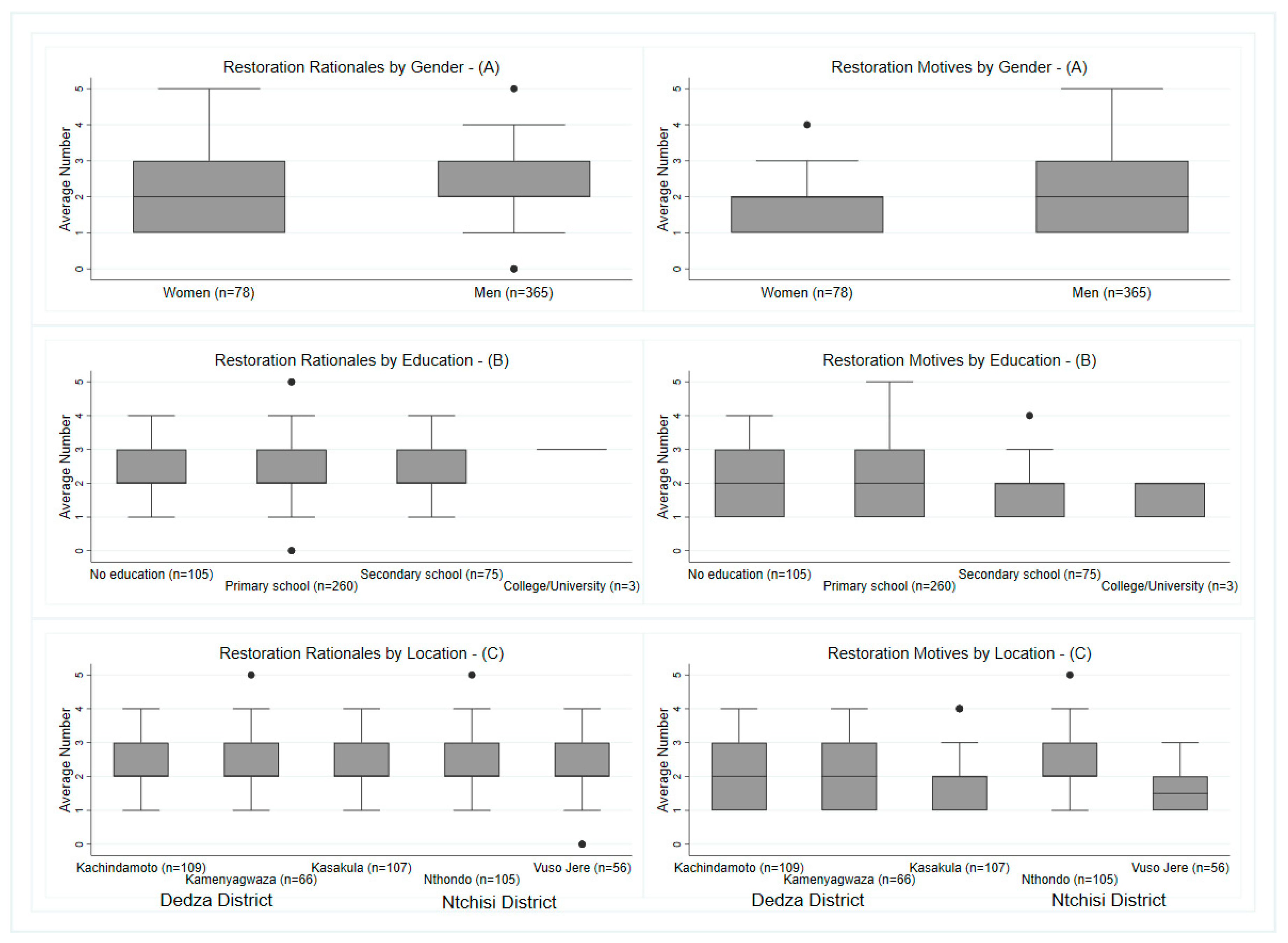
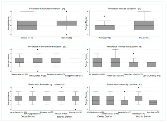
Importance and Variability of Restoration Rationales and Motives by Gender, Education, and Location
3.2.2. Farmers’ Restoration Benefits and Incentives
“… trees are used as poles for construction and are used for domestic activities such as firewood for cooking, and this reduces pressure on state-owned forest reserves.”(FGD, Bwanali Community, Kachindamoto, Dedza)
“Through conservation-agriculture practices, higher yields are harvested since mulching conserves moisture and adds nutrients to the soil.”(FGD, Kapenuka Community, Kamenyagwaza, Dedza)
“Forest and trees regulate temperature; it feels cold in hot season and it feels fresh always. I have a water point that runs from my forest. We receive reliable rains because we have more trees. [Also,] trees improve soil fertility in our fields and conserve moisture. We get manure from the tree leaves. If we plant trees, vetiver, and make contour ridges we make our lands fertile. […] Trees act as wind break and our houses are protected from severe winds. In the end, the benefits of trees are what motivate us.”(FGD, Ntchisi)
“We do receive good rains because our forest is intact and that is one reason that motivates us. [Also], we get firewood for cooking. Other people who do not have trees in their areas use clothes and sacks for heating and cooking. [Moreover], we are motivated by a lot of water that our mountain and forest conserve and we use the water for irrigation.”(FGD, Ntchisi)
“We have been trained before in environment restoration [and] these restoration activities are cheap. For instance, manure making does not demand monetary costs as compared to inorganic fertilizers. […] Mulching also reduces labor; we do not make ridges and we do not go and weed because weeds do not grow in a field where ridges were not made. […]”(FGDs, Bwanali and Kapenuka Communities, Dedza)
“We received training in beekeeping, and we are making money out of bee farming. Discovery project trained us in cookstoves making; we have also been trained in briquettes making and we are making money from those activities. We received training in bamboo planting although not enough. We received training from World Vision, EU, CADECOM in environment management and restoration. For example, CADECOM trained us in local tree seedlings production and we can produce own seedlings locally.”(FGD, Kabulika Community, Kachindamoto, Dedza)
“For us to do our work properly we need to be trained and when we are trained, we can easily pass knowledge to all the people in the community. Training is very important for a common approach and strategy to restoration activities. We can all have one common idea of the technology and there cannot be confusion. Local knowledge is not universal; some people know things differently from other people.”(FGD, Bwanali Community, Kachindamoto, Dedza)
“… some of us started doing restoration activities in 2015 and 2016 when there were no projects [while] others started a long time ago when there was a project by ICRAF. Now people are used to these restoration activities and we are doing these without being paid or expecting to be paid.”(FGD, Bwanali Community, Kachindamoto, Dedza)
“We do lots of work to conserve the forest and people come to see it because we are managing it perfectly. Unfortunately, communities are not benefiting. For instance, we do not have potable water in our community yet our forest conserves water. People from Blantyre, Mzuzu, and all over the country and even abroad come here to see this place just because the forest is well-conserved and managed, but the communities are not benefiting anything apart from good rains we receive. […] We work in dangerous environments with no protective gear, yet we do not receive anything.”(FGD, Ntchisi)
“With the amount of work that we do, we are supposed to receive something in the form of money. I want to remove some perception that organizations have … they think on our behalf and they think we cannot conserve or manage forests if they give us money. […] The money should be in the form of allowance and not salary. Whenever you go to patrol or do forest management activities, you should get an allowance, which is MK900 [≈$1.19] according to the government’s rate.”(FGD, Ntchisi)
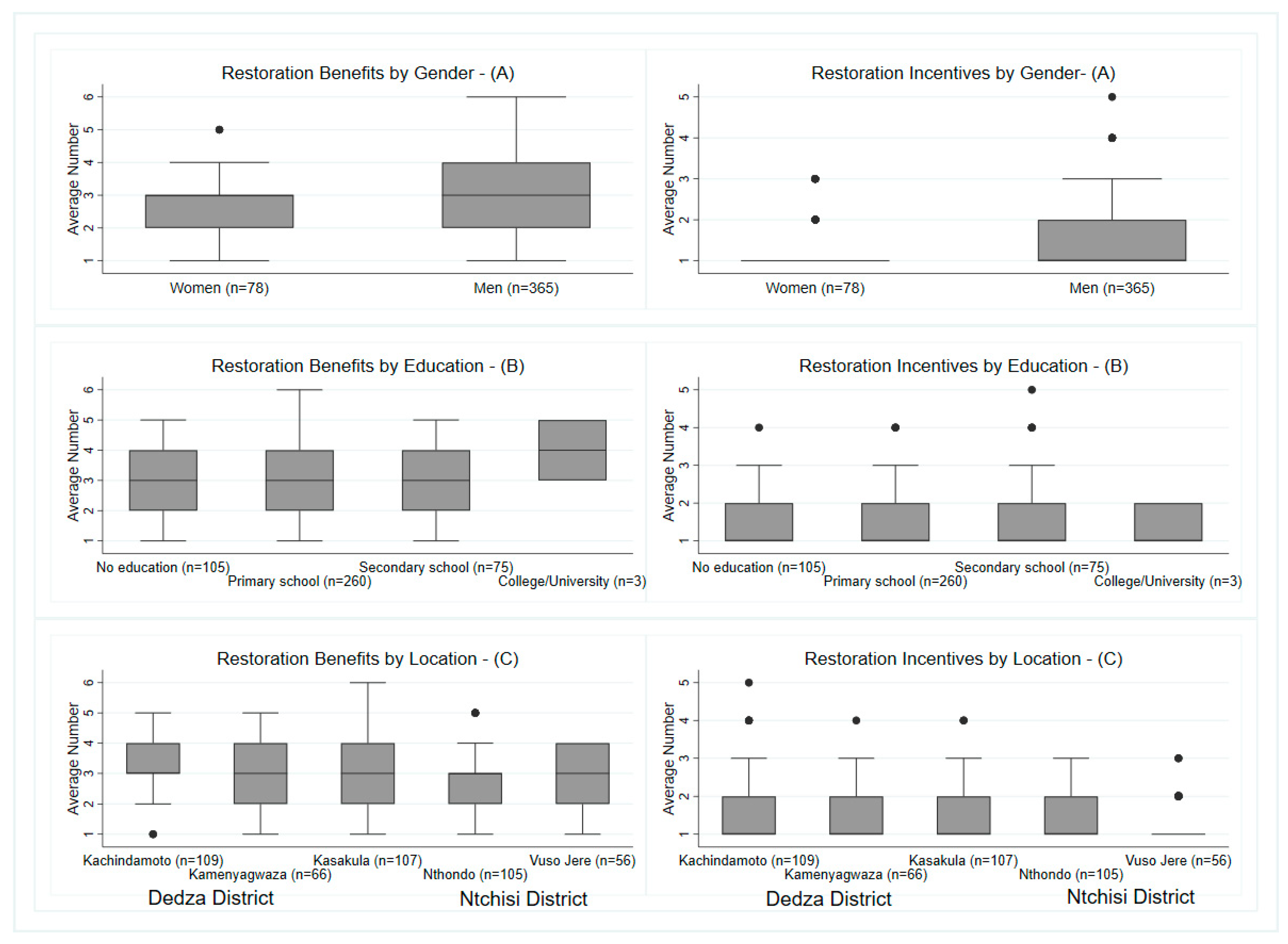
Importance and Differences in Restoration Benefits and Incentives by Gender, Education, and Location
3.3. Farmers’ Restoration Decision-Making Processes
3.3.1. Restoration Decision-Making Goal Frames
3.3.2. Restoration Decision-Making Rules
3.3.3. Restoration Decision-Making Processes
4. Discussion
4.1. Local Perspectives on Landscape Restoration
4.2. Landscape Restoration Rationales, Motives, Benefits, and Incentives
4.3. Landscape Restoration Decision Making and Behavior
4.4. Representation of Restoration Decision Rules in a LUCC-ABM
5. Conclusions
Author Contributions
Funding
Acknowledgments
Conflicts of Interest
Appendix
| Locations (TAs) | Kachindamoto (n = 120) | Kamenyagwaza (n = 72) | Kasakula (n = 120) | Nthondo (n = 108) | Vuso Jere (n = 60) | Total (n = 480) |
|---|---|---|---|---|---|---|
| Variables | Percentages | |||||
| AGE (Min = 19; Max = 92) | 50.62 | 46.42 | 45.22 | 44.67 | 43.2 | 46.37 |
| AGE GROUP | ||||||
| Young Farmers | 30.80 | 37.50 | 41.70 | 44.40 | 45.00 | 39.40 |
| Adult Farmers | 69.20 | 62.50 | 58.30 | 55.60 | 55.00 | 60.60 |
| Pearson’s chi2(4) = 5.9957 Pr = 0.199 | ||||||
| GENDER | ||||||
| Women | 20.00 | 20.80 | 16.70 | 17.60 | 11.70 | 17.70 |
| Men | 80.00 | 79.20 | 83.30 | 82.40 | 88.30 | 82.30 |
| Pearson’s chi2(4) = 2.5082 Pr = 0.643 | ||||||
| ETHNICITY | ||||||
| Chewa | 48.30 | 25.00 | 100.00 | 98.10 | 100.00 | 75.40 |
| Ngoni | 42.50 | 75.00 | 0.00 | 0.90 | 0.00 | 22.10 |
| Other Ethnicities | 9.20 | 0.00 | 0.00 | 0.90 | 0.00 | 2.50 |
| Pearson’s chi2(8) = 262.0546 Pr = 0.000 | ||||||
| RELIGION | ||||||
| Christian | 89.20 | 98.60 | 93.30 | 93.50 | 100.00 | 94.00 |
| Muslim | 6.70 | 0.00 | 0.00 | 0.00 | 0.00 | 1.70 |
| Animist | 0.80 | 0.00 | 2.50 | 2.80 | 0.00 | 1.50 |
| No religion | 3.30 | 1.40 | 4.20 | 3.70 | 0.00 | 2.90 |
| Pearson’s chi2(12) = 32.3978 Pr = 0.001 | ||||||
| MARITAL STATUS | ||||||
| Bachelor | 0.00 | 1.40 | 1.70 | 2.80 | 3.30 | 1.70 |
| Married | 76.70 | 80.60 | 85.00 | 83.30 | 85.00 | 81.90 |
| Widow | 12.50 | 8.30 | 6.70 | 7.40 | 10.00 | 9.00 |
| Divorced | 8.30 | 6.90 | 2.50 | 4.60 | 1.70 | 5.00 |
| Separated | 2.50 | 2.80 | 4.20 | 1.90 | 0.00 | 2.50 |
| Pearson’s chi2(16) = 16.3779 Pr = 0.427 | ||||||
| EDUCATION LEVEL | ||||||
| No Education | 30.80 | 15.30 | 23.30 | 21.30 | 25.00 | 23.80 |
| Primary School | 57.50 | 66.70 | 55.80 | 56.50 | 65.00 | 59.20 |
| Secondary School | 10.80 | 18.10 | 20.00 | 21.30 | 10.00 | 16.50 |
| College/University | 0.80 | 0.00 | 0.80 | 0.90 | 0.00 | 0.60 |
| Pearson’s chi2(12) = 14.0138 Pr = 0.300 | ||||||
| LITERACY | ||||||
| No | 37.50 | 25.00 | 30.80 | 26.90 | 28.30 | 30.40 |
| Yes | 62.50 | 75.00 | 69.20 | 73.10 | 71.70 | 69.60 |
| Pearson’s chi2(4) = 4.6242 Pr = 0.328 | ||||||
| PRACTICING ENVIRONMENTAL RESOURCES RESTORATION | ||||||
| No | 9.20 | 8.30 | 10.80 | 2.80 | 6.70 | 7.70 |
| Yes | 90.80 | 91.70 | 89.20 | 97.20 | 93.30 | 92.30 |
| Pearson’s chi2(4) = 5.8276 Pr = 0.212 | ||||||
| Dependent Variable | T or F a | Prob. a |
|---|---|---|
| Gender as Factor 1 | ||
| Restoration Rationales (Continuous [0–5]) | −1.2403 | 0.2155 |
| Restoration Motives (Continuous [1–5]) | −1.3813 | 0.1679 |
| Education as Factor 2 | ||
| Restoration Rationales (Continuous [0–5]) | 0.62 | 0.5992 |
| Restoration Motives (Continuous [1–5]) | 0.20 | 0.8961 |
| Location (Traditional Authority Area) as Factor 3 | ||
| Restoration Rationales b (Continuous [0–5]) | 0.72 | 0.5801 |
| Restoration Motives (Continuous [1–5]) | 3.33 | 0.0106 |
| M1: Project-Based Motivations: Government Requirement/Promotion (Dummy [0–1]) | 2.21 | 0.0669 |
| M3: Leadership of Local Authority/Encouragement/Support (Dummy [0–1]) | 4.00 | 0.0034 |
| M4: Altruistic Behaviors and Environmental Civism: Altruist Behavior (Dummy [0–1]) | 2.15 | 0.0738 |
| Dependent Variable | T or F a | Prob. a |
|---|---|---|
| Gender as Factor 1 | ||
| Restoration Benefits (Continuous [1–6]) | −4.0866 | 0.0001 |
| B2: Reforestation and Environmental Benefits (Dummy [0–1]) | −2.3231 | 0.0206 |
| B3: Sustainable Provision of Fuelwood and production of Charcoal (Dummy [0–1]) | −3.2923 | 0.0011 |
| B4: Sustainable Provision of NTFPs (Dummy [0–1]) | −2.1431 | 0.0327 |
| Restoration Incentives (Continuous [0–5]) | −1.2804 | 0.2011 |
| Education as Factor 2 | ||
| Restoration Benefits (Continuous [1–6]) | 0.93 | 0.4264 |
| Restoration Incentives (Continuous [0–5]) | 1.16 | 0.3230 |
| Location (Traditional Authority Area) as Factor 3 | ||
| Restoration Benefits b (Continuous [1–6]) | 5.35 | 0.0003 |
| B3: Sustainable Provision of Fuelwood and Production of Charcoal (Dummy [0–1]) | 2.22 | 0.0658 |
| B5: Cope with Climate Change Impacts (Dummy [0–1]) | 11.11 | 0.0000 |
| Restoration Incentives b (Continuous [0–5]) | 1.62 | 0.1672 |
| No | Rules a | Abbreviation a | Percentage b (n = 436) * |
|---|---|---|---|
| Three Main Goal Frames as Base Plus One Alternative | |||
| 1 | Problem Solving—Resource/Material Constraints—Incentives—Knowledge—Benefits—Economic Capacity | PsMcInc_KBEc | 11.7% |
| 2 | Problem Solving—Resource/Material Constraints—Knowledge—Benefits—Economic Capacity—Extension Service—Influence of Peers | PsMcK_BEcExtIf | 11.2% |
| 3 | Problem Solving—Resource/Material Constraints—Benefits—Outcomes—Economic Capacity—Leadership of Local Authority—Morality/Community Loyalty | PsMcB_OEcLaMo | 3.7% |
| 4 | Problem Solving—Incentives—Benefits—Knowledge—Outcomes—Economic Capacity—Leadership of Local Authority | PsIncB_KOEcLa | 6.4% |
| 5 | Problem Solving—Knowledge—Benefits—Economic Capacity—Risk Averse—Government promotion | PsKB_EcRGo (10 similar cases from the FGDs) | 2.1% |
| Two Main Goal Frames as Base Plus One/Two Alternatives | |||
| 6 | Problem Solving—Resource/Material Constraints—Media Awareness—Extension Service—Influence of Peers—Economic Capacity—Leadership of Local Authority—Bequest/Altruist Value | PsMc_MaExtIfEcLaAl | 13.1% |
| 7 | Problem Solving—Incentives—Knowledge—Morality/Community Loyalty—Media Awareness—Risk Averse—Extension Service—Influence of Peers—Leadership of Local Authority—Economic Capacity—Bequest/Altruist Value | PsInc_KMoMaRExtIfLaEcAl | 18.8% |
| 8 | Problem Solving—Knowledge—Extension Service—Economic Capacity | PsK_ExtEc | 5.0% |
| 9 | Problem Solving—Benefits—Risk Averse—Influence of Peers | PsB_RIf (1 similar case from the FGDs) | 4.4% |
| 10 | Resource/Material Constraints—Incentives—Benefits—Extension Service—Economic Capacity | McInc_BExtEc | 2.3% |
| 11 | Resource/Material Constraints—Knowledge –Extension Service—Media Awareness—Influence of Peers—Risk Averse | McK_ExtMaIfR | 1.4% |
| 12 | Resource/Material Constraints—Influence of Peers—Risk Averse—Leadership of Local Authority | McIf_RLa | 1.1% |
| 13 | Incentives—Benefits—Risk Averse | IncB_R | 0.5% |
| 14 | Incentives—Knowledge—Bequest/Altruist Value—Extension Service | IncK_AlExt | 0.9% |
| One Main Goal Frame as Base Plus One Alternative | |||
| 15 | Problem Solving—Resource/Material Constraints—Benefits | Ps_McB | 10.8% |
| 16 | Influence of Peers—Problem Solving—Incentives—Knowledge—Benefits—Time efficiency—Outcomes | If_PsIncK_BTO (6 similar cases from the FGDs) | 2.3% |
| 17 | Extension Service—Problem Solving—Resource/Material Constraints | Ext_PsMc | 1.4% |
| 18 | Morality/Community Loyalty—Problem Solving—Incentives | Mo_PsInc | 0.5% |
| 19 | Bequest/Altruist Value—Problem Solving—Resource/Material Constraints—Knowledge | Al_PsMcK | 0.9% |
| 20 | Risk Averse—Problem Solving—Resource/Material Constraints—Media Awareness | R_PsMcMa | 0.5% |
| 21 | Leadership of Local Authority—Problem Solving—Resource/Material Constraints | La_PsMc | 1.1% |
| No | Rules a | Abbreviation a | Percentage b (n = 266) * |
|---|---|---|---|
| Three Main Goal Frames as Base Plus One Alternative | |||
| 1 | Leadership of Local Authority—Problem Solving—Benefits—Knowledge—Risk Averse—Rules of Collective/Community Work | LaPsB_KRRu | 11.7% |
| 2 | Leadership of Local Authority—Problem Solving—Incentives—Benefits—Risk Averse | LaPsInc_BR | 10.5% |
| 3 | Leadership of Local Authority—Problem Solving—Morality/Community Loyalty—Benefits—Risk Averse | LaPsMo_BR | 3.8% |
| 4 | Leadership of Local Authority—Problem Solving—Resource/Material Constraints—Incentives—Knowledge—Benefits | LaPsMc_IncKB | 3.4% |
| 5 | Leadership of Local Authority—Resource/Material Constraints—Incentives—Knowledge—Benefits—Risk Averse | LaMcInc_KBR | 10.2% |
| 6 | Problem Solving—Benefits—Knowledge—Influence of Peers—Time Efficiency—Outcomes | PsBK_IfTO (11 cases from the FGDs only) | – |
| Two Main Goal Frames as Base Plus One/Two Alternatives | |||
| 7 | Leadership of Local Authority—Resource/Material Constraints—Benefits—Knowledge—Extension Service—Influence of Peers | LaMc_ BKExtIf | 9.0% |
| 8 | Leadership of Local Authority—Benefits—Knowledge –Risk Averse—Bequest/Altruist Value | LaB_KRAl | 9.0% |
| 9 | Leadership of Local Authority—Morality/Community Loyalty—Benefits—Extension Service | LaMo_BExt | 4.9% |
| 10 | Leadership of Local Authority—Incentives—Benefits—Risk Averse—Morality/Community Loyalty | LaInc_BRMo | 4.5% |
| 11 | Leadership of Local Authority—Problem Solving—Risk Averse—Influence of Peers—Extension Service | LaPs_RIfExt | 3.0% |
| 12 | Problem Solving—Incentives—Morality/Community Loyalty –Influence of Peers—Benefits—Risk Averse—Economic Capacity | PsInc_ MoIfBREc | 7.1% |
| 13 | Problem Solving—Benefits—Morality/Community Loyalty—Risk Averse—Influence of Peers—Time efficiency—Bequest/Altruist Value—Rules of Collective/Community Work | PsB_ MoRIfT_AlRu (9 similar cases from the FGDs) | 5.3% |
| 14 | Problem Solving—Resource/Material Constraints—Knowledge—Incentives—Benefits | PsMc_KIncB | 1.9% |
| 15 | Benefits—Incentives—Risk Averse—Resource/Material Constraints—Morality/Community Loyalty | BInc_RMcMo | 2.3% |
| One Main Goal Frame as Base Plus One Alternative or Not | |||
| 16 | Leadership of Local Authority OR Rules of Collective/Community Work—Resource/Material Constraints—Economic Capacity | La_Ru_McEc | 8.3% |
| 17 | Benefits—Bequest/Altruist Value—Influence of Peers—Extension Service—Economic Capacity | B_AlIfExtEc | 3.4% |
| 18 | Risk Averse—Incentives—Leadership of Local Authority | R_IncLa | 1.1% |
| 19 | Morality/Community Loyalty—Problem Solving—Benefits—Risk Averse | Mo_PsBR | 0.8% |
| Rules Restoration Practices | 1 (n = 51) | 2 (n = 49) | 3 (n = 16) | 4 (n = 28) | 5 (n = 9) | 6 (n = 57) | 7 (n = 82) | 8 (n = 22) | 9 (n = 19) | 10 (n = 10) | 11 (n = 6) | 12 (n = 5) | 13 (n = 2) | 14 (n = 4) | 15 (n = 47) | 16 (n = 10) | 17 (n = 6) | 18 (n = 2) | 19 (n = 4) | 20 (n = 2) | 21 (n = 5) |
|---|---|---|---|---|---|---|---|---|---|---|---|---|---|---|---|---|---|---|---|---|---|
| Agroforestry (a) | 45 | 33 | 38 | 43 | 44 | 25 | 49 | 23 | 53 | 40 | 33 | 0 | 50 | 75 | 28 | 10 | 50 | 0 | 50 | 0 | 40 |
| FMNR (b) | 61 | 39 | 75 | 89 | 89 | 49 | 56 | 27 | 84 | 50 | 0 | 60 | 0 | 50 | 34 | 20 | 33 | 0 | 75 | 50 | 20 |
| Pits Plant on Farms (c) | 2 | 0 | 6 | 7 | 0 | 2 | 5 | 0 | 11 | 0 | 0 | 0 | 0 | 0 | 2 | 0 | 0 | 0 | 0 | 0 | 0 |
| Vetiver (d) | 45 | 45 | 44 | 57 | 67 | 42 | 54 | 27 | 37 | 40 | 33 | 0 | 50 | 50 | 17 | 30 | 33 | 50 | 25 | 50 | 0 |
| Improved Fallow (e) | 0 | 2 | 0 | 0 | 11 | 0 | 0 | 0 | 11 | 0 | 0 | 0 | 0 | 0 | 0 | 0 | 0 | 0 | 0 | 0 | 0 |
| Intercropping (f) | 18 | 16 | 0 | 18 | 11 | 23 | 13 | 23 | 21 | 20 | 17 | 60 | 0 | 25 | 19 | 40 | 0 | 0 | 50 | 0 | 0 |
| Mulching (g) | 53 | 49 | 56 | 79 | 100 | 42 | 65 | 73 | 42 | 10 | 33 | 40 | 100 | 50 | 55 | 60 | 50 | 100 | 50 | 100 | 20 |
| No Tillage (h) | 4 | 12 | 0 | 4 | 0 | 5 | 2 | 9 | 5 | 10 | 0 | 20 | 0 | 50 | 2 | 10 | 0 | 0 | 0 | 0 | 0 |
| Manure Application (i) | 86 | 84 | 81 | 86 | 100 | 86 | 82 | 68 | 84 | 90 | 67 | 60 | 50 | 100 | 64 | 70 | 83 | 50 | 75 | 50 | 0 |
| Swales (j) | 16 | 20 | 25 | 7 | 11 | 11 | 10 | 5 | 16 | 0 | 33 | 0 | 0 | 0 | 6 | 10 | 0 | 50 | 0 | 0 | 0 |
| Contour Ridges (k) | 47 | 57 | 56 | 57 | 0 | 53 | 50 | 18 | 37 | 80 | 50 | 40 | 50 | 50 | 32 | 10 | 33 | 50 | 50 | 50 | 80 |
| Marker/Box Ridges (l) | 10 | 18 | 6 | 14 | 0 | 9 | 20 | 0 | 16 | 10 | 33 | 0 | 0 | 50 | 9 | 0 | 33 | 50 | 0 | 50 | 40 |
| Rotation (m) | 2 | 0 | 0 | 0 | 0 | 2 | 0 | 0 | 0 | 0 | 0 | 0 | 0 | 0 | 0 | 0 | 0 | 0 | 0 | 0 | 0 |
| Average Number of practices [Min-Max] | 3.9 [1–8] | 3.8 [1–7] | 3.9 [1–7] | 4.6 [1–8] | 4.3 [3–6] | 3.5 [1–7] | 4.0 [1–9] | 2.7 [1–5] | 4.2 [2–5] | 3.5 [2–5] | 3 [2–4] | 2.8 [1–5] | 3 [2–4] | 5 [3–7] | 2.7 [1–4] | 2.6 [1–4] | 3.2 [1–6] | 3.5 [3–4] | 3.8 [2–5] | 3.5 [3–4] | 2 [1–3] |
| Rules Restoration Activities | 1 (n = 31) | 2 (n = 28) | 3 (n = 10) | 4 (n = 9) | 5 (n = 27) | 6 (n = 11) | 7 (n = 24) | 8 (n = 24) | 9 (n = 13) | 10 (n = 12) | 11 (n = 8) | 12 (n = 19) | 13 (n = 14) | 14 (n = 5) | 15 (n = 6) | 16 (n = 22) | 17 (n = 9) | 18 (n = 3) | 19 (n = 2) |
|---|---|---|---|---|---|---|---|---|---|---|---|---|---|---|---|---|---|---|---|
| Active Tree Planting in Forest (a) | 77 | 93 | 80 | 89 | 78 | 88 | 79 | 92 | 83 | 75 | 84 | 57 | 40 | 100 | 82 | 100 | 100 | 100 | |
| Natural Regeneration in Forest (b) | 97 | 79 | 80 | 100 | 67 | 63 | 71 | 92 | 83 | 75 | 84 | 71 | 80 | 67 | 82 | 89 | 67 | 0 | |
| Pits Planting on Communal Lands (c) | 23 | 39 | 30 | 11 | 0 | 0 | 0 | 8 | 8 | 0 | 5 | 0 | 0 | 0 | 0 | 0 | 0 | 0 | |
| Vetiver grass Planting (d) | 6 | 25 | 10 | 22 | 0 | 8 | 0 | 0 | 8 | 0 | 0 | 0 | 0 | 0 | 5 | 11 | 0 | 0 | |
| Riverbank Planting (q) | 6 | 14 | 0 | 0 | 0 | 0 | 0 | 0 | 8 | 0 | 0 | 0 | 0 | 0 | 0 | 0 | 33 | 50 | |
| Firebreak in Forest Areas (n) | 94 | 93 | 100 | 100 | 100 | 100 | 92 | 92 | 100 | 100 | 100 | 93 | 100 | 100 | 91 | 100 | 100 | 50 | |
| Awareness Against (0) Tree Cutting/Deforestation | 58 | 86 | 60 | 89 | 78 | 71 | 33 | 69 | 67 | 0 | 68 | 21 | 80 | 83 | 32 | 44 | 67 | 50 | |
| Forest Protection (p) | 97 | 93 | 100 | 100 | 93 | 88 | 100 | 92 | 92 | 100 | 95 | 79 | 100 | 100 | 100 | 100 | 100 | 50 | |
| Manure Application (i) | 6 | 32 | 0 | 33 | 11 | 8 | 0 | 0 | 8 | 0 | 5 | 0 | 0 | 17 | 0 | 0 | 0 | 0 | |
| Swales (i) | 0 | 36 | 20 | 11 | 7 | 4 | 0 | 8 | 33 | 0 | 21 | 0 | 0 | 17 | 0 | 0 | 33 | 0 | |
| Marker/Box Ridges (l) | 0 | 4 | 0 | 0 | 0 | 0 | 0 | 0 | 8 | 0 | 0 | 0 | 20 | 17 | 0 | 0 | 0 | 0 | |
| Gully Reclamation (r) | 0 | 14 | 0 | 22 | 4 | 4 | 0 | 0 | 8 | 0 | 0 | 0 | 0 | 0 | 0 | 0 | 0 | 50 | |
| Average Number of Activities [Min-Max] | 4.6 [3–7] | 6.1 [2–11] | 4.8 [3–7] | 5.8 [3–8] | 4.4 [2–6] | 4.3 [3–7] | 3.8 [2–5] | 4.5 [2–6] | 5.1 [3–12] | 3.5 [3–4] | 4.6 [3–6] | 3.2 [0–4] | 4.2 [3–5] | 5 [3–7] | 3.9 [2–6] | 4.4 [3–6] | 5 [4–7] | 3.5 [3–4] |
References
- Mansourian, S. Governance and forest landscape restoration: A framework to support decision-making. J. Nat. Conserv. 2017, 37, 21–30. [Google Scholar] [CrossRef]
- Galabuzi, C.; Eilu, G.; Mulugo, L.; Kakudidi, E.; Tabuti, J.R.S.; Sibelet, N. Strategies for empowering the local people to participate in forest restoration. Agrofor. Syst. 2014, 88, 719–734. [Google Scholar] [CrossRef]
- Meijer, S.S.; Catacutan, D.; Ajayi, O.C.; Sileshi, G.W.; Nieuwenhuis, M. The role of knowledge, attitudes and perceptions in the uptake of agricultural and agroforestry innovations among smallholder farmers in sub-Saharan Africa. Int. J. Agric. Sustain. 2015, 13, 40–54. [Google Scholar] [CrossRef]
- Cordingley, J.E.; Snyder, K.A.; Rosendahl, J.; Kizito, F.; Bossio, D. Thinking outside the plot: Addressing low adoption of sustainable land management in sub-Saharan Africa. Curr. Opin. Environ. Sustain. 2015, 15, 35–40. [Google Scholar] [CrossRef]
- Villamor, G.B.; van Noordwijk, M.; Djanibekov, U.; Chiong-Javier, M.E.; Catacutan, D. Gender differences in land-use decisions: Shaping multifunctional landscapes? Curr. Opin. Environ. Sustain. 2014, 6, 128–133. [Google Scholar] [CrossRef]
- Djenontin, I.; Foli, S.; Zulu, L. Revisiting the Factors Shaping Outcomes for Forest and Landscape Restoration in Sub-Saharan Africa: A Way Forward for Policy, Practice and Research. Sustainability 2018, 10, 906. [Google Scholar] [CrossRef]
- Ministry of Natural Resouces Energy and Mining. Forest Landscape Restoration Opportunities Assessment for Malawi; Ministry of Natural Resouces Energy and Mining: Lilongwe, Malawi, 2017.
- Ministry of Natural Resouces Energy and Mining. National Landscape Restoration; Ministry of Natural Resouces Energy and Mining: Lilongwe, Malawi, 2017.
- Wilson, S.J.; Cagalanan, D. Governing restoration: Strategies, adaptations and innovations for tomorrow’s forest landscapes. World Dev. Perspect. 2016, 4, 11–15. [Google Scholar] [CrossRef]
- Crooks, A.; Castle, C.; Batty, M. Key Challenges in Agent-Based Modelling for Geo-Spatial Simulation. Comput. Environ. Urban Syst. 2008, 32, 417–430. [Google Scholar] [CrossRef]
- Groeneveld, J.; Müller, B.; Buchmann, C.M.; Dressler, G.; Guo, C.; Hase, N.; Hoffmann, F.; John, F.; Klassert, C.; Lauf, T.; et al. Theoretical foundations of human decision-making in agent-based land use models e A review. Environ. Model. Softw. 2017, 87, 39–48. [Google Scholar] [CrossRef]
- Matthews, R.B.; Gilbert, N.G.; Roach, A.; Polhill, J.G.; Gotts, N.M. Agent-based land-use models: A review of applications. Landsc. Ecol. 2007, 22, 1447–1459. [Google Scholar] [CrossRef]
- Vlek, C.A.J.; Steg, L. Human behavior and environmental sustainability: Problems, driving forces, and research topics. J. Soc. Issues 2007, 63, 1–19. [Google Scholar] [CrossRef]
- Lindenberg, S.; Steg, L. Normative, gain and hedonic goal frames guiding environmental behavior. J. Soc. Issues 2007, 63, 117–137. [Google Scholar] [CrossRef]
- Etienne, J. Compliance theory: A goal framing approach. Law Policy 2011, 33, 305–333. [Google Scholar] [CrossRef]
- Jager, W.; Mosler, H.J. Simulating Human Behavior for Understanding and Managing Environmental Resource Use. J. Soc. Issues 2007, 63, 97–116. [Google Scholar] [CrossRef]
- Gilbert, N. Agent-Based Models; SAGE Publications, Inc.: Thousand Oaks, CA, USA, 2008; ISBN 9781412949644. [Google Scholar]
- Rounsevell, M.D.A.; Robinson, D.T.; Murray-Rust, D. From actors to agents in socio-ecological systems models. Philos. Trans. R. Soc. B Biol. Sci. 2012, 367, 259–269. [Google Scholar] [CrossRef]
- Miller, J.H.; Page, S.E. Complex Adaptive Systems: An Introduction to Computational Models of Social Life; Princeton University Press: Princeton, NJ, USA, 2007; ISBN 9781400835522. [Google Scholar]
- Kelly, R.A.; Jakeman, A.J.; Barreteau, O.; Borsuk, M.E.; ElSawah, S.; Hamilton, S.H.; Henriksen, H.J.; Kuikka, S.; Maier, H.R.; Rizzoli, A.E.; et al. Selecting among five common modelling approaches for integrated environmental assessment and management. Environ. Model. Softw. 2013, 47, 159–181. [Google Scholar] [CrossRef]
- Huber, R.; Bakker, M.; Balmann, A.; Berger, T.; Bithell, M.; Brown, C.; Grêt-Regamey, A.; Xiong, H.; Le, Q.B.; Mack, G.; et al. Representation of decision-making in European agricultural agent-based models. Agric. Syst. 2018, 167, 143–160. [Google Scholar] [CrossRef]
- DeAngelis, D.L.; Diaz, S.G. Decision-making in agent-based modeling: A current review and future prospectus. Front. Ecol. Evol. 2019, 6, 237. [Google Scholar] [CrossRef]
- Kremmydas, D.; Athanasiadis, I.N.; Rozakis, S. A review of Agent Based Modeling for agricultural policy evaluation. Agric. Syst. 2018, 164, 95–106. [Google Scholar] [CrossRef]
- Smajgl, A.; Brown, D.G.; Valbuena, D.; Huigen, M.G.A. Empirical characterisation of agent behaviours in socio-ecological systems. Environ. Model. Softw. 2011, 26, 837–844. [Google Scholar] [CrossRef]
- Smajgl, A.; Barreteau, O. Framing options for characterising and parameterising human agents in empirical ABM. Environ. Model. Softw. 2017, 93. [Google Scholar] [CrossRef]
- An, L. Modeling human decisions in coupled human and natural systems: Review of agent-based models. Ecol. Modell. 2012, 229, 25–36. [Google Scholar] [CrossRef]
- Balke, T.; Gilbert, N. How do agents make decisions? A survey. Jasss 2014, 17, 1. [Google Scholar] [CrossRef]
- Kennedy, W.G. Modelling Human Behaviour in Agent—Based Models. In Agent-Based Models of Geographical Systems; Heppenstall, A., Crooks, A., See, L., Batty, M., Eds.; Springer: Dordrecht, The Netherlands, 2012; pp. 167–179. [Google Scholar]
- Jordan, R.; Gray, S.; Zellner, M.; Glynn, P.D.; Voinov, A.; Hedelin, B.; Sterling, E.J.; Leong, K.; Olabisi, L.S.; Hubacek, K.; et al. Twelve Questions for the Participatory Modeling Community. Earth’s Future 2018, 6, 1046–1057. [Google Scholar] [CrossRef]
- Voinov, A.; Jenni, K.; Gray, S.; Kolagani, N.; Glynn, P.D.; Bommel, P.; Prell, C.; Zellner, M.; Paolisso, M.; Jordan, R.; et al. Tools and methods in participatory modeling: Selecting the right tool for the job. Environ. Model. Softw. 2018, 109, 232–255. [Google Scholar] [CrossRef]
- Mehryar, S.; Sliuzas, R.; Schwarz, N.; Sharifi, A.; van Maarseveen, M. From individual Fuzzy Cognitive Maps to Agent Based Models: Modeling multi-factorial and multi-stakeholder decision-making for water scarcity. J. Environ. Manag. 2019, 250, 109482. [Google Scholar] [CrossRef]
- Giabbanelli, P.J.; Gray, S.A.; Aminpour, P. Combining fuzzy cognitive maps with agent-based modeling: Frameworks and pitfalls of a powerful hybrid modeling approach to understand human-environment interactions. Environ. Model. Softw. 2017, 95, 320–325. [Google Scholar] [CrossRef]
- Davis, C.W.H.; Giabbanelli, P.J.; Jetter, A.J. The Intersection of Agent Based Models and Fuzzy Cognitive Maps: A Review of an Emerging Hybrid Modeling Practice. In Proceedings of the 2019 Winter Simulation Conference (WSC), National Harbor, MD, USA, 8–11 December 2019; pp. 1292–1303. [Google Scholar]
- Creswell, J.W. A Concise Introduction to Mixed Methods Research; SAGE Publications Inc.: Los Angeles, CA, USA, 2014; ISBN 9781483359045. [Google Scholar]
- Chinangwa, L.; Sinclair, F.; Pullin, A.S.; Hockley, N. Can co-management of government forest reserves achieve devolution? Evidence from Malawi. For. Trees Livelihoods 2016, 25, 41–58. [Google Scholar] [CrossRef]
- Senganimalunje, T.C.; Chirwa, P.W.; Babalola, F.D.; Graham, M.A. Does participatory forest management program lead to efficient forest resource use and improved rural livelihoods? Experiences from Mua-Livulezi Forest Reserve, Malawi. Agrofor. Syst. 2016, 90, 691–710. [Google Scholar] [CrossRef]
- Anderies, J.M.; Janssen, M.A.; Bousquet, F.; Cardenas, J.-C.; Castillo, D.; Lopez, M.-C.; Tobias, R.; Vollan, B.; Wutich, A. The challenge of understanding decisions in experimental studies of common pool resource governance. Ecol. Econ. 2011, 70, 1571–1579. [Google Scholar] [CrossRef]
- Vieira Pak, M.; Castillo Brieva, D. Designing and implementing a Role-Playing Game: A tool to explain factors, decision making and landscape transformation. Environ. Model. Softw. 2010, 25, 1322–1333. [Google Scholar] [CrossRef]
- Leisher, C. A comparison of tablet-based and paper-based survey data collection in conservation projects. Soc. Sci. 2014, 3, 264–271. [Google Scholar] [CrossRef]
- Djenontin, I.N.S.; Zulu, L.C.; Etongo, D. Ultimately, what is FLR in practice? Embodiments in Sub-Sahara Africa and Implications for Future FLR Design. Environ. Manag. under review.
- IISD Summary of the International Expert Meeting on Forest Landscape Restoration 27–28 February 2002. Sustain. Dev. 2002, 71, 1–8.
- Puspitaloka, D.; Kim, Y.S.; Purnomo, H.; Fulé, P.Z. Defining ecological restoration of peatlands in Central Kalimantan, Indonesia. Restor. Ecol. 2020, 28, 435–446. [Google Scholar] [CrossRef]
- Zulu, L.C. Community forest management in Southern Malawi: Solution or part of the problem? Soc. Nat. Resour. 2008, 21, 687–703. [Google Scholar] [CrossRef]
- Zulu, L. Bringing People Back into Protected Forests in Developing Countries: Insights from Co-Management in Malawi. Sustainability 2013, 5, 1917–1943. [Google Scholar] [CrossRef]
- Keshavarz, M.; Karami, E. Farmers’ decision-making process under drought. J. Arid Environ. 2014, 108, 43–56. [Google Scholar] [CrossRef]
- Villamor, G.B.; Van Noordwijk, M.; Troitzsch, K.G.; Vlek, P.L.G. Human decision making for empirical agent-based models: Construction and validation. In Proceedings of the International Environmental Modelling and Software Society (iEMSs) 2012 International Congress, Leipzig, Germany, 1–5 July 2012; pp. 2529–2536. [Google Scholar]
- Elsawah, S.; Guillaume, J.H.A.; Filatova, T.; Rook, J.; Jakeman, A.J. A methodology for eliciting, representing, and analysing stakeholder knowledge for decision making on complex socio-ecological systems: From cognitive maps to agent-based models. J. Environ. Manag. 2015, 151. [Google Scholar] [CrossRef]








| Factor 1 | Factor 2 | Factor 3 | Factor 4 | Factor 5 | Factor 6 |
|---|---|---|---|---|---|
| Dedza | |||||
| Level of Deforestation in the Forest Reserve | Benefits of Trees (Firewood) | Lack of Firewood | Time Saving When Cooking | Money After Selling Timber | Training by Extension Workers |
| Ntchisi | |||||
| Scarcity of Water Resources (Drying of Rivers) | Fearing Impacts of Environmental Degradation | Benefits of Restoration (Wind Break and Shade) | Level of Degradation (Soil Fertility Loss) | Government Policy | Training, e.g., Knowledge in Tree Management |
| Number of Goal Frames Considered | 0 a | 1 | 2 | 3 | 4 | 5 | |
|---|---|---|---|---|---|---|---|
| Rules for Individual-Level Restoration | Main Rule (n = 443) | 1.58 | 10.38 | 36.79 | 39.05 | 9.03 | 3.16 |
| Secondary Rule (n = 23) | 94.81 | 0.23 | 1.35 | 2.71 | 0.9 | - | |
| Tertiary Rule (n = 3) | 99.32 | - | - | 0.68 | - | - | |
| Rules for Collective-Level Restoration | Main Rule (n = 268) | 0.75 | 8.21 | 17.54 | 45.52 | 23.88 | 4.1 |
| Secondary Rule (n = 14) | 94.78 | - | 1.12 | 1.87 | 2.24 | - | |
| Tertiary Rule (n = 1) | 99.63 | - | 0.37 | - | - | - | |
| Local References to Resources Restoration | Examples of Narratives a |
|---|---|
| Planting More Trees to Attract Reliable Rains | “Planting more trees to attract reliable rains, and where we have cut trees, we are supposed to replace them by planting some more trees. Trees also help in preventing our buildings from heavy wind by acting as wind breaks.” |
| Using Agroforestry Systems, Including Intercropping to Restore Soil Fertility | “For us agroforestry people, restoration is using fertilizer trees to conserve and improve soil fertility. Not using inorganic fertilizer that degrades soil fertility further.” […] In the past, our parents were cultivating with no fertilizer, but they were harvesting higher yields and we want to turn our soils back to that state.” “Planting trees helps to ensure we are receiving reliable rains that help crops that we grow on improved soils to grow well. Some other trees act as both fertilizer trees and when they grow, they act as forests, for instance, Gliricidia.” |
| Biodiversity Recovery | “Making sure that wildlife like birds, hares, and grasshoppers are back into the environment by planting trees. There were more wildlife animals in the past because there were more trees.” |
| Forest Management and Protection Through Beekeeping | “Restoration is about protection of forests by keeping bees and doing all bee keeping activities; for instance, killing pests and applying oil. […] Beehives in both village forests and forest reserves help to protect trees because people are afraid of bees.” |
| Managing Natural Regeneration | “…after cutting down trees by making fire breaks and pruning; where there are natural regenerants, we make sure we manage.” |
| # | Types of Goal Frames | Description (From Initial Factors) | Occurrence in Discussions a (Count) | Occurrence in Survey (%) b | |
|---|---|---|---|---|---|
| Individual Level (n = 443) | Collective Action (n = 268) | ||||
| 1 | Problem Solving | Land Degradation Level; Scarcity of Water; Deforestation; Avoidance/Control of Soil Erosion; Low Fertility Rate/Improve Soil Fertility; Low yield/Increase Crop Yield; Insufficient food | 26 | 89.39% | 47.01% |
| 2 | Benefits | Access to/Free Firewood, Poles, Non-Timber Food Products, and other Materials Benefits from Trees Resources | 30 | 20.54% | 54.48% |
| 3 | Knowledge | Skills/Knowledge on Land Restoration | 18 | 24.15% | 9.70% |
| 4 | Risk Aversion | Avoiding Climate Change Effects | 9 | 1.58% | 19.40% |
| 5 | Influence of Peers | Influenced by Peers/Friends/Wives | 13 | 9.26% | 2.24% |
| 6 | Outcomes | Impacts and Outcomes | 9 | 1.13% | 0.37% |
| 7 | Time-Efficiency | Saving on Labor Time | 9 | N/A | N/A |
| 8 | Bequest/Altruist Value | Interest in Conserving the Environment | 4 | 1.58% | 1.87% |
| 9 | Rules of Collective/ Community Work | Rules and Laws Associated with Collective Action/Community-Village work | 3 | 0 | 1.49% |
| 10 | Resource/Material Constraints | Access to Resources for Manure Making; Affording to Buy Fertilizer; Access to Water Source; Access to Tree Seedlings; Availability of/Access to Resources/Materials; Labor Demand | N/A | 45.6% | 25.37% |
| 11 | Incentives | Training/Knowledge Benefits from Extension Workers/NGOs; Incentives from projects; Cash/Food for Work | N/A | 40.41% | 36.57% |
| 12 | Government Promotion or Requirement | Government-Led/Required Programs with or without Schemes of Rewards | 4 | N/A | N/A |
| 13 | Leadership of Local Authority | Good and Strong Leadership of Local Authority | N/A | 2.93% | 77.24% |
| 14 | Morality/Community Loyalty | Community Involvement/Participation Civic Education/Community Responsibility | N/A | 1.81% | 15.30% |
| 15 | Media Awareness | Information/Awareness from Media | N/A | 1.81% | 0 |
| 16 | Extension Service | Advice/Encouragement from Extension Services/NGOs | N/A | 6.77% | 2.99% |
| 17 | Economic Capacity | Economic Capacity | N/A | 6.09% | 1.87% |
| No | Rules a | Abbreviation a | Percentage b |
|---|---|---|---|
| Individual-Level Restoration (n = 436) * | |||
| Three Main Goal Frames as Base Plus One Alternative | |||
| 1 | Problem Solving—Resource/Material Constraints—Incentives—Knowledge—Benefits—Economic Capacity | PsMcInc_KBEc | 11.7% |
| 2 | Problem Solving—Resource/Material Constraints—Knowledge—Benefits—Economic Capacity—Extension Service—Influence of Peers | PsMcK_BEcExtIf | 11.2% |
| Two Main Goal Frames as Base Plus One/Two Alternative(s) | |||
| 6 | Problem Solving—Resource/Material Constraints—Media Awareness—Extension Service—Influence of Peers—Economic Capacity—Leadership of Local Authority—Bequest/Altruist Value | PsMc_MaExtIfEcLaAl | 13.1% |
| 7 | Problem Solving—Incentives—Knowledge—Morality/Community Loyalty—Media Awareness—Risk Averse—Extension Service—Influence of Peers—Leadership of Local Authority—Economic Capacity—Bequest/Altruist Value | PsInc_KMoMaRExtIfLaEcAl | 18.8% |
| One Main Goal Frame as Base Plus One or No Alternative | |||
| 15 | Problem Solving—Resource/Material Constraints—Benefits | Ps_McB | 10.6% |
| Collective-level Restoration (n = 266) # | |||
| Three Main Goal Frames as Base Plus One Alternative | |||
| 1 | Leadership of Local Authority—Problem Solving—Benefits—Knowledge—Risk Averse—Rules of Collective/Community Work | LaPsB_KRRu | 11.7% |
| 2 | Leadership of Local Authority—Problem Solving—Incentives—Benefits—Risk Averse | LaPsInc_BR | 10.5% |
| 5 | Leadership of Local Authority—Resource/Material Constraints—Incentives—Knowledge—Benefits—Risk Averse | LaMcInc_KBR | 10.2% |
| Two Main Goal Frames as Base Plus One/Two Alternative(s) | |||
| 7 | Leadership of Local Authority—Resource/Material Constraints—Benefits—Knowledge—Extension Service—Influence of Peers | LaMc_ BKExtIf | 9.0% |
| 8 | Leadership of Local Authority—Benefits—Knowledge –Risk Averse—Bequest/Altruist Value | LaB_KRAl | 9.0% |
| 12 | Problem Solving—Incentives—Morality/Community Loyalty –Influence of Peers—Benefits—Risk Averse—Economic Capacity | PsInc_ MoIfBREc | 7.1% |
| One Main Goal Frame as Base Plus One or No Alternative | |||
| 16 | Leadership of Local Authority OR Rules of Collective/Community Work—Resource/Material Constraints—Economic Capacity | La_Ru_McEc | 8.3% |
| Rules | 1 | 2 | 3 | 4 | 5 | 6 | 7 | 8 | 9 | 10 | 11 | 12 | 13 | 14 | 15 | 16 | 17 | 18 | 19 | 20 | 21 |
|---|---|---|---|---|---|---|---|---|---|---|---|---|---|---|---|---|---|---|---|---|---|
| Vegetation-based restoration practices | a b d c | a b d e | a b d c | a b d c | a b d e | a b d c | a b d c | a b d | a b d c e | a b d | a d | b | a d | a b d | a b d c | a b d | a b d | d | a b d | b d | a b |
| Non-vegetation-based restoration practices | g i k f h j l m | g i k f h j l | g i j k l | g i k f h j l | g i f j | f g i k h j l m | g i k l f h j | f g i k h j | f g i k h j l | f i k g h l | g i k j l f | f g h i k | g i k | f g h i k l | g i k f h j l | f g i h j k | g i k l | g i j k l | f g i k | g i k l | g k l |
| Rules | 1 | 2 | 3 | 4 | 5 | 6 | 7 | 8 | 9 | 10 | 11 | 12 | 13 | 14 | 15 | 16 | 17 | 18 | 19 |
|---|---|---|---|---|---|---|---|---|---|---|---|---|---|---|---|---|---|---|---|
| Vegetation-Based Restoration Activities | a b c d q | a b c d q | a b c d | a b c d | a b | a b d | a b | a b c | a b c d q | a b | a b c | a b | a b | a b | a b d | a b d | a b q | a q | |
| Non-Vegetation-Based Restoration Activities | n o p | n o p r | n o p | n o p r | n o p r | n o p r | n o p | n o p | n o p r | n p | n o p | n o p | n o p | n o p | n o p | n o p | n o p | n o p r |
© 2020 by the authors. Licensee MDPI, Basel, Switzerland. This article is an open access article distributed under the terms and conditions of the Creative Commons Attribution (CC BY) license (http://creativecommons.org/licenses/by/4.0/).
Share and Cite
Djenontin, I.N.S.; Zulu, L.C.; Ligmann-Zielinska, A. Improving Representation of Decision Rules in LUCC-ABM: An Example with an Elicitation of Farmers’ Decision Making for Landscape Restoration in Central Malawi. Sustainability 2020, 12, 5380. https://doi.org/10.3390/su12135380
Djenontin INS, Zulu LC, Ligmann-Zielinska A. Improving Representation of Decision Rules in LUCC-ABM: An Example with an Elicitation of Farmers’ Decision Making for Landscape Restoration in Central Malawi. Sustainability. 2020; 12(13):5380. https://doi.org/10.3390/su12135380
Chicago/Turabian StyleDjenontin, Ida Nadia S., Leo C. Zulu, and Arika Ligmann-Zielinska. 2020. "Improving Representation of Decision Rules in LUCC-ABM: An Example with an Elicitation of Farmers’ Decision Making for Landscape Restoration in Central Malawi" Sustainability 12, no. 13: 5380. https://doi.org/10.3390/su12135380
APA StyleDjenontin, I. N. S., Zulu, L. C., & Ligmann-Zielinska, A. (2020). Improving Representation of Decision Rules in LUCC-ABM: An Example with an Elicitation of Farmers’ Decision Making for Landscape Restoration in Central Malawi. Sustainability, 12(13), 5380. https://doi.org/10.3390/su12135380

