Statistical Evaluation of Mechanical Properties of Slag Based Alkali-Activated Material
Abstract
1. Introduction
2. Materials and Methods
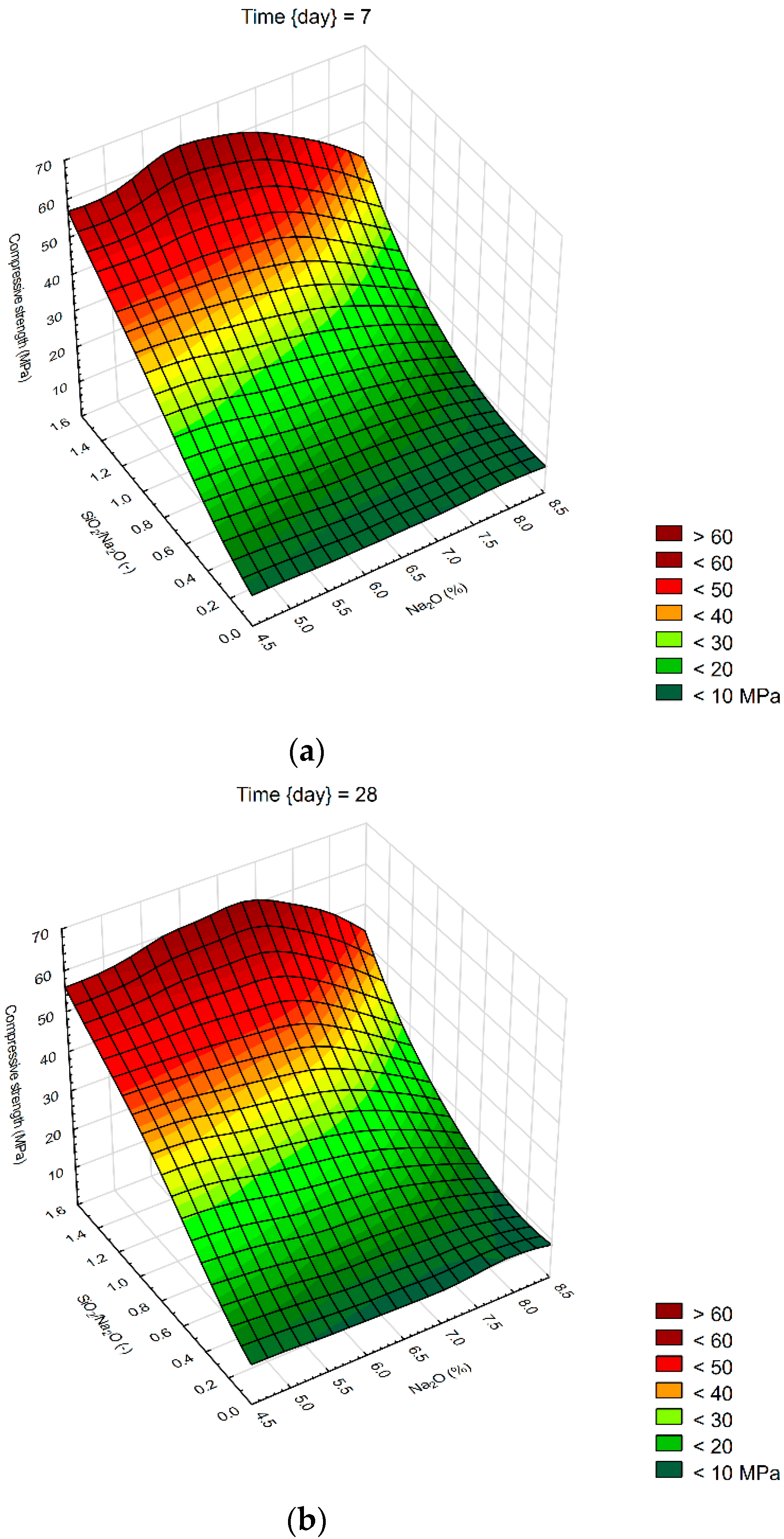
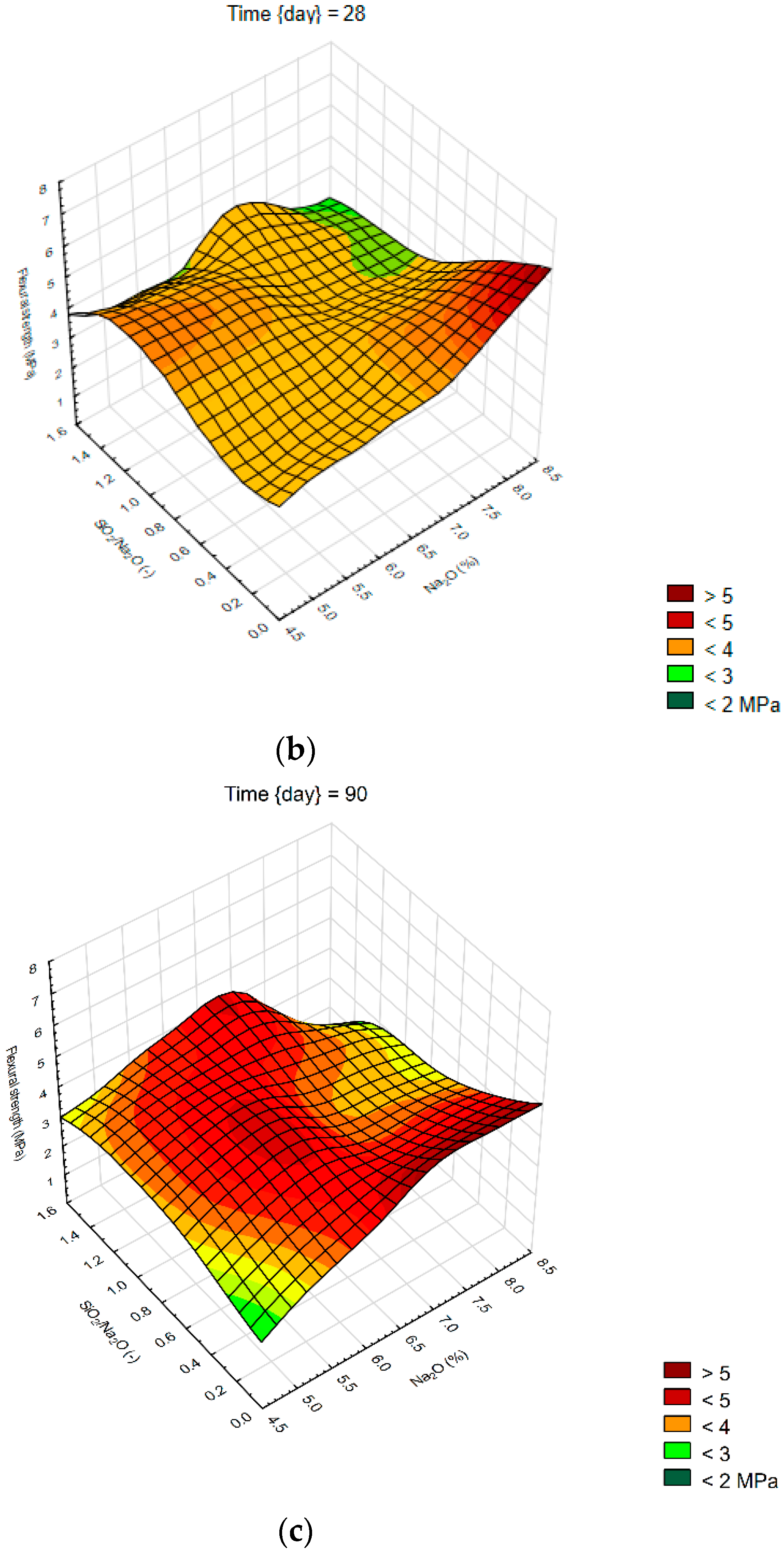
3. Results
4. Discussion
5. Conclusions
Author Contributions
Funding
Conflicts of Interest
References
- Albitar, M.; Ali, M.S.M.; Visintin, P. Experimental study on fly ash and lead smelter slag-based geopolymer concrete columns. Constr. Build. Mater. 2017, 141, 104–112. [Google Scholar] [CrossRef]
- Parrón-Rubio, M.E.; Pérez, F.; Gonzalez-Herrera, A.; Oliveira, M.; Dolores, R. Slag Substitution as a Cementing Material in Concrete: Mechanical, Physical and Environmental Properties. Materials 2019, 12, 2845. [Google Scholar] [CrossRef] [PubMed]
- Nath, S.K.; Kumar, S. Influence of iron making slags on strength and microstructure of fly ash geopolymer. Constr. Build. Mater. 2013, 38, 924–930. [Google Scholar] [CrossRef]
- Gunasekara, C.; Law, D.W.; Setunge, S.; Sanjayan, J.G. Zeta potential, gel formation and compressive strength of low calcium fly ash geopolymers. Constr. Build. Mater. 2015, 95, 592–599. [Google Scholar] [CrossRef]
- Nazari, A.; Sanjayan, J.G. Hybrid effects of alumina and silica nanoparticles on water absorption of geopolymers: Application of Taguchi approach. Measurement 2015, 60, 240–246. [Google Scholar] [CrossRef]
- Bergamonti, L.; Taurino, R.; Cattani, L.; Ferretti, D.; Bondioli, F. Lightweight hybrid organic-inorganic geopolymers obtained using polyurethane waste. Constr. Build. Mater. 2018, 185, 285–292. [Google Scholar] [CrossRef]
- Davidovits, J. Geopolymers: Inorganic Polymeric new materials. J. Therm. Anal. 1991, 37, 1633–1656. [Google Scholar] [CrossRef]
- Skvara, F. Alkali activated materials or geopolymers. Ceram. Silikáty 2007, 51, 173–177. [Google Scholar]
- Kumar, S.; Mucsi, G.; Kristály, F.; Pekker, P. Mechanical activation of fly ash and its influence on micro and nano-structural behaviour of resulting geopolymers. Adv. Powder Technol. 2017, 28, 805–813. [Google Scholar] [CrossRef]
- Mehta, A.; Siddique, R. An overview of geopolymers derived from industrial by-products. Constr. Build. Mater. 2016, 127, 183–198. [Google Scholar] [CrossRef]
- Provis, J.L.; Duxson, P.; Van Deventer, J.S.J. The role of particle technology in developing sustainable construction materials. Adv. Powder Technol. 2010, 21, 2–7. [Google Scholar] [CrossRef]
- Bakharev, T. Durability of geopolymer materials in sodium and magnesium sulfate solutions. Cem. Concr. Res. 2005, 35, 1233–1246. [Google Scholar] [CrossRef]
- Kong, D.L.Y.; Sanjayan, J.G. Damage behavior of geopolymer composites exposed to elevated temperatures. Cem. Concr. Compos. 2008, 30, 986–991. [Google Scholar] [CrossRef]
- Van Deventer, J.S.J.; Provis, J.L.; Duxson, P.; Lukey, G.C. Reaction mechanisms in the geopolymeric conversion of inorganic waste to useful products. J. Hazard. Mater. 2007, 139, 506–513. [Google Scholar] [CrossRef] [PubMed]
- Zhang, H.Y.; Kodur, V.; Qi, S.L.; Wu, B. Characterizing the bond strength of geopolymers at ambient and elevated temperatures. Cem. Concr. Compos. 2015, 58, 40–49. [Google Scholar] [CrossRef]
- He, J.; Jie, Y.; Zhang, J.; Yu, Y.; Zhang, G. Synthesis and characterization of red mud and rice husk ash-based geopolymer composites. Cem. Concr. Compos. 2013, 37, 108–118. [Google Scholar] [CrossRef]
- Zhang, J.; He, Y.; Wang, Y.; Mao, J.; Cui, X. Synthesis of a self-supporting faujasite zeolite membrane using geopolymer gel for separation of alcohol/water mixture. Mater. Lett. 2014, 116, 167–170. [Google Scholar] [CrossRef]
- Bernal, S.A.; Provis, J.L.; Rose, V.; de Gutierrez, R.M. Evolution of binder structure in sodium silicate-activated slag-metakaolin blends. Cem. Concr. Compos. 2011, 33, 46–54. [Google Scholar] [CrossRef]
- Van Jaarsveld, J.G.S.; Van Deventer, J.S.J. The effect of metal contaminants on the formation and properties of waste-based geopolymers. Cem. Concr. Res. 1999, 29, 1189–1200. [Google Scholar] [CrossRef]
- Xu, H.; Van Deventer, J.S.J. The geopolymerisation of alumino-silicate minerals. Int. J. Miner. Process. 2000, 59, 247–266. [Google Scholar] [CrossRef]
- Zhang, B.; MacKenzie, K.J.D.; Brown, I.W.M. Crystalline phase formation in metakaolinite geopolymers activated with NaOH and sodium silicate. J. Mater. Sci. 2009, 44, 4668–4676. [Google Scholar] [CrossRef]
- De Vargas, A.S.; DalMolin, D.C.C.; Vilela, A.C.V.; da Silva, F.J.; Pavão, B.; Veit, H. The effects of Na2O/SiO2 molar ratio, curing temperature and age on compressive strength, morphology and microstructure of alkali-activated fly ash-based geopolymers. Cem. Concr. Compos. 2011, 33, 653–660. [Google Scholar] [CrossRef]
- De Silva, P.; Sagoe-Crenstil, K.; Sirivivatnanon, V. Kinetics of geopolymerization: Role of Al2O3 and SiO2. Cem. Concr. Res. 2007, 37, 512–518. [Google Scholar] [CrossRef]
- Davidovits, J.; Buzzi, L.; Rocher, P.; Marini, D.G.C.; Tocco, S. Geopolymeric cement based on low cost geologic materials—geocistem. In Proceedings of the 2nd International Conference on Geopolymer, Saint-Quentin, France, 30 June–2 July 1999. [Google Scholar]
- Chindaprasirt, P.; Silva, P.D.; Crentsil, K.S.; Hanjitsuwan, S. Effect of SiO2 and Al2O3 on the setting and hardening of high calcium fly ash-based geopolymer systems. J. Mater. Sci. 2012, 47, 4876–4883. [Google Scholar] [CrossRef]
- Bernal, S.A.; Provis, J.L. Durability of alkali-activated materials: Progress and perspectives. J. Am. Ceram. Soc. 2014, 97, 997–1008. [Google Scholar] [CrossRef]
- Laskar, S.M.; Talukdar, S. Preparation and tests for workability, compressive and bond strength of ultra-fine slag based geopolymer as concrete repairing agent. Constr. Build. Mater. 2017, 154, 176–190. [Google Scholar] [CrossRef]
- Peyronnard, O.; Benzaazoua, M. Alternative by-product based binders for cemented mine backfill: Recipes optimisation using Taguchi method. Miner. Eng. 2012, 29, 28–38. [Google Scholar] [CrossRef]
- Ye, J.; Zhang, W.; Shi, D. Properties of an aged geopolymer synthesized from calcined ore-dressing tailing of bauxite and slag. Cem. Concr. Res. 2017, 100, 23–31. [Google Scholar] [CrossRef]







| Material | SiO2 | CaO | MgO | Al2O3 | Fe2O3 | Other |
|---|---|---|---|---|---|---|
| GGBFS (%) | 40.3 | 37.01 | 12.1 | 8.51 | 0.3 | 1.78 |
| Sample | Na2O | SiO2/Na2O | W | Flex. | Compress. | Flex. | Compress. | Flex. | Compress. |
|---|---|---|---|---|---|---|---|---|---|
| % | mol/mol | 7 days | 28 days | 90 days | |||||
| 1 | 5 | 0 | 0.25 | 3.3 | 9.4 | 4.6 | 11.4 | 3.3 | 16.6 |
| 2 | 6 | 0 | 0.25 | 4.7 | 9.2 | 4.6 | 10.9 | 4.1 | 16.2 |
| 3 | 7 | 0 | 0.25 | 5.2 | 8.5 | 4.6 | 10 | 5.3 | 15.3 |
| 4 | 8 | 0 | 0.25 | 4.5 | 8.4 | 5.9 | 11.1 | 5.2 | 17.9 |
| 5 | 5 | 0.25 | 0.25 | 2.8 | 11.8 | 3 | 13.3 | 2.5 | 22.9 |
| 6 | 6 | 0.25 | 0.25 | 2.7 | 7.6 | 3.4 | 9.3 | 3.4 | 16.7 |
| 7 | 7 | 0.25 | 0.25 | 2.8 | 6.6 | 4.2 | 6.7 | 4 | 12.7 |
| 8 | 8 | 0.25 | 0.25 | 4 | 7.7 | 4.9 | 7.9 | 3.8 | 12.7 |
| 9 | 5 | 0.5 | 0.25 | 3.3 | 18.5 | 3.3 | 22.1 | 4 | 29.8 |
| 10 | 6 | 0.5 | 0.25 | 3.5 | 17.3 | 4.1 | 19.5 | 4.6 | 28.1 |
| 11 | 7 | 0.5 | 0.25 | 5.5 | 20.8 | 6.3 | 24.4 | 3.6 | 30.9 |
| 12 | 8 | 0.5 | 0.25 | 4.7 | 15.7 | 6.6 | 15.8 | 4.9 | 24 |
| 13 | 5 | 0.75 | 0.25 | 4.9 | 32.6 | 5.3 | 38 | 4.5 | 33.3 |
| 14 | 6 | 0.75 | 0.25 | 4.8 | 25.7 | 4 | 32.9 | 4.9 | 32.9 |
| 15 | 7 | 0.75 | 0.25 | 3.3 | 14.9 | 3.4 | 21.5 | 3.5 | 18.4 |
| 16 | 8 | 0.75 | 0.25 | 2.3 | 9.7 | 2.2 | 15.1 | 1.9 | 15.3 |
| 17 | 5 | 1 | 0.25 | 4.2 | 37.6 | 4.3 | 40.2 | 2.5 | 34.3 |
| 18 | 6 | 1 | 0.25 | 3.3 | 32.9 | 5.6 | 36.6 | 4 | 37.8 |
| 19 | 7 | 1 | 0.25 | 3.5 | 31.6 | 2.1 | 37.2 | 2.8 | 34.9 |
| 20 | 8 | 1 | 0.25 | 4.6 | 28.6 | 2.6 | 33.2 | 3.2 | 31.4 |
| 21 | 5 | 1.2 | 0.25 | 5.2 | 44.2 | 6.2 | 44.7 | 5 | 45 |
| 22 | 6 | 1.2 | 0.25 | 5.4 | 42.7 | 5 | 44.6 | 3.9 | 44.2 |
| 23 | 7 | 1.2 | 0.25 | 4.3 | 39.3 | 5 | 41.6 | 5.2 | 39.7 |
| 24 | 8 | 1.2 | 0.25 | 5.7 | 21.5 | 5.4 | 23.5 | 5.7 | 23 |
| 25 | 5 | 1.4 | 0.25 | 4.1 | 49.4 | 3.6 | 51.2 | 3.2 | 48.7 |
| 26 | 6 | 1.4 | 0.25 | 4.5 | 52.5 | 3.5 | 52.7 | 4 | 52.2 |
| 27 | 7 | 1.4 | 0.25 | 3.9 | 47.5 | 4 | 51.9 | 3.9 | 50.5 |
| 28 | 8 | 1.4 | 0.25 | 2.2 | 39 | 2.7 | 43.3 | 1.5 | 40.1 |
| 7 Days | Valid N | Mean | Median | Min. | Max. | Variance | Std. Dev |
|---|---|---|---|---|---|---|---|
| Na2O (%) | 28.00 | 6.50 | 6.50 | 5.00 | 8.00 | 1.30 | 1.14 |
| SiO2/Na2O (-) | 28.00 | 0.73 | 0.75 | 0.00 | 1.40 | 0.23 | 0.48 |
| Flexural strength (MPa) | 28.00 | 4.04 | 4.15 | 2.20 | 5.70 | 0.98 | 0.99 |
| Compress. strength (MPa) | 28.00 | 24.69 | 21.15 | 6.60 | 52.50 | 221.60 | 14.89 |
| 28 Days | Valid N | Mean | Median | Min. | Max. | Variance | Std. Dev |
| Na2O (%) | 28.00 | 6.50 | 6.50 | 5.00 | 8.00 | 1.30 | 1.14 |
| SiO2/Na2O (-) | 28.00 | 0.73 | 0.75 | 0.00 | 1.40 | 0.23 | 0.48 |
| Flexural strength (MPa) | 28.00 | 4.30 | 4.25 | 2.10 | 6.60 | 1.53 | 1.24 |
| Compress. strength (MPa) | 28.00 | 27.52 | 23.95 | 6.70 | 52.70 | 231.26 | 15.21 |
| 90 Days | Valid N | Mean | Median | Min. | Max. | Variance | Std. Dev |
| Na2O (%) | 28.00 | 6.50 | 6.50 | 5.00 | 8.00 | 1.30 | 1.14 |
| SiO2/Na2O (-) | 28.00 | 0.73 | 0.75 | 0.00 | 1.40 | 0.23 | 0.48 |
| Flexural strength (MPa) | 28.00 | 3.87 | 3.95 | 1.50 | 5.70 | 1.09 | 1.04 |
| Compress. strength (MPa) | 28.00 | 29.48 | 30.35 | 12.70 | 52.70 | 148.19 | 12.17 |
| 7 Days | Flexural Strenght (MPa) | Compressive Strength (MPa) |
|---|---|---|
| Na2O (%) | 0.003282 | −0.259389 |
| SiO2/Na2O (-) | 0.114724 | 0.905184 |
| 28 Days | Flexural Strenght (MPa) | Compressive Strength (MPa) |
| Na2O (%) | −0.007887 | −0.241935 |
| SiO2/Na2O (-) | −0.166900 | 0.915196 |
| 90 Days | Flexural Strenght (MPa) | Compressive Strength (MPa) |
| Na2O (%) | 0.046731 | −0.299692 |
| SiO2/Na2O (-) | −0.147759 | 0.854066 |
| Effect | Sums of Square | df | Mean Squares | F | p-value |
|---|---|---|---|---|---|
| Regress. | 14259.00 | 3 | 4753.00 | 165.69737 | 0.0000000 |
| Residual | 2294.84 | 80 | 28.685 | ||
| Total | 16553.84 |
© 2019 by the authors. Licensee MDPI, Basel, Switzerland. This article is an open access article distributed under the terms and conditions of the Creative Commons Attribution (CC BY) license (http://creativecommons.org/licenses/by/4.0/).
Share and Cite
Sisol, M.; Kudelas, D.; Marcin, M.; Holub, T.; Varga, P. Statistical Evaluation of Mechanical Properties of Slag Based Alkali-Activated Material. Sustainability 2019, 11, 5935. https://doi.org/10.3390/su11215935
Sisol M, Kudelas D, Marcin M, Holub T, Varga P. Statistical Evaluation of Mechanical Properties of Slag Based Alkali-Activated Material. Sustainability. 2019; 11(21):5935. https://doi.org/10.3390/su11215935
Chicago/Turabian StyleSisol, Martin, Dušan Kudelas, Michal Marcin, Tomáš Holub, and Peter Varga. 2019. "Statistical Evaluation of Mechanical Properties of Slag Based Alkali-Activated Material" Sustainability 11, no. 21: 5935. https://doi.org/10.3390/su11215935
APA StyleSisol, M., Kudelas, D., Marcin, M., Holub, T., & Varga, P. (2019). Statistical Evaluation of Mechanical Properties of Slag Based Alkali-Activated Material. Sustainability, 11(21), 5935. https://doi.org/10.3390/su11215935

