Next Article in Journal
Green Streets to Serve Urban Sustainability: Benefits and Typology
Next Article in Special Issue
Advanced Recovery Techniques for Waste Materials from IT and Telecommunication Equipment Printed Circuit Boards
Previous Article in Journal
Role of SME in Poverty Alleviation in SAARC Region via Panel Data Analysis
Previous Article in Special Issue
Predicting Renovation Waste Generation Based on Grey System Theory: A Case Study of Shenzhen
 
 
Font Type:
Arial Georgia Verdana
Font Size:
Aa Aa Aa
Line Spacing:
Column Width:
Background:
Article

Influence of the Municipal Solid Waste Collection System on the Time Spent at a Collection Point: A Case Study

Department Mechanical Engineering and Construction, Jaume I University, Av. de Vicent Sos Baynat s/n, 12071 Castelló de la Plana, Spain
*
Author to whom correspondence should be addressed.
Sustainability 2019, 11(22), 6481; https://doi.org/10.3390/su11226481
Submission received: 16 October 2019 / Revised: 12 November 2019 / Accepted: 15 November 2019 / Published: 18 November 2019
(This article belongs to the Special Issue Sustainable Waste Technology and Management)

Abstract

Waste management plans pay attention to municipal solid waste (MSW) collection systems. It represents a significant portion of waste management as it involves a great economic cost and environmental impact. For these reasons, many researchers have studied the optimization of collection routes, analyzing factors that make them more efficient and sustainable, for example, the overall distance traveled and the time spent on the route. Collection times depend on factors such as the speed of the truck, time at traffic lights or time spent on loading and unloading the waste. The loading and unloading times play an important role in the measurement of the total time of the route. Moreover, there is scarce information in the literature about measuring the real-time spent on the trip. All those times are necessary to optimize the total route time. However, it is difficult to obtain this information directly as it depends on parameters such as the type of truck. The aim of this work is to propose a methodology to define all the times involved in the waste collection process. Once they are well defined, they have to be measured in some cases or calculated in others. This works also presents a case study to validate the proposed methodology with an extensive fieldwork to measure those times that can’t be calculated in the waste collection process. The work presents the results of a study of the time spent at a collection point in six MSW collection systems using different types of collection trucks and bin designs. We have determined how the characteristics of the system affect the time spent at a collection point. Additionally, the times for the six models have been established. Finally, we have determined the influence of the collection model in the duration of the activity. Under certain conditions, times can coincide even though the models are different.

1. Introduction

The optimization of municipal solid waste (MSW) collection routes is one of the main aims of waste management. Reducing the time spent collecting MSW is crucial to improve the service, to minimize the emission of pollutants into the air, and to reduce the economic cost of the overall waste management [1,2,3]. Several factors help to reduce this time, such as the number of waste fractions collected separately, the type of collection system, the type of trucks and bins, the routes of the trucks, and so on.
From an economic point of view, some authors showed that economic and political factors affect the provision of waste management services in different ways [4]. They examined five alternatives in an area, including public and private service delivery formulas and, within each field, individual and joint options. They highlighted the importance of the service cost and that of the various indicators of fiscal stress as factors that determine management decisions. However, the operational efficiency, especially when waste is separated into several fractions, also helps to improve collection. In relation to this, other authors analyzed the waste collection schemes from various perspectives, including technical, economic, social and environmental [5]. They compared two recyclable packaging waste collection systems: a mixed collection system, where curbside and drop-off collections were operated simultaneously (but where the curbside system was introduced after the drop-off system), and an exclusive drop-off system. Nowadays, monitoring systems provide a wide range of information that allows waste managers to improve the service. Some authors focused on the relevance of regular system monitoring as a service assessment tool [6]. They selected and tested a core-set of MSW collection performance indicators (effective collection distance, collection time, and fuel consumption) that highlighted collection system strengths and weaknesses and supported pro-active management decision-making and strategic planning.
Other authors have focused their works on reducing the time spent on waste collection. They tried to minimize the time required to serve high priority areas while keeping the average expected performance at a high level. For this reason, they proposed algorithms on both quantitative and qualitative criteria [7].
The interest in reducing the environmental impact of the collection routes is also present in some works, for example, to redesign the collection routes and compare the collection options of plastic waste using eco-efficiency as a performance indicator [8]. Eco-efficiency concerns the trade-off between environmental impacts, social issues, and costs. They calculated the real distances between locations with MapPoint.
Another factor to be taken into account to improve waste management, as commented before, is the type of waste collection systems. In some works, the authors proposed a classification to identify waste collection systems by means of two trees, one for containers and another for vehicles [9]. They took into account the container design, the container capacity, and operation. In a second part of the work [10], they developed 12 indicators to characterize the technological aspect of 22 waste collection systems divided into three groups: container design, container capacity, and operation.
Once the best type of collection system has been defined, the quickest way to reach all the storage points should be calculated in order to determine the optimum collection route. Nowadays, there are commercial tools based on geographical information systems (GIS) which help to carry out this work. ArcGis (Esri), Geomedia (Hexagon Espatial), MapInfo Professional (Pitney Bowes), Global Mapper (Blue Marble), Manifold GIS (Manifold), Small World (General Electrics), SuperGIS (SuperGEo Technologies), and AutoCad Map 3D (Autodesk) are some examples of such tools [11] reviewed and compared various GIS models suggested for solid waste management. However, to determine the time spent on the route it is essential to know the times involved in each activity carried out on the route. In fact, some authors, such as [12], introduced multiple trips and drivers’ and crews’ working time into their models. Some of these times can be calculated with tools such as GIS once certain parameters of the system are known, such as the distance between collection points, the maximum permitted speed, etc. However, other times, such as the time spent at a collection point, can only be known from experimental data and for these cases, there are no sources of information. In this case, authors also based their method of data retrieval on direct observation [13].
This work presents an experimental study to determine the time spent at a collection point in six MSW collection systems. It describes the experimental stage carried out to gather information, provides the values for each model, and discusses how the collection model can affect the length of the waste loading activity at a collection point. Nowadays, the time spent at a collection is not available in the references and it is needed to calculate the collection routes duration. We provide the time at collection points in six MSW collection systems that use different types of bins and trucks. Therefore, this paper provides valuable information for waste managers thanks to the experimental determination of the time spent at collection points in a real case. This fact helps to minimize these times and hence to optimize the waste collection process.

2. Materials and Methods

2.1. Determination of the Collection Times

A collection itinerary is defined as the trip made by a collection vehicle from the exit point at the garage to the final depot point. Collection usually starts at the collection enterprise’s facilities, which is the meeting point of trucks and operators. When the working teams have been organized and a truck has been assigned, the first activity starts, namely, traveling to the first collection point. In this first step, there is no waste inside the truck. The waste loading starts when the truck reaches the first collection point. In this step, the bins are emptied into the truck. When the truck is full or the working day is over this step finishes and the transportation of waste to the depot point takes place (transfer station, treatment plant or landfill). In this facility, the truck stays for as long as is needed to unload the MSW. Once the waste has been unloaded, if the working day is over, the operators go back to the facility and if there is enough time, they carry out another loading cycle. The Route (R) is the distance covered by the truck on a working day. It may include one or more itineraries.
The time spent on an itinerary can be expressed by Equation (1):
Tit = Tt + Tl + Tu + Td
where:
  • Tit is the time spent on an itinerary (minutes)
  • Tt is the transport time (minutes)
  • Tl is the loading time (minutes)
  • Tu is the unloading time (minutes)
  • Td is the dead time (minutes)
The transport time (Tt) is the time spent on the journeys made by the truck (with the truck full of waste or empty) that is needed to complete the itinerary. The journey can include roads and streets inside the town. For this reason, the speed of the truck can vary. The fact that the truck could be full or empty can also affect the speed of the truck. Therefore, to determine the transport time it will be essential to know the conditions of the truck and the characteristics of the route, such as speed limitations. Times can be easily calculated with a GIS tool.
The unloading time (Tu) is the time spent at the waste unloading point, which can be a transfer station, a treatment plant or a landfill. The Tu depends on the waiting time in some of those places. In the peak hours, when there is a large influx of trucks, the time could be long. In this case, operators can have their rest time. To plan integral management of MSW, it is important to consider this time and try to size the installations (weight zone, emptying zone, etc.) to make this time as short as possible.
The dead time (Td) is the time spent by the operators on having a rest. As mentioned earlier, operators can use the waiting times at the unloading points to take a rest.
The loading time (Tl) is the time spent on emptying the bins into the truck. It depends on the characteristics of the MSW collection system, in other words, waste pre-collection (bin size, emptying type, etc.) and collection (type of truck, manual or mechanical loading, compressing or non-compressing box, etc.) and the work zone (broad or narrow streets, etc.). All these reasons make this time difficult to calculate. It is even more complicated in those cases where the bag owner takes the trash out to the street because the number of bags to be collected has to be estimated, as not all the owners take them out on the collection day.
Taking into account that the truck will always stop at each collection point, the Tl can be calculated with Equation (2):
T l = i = 1 N P T c p i + i = 1 N P 1 T bcpi
where:
  • Tcp is the time spent at a collection point (minutes)
  • Tbcp is the time between two collection points (minutes)
  • NP is the number of collection points
  • NP − 1 is the number of sections between two collection points
Consequently, to obtain Tl, the value of NP, Tcpi, and Tbcpi should be known.
Tbcp can be calculated from knowing the distance between storage points, the maximum permissible speed, and the power of the truck. To calculate Tcp it will be essential to know the number of bins at each storage point, the bin characteristics (size, emptying type, etc.), the type of truck used, and the existence of waste overflow. Obtaining this kind of information is difficult and so it will be crucial to have experimental data.

2.2. Experimental Determination of Tcp

In this experimental work, Tcp values have been determined for six MSW collection systems. The methodology used involves the following steps:
1)
Description of the MSW collection system of the studied zone.
2)
Design of the micro-routing experience.
3)
Data collection.
4)
Analyses of the data.

2.2.1. Description of the MSW Collection Systems of the Studied Zone

First of all, it will be necessary to know the characteristics of the MSW collection system and the number of selective collection systems. For each waste fraction collected selectively it will be necessary to know the storage level (door-to-door, curbside bins, drop-off sites, etc.), the location of the collection points, the number of bins per collection point, the characteristics of the bins, the collection routes, the characteristics of the truck, the characteristics of the work team, and the description of the emptying of the bins. As a conclusion, the number of options of MSW collection systems in the studied zone will be determined. Each option will have its own Tcp.
The study zone in our research is the town of Burriana, a medium-sized town located on the east coast of Spain. The municipality has two urban areas: the town and the seaport area. It has 35,598 inhabitants distributed over 47 km2. This fact means that the population density is 757.4 inhab/km2. In this town, people separate the waste into four fractions: mixed waste (bio-waste and reject), paper and cardboard, light-packaging (beverages cartons, plastic, and cans), and glass. The mixed waste fraction is collected in different itineraries depending on the zone, the type of truck, and the type of bin. This is a quiet town, which does not have much traffic at collection time and few traffic lights.
The fieldwork analyzes the collection of the mixed waste fraction, the paper/cardboard fraction, and the light-packaging fraction. Citizens throw the mixed fraction into curbside bins and underground bins. Some of the curbside bins need a sideloading truck while others need a back-loading truck. Citizens place the paper/cardboard fraction and the light-packaging fraction in drop-off bins. The bins used in this case are of both the surface and the underground type. To unload the bins, there are different types of trucks. Table 1 shows the truck model for each type of bin.
In this town, six different MSW collection systems were studied (Table 1). S1, S2, S3, and S4 are the mixed waste fraction collection systems, S5 is the paper/cardboard collection system, and S6 is the light-packaging collection system. Table 1 shows the characteristics of each system: the type of truck and work team, the number of points per system, the number of bins at the collection point, and the volume of the bins. Systems S1 and S2 have a greater number of points because they are widely established in Burriana.
Figure 1 shows the types of bins used in Burriana and Figure 2 the types of trucks.

2.2.2. Design of the Micro-routing Experiment

The second step is to design the micro-routing experiment. Micro-routing is an experimental work based on measuring the collection data of each collection point: the number of bins per collection point, the time spent at a collection point (Tcp), the overflowed points, etc. Data acquisition can be performed from a vehicle following the truck throughout its journey or from inside the truck, with someone accompanying the driver.
To make Tcp statistically representative of the MSW collection system, a minimum number of points should be measured in the micro-routing.
The minimum number of points to be measured can be calculated using Equation (3).
n = ( t α ; n 1 · V C ε ) 2
where:
n is the number of points to be measured and tα;n−1 is the deviation of the mean value accepted to reach a confidence level (1 − α). It is expressed by the confidence coefficient of the “t” distribution for a level of statistical significance “α” and n − 1 degrees of freedom. For a 95% confidence level, “t” is 1.96.
  • VC: Variation coefficient (expressed as a decimal)
  • ε is the maximum error (expressed as a decimal)
To calculate n in Equation (3), the mean value and the VC of Tcp should be previously known for each MSW collection system. In this case, there were no previous studies on any of the MSW collection systems. Therefore, all the points on all the collection routes of each MSW collection system were measured. Afterward, the assumed error was determined.

2.2.3. Data Collection

The procedure employed to acquire data consists of following the collection trucks during an itinerary to note down the times. A field sheet with the following data was drawn up:
  • Identification of the route: path followed by the truck in the MSW collection process.
  • Time spent at the collection point (Tcp): Time stopped at a point. It is used to place the bins next to the truck, to empty the bins, and to return them to their point of origin.
  • Number of bins per point.
  • Number of points with overflows: This is the number of points with waste outside the bin.
  • Number of empty bins.
In total, eight micro-routings were carried out, two of them for S1, two for the S2, and one for each of the other systems S3, S4, S5, and S6.

2.2.4. Analyses of the Data

Finally, from these data and their analyses, the following information can be extracted:
  • Average time at the collection point (Tcpa): This is the average time of all the Tcp in an MSW collection system.
  • Tcp growth coefficient (Cg): This shows the relation between the Tcpa of the points with more than one bin and the collection points which only have one bin.
  • Overflow coefficient (Co): This shows the relation between the Tcpa of all the overflowed points and the Tcpa of all the points (Co = Tcpa overflowed/Tcpa total points).
Statistical tests were carried out to evaluate differences between data sets regarding their central tendencies (means) and variances. The following tests were applied:
  • Shapiro-Wilk test: Test for normal distribution (required to decide which subsequent statistical test to use, e.g., t-test, Kruskal-Wallis test).
  • Levene test: Test for homogeneity of variances (required to decide which subsequent statistical test to use, e.g., t-test, Welch-Test).
  • t-test for two independent samples: Test to corroborate the difference between two means. It is used when data follow a normal distribution and their variances are the same.
  • Wilcoxon test: This is a test to assess the difference between two means when data do not follow a normal distribution and their variances are different (non-parametric test).
  • ANOVA: This is a test that allows more than two means to be compared and verifies whether there are differences among several samples. It is used when data follow a normal distribution and they have the same variances. The Tukey post-hoc test was used to perform multiple comparisons by pairs and to identify which means are different.
  • Kruskal-Wallis test: This is used to compare two samples. It is a non-parametric test. It is applied when there is evidence that the variances of the data-sets are unequal and the data are not normally distributed. To perform multiple comparisons by pairs and to identify which means are different, the Dunn post-hoc test has been used.
All the tests were carried out using the program R. A level of significance (α) of 0.05 was considered.

3. Results and Discussion

Table 2 presents the results of the six systems mentioned earlier. Each collection point has one bin, except for system S4, which is made up of collection points with one or two bins. Therefore, in this case, the points with one bin and the points with two bins were analyzed separately. In Table 2, the term (n) refers to the number of collection points and the term (n′) is the number of collection points that need to be measured in order to assume an error of 10% in Equation (3).
The Tcp measured at each point of the micro-routing experiences were recorded in a database. For each system, the points were classified into two data sets, depending on whether overflow occurred or not. The empty collection points were discarded.

3.1. Minimum Sample Size

Equation (3) was used to determine the minimum sample size. Taking into account a confidence level of 95% and that data follow a normal distribution, the assumed error (ε) in each dataset (Tcp) of each collection system was calculated (Table 2).
Some authors [14] considered that an error of 10% can be assumed, which seems tolerable for sampling in the waste disposal industry. Table 2 shows that in all the systems, except for system S4-2b, the number of points studied (n) is higher than the number of points strictly necessary when the assumed error is 10% (n′). In system S4-2b, the assumed error was 12.61%, although as there are no more points to measure, it has not been possible to reduce it. Thus, it can be considered that the nine experiments are statistically representative, taking into account a confidence level of 95% and the error shown in Table 2.

3.2. General Analysis of the MSW Collection Systems

Results in Table 2 show that in some systems the number of bins at the collection points is satisfactory, which is the case of S1, S3, S4-1b, S4-2b, S5.2, and S6.2, as the percentage of overflowed bins is low. Another result extracted from the micro-routing was the identification of a higher percentage of overflowed bins in systems S5.1 and S6.1 than in S5.2 and S6.2. This is due to the fact that these systems have underground bins, which have a small mouth, and this means that citizens drop big light-packaging bags and the big pieces of cardboard outside the bin. System S2 has a high percentage of overflowed points due to the lack of bins at some collection points.
The overflowed points create serious problems for waste management, such as the emergence of vectors like rodents or flies in the streets, a bad image of the town as the waste dirties the sidewalks, and they entail a loss of efficiency in the waste collection as the operators have to drop the bags into the truck manually. For all these reasons, choosing a correct bin design and determining the appropriate number of bins for each collection point are two important tasks.
The micro-routing also detected some collection points with empty bins. These points appear in zones with a low density of population. Consequently, the collection service should review the location of these bins.

3.3. Analysis of Tcp in the Non-Overflowed Points

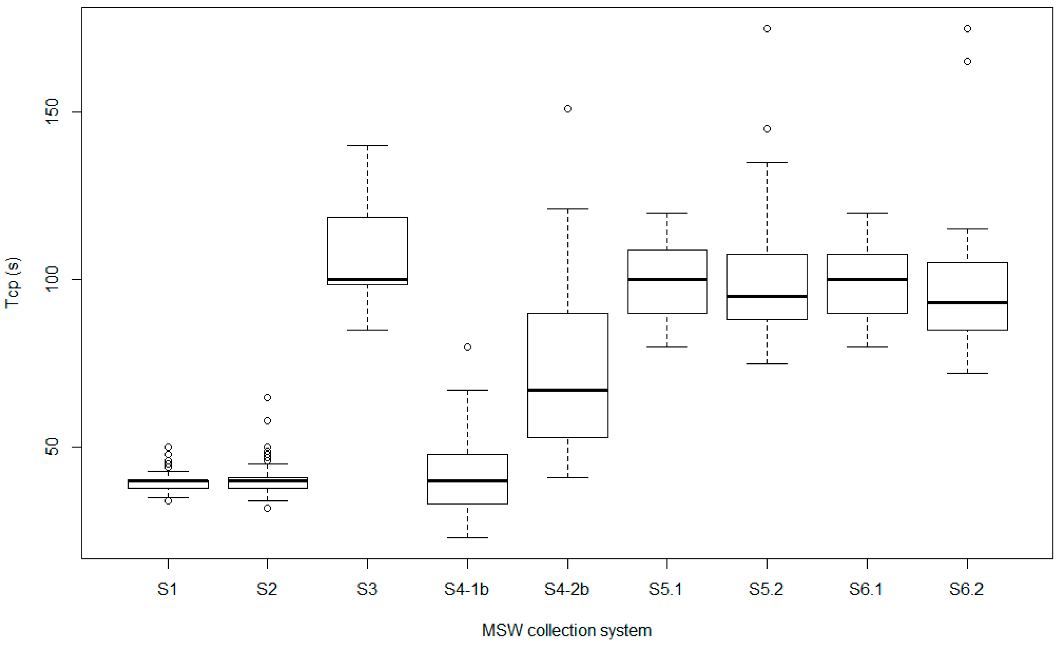
To analyze the data of the micro-routing, the statistical data of central tendency (mean) and their variability (standard deviation and variation coefficient) were calculated (Table 2). The chart in Figure 3 shows an initial descriptive statistical analysis of the results.
When the aim is to compare the Tcpa of the different MSW collection systems, it is important to determine whether the differences and similarities that appear in Table 2 are statistically significant.
A contrast of hypothesis was carried out comparing their means through an ANOVA test of factor. This test makes it possible to know, on the one hand, whether the differences among several samples are true and, therefore, they belong to different populations or, on the other hand, whether it can be said that the differences are so small that they appear randomly and, for this reason, they belong to the same population.
After verifying the assumption of homogeneity of variances with the Levene and normality tests, the Q-Q Normal plot (the diagnostic graph of ANOVA) showed that the data set did not follow a normal distribution and that they had different variances. Therefore, instead of using a parametric test like the ANOVA test, its equivalent Kruskal-Wallis non-parametric test was used. This test was applied with a 95% confidence level (α = 0.05). Table 3 shows the contrast data for multiple comparisons by pairs (Dunn post-hoc test) and their associated p-value.
As an important conclusion, it can be said that the Tcpa of S1, S2 and S4-1b are different from the Tcpa values of S3, S4-2b, S5.1, S5.2, S6.1 and S6.2 (p < 0.05). It can also be stated that Tcpa in S3 and S4-b2 are different (p < 0.05).
By analyzing the data, the following results can be extracted:
  • MSW collection systems S1 and S2 present a Tcpa of 39.70 s and 40.12 s, respectively. From the statistical point of view, no differences were detected in their mean values as it can be considered that both datasets belong to the same population and they have the same means (Table 3). Both systems also present a low VC in Tcpa. This information appears in Figure 3, as the dataset is accumulated around the median. Both facts mean that there is little dispersion in the Tcp values, in other words, this value hardly varies. Therefore, this confirms that the automatic lateral emptying time is similar at all the collection points.
  • System S3 presents a Tcpa of 108.65 s. Its Tcpa is higher than the Tcpa of S1 and S2 (Table 3), although they collect the same type of waste and have the same bin volume. The difference is due to the fact that unloading a surface bin with an automatic side system is faster than unloading the underground bins emptied with a hook. This fact results in an economic saving in collection management.
  • In system S4, 1.1 m3 bins and back-loading trucks are used. In this case, at the collection points that have one bin, Tcpa is 41.95 s and at the points, with two bins the Tcpa is 73.53 s. Table 3 also shows that these values are statistically different. However, the time spent at the points that have two bins is not twice the time spent at points with one bin (Cg is 1.73). This is due to the fact that while a bin is being unloaded into the truck, the employees move the other bin next to the truck. Moreover, S4-1 and S4-2b present a high VC (this is also supported by Figure 3, where the first and third quartiles are more distant). This fact means that there is a high dispersion and, consequently, there are great differences in the Tcp of the collection points. Therefore, the average is less representative of all the points. This happens because the distance between the bins and the truck is not the same at all the collection points. Hence, it can be said that the emptying time in the mechanical backloading of the 1.1 m3 bins varies even more from one point to another than in the automatic side-loading case.
  • The sub-system S4-1b presents a Tcpa of 41.95 s. There are no statistical differences between Tcpa in the automatic sideloading of mixed waste bins (2.4 or 3 m3, in S1 and S2) and the backloading at points with only one bin (1.1 m3 in S4-1b). This fact entails economic advantages of the automatic sideloading of the 2.4–3 m3 bins over the automatic back-loading collection of the 1.1 m3 bins. [15] established that S4 collection efficiency was 4–8t/operator-route and S1 efficiency was 14t/operator-route, which means greater efficiency in automatic sideloading than in backloading.
  • MSW collection systems S3, S5.1, S5.2, S6.1, and S6.2 present similar Tcpa values of between 97.91 s and 108.65 s. From the statistical point of view there are no significant differences, as stated in Table 3. Despite unloading different materials (mixed waste, paper/cardboard, and light packaging) and using different types of bins (surface and underground bins) the time spent on unloading the waste is similar in all the cases. This is due to the fact that they are using the same type of truck and the way of emptying takes precedence over the type of bin used.
The VC is high in the four cases and the first and third quartiles in Figure 3 are far from the median. In these systems, the truck uses a hook to unload the bin. The driver has to elevate the bin to the upper part of the truck box and afterward the bin is unloaded through its bottom part. The quantity of waste in the bin affects this maneuver, and so a greater amount of waste implies higher unloading times and higher data variability. It is also important to remark that there are some differences depending on the type of bin. In the case of surface bins, VC is higher than in the underground bins. This is explained by the fact that the unloading time in the underground bins is more constant and stable than in the case of the surface bins. Figure 3 confirms this, as it shows that S5.2 and S6.2 have longer whiskers and a greater number of atypical values.

3.4. Tcp According to the MSW Collection System

Based on the results of the statistical analysis, the average Tcp has been recalculated. For this purpose, the data of the micro-routing with no differences have been grouped (Table 4). The following groups were obtained:
  • Mixed waste collection system with one surface bin per point and backloading or automatic sideloading (S1, S2, and S4-1b)
  • Mixed waste collection system with two surface bins per point and backloading (S4-2b)
  • Mixed waste, paper/cardboard or light-packaging waste collection system with automatic crane loading for both surface and underground bins (S3, S5.1, S5.2, S6.1, and S6.2)
Table 4 shows a Tcp that can be used in Equation (2) to calculate the time of a route if it is similar to any of the six MSW collection systems studied in this work.

3.5. Effect of the Overloaded Bins at the Collection Points

Another aim of this work was to study the effect of the overflowed bins on Tcp. Table 2 shows that in all the systems the Tcpa value of the overflowed points is higher than in the non-overflowed points, Co varies between 1.27 and 2.77. Ref. [15] studied Co in other Spanish towns, obtaining values between 1.4 and 2.4. A collection system without overflowed points provides important savings in collection time.
As mentioned before, to determine whether the differences in Tcpa are real, a previous statistical study is needed. In this case, as the number of data (n) of Tcp at overflowed points for the micro-routings S3, S41-b, S5.2, S6.1, and S6.2 was too low (Table 2), the statistical analysis could only be performed in the micro-routings S1 and S2. Using the Shapiro-Wilk test for each micro-routing, data from both samples (Tcp with and without overflowed points) were tested to determine whether they were consistent with a normal distribution. The results showed that S1 and S2 were not consistent with a normal distribution and, consequently, we could not compare the mean values with a t-test (parametric). Instead, its analogous non-parametric test, the Wilcoxon test, should be used. Table 5 shows the contrast values obtained after using the Wilcoxon test for each micro-routing (confidence level of 95%, α = 0.05) and the p-values.
In both systems, the emptying time without overflowed points is different from the emptying time with overflowed points (p < 0.05).
Finally, this work that has analyzed the MSW collection system of the town of Burriana is useful to establish recommendations to the authorities to adopt a set of policies in the medium and long term to improve the functioning of the system. In the short-term, a set of low-cost measures can be established such as to introduce more bins or to vary the collection frequency of those routes with an elevated percentage of overflows and to eliminate the bins that are not used by the citizens. In the long term, with higher investments, we propose to change the design of the mouth of the underground bins of light packaging and paper and cardboard, to substitute the automatic crane loading bins by automatic sideloading bins and in those zones where the visual impact is not important, to change the underground bins by sideloading bins.
Underground bins have a minor visual impact but the time spent in unloading them is higher than the time spent unloading conventional bins. It is important not to use them in unnecessary places. The time spent in unloading bins of 1.1 m3 is the same that for unloading 2.4 m3 bins.
In each city, the authorities that need to establish or modify a MSW collection system, should analyze the characteristics of the town (to identify the touristic or historic zones, the narrow streets, etc.) and to choose the correct type of truck and bin (size and design) that allow them to obtain the lowest Tcp. This work shows the values of Tcp for different collection models. It is also important to provide enough bins to avoid overflows. These measures will avoid unnecessary costs. The MSW collection system represents an important part of the economic and environmental in the MSW collection
For all these reasons, choosing the correct bin design and determining the appropriate number of bins for each collection point are two important tasks.

4. Conclusions

The time spent on a collection itinerary is the sum of the times spent on carrying out all the activities included in that itinerary. All of them can be estimated directly by knowing the variables involved in the collection time (maximum speed of the truck, speed limitations, waiting time at the treatment plant, rest time, etc.) except for Tcp which is considered an experimental parameter as its value is obtained from experimental data.
This paper provides valuable information for waste managers due to the experimental determination of the Tcp in real cases. Tcp has been determined for six different types of waste collection, where three waste fractions are combined (mixed waste, paper/cardboard, and light-packaging) and three collection methods (automatic sideloading, automatic crane loading, and backloading) and four types of bins are used. All these cases cover the majority of the collection alternatives used in Europe.
The main conclusion is that the waste pre-collection (size and type of bin and the emptying system), the collection (type of truck, waste overflows, and number of bins per collection point), and the characteristics of the zone (distance between the bin and the truck) all affect the Tcp value. As a result of the experimental data, we have obtained Tcp for different types of MSW collection systems.
Other conclusions that have been extracted are referred to as the influence of the bin size, the type of bin, the emptying system, the number of bins at the collection point or the distances between the truck and the bin on Tcp.
In reference to the bin size, it has been demonstrated that this does not affect Tcp in the case of surface bins and back- or sideloading trucks (S1, S2, and S4-1b).
The type of bin (surface or underground) does not affect the Tcp when the truck has an automatic crane loading (S3, S5.1, S5.2, S6.1, and S6.2). Underground bins have a lower visual impact but their installation and maintenance are more expensive.
With regard to the emptying system, it has been demonstrated that the surface bins emptied from their lower part have a greater Tcp than the bins emptied from its side (S2, S5.2, and S6.2).
The systems that use backloading and automatic sideloading have the same Tcp regardless of the size of the bin.
It has also been demonstrated that when there are two bins at the same collection point, Tcp is not twice as much as when there is only one bin. However, if there are a lot of points with two or more bins, it is advisable to change to system 1.
Waste overflows increase Tcp significantly and, consequently, to calculate Tit the appropriate number of bins per point should be defined to avoid overflows, otherwise, the real Tit will be greater than the calculated value and the MSW collection system will have been wrongly sized.
Taking into account the characteristics of the zone, it has been proven that when there are varying distances from the bin to the truck, Tcp has a greater CV (S4-1b and S4-2b) and it becomes more difficult to calculate Tit.
Coefficients Co and Cg have been defined. These coefficients can help to better understand the collection process and to improve it. Co determines the increase in Tcp due to the overflowed collection points. Determining Cg helps to know whether the economy of scale can be achieved in the emptying times at points with more than one bin.
Regarding the study case, the micro-routing work has also allowed us to study the current state of the selective collection in the town of Burriana and it has been useful to propose corrective measures.
Finally, the authors believe that this work makes a contribution to the field of waste management as it is an advantageous tool for technical staff, allowing them to design and improve the waste collection system of a town.

Author Contributions

Conceptualization, A.G. and M.C.; methodology, A.G.; software, J.R.A.; validation, J.R.A.; formal analysis; N.E.-A.; investigation, M.C. and A.G.; resources, A.G. and J.R.A.; data curation, M.C. and A.G.; writing, M.C. and A.G.; review and editing, M.C. and A.G.; visualization, M.C.; supervision, M.C., A.G., project administration, A.G.; funding acquisition, there was no funding.

Funding

This research received no external funding

Acknowledgments

Authors acknowledge the Burriana town administration for their support in data acquisition.

Conflicts of Interest

The authors declare no conflict of interest.

References

  1. Costa, G.; Lieto, A.; Lombardi, F. LCA of a Consortium-Based MSW Management System to Quantify the Decrease in Environmental Impacts Achieved for Increasing Separate Collection Rates and Other Modifications. Sustainability 2019, 11, 2810. [Google Scholar] [CrossRef]
  2. Torreta, V.; Ionescu, G. Environmental assessment of the MSW treatment from the transport point of view. Manag. Environ. Qual. 2016, 27, 419–426. [Google Scholar] [CrossRef]
  3. Ciuta, S.; Siavon, M.; Chistè, A.; Ragazzi, M.; Rada, E.C.; Tubino, M.; Badea, A.; Apostol, T. Role of feedstock transport in the balance of primary PM emissions in two case-studies: RMSW incineration vs. sintering plant. Univ. Politeh. Buchar. Sci. Bull. Ser. D 2012, 74, 211–218. [Google Scholar]
  4. Plata-Diaz, A.M.; Zafra-Gomez, J.L.; Perez-Lopez, G.; Lopez-Hernandez, A.M. Alternative management structures for municipal waste collection services: The influence of economic and political factors. Waste Manag. 2014, 34, 1967–1976. [Google Scholar] [CrossRef] [PubMed]
  5. Martinho, G.; Gomes, A.; Santos, P.; Ramos, M.; Cardoso, J.; Silveira, A.; Pires, A. A case study of packaging waste collection systems in Portugal—Part I: Performance and operation analysis. Waste Manag. 2017, 6, 96–107. [Google Scholar] [CrossRef] [PubMed]
  6. Teixeira, C.A.; Avelino, C.; Ferreira, F.; Bentes, I. Statistical analysis in MSW collection performance assessment. Waste Manag. 2014, 34, 1584–1594. [Google Scholar] [CrossRef] [PubMed]
  7. Anagnostopoulos, T.; Kolomvatsos, K.; Anagnostopoulos, C.; Zaslavsky, A.; Hadjiefthymiadesc, S. Assessing dynamic models for high priority waste collection in Smart cities. J. Syst. Softw. 2015, 110, 178–192. [Google Scholar] [CrossRef]
  8. Bing, X.; de Keizer, M.; Bloemhof-Ruwaard, J.M.; van der Vorst, J.G.A.J. Vehicle routing for the eco-efficient collection of household plastic. Waste Manag. 2014, 34, 719–729. [Google Scholar] [CrossRef] [PubMed]
  9. Rodrigues, S.; Martinho, G.; Pires, A. Waste collection systems. Part A: A taxonomy. J. Clean. Prod. 2016, 113, 374–387. [Google Scholar] [CrossRef]
  10. Rodrigues, S.; Martinho, G.; Pires, A. Waste collection systems. Part B: Benchmarking indicators. Benchmarking of the Great Lisbon Area, Portugal. J. Clean. Prod. 2016, 139, 230–241. [Google Scholar] [CrossRef]
  11. Priyanka, S.; Shivangi, M.; Katiyar, S.K. A Review of Solid Waste Management Techniques using GIS and Other Technologies. In Proceedings of the IEEE International Conference on Computational Intelligence and Communication Networks, Jabalpur, India, 12–14 December 2015; pp. 1456–1459, ISBN 978-1-5090-0076-0. [Google Scholar]
  12. Tirkolaee, E.B.; Mahdavi, I.; Esfahani, M.M.S. A robust periodic capacitated arc routing problem for urban waste collection considering drivers and crew’s working time. Waste Manag. 2018, 76, 138–146. [Google Scholar] [CrossRef] [PubMed]
  13. Takaendengan, T.; Padmi, T.; Sembiring, E.; Damanhuri, E. Equation model for municipal solid waste collection and transportation in Manado City. Int. J. 2017, 13, 101–106. [Google Scholar] [CrossRef]
  14. Pehlken, A.; Von Blottnitz, H.; Pretz, T. Requirements for the sampling of residual waste—Approach to developing a new sampling model. Aufbereitungs Technik. Aufbereit. Tech. Miner. Process. 2000, 41, 409–415. [Google Scholar]
  15. Antonio Gallardo Izquierdo. Metodología para el Diseño de Redes de Recogida Selective de RSU Utilizando Sistemas de Información Geográfica. Creación de una Base de Datos Aplicable a España; Polytechnic University of Valencia: Valencia, Spain, 2000; ISBN 84-699-4381-2. [Google Scholar]
Figure 1. Types of bins.
Figure 1. Types of bins.
Sustainability 11 06481 g001
Figure 2. Types of trucks.
Figure 2. Types of trucks.
Sustainability 11 06481 g002
Figure 3. Tcp in each municipal solid waste (MSW) collection system.
Figure 3. Tcp in each municipal solid waste (MSW) collection system.
Sustainability 11 06481 g003
Table 1. Characteristics of the micro-routing.
Table 1. Characteristics of the micro-routing.
MSW SystemWasteBin Volume (m3)Bin TypeTruck Volume (m3)Truck TypeWorkers per TeamNumber of PointsNumber of Bins
S1Mixed2.4surface22Automatic sideloading1107107
S2Mixed3surface22Automatic sideloading1169169
S3Mixed3underground 7Automatic crane loading12929
S4Mixed1.1surface16Backloading3130223
S5.1Paper/cardboard3underground7Automatic crane loading11515
S5.2Paper/cardboard3surface7Automatic crane loading15757
S6.1Light-packaging 3underground 7Automatic crane loading11515
S6.2Light-packaging 3surface 7Automatic crane loading16565
Table 2. Results of the micro-routing.
Table 2. Results of the micro-routing.
Tcpa not Overflowed (s)Tcpa with Overflow (s)Bins Over-Flowed (%)Empty BinsCo
SystemnMean (s)VC (%)Ε (%)n′ (ε = 10%)nMean (s)VC (%)
S19739.726.761.357978.7829.468.4111.98
S215040.129.621.54142267.3724.9312.7901.53
S323108.6515.836.47101175 3.4551.61
S4-1b
(1 bin)
5841.9530.977.9737279.0037.592.9091.88
S4-2b
(2 bins)
3073.5335.2412.61480 0.000-
S5.111100.0912.497.3861125.00 6.6731.25
S5.243101.2619.945.96151280.00 1.75132.77
S6.11198.7312.497.3861125.00 6.6731.27
S6.24597.9122.366.53192140.00 3.08181.43
Table 3. Dunn test results: p-value of multiple comparisons.
Table 3. Dunn test results: p-value of multiple comparisons.
S1S2S3S4-1bS4-2bS5.1S5.2S6.1S6.2
S1 0.942<0.0010.978<0.001<0.001<0.001<0.001<0.001
S2 <0.0010.993<0.001<0.001<0.001<0.001<0.001
S3**** <0.0010.0430.9550.7340.9120.525
S4-1b ** <0.001<0.001<0.001<0.001<0.001
S4-2b******* 0.2580.0950.2870.166
S5.1**** ** 0.9660.9730.902
S5.2**** ** 0.9800.925
S6.1**** ** 0.949
S6.2**** **
** large significant differences, p-value < 0.01; * medium significant differences, p-value between 0.01 and 0.05; ( ) no significant differences, p-value higher than 0.05.
Table 4. Tcp per type of MSW collection system.
Table 4. Tcp per type of MSW collection system.
MSW Collection SystemTcp (s)
SystemWasteBin Volume (m3)Bin TypeTruck TypeMeanVC
S1Mixed2.4SurfaceAutomatic sideloading 40.341.60
S2Mixed3Surface Automatic sideloading
S4-1b
(1 bin)
Mixed1.1SurfaceBackloading
S4-2b
(2 bins)
Mixed1.1SurfaceBackloading73.5335.24
S3Mixed3Underground Automatic crane loading101.1019.18
S5.1Paper/cardboard3UndergroundAutomatic crane loading
S5.2Paper/cardboard3SurfaceAutomatic crane loading
S6.1Light-packaging 3Underground Automatic crane loading
S6.2Light-packaging 3Surface Automatic crane loading
Table 5. Results of the Wilcoxon Test for each micro-routing.
Table 5. Results of the Wilcoxon Test for each micro-routing.
Micro-RoutingWp-Value
S10<0.001
S2113<0.001

Share and Cite

MDPI and ACS Style

Carlos, M.; Gallardo, A.; Edo-Alcón, N.; Abaso, J.R. Influence of the Municipal Solid Waste Collection System on the Time Spent at a Collection Point: A Case Study. Sustainability 2019, 11, 6481. https://doi.org/10.3390/su11226481

AMA Style

Carlos M, Gallardo A, Edo-Alcón N, Abaso JR. Influence of the Municipal Solid Waste Collection System on the Time Spent at a Collection Point: A Case Study. Sustainability. 2019; 11(22):6481. https://doi.org/10.3390/su11226481

Chicago/Turabian Style

Carlos, Mar, Antonio Gallardo, Natalia Edo-Alcón, and Juan Ramón Abaso. 2019. "Influence of the Municipal Solid Waste Collection System on the Time Spent at a Collection Point: A Case Study" Sustainability 11, no. 22: 6481. https://doi.org/10.3390/su11226481

APA Style

Carlos, M., Gallardo, A., Edo-Alcón, N., & Abaso, J. R. (2019). Influence of the Municipal Solid Waste Collection System on the Time Spent at a Collection Point: A Case Study. Sustainability, 11(22), 6481. https://doi.org/10.3390/su11226481

Note that from the first issue of 2016, this journal uses article numbers instead of page numbers. See further details here.

Article Metrics

Back to TopTop