Survey on the Indoor Thermal Environment and Passive Design of Rural Residential Houses in the HSCW Zone of China
Abstract
1. Introduction
2. Methods
2.1. Face-To-Face Questionnaire and Interview
2.2. Field Measurement
2.2.1. Air-Tightness Testing
2.2.2. Temperature and Humidity Monitoring
2.2.3. Fungal Index
2.3. Simulation
2.3.1. Base Model
2.3.2. Composite Material: CMPCM-15
2.3.3. Case Details
3. Results and Discussion
3.1. Face-To-Face Questionnaire and Interview
3.1.1. Building Characteristics
3.1.2. Heating and Cooling Equipment and Its Energy Usage
3.2. Field Measurement
3.2.1. Air-Tightness Testing
3.2.2. Temperature and Humidity Monitoring
3.2.3. Fungal Growth
3.3. Simulation
3.3.1. Indoor Thermal Environment
Daily Room Temperature and Average Indoor Relative Humidity for the Whole Year
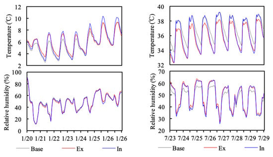
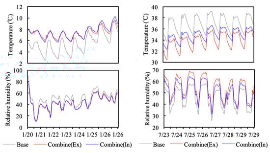
Daily Room Temperature and Average Indoor Relative Humidity During the Coldest and Hottest Weeks
3.3.2. Energy Consumption
4. Conclusions
- Rural residential houses in the HSCW zone have a very poor thermal insulation performance. The exterior walls were mostly made of 240 mm thick brick, and up to 90% of exterior walls have no insulation. In addition, 96% of the houses used single-glazed 3 mm thick glass windows. A pitched roof with a wooden structure and no insulation is used.
- Rural residential houses in the HSCW zone have high energy consumption costs. The average household electricity fee reaches 139.2 CNY/month, and the average gas fee per household is 75 CNY/month.
- Increasing the thickness and position of CMPCM-15 has a regulation effect on the indoor thermal environment and saves energy. Adding the 20 mm CMPCM-15 layer to both the exterior wall and interior wall increased the room temperature by up to 0.5 °C in winter and reduced the room temperature by up to 0.7 °C in summer, and it can reduce indoor relative humidity by 1.8% in winter. The energy-saving rate of adding a 20 mm CMPCM-15 layer to both the exterior wall and interior wall reached 1.5%.
- The overall passive design greatly reduced the fluctuations of the room temperature and indoor relative humidity. In the winter, the overall passive design combined with the external/internal insulation system of the exterior wall increased the room temperature by up to 3.6 °C/3.2 °C, respectively, and reduced the indoor relative humidity by 12%/11.6%, respectively. In the summer, the overall passive design combined with the external/ internal insulation system of the exterior wall reduced the room temperature by up to 4.4 °C/3.4 °C, respectively. The annual energy-saving rates of the overall passive design combined with the external/ internal insulation system of the exterior wall were 34.5%/34.6%, respectively.
Author Contributions
Funding
Acknowledgments
Conflicts of Interest
Abbreviations
| HSCW | hot summer and cold winter zone |
| moisture content defined as the mass fraction of water contained in a material | |
| surface air relative humidity | |
| coefficients that define the relationship between a material’s moisture content and the surface air relative humidity | |
| comprehensive energy consumption for annual heating and cooling of the design building | |
| comprehensive energy consumption for annual heating and cooling of the reference building | |
| room temperature | |
| indoor relative humidity | |
| lowest room temperature during the coldest week | |
| peak room temperature during the hottest week |
References
- Yu, J.; Yang, C.; Tian, L.; Liao, D. A study on optimum insulation thicknesses of external walls in HSCW zone of China. Appl. Energy 2009, 86, 2520–2529. [Google Scholar] [CrossRef]
- Yu, J.; Yang, C.; Tian, L. Low-energy envelope design of residential building in HSCW zone in China. Energy Build. 2008, 40, 1536–1546. [Google Scholar] [CrossRef]
- Tsinghua University Building Energy Research Center. Annual Report on China Building Energy Efficiency 2018; China Architecture & Building Press: Beijing, China, 2018. (In Chinese) [Google Scholar]
- Tsinghua University Building Energy Research Center. Annual Report on China Building Energy Efficiency 2016; China Architecture & Building Press: Beijing, China, 2016. (In Chinese) [Google Scholar]
- Xiong, Y.; Liu, J.; Kim, J. Understanding differences in thermal comfort between urban and rural residents in hot summer and cold winter climate. Build. Environ. 2019, 165, 106393. [Google Scholar] [CrossRef]
- Liu, D.; Ren, Z.; Wei, S.; Song, Z.; Li, P.; Chen, X. Investigations on the Winter Thermal Environment of Bedrooms in Zhongxiang: A Case Study in Rural Areas in HSCW Region of China. Sustainability 2019, 11, 4720. [Google Scholar] [CrossRef]
- Zhang, H.; Yoshino, H. Analysis of indoor humidity environment in chinese residential buildings. Build. Environ. 2010, 45, 2132–2140. [Google Scholar] [CrossRef]
- Lu, S.; Tang, X.; Ji, L.; Tu, D. Research on Energy-Saving Optimization for the Performance Parameters of Rural-Building Shape and Envelope by TRNSYS-GenOpt in HSCW Zone of China. Sustainability 2017, 9, 294. [Google Scholar] [CrossRef]
- Guo, W.; Qiao, X.; Huang, Y.; Fang, M.; Han, X. Study on energy saving effect of heat-reflective insulation coating on envelopes in the hot summer and cold winter zone. Energy Build. 2012, 50, 196–203. [Google Scholar] [CrossRef]
- Guo, S.; Da, Y.; Chen, P.; Ying, C.; Xin, Z.; Shan, H. Investigation and analyses of residential heating in the hscw climate zone of china: status quo and key features. Build. Environ. 2015, 94, 532–542. [Google Scholar] [CrossRef]
- Xu, L.; Liu, J.; Pei, J.; Han, X. Building energy saving potential in HSCW (hscw) zone, china—influence of building energy efficiency standards and implications. Energy Policy 2013, 57, 253–262. [Google Scholar] [CrossRef]
- Liu, X.; Chen, Y.; Ge, H.; Fazio, P.; Chen, G. Numerical investigation for thermal performance of exterior walls of residential buildings with moisture transfer in hot summer and cold winter zone of china. Energy Build. 2015, 93, 259–268. [Google Scholar] [CrossRef]
- Ichinose, T.; Lei, L.; Ye, L. Impacts of shading effect from nearby buildings on heating and cooling energy consumption in HSCW zone of China. Environmentalence 2012, 25, 106–116. [Google Scholar]
- Yang, Z.; Peng, M. Multi-objective optimization design of indoor thermal environment in rural residential areas - practice of rural self-built houses in Chongqing. New Constr. 2016, 12–17. [Google Scholar]
- Fu, X.; Qian, X.; Wang, L. Energy Efficiency for Airtightness and Exterior Wall Insulation of Passive Houses in HSCW Zone of China. Sustainability 2017, 9, 1097. [Google Scholar]
- Zhou, Y.; Yan, C.; Yao, J.; Zhang, W. The Influence of External Window’s Air Tightness on Residential Building’s Energy Consumption. J. Ningbo Univ. 2007. [Google Scholar]
- Costanzo, V.; Yao, R.; Xu, T.; Xiong, J.; Zhang, Q.; Li, B. Natural ventilation potential of residential buildings in a densely built-up and highly polluted environment. a case study. Renew. Energy 2019, 138, 340–353. [Google Scholar] [CrossRef]
- Chow, D.; Li, Z.; Darkwa, J. The effectiveness of retrofitting existing public buildings in face of future climate change in the hot summer cold winter region of china. Energy Build. 2013, 57, 176–186. [Google Scholar] [CrossRef]
- Yao, R.; Costanzo, V.; Li, X.; Zhang, Q.; Li, B. The effect of passive measures on thermal comfort and energy conservation. A Case study of the hot summer and cold winter climate in the Yangtze River region. J. Build. Engi. 2018, 15, 298–310. [Google Scholar] [CrossRef]
- Fabrizio, E.; Seguro, F.; Filippi, M. Integrated HVAC and DHW production systems for zero energy buildings. Renew. Sustain. Energy Rev. 2014, 40, 515–541. [Google Scholar] [CrossRef]
- Zhang, H.; Yoshino, H.; Hasegawa, K. Assessing the moisture buffering performance of hygroscopic material by using experimental method. Build. Environ. 2014, 48, 27–34. [Google Scholar] [CrossRef]
- DB11/T 555-2015. Standard for On-Site Testing of Energy Efficient Civil Buildings Engineering[S]. Available online: http://zjw.beijing.gov.cn/bjjs/xxgk/kjzc/bzgf/319976/index.shtml (accessed on 16 November 2019). (In Chinese)
- Abe, K. Comparison of computed and measured fungal index in field. In Proceedings of the Healthy Buildings, ISIAQ, IDMEC 2006, Lisbon, Portugal, 4–8 June 2006. [Google Scholar]
- Abe, K. A method for numerical characterization of indoor climates by a biosensor using a xerophilic fungus. Indoor Air 1993, 3, 344–348. [Google Scholar] [CrossRef]
- Abe, K. Fungal index evaluation of indoor environments. J. Antibact. Antifung. Agents 2001, 29, 557–566. (In Japanese) [Google Scholar]
- US Department of Energy, Office of Energy Efficiency & Renewable Energy. EnergyPlus Doc 2019. Available online: https://www.energyplus.net/sites/all/modules/custom/nrel_custom/pdfs/pdfs_v9.2.0/EngineeringReference.pdf (accessed on 16 November 2019).
- Shi, C.; Zhang, H.; Xuan, Y. Experimental investigation of thermal properties and moisture buffering performance of composite interior finishing materials under different airflow conditions. Build. Environ. 2019, 106175. [Google Scholar] [CrossRef]
- Woods, J.; Winkler, J.; Christensen, D. Evaluation of the Effective Moisture Penetration Depth Model for Estimating Moisture Buffering in Buildings; Office of Scientific & Technical Information Technical Reports: Golden, CO, USA, 2013. [Google Scholar]
- Ministry of Housing and Urban-Rural development of China. Design Standard for Energy Efficiency of Residential Buildings in Hot Summer and Cold Winter Zone; JGJ 134-2010; China Architecture and Building Press: Beijing, China, 2010. (In Chinese)
- Vincenzo, C.; Gianpiero, E.; Luigi, M.; Francesco, N. The effectiveness of phase change materials in relation to summer thermal comfort in air-conditioned office buildings. Build. Simul. 2018. [Google Scholar]
- He, X.; Reiner, D. Electricity demand and basic needs: empirical evidence from china’s households. Energy Policy 2016, 90, 212–221. [Google Scholar] [CrossRef]
- Shrestha, P.M.; Humphrey, J.L.; Barton, K.E.; Carlton, E.J.; Adgate, J.L.; Root, E.D.; Miller, S.L. Impact of Low-Income Home Energy-Efficiency Retrofits on Building Air Tightness and Healthy Home Indicators. Sustainability 2019, 11, 2667. [Google Scholar] [CrossRef]














| System | Construction (From Outside to Inside) | Thickness [mm] | Thermal Conductivity [W/m·K] | Specific Heat [J/kg·K] | Density [kg/m3] |
|---|---|---|---|---|---|
| Exterior wall | Ceramic | 10 | 1.40 | 840 | 2500 |
| Brick | 240 | 0.72 | 840 | 1920 | |
| Mortar | 20 | 0.88 | 896 | 2800 | |
| Total | 260 | Heat transfer coefficient: 1.875 W/m2·K | |||
| Interior wall | Mortar | 10 | 0.88 | 896 | 2800 |
| Brick | 240 | 0.72 | 840 | 1920 | |
| Mortar | 10 | 0.88 | 896 | 2800 | |
| Total | 260 | Heat transfer coefficient: 1.623 W/m2·K | |||
| Window | Single glazing | 3 | Heat transfer coefficient: 5.894 W/m2·K | ||
| Roof | Sloping roof with wooden structure (no insulation) | Heat transfer coefficient: 1.565 W/m2·K | |||
| Case | Code | System | Construction (From Outside to Inside) | Heat Transfer Coefficient [W/m2·K] | |
|---|---|---|---|---|---|
| Model Value | JGJ134-2010 Limit | ||||
| 1 | Ex | Exterior wall | 10 mm ceramic, 30 mm EPS, 240 mm brick, 20 mm mortar | 0.707 | 0.8 |
| 2 | In | Exterior wall | 10 mm ceramic, 240 mm brick, 30 mm EPS, 20 mm mortar | 0.707 | 0.8 |
| 3 | 10 mm CMPCM-15 | Exterior wall | 10 mm ceramic, 240 mm brick, 20 mm mortar, 10 mm CMPCM-15 | 1.806 | 0.8 |
| 4 | 20 mm CMPCM-15 | Exterior wall | 10 mm ceramic, 240 mm brick, 20 mm mortar, 10 mm CMPCM-15 | 1.742 | 0.8 |
| 5 | All (10 mm CMPCM-15) | Exterior wall | 10 mm ceramic, 240 mm brick, 20 mm mortar, 10 mm CMPCM-15 | 1.806 | 0.8 |
| Interior wall | 10 mm mortar, 240 mm brick, 10 mm mortar, 10 mm CMPCM-15 | 1.317 | |||
| 6 | All (20 mm CMPCM-15) | Exterior wall | 10 mm ceramic, 240 mm brick, 20 mm mortar, 20 mm CMPCM-15 | 1.742 | 0.8 |
| Interior wall | 10 mm mortar, 240 mm brick, 10 mm mortar,20 mm CMPCM-15 | 1.522 | |||
| 7 | Ex + All (20 mm CMPCM-15) | Exterior wall | 10 mm ceramic, 30 mm EPS, 240 mm brick, 20 mm mortar, 20 mm CMPCM-15 | 0.699 | 0.8 |
| Interior wall | 10 mm mortar, 240 mm brick, 10 mm mortar, 20 mm CMPCM-15 | 1.522 | |||
| 8 | In + All (20 mm CMPCM-15) | Exterior wall | 10 mm ceramic, 240 mm brick, 30 mm EPS, 20 mm mortar, 20 mm CMPCM-15 | 0.699 | 0.8 |
| Interior wall | 10 mm mortar, 240 mm brick, 10 mm mortar, 20 mm CMPCM-15 | 1.522 | |||
| 9 | Double layer window | Window | Double low-E 6 mm/13 mm air | 1.761 | 4.0 |
| 10 | Roof insulation | Roof | Wooden structure pitched roof with 60 mm EPS | 0.425 | 0.5 |
| 11 | ACH = 1 + NV | Air tightness | From 11/1 to 2/28, 11:00 a.m. – 1:00 p.m., ACH = 5 h-1; From 6/1 to 9/30, 7:00 p.m.– 7:00 a.m., ACH = 5 h-1; From 3/1 to 5/30 and from 10/1 to 10/30, 8:00 a.m. – 5:00 p.m., ACH = 5 h-1; Other times, ACH = 1 h-1; | 1.0 h-1 | |
| 12 | Combined (Ex) | Case 7 + Case 9 + Case 10 + Case 11 | |||
| 13 | Combined (In) | Case 8 + Case 9 + Case 10 + Case 11 | |||
| House A | 1F Bedroom | 2F Living Room | 2F Bedroom | 3F Bedroom | 4F Loft |
| Relative humidity 70% | 59.4% | 60% | 42.7% | 41.2% | 31.9% |
| Fungal index 10 ru/week | 35.9% | 37.7% | 19.8% | 9.6% | 15.6% |
| House B | 1F Living Room | 2F Living Room | 2F Bedroom | 3F Bedroom | |
| Relative humidity 70% | 68.7% | 49.6% | 51.9% | 41.5% | |
| Fungal index 10 ru/week | 50.3% | 27% | 27% | 18% |
| Base | Ex | In | 10 mm CMPCM-15 | 20 mm CMPCM-15 | All (10 mm CMPCM-15) | All (20 mm CMPCM-15) | Ex + All (20 mm CMPCM-15) | In + All (20 mm CMPCM-15) | Double-Layer Window | Roof Insulation | (ACH = 1) + NV | Combined (Ex) | Combined (In) | ||||||||||||||||
|---|---|---|---|---|---|---|---|---|---|---|---|---|---|---|---|---|---|---|---|---|---|---|---|---|---|---|---|---|---|
| AVE. | STD. | AVE. | STD. | AVE. | STD. | AVE. | STD. | AVE. | STD. | AVE. | STD. | AVE. | STD. | AVE. | STD. | AVE. | STD. | AVE. | STD. | AVE. | STD. | AVE. | STD. | AVE. | STD. | AVE. | STD. | ||
| Winter | Dec. | 9.7 | 1.6 | 10.0 | 1.3 | 10.0 | 1.5 | 9.8 | 1.6 | 9.8 | 1.6 | 9.8 | 1.6 | 9.8 | 1.6 | 10.1 | 1.2 | 10.1 | 1.5 | 9.8 | 1.6 | 10.2 | 1.5 | 9.9 | 1.5 | 11.3 | 1.0 | 11.5 | 1.1 |
| Jan. | 7.7 | 2.0 | 8.1 | 1.8 | 8.1 | 2.0 | 7.7 | 2.0 | 7.8 | 2.0 | 7.7 | 2.0 | 7.7 | 2.0 | 8.2 | 1.9 | 8.1 | 1.9 | 7.8 | 2.0 | 8.2 | 2.1 | 7.8 | 2.0 | 9.6 | 1.8 | 9.6 | 1.9 | |
| Feb. | 8.2 | 2.1 | 8.4 | 1.8 | 8.5 | 1.9 | 8.2 | 2.1 | 8.2 | 2.1 | 8.2 | 2.1 | 8.2 | 2.1 | 8.5 | 1.7 | 8.6 | 1.9 | 8.2 | 2.1 | 8.5 | 2.0 | 8.4 | 2.1 | 9.5 | 1.4 | 9.7 | 1.7 | |
| Total | 8.5 | 2.1 | 8.9 | 1.8 | 8.9 | 2.0 | 8.6 | 2.1 | 8.6 | 2.1 | 8.6 | 2.1 | 8.6 | 2.1 | 8.9 | 1.8 | 8.9 | 2.0 | 8.6 | 2.1 | 9.0 | 2.1 | 8.7 | 2.1 | 10.1 | 1.7 | 10.3 | 1.8 | |
| Summer | Jun. | 26.9 | 1.6 | 26.5 | 1.4 | 26.6 | 1.5 | 26.9 | 1.6 | 26.9 | 1.6 | 26.9 | 1.6 | 26.9 | 1.5 | 26.5 | 1.4 | 26.6 | 1.5 | 26.9 | 1.6 | 26.9 | 1.5 | 26.4 | 1.4 | 25.7 | 1.3 | 26.5 | 1.3 |
| Jul. | 32.0 | 3.6 | 31.3 | 3.3 | 31.5 | 3.5 | 32.0 | 3.6 | 31.9 | 3.6 | 32.0 | 3.6 | 31.9 | 3.6 | 31.3 | 3.2 | 31.5 | 3.4 | 31.9 | 3.6 | 31.9 | 3.4 | 31.5 | 3.4 | 30.2 | 2.7 | 30.9 | 3.0 | |
| Aug. | 33.2 | 2.1 | 32.8 | 1.8 | 32.7 | 1.9 | 33.2 | 2.1 | 33.2 | 2.0 | 33.2 | 2.0 | 33.2 | 2.0 | 32.9 | 1.7 | 32.8 | 1.9 | 33.2 | 2.1 | 33.2 | 2.0 | 32.5 | 2.1 | 31.6 | 1.6 | 32.5 | 1.5 | |
| Total | 30.7 | 3.8 | 30.3 | 3.6 | 30.3 | 3.6 | 30.7 | 3.7 | 30.7 | 3.7 | 30.7 | 3.7 | 30.7 | 3.7 | 30.2 | 3.5 | 30.3 | 3.6 | 30.7 | 3.7 | 30.7 | 3.7 | 30.1 | 3.6 | 29.1 | 3.2 | 30.0 | 3.3 | |
| Base | Ex | In | 10 mm CMPCM-15 | 20 mm CMPCM-15 | All (10 mm CMPCM-15) | All (20 mm CMPCM-15) | Ex + All (20 mm CMPCM-15) | In + All (20 mm CMPCM-15) | Double-Layer Window | Roof Insulation | (ACH = 1) + NV | Combined (Ex) | Combined (In) | ||||||||||||||||
|---|---|---|---|---|---|---|---|---|---|---|---|---|---|---|---|---|---|---|---|---|---|---|---|---|---|---|---|---|---|
| AVE. | STD. | AVE. | STD. | AVE. | STD. | AVE. | STD. | AVE. | STD. | AVE. | STD. | AVE. | STD. | AVE. | STD. | AVE. | STD. | AVE. | STD. | AVE. | STD. | AVE. | STD. | AVE. | STD. | AVE. | STD. | ||
| Winter | Dec. | 68.2 | 15.2 | 66.9 | 15.6 | 66.9 | 15.1 | 68.0 | 15.2 | 67.9 | 15.3 | 68.0 | 15.3 | 68.0 | 15.3 | 66.8 | 15.7 | 66.7 | 15.2 | 68.0 | 15.3 | 66.2 | 15.4 | 67.4 | 15.4 | 61.8 | 15.9 | 61.2 | 15.5 |
| Jan. | 67.7 | 18.0 | 66.1 | 17.9 | 66.2 | 17.8 | 67.5 | 18.0 | 67.4 | 18.0 | 67.5 | 18.0 | 67.5 | 18.0 | 65.8 | 17.8 | 66.0 | 17.8 | 67.5 | 18.1 | 65.5 | 17.5 | 66.9 | 18.2 | 59.7 | 16.5 | 59.6 | 16.4 | |
| Feb. | 57.0 | 17.9 | 56.2 | 17.9 | 55.9 | 17.7 | 56.9 | 18.0 | 56.8 | 17.9 | 56.9 | 18.0 | 56.9 | 18.0 | 56.1 | 18.0 | 55.8 | 17.7 | 56.8 | 17.9 | 55.7 | 17.7 | 56.1 | 18.3 | 51.9 | 17.1 | 51.5 | 16.7 | |
| Total | 64.6 | 17.8 | 63.3 | 17.8 | 63.2 | 17.6 | 64.3 | 17.8 | 64.3 | 17.8 | 64.4 | 17.8 | 64.4 | 17.8 | 63.1 | 17.8 | 63.1 | 17.6 | 64.3 | 17.8 | 62.7 | 17.5 | 63.7 | 18.1 | 58.0 | 17.0 | 57.6 | 16.7 | |
| Summer | Jun. | 72.6 | 8.5 | 74.4 | 8.3 | 74.0 | 8.5 | 72.7 | 8.4 | 72.8 | 8.4 | 72.7 | 8.4 | 72.7 | 8.4 | 74.4 | 8.3 | 73.9 | 8.4 | 72.8 | 8.5 | 72.7 | 8.0 | 74.7 | 8.0 | 77.9 | 7.6 | 74.5 | 8.1 |
| Jul. | 65.4 | 16.1 | 67.6 | 15.3 | 67.1 | 15.7 | 65.4 | 16.0 | 65.5 | 16.0 | 65.4 | 16.0 | 65.5 | 15.9 | 67.8 | 15.0 | 67.1 | 15.6 | 65.6 | 16.1 | 65.4 | 15.4 | 67.2 | 15.6 | 71.2 | 13.7 | 68.8 | 14.4 | |
| Aug. | 52.1 | 7.6 | 53.3 | 8.0 | 53.7 | 8.0 | 52.0 | 7.5 | 52.0 | 7.5 | 52.0 | 7.5 | 51.9 | 7.6 | 53.0 | 8.0 | 53.4 | 8.0 | 52.1 | 7.6 | 51.9 | 7.5 | 54.5 | 7.6 | 56.9 | 8.3 | 54.1 | 8.3 | |
| Total | 63.3 | 14.2 | 65.0 | 14.1 | 64.8 | 14.1 | 63.3 | 14.2 | 63.3 | 14.2 | 63.3 | 14.2 | 63.3 | 14.2 | 65.0 | 14.1 | 64.7 | 14.1 | 63.4 | 14.3 | 63.2 | 13.9 | 65.4 | 13.8 | 68.6 | 13.5 | 65.7 | 13.7 | |
| No. | Case | |||||
|---|---|---|---|---|---|---|
| 0 | Base | 944.2 | 1110.0 | |||
| 1 | Ex | 834.6 | 11.6% | 875.0 | 21.2% | 15.7% |
| 2 | In | 763.7 | 19.1% | 859.3 | 22.6% | 20.6% |
| 3 | 10 mm CMPCM-15 | 947.4 | −0.3% | 1110.2 | 0 | −0.2% |
| 4 | 20 mm CMPCM-15Gypsum | 938.7 | 0.6% | 1094.8 | 1.4% | 0.9% |
| 5 | All (10 mm CMPCM-15) | 945.4 | −0.1% | 1105.6 | 0.4% | 0.1% |
| 6 | All (20 mm CMPCM-15) | 934.7 | 1.0% | 1086.4 | 2.1% | 1.5% |
| 7 | Ex + All (20 mm CMPCM-15) | 829.6 | 12.1% | 871.6 | 21.5% | 16.2% |
| 8 | In + All (20 mm CMPCM-15) | 797.3 | 15.6% | 885.8 | 20.2% | 17.6% |
| 9 | Double-layer window | 936.9 | 0.8% | 1077.8 | 2.9% | 1.7% |
| 10 | Roof insulation | 906.5 | 4.0% | 1097.9 | 1.1% | 2.7% |
| 11 | (ACH = 1) + NV | 878.2 | 7.0% | 993.3 | 10.5% | 8.5% |
| 12 | Combined (Ex) | 658.0 | 30.3% | 666.2 | 40% | 34.5% |
| 13 | Combined (In) | 643.7 | 31.8% | 684.1 | 38.4% | 34.6% |
© 2019 by the authors. Licensee MDPI, Basel, Switzerland. This article is an open access article distributed under the terms and conditions of the Creative Commons Attribution (CC BY) license (http://creativecommons.org/licenses/by/4.0/).
Share and Cite
Rui, J.; Zhang, H.; Shi, C.; Pan, D.; Chen, Y.; Du, C. Survey on the Indoor Thermal Environment and Passive Design of Rural Residential Houses in the HSCW Zone of China. Sustainability 2019, 11, 6471. https://doi.org/10.3390/su11226471
Rui J, Zhang H, Shi C, Pan D, Chen Y, Du C. Survey on the Indoor Thermal Environment and Passive Design of Rural Residential Houses in the HSCW Zone of China. Sustainability. 2019; 11(22):6471. https://doi.org/10.3390/su11226471
Chicago/Turabian StyleRui, Jingwen, Huibo Zhang, Chengnan Shi, Deng Pan, Ya Chen, and Chunyu Du. 2019. "Survey on the Indoor Thermal Environment and Passive Design of Rural Residential Houses in the HSCW Zone of China" Sustainability 11, no. 22: 6471. https://doi.org/10.3390/su11226471
APA StyleRui, J., Zhang, H., Shi, C., Pan, D., Chen, Y., & Du, C. (2019). Survey on the Indoor Thermal Environment and Passive Design of Rural Residential Houses in the HSCW Zone of China. Sustainability, 11(22), 6471. https://doi.org/10.3390/su11226471

