A New Strain of Bacillus tequilensis CGMCC 17603 Isolated from Biological Soil Crusts: A Promising Sand-Fixation Agent for Desertification Control
Abstract
1. Introduction
2. Materials and Methods
2.1. Study Area and Sample Collection
2.2. Isolation and Selection of Candidate Bacillus Strain
2.3. Genetic Identification of Candidate Bacillus Strain
2.4. Optimization of Culture Conditions and Medium Composition of Candidate Bacillus Strain
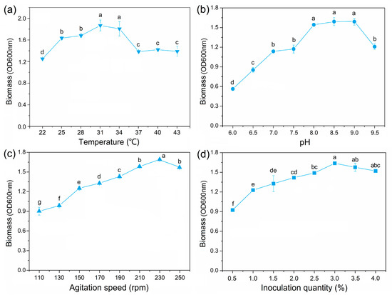
2.4.1. One-Factor-at-a-Time Approach (OFAT) Optimization
2.4.2. Response Surface Methodology (RSM) Optimization
2.5. Field Experimental Design
2.6. Statistical Analysis
3. Results and Discussion
3.1. Screening, Isolation, and Selection of Candidate Bacillus Strain
3.2. High-Density Culture of B. Tequilensis CGMCC 17603
3.3. Time Course Studies of B. tequilensis CGMCC 17603
3.4. Sand-Fixing Property of B. tequilensis CGMCC 17603
4. Conclusions
Author Contributions
Funding
Conflicts of Interest
Appendix A

References
- Middleton, N.J.; Thomas, D.S.G. World Atlas of Desertification; Edward Arnold: London, UK, 1992; p. 66. [Google Scholar]
- Feng, L.; Jia, Z.; Li, Q. The Dynamic Monitoring of Aeolian Desertification Land Distribution and its Response to Climate Change in Northern China. Sci. Rep. 2016, 6, 39563. [Google Scholar] [CrossRef] [PubMed][Green Version]
- Wang, X.M.; Zhang, C.X.; Hasi, E.; Dong, Z.B. Has the Three Norths Forest Shelterbelt Program solved the desertification and dust storm problems in arid and semiarid China? J. Arid Envoron. 2010, 74, 13–22. [Google Scholar] [CrossRef]
- Xue, Z.; Qin, Z.; Li, H.; Ding, G.; Meng, X. Evaluation of aeolian desertification from 1975 to 2010 and its causes in northwest Shanxi Province, China. Glob. Planet. Chang. 2013, 107, 102–108. [Google Scholar] [CrossRef]
- Lan, S.; Zhang, Q.; Wu, L.; Liu, Y.; Zhang, D.; Hu, C. Artificially accelerating the reversal of desertification: Cyanobacterial inoculation facilitates the succession of vegetation communities. Envoron. Sci. Technol. 2013, 48, 307–315. [Google Scholar] [CrossRef] [PubMed]
- Belnap, J.; Weber, B.; Büdel, B. Biological Soil Crusts as an Organizing Principle in Drylands. In Biological Soil Crusts: An Organizing Principle in Drylands; Weber, B., Büdel, B., Belnap, J., Eds.; Springer: Cham, Switzerland, 2016; pp. 3–13. [Google Scholar]
- Li, X.R.; Xiao, H.L.; Zhang, J.G.; Wang, X.P. Long-Term Ecosystem Effects of Sand-Binding Vegetation in the Tengger Desert, Northern China. Restor. Ecol. 2004, 12, 376–390. [Google Scholar] [CrossRef]
- Li, X.R.; Zhou, H.Y.; Wang, X.P.; Zhu, Y.G.; O’Conner, P.J. The effects of sand stabilization and revegetation on cryptogam species diversity and soil fertility in the Tengger Desert, Northern China. Plant. Soil 2003, 251, 237–245. [Google Scholar] [CrossRef]
- Lan, S.; Wu, L.; Zhang, D.; Hu, C. Successional stages of biological soil crusts and their microstructure variability in Shapotou region (China). Environ. Earth Sci. 2012, 65, 77–88. [Google Scholar] [CrossRef]
- Lan, S.; Wu, L.; Zhang, D.; Hu, C.; Liu, Y.D. Effects of drought and salt stresses on man-made cyanobacterial crusts. Eur. J. Soil Biol. 2010, 46, 381–386. [Google Scholar] [CrossRef]
- Rossi, F.; Mugnai, G.; Philippis, R.D. Complex role of the polymeric matrix in biological soil crusts. Plant. Soil 2018, 429, 19–34. [Google Scholar] [CrossRef]
- Acea, M.J.; Prieto-Fernández, A.; Diz-Cid, N. Cyanobacterial inoculation of heated soils: Effect on microorganisms of C and N cycles and on chemical composition in soil surface. Soil Biol. Biochem. 2003, 35, 513–524. [Google Scholar] [CrossRef]
- Issa, O.M.; Le Bissonnais, Y.; Défarge, C.; Trichet, J. Role of a cyanobacterial cover on structural stability of sandy soils in the Sahelian part of western Niger. Geoderma 2001, 101, 15–30. [Google Scholar] [CrossRef]
- Jia, R.L.; Li, X.R.; Liu, L.C.; Gao, Y.H.; Zhang, X.T. Differential wind tolerance of soil crust mosses explains their micro-distribution in nature. Soil Biol. Biochem. 2012, 45, 31–39. [Google Scholar] [CrossRef]
- Liu, L.; Liu, Y.; Zhang, P.; Song, G.; Hui, R.; Wang, Z.; Wang, J. Development of bacterial communities in biological soil crusts along a revegetation chronosequence in the Tengger Desert, northwest China. Biogeosciences 2017, 14, 3801–3814. [Google Scholar] [CrossRef]
- Liu, L.; Liu, Y.; Hui, R.; Xie, M. Recovery of microbial community structure of biological soil crusts in successional stages of Shapotou desert revegetation, northwest China. Soil Biol. Biochem. 2017, 107, 125–128. [Google Scholar] [CrossRef]
- Schallmey, M.; Singh, A.; Ward, O.P. Developments in the use of Bacillus species for industrial production. Can. J. Microbiol. 2004, 50, 1–17. [Google Scholar] [CrossRef]
- Nicholson, W.L.; Munakata, N.; Horneck, G.; Melosh, H.J.; Setlow, P. Resistance of Bacillus endospores to extreme terrestrial and extraterrestrial environments. Microbiol. Mol. Biol. Rev. 2000, 64, 548–572. [Google Scholar] [CrossRef]
- Flemming, H.C.; Neu, T.R.; Wozniak, D.J. The EPS matrix: The “house of biofilm cells”. J. Bacteriol. 2007, 189, 7945–7947. [Google Scholar] [CrossRef]
- Ghaly, A.; Arab, F.; Mahmoud, N.; Higgins, J. Production of levan by Bacillus licheniformis for use as a soil sealant in earthen manure storage structures. Am. J. Biotechnol. Biochem. 2007, 3, 47–54. [Google Scholar]
- Razack, S.A.; Velayutham, V.; Thangavelu, V. Influence of various parameters on exopolysaccharide production from Bacillus subtilis. Int. J. ChemTech Res. 2013, 5, 2221–2228. [Google Scholar]
- Manca, M.C.; Lama, L.; Improta, R.; Esposito, E.; Gambacorta, A.; Nicolaus, B. Chemical composition of two exopolysaccharides from Bacillus thermoantarcticus. Appl. Environ. Microbiol. 1996, 62, 3265–3269. [Google Scholar]
- Szumigaj, J.; Zakowska, Z.; Klimek, L. Exopolysaccharide production by Bacillus strains colonizing packaging foils. Pol. J. Microbiol. 2008, 57, 281–287. [Google Scholar] [PubMed]
- Li, X.R.; Jia, R.L.; Zhang, Z.S.; Zhang, P.; Hui, R. Hydrological response of biological soil crusts to global warming: A ten-year simulative study. Glob. Chang. Boil. 2018, 24, 4960–4971. [Google Scholar] [CrossRef] [PubMed]
- FAO. World Reference Base for Soil Resources; World Soil Resources Report No. 84; FAO: Rome, Italy, 1998. [Google Scholar]
- Feijoo, S.C.; Hayes, W.W.; Watson, C.E.; Martin, J.H. Effects of microfluidizer® technology on Bacillus licheniformis spores in ice cream mix. J. Dairy Sci. 1997, 80, 2184–2187. [Google Scholar] [CrossRef]
- Abdhul, K.; Ganesh, M.; Shanmughapriya, S.; Kanagavel, M.; Anbarasu, K.; Natarajaseenivasan, K. Antioxidant activity of exopolysaccharide from probiotic strain Enterococcus faecium (BDU7) from Ngari. Int. J. Boil. Macromol. 2014, 70, 450–454. [Google Scholar] [CrossRef]
- Dubois, M.; Gilles, K.A.; Hamilton, J.K.; Rebers, P.A.; Smith, F. Colorimetric method for determination of sugars and related substances. Anal. Chem. 1956, 28, 350–356. [Google Scholar] [CrossRef]
- Sambrook, J.; Fritsch, E.F.; Maniatis, T. Molecular Cloning: A Laboratory Manual; Cold Spring Harbor Laboratory Press: Woodbury, NY, USA, 1989. [Google Scholar]
- Tamura, K.; Peterson, D.; Peterson, N.; Stecher, G.; Nei, M.; Kumar, S. MEGA5: Molecular evolutionary genetics analysis using maximum likelihood, evolutionary distance, and maximum parsimony methods. Mol. Biol. Evol. 2011, 28, 2731–2739. [Google Scholar] [CrossRef] [PubMed]
- Mcdaniel, W.R.; Ankenman, B.E. Comparing experimental design strategies for quality improvement with minimal changes to factor levels. Qual. Reliab. Eng. Int. 2000, 16, 355–362. [Google Scholar] [CrossRef]
- Ravikumar, K.; Krishnan, S.; Ramalingam, S.; Balu, K. Optimization of process variables by the application of response surface methodology for dye removal using a novel adsorbent. Dye. Pigment. 2007, 72, 66–74. [Google Scholar] [CrossRef]
- Amenaghawon, N.A.; Nwaru, K.I.; Aisien, F.A.; Ogbeide, S.E.; Okieimen, C.O. Application of Box-Behnken design for the optimization of citric acid production from corn starch using Aspergillus niger. Biotechnol. J. Int. 2013, 236–245. [Google Scholar] [CrossRef]
- Gatson, J.W.; Benz, B.F.; Chandrasekaran, C.; Satomi, M.; Venkateswaran, K.; Hart, M.E. Bacillus tequilensis sp. nov., isolated from a 2000-year-old Mexican shaft-tomb, is closely related to Bacillus subtilis. Int. J. Syst. Evol. Microbiol. 2006, 56, 1475–1484. [Google Scholar] [CrossRef]
- Luang-In, V.; Saengha, W.; Deeseenthum, S. Characterization and bioactivities of a novel exopolysaccharide produced from lactose by Bacillus tequilensis PS21 isolated from Thai Milk Kefir. Microbiol. Biotechnol. Lett. 2018, 46, 9–17. [Google Scholar] [CrossRef]
- Rao, Y.K.; Tsay, K.J.; Wu, W.S.; Tzeng, Y.M. Medium optimization of carbon and nitrogen sources for the production of spores from Bacillus amyloliquefaciens B128 using response surface methodology. Process. Biochem. 2007, 42, 535–541. [Google Scholar] [CrossRef]
- Kumar, V.; Sahai, V.; Bisaria, V. High-density spore production of Piriformospora indica, a plant growth-promoting endophyte, by optimization of nutritional and cultural parameters. Bioresour. Technol. 2011, 102, 3169–3175. [Google Scholar] [CrossRef] [PubMed]
- Luang-In, V.; Deeseenthum, S. Exopolysaccharide-producing isolates from Thai milk kefir and their antioxidant activities. Lwt-Food Sci. Technol. 2016, 73, 592–601. [Google Scholar] [CrossRef]
- Freitas, F.; Alves, V.D.; Pais, J.; Carvalheira, M.; Costa, N.; Oliveira, R.; Reis, M.A. Production of a new exopolysaccharide (EPS) by Pseudomonas oleovorans NRRL B-14682 grown on glycerol. Process. Biochem. 2010, 45, 297–305. [Google Scholar] [CrossRef]
- ElMekawy, A.; F El-Baz, A.; A Soliman, E.; Hudson, S. Statistical modeling and optimization of chitosan production from Absidia coerulea using response surface methodology. Curr. Biotechnol. 2013, 2, 125–133. [Google Scholar] [CrossRef]
- Wee, L.L.; Annuar, M.S.M.; Ibrahim, S.; Chisti, Y. Enzyme-mediated production of sugars from sago starch: Statistical process optimization. Chem. Eng. Commun. 2011, 198, 1339–1353. [Google Scholar] [CrossRef][Green Version]
- Amouzgar, P.; Khalil, H.A.; Salamatinia, B.; Abdullah, A.Z.; Issam, A.M. Optimization of bioresource material from oil palm trunk core drying using microwave radiation; a response surface methodology application. Bioresour. Technol. 2010, 101, 8396–8401. [Google Scholar] [CrossRef]
- Solmaz, K.; Ozcan, Y.; Mercan Dogan, N.; Bozkaya, O.; Ide, S. Characterization and Production of Extracellular Polysaccharides (EPS) by Bacillus Pseudomycoides U10. Environments 2018, 5, 63. [Google Scholar] [CrossRef]
- Rani, R.P.; Anandharaj, M.; Sabhapathy, P.; Ravindran, A.D. Physiochemical and biological characterization of novel exopolysaccharide produced by Bacillus tequilensis FR9 isolated from chicken. Int. J. Boil. Macromol. 2016, 96, 1–10. [Google Scholar] [CrossRef]
- Palaniyandi, S.A.; Damodharan, K.; Suh, J.W.; Yang, S.H. Functional characterization of an exopolysaccharide produced by Bacillus sonorensis MJM60135 isolated from Ganjang. J. Microbiol. Biotechnol. 2018, 28, 663–670. [Google Scholar] [CrossRef] [PubMed]







| Independent Variables | Symbol Coded | Levels | ||
|---|---|---|---|---|
| −1 | 0 | +1 | ||
| Glucose | A | 20 | 25 | 30 |
| Yeast extract | B | 10 | 15 | 20 |
| MgSO4•7H2O | C | 3 | 5 | 7 |
| Run | A | B | C | Biomass (×109 CFU/mL) |
|---|---|---|---|---|
| 1 | 20 | 10 | 5 | 2.080 |
| 2 | 30 | 10 | 5 | 1.875 |
| 3 | 20 | 20 | 5 | 2.180 |
| 4 | 30 | 20 | 5 | 1.956 |
| 5 | 20 | 15 | 3 | 2.140 |
| 6 | 30 | 15 | 3 | 1.897 |
| 7 | 20 | 15 | 7 | 2.200 |
| 8 | 30 | 15 | 7 | 2.010 |
| 9 | 25 | 10 | 3 | 1.998 |
| 10 | 25 | 20 | 3 | 2.107 |
| 11 | 25 | 10 | 7 | 2.110 |
| 12 | 25 | 20 | 7 | 2.212 |
| 13 | 25 | 15 | 5 | 2.326 |
| 14 | 25 | 15 | 5 | 2.314 |
| 15 | 25 | 15 | 5 | 2.323 |
| 16 | 25 | 15 | 5 | 2.323 |
| 17 | 25 | 15 | 5 | 2.340 |
| Source | Sum of Squares | Degrees of Freedom | Mean Square | F value | P value | Significance |
|---|---|---|---|---|---|---|
| Model | 0.39 | 9 | 0.043 | 423.5 | <0.0001 | ** |
| A | 0.093 | 1 | 0.093 | 914.05 | <0.0001 | ** |
| B | 0.019 | 1 | 0.019 | 189.03 | <0.0001 | ** |
| C | 0.019 | 1 | 0.019 | 187.1 | <0.0001 | ** |
| AB | 9.03 × 10−5 | 1 | 9.03 × 10−5 | 0.89 | 0.3774 | ns |
| AC | 7.02 × 10−4 | 1 | 7.02 × 10−4 | 6.91 | 0.034 | * |
| BC | 1.23 × 10−5 | 1 | 1.23 × 10−5 | 0.12 | 0.7386 | ns |
| A2 | 0.13 | 1 | 0.13 | 1250.56 | <0.0001 | ** |
| B2 | 0.07 | 1 | 0.07 | 686.61 | <0.0001 | ** |
| C2 | 0.034 | 1 | 0.034 | 333.59 | <0.0001 | ** |
| Residuals | 7.11 × 10−4 | 7 | 1.02 × 10−4 | |||
| Lack of fit | 3.57 × 10−4 | 3 | 1.19 × 10−4 | 1.34 | 0.3797 | ns |
| Pure error | 3.55 × 10−4 | 4 | 8.87 × 10−5 | |||
| Cor total | 0.39 | 16 | ||||
| R2 = 0.9982 | ||||||
| Adjusted R2 = 0.9958 |
© 2019 by the authors. Licensee MDPI, Basel, Switzerland. This article is an open access article distributed under the terms and conditions of the Creative Commons Attribution (CC BY) license (http://creativecommons.org/licenses/by/4.0/).
Share and Cite
Zhao, L.; Li, X.; Wang, Z.; Qi, J.; Zhang, W.; Wang, Y.; Liu, Y. A New Strain of Bacillus tequilensis CGMCC 17603 Isolated from Biological Soil Crusts: A Promising Sand-Fixation Agent for Desertification Control. Sustainability 2019, 11, 6501. https://doi.org/10.3390/su11226501
Zhao L, Li X, Wang Z, Qi J, Zhang W, Wang Y, Liu Y. A New Strain of Bacillus tequilensis CGMCC 17603 Isolated from Biological Soil Crusts: A Promising Sand-Fixation Agent for Desertification Control. Sustainability. 2019; 11(22):6501. https://doi.org/10.3390/su11226501
Chicago/Turabian StyleZhao, Lina, Xinrong Li, Zengru Wang, Jinghua Qi, Wenli Zhang, Yansong Wang, and Yubing Liu. 2019. "A New Strain of Bacillus tequilensis CGMCC 17603 Isolated from Biological Soil Crusts: A Promising Sand-Fixation Agent for Desertification Control" Sustainability 11, no. 22: 6501. https://doi.org/10.3390/su11226501
APA StyleZhao, L., Li, X., Wang, Z., Qi, J., Zhang, W., Wang, Y., & Liu, Y. (2019). A New Strain of Bacillus tequilensis CGMCC 17603 Isolated from Biological Soil Crusts: A Promising Sand-Fixation Agent for Desertification Control. Sustainability, 11(22), 6501. https://doi.org/10.3390/su11226501
