Next Article in Journal
Willingness to Pay More to Stay at a Boutique Hotel with an Environmental Management System. A Preliminary Study in Spain
Next Article in Special Issue
Bi-Objective Optimization of Vessel Speed and Route for Sustainable Coastal Shipping under the Regulations of Emission Control Areas
Previous Article in Journal
FAO CROPWAT Model-Based Irrigation Requirements for Coconut to Improve Crop and Water Productivity in Kerala, India
Previous Article in Special Issue
Energy Efficiency in European Ports: State-Of-Practice and Insights on the Way Forward
 
 
Font Type:
Arial Georgia Verdana
Font Size:
Aa Aa Aa
Line Spacing:
Column Width:
Background:
Article

Monitoring the Carbon Footprint of Dry Bulk Shipping in the EU: An Early Assessment of the MRV Regulation

by
George Panagakos
1,*,
Thiago de Sousa Pessôa
1,
Nick Dessypris
2,
Michael Bruhn Barfod
1 and
Harilaos N. Psaraftis
1
1
Department of Technology, Management and Economy, Technical University of Denmark, 2800 Lyngby, Denmark
2
Department of Hygiene, Epidemiology and Medical Statistics Medical School, National and Kapodistrian University of Athens, 11527 Athens, Greece
*
Author to whom correspondence should be addressed.
Sustainability 2019, 11(18), 5133; https://doi.org/10.3390/su11185133
Submission received: 30 August 2019 / Revised: 14 September 2019 / Accepted: 16 September 2019 / Published: 19 September 2019
(This article belongs to the Special Issue Green Maritime Transport)

Abstract

Aiming at reducing CO2 emissions from shipping at the EU level, a system for monitoring, reporting, and verification (MRV) of CO2 emissions of ships was introduced in 2015 with the so-called ‘MRV Regulation’. Its stated objective was to produce accurate information on the CO2 emissions of large ships using EU ports and to incentivize energy efficiency improvements by making this information publicly available. On 1 July 2019, the European Commission published the relevant data for 10,880 ships that called at EU ports within 2018. This milestone marked the completion of the first annual cycle of the regulation’s implementation, enabling an early assessment of its effectiveness. To investigate the value of the published data, information was collected on all voyages performed within 2018 by a fleet of 1041 dry bulk carriers operated by a leading Danish shipping company. The MRV indicators were then recalculated on a global basis. The results indicate that the geographic coverage restrictions of the MRV Regulation introduce a significant bias, thus prohibiting their intended use. Nevertheless, the MRV Regulation has played a role in prompting the IMO to adopt its Data Collection System that monitors ship carbon emissions albeit on a global basis.

1. Introduction

The Third Greenhouse Gas (GHG) Study of the International Maritime Organization (IMO) estimated that GHG emissions from international shipping in 2012 accounted for some 2.2% of anthropogenic CO2 emissions and that such emissions could grow between 50% and 250% by 2050 [1]. Although shipping is still widely considered the most energy-efficient transport mode, such projections exert a lot of pressure on the industry to reduce its carbon emissions.
From the side of the IMO, the measures until 2015 on the climate change front included:
(i)
Progressively stricter energy efficiency standards for new ships, which stated that the so-called Energy Efficiency Design Index (EEDI) of all newly built vessels from 2013 onwards had to be lower than specific values depending on ship type, size, and year of built; and
(ii)
The requirement of all existing ships to adopt a Ship Energy Efficiency Management Plan (SEEMP) for monitoring performance improvements [2].
The so-called Energy Efficiency Operational Indicator (EEOI) was suggested as a tool for SEEMP implementation, but only on a voluntary basis and solely for monitoring the performance of individual ships. Earlier discussions on the possibility of adopting a market-based measure had been suspended in May 2013 following a highly political clash between developed and developing countries [3].
The slow pace of decision-making at IMO was not appreciated by the EU, which was determined to see the international maritime shipping contributing to the headline target of the Europe 2020 Strategy to reduce by 2020 GHG emissions by at least 20% compared to 1990 levels, or by 30% in the case of comparable commitments by other developed countries and according-to-capabilities contributions by the developing ones [4]. In relation to the transport sector, the 2011 White Paper set the target of at least 60% reduction of GHG by 2050 with respect to 1990 levels [5]. Meanwhile, in 2009, the Commission had agreed with the European Parliament and the Council that in the absence of an international agreement by the end of 2011, the Commission would propose the inclusion of international maritime emissions into the Community reduction commitment [6].
Given that the 2011 IMO initiatives of EEDI and SEEMP were considered inadequate (the former concerned only newly built ships, while the latter suggested EEOI only on a voluntary basis), in 2013, the Commission proposed a document which was adopted as the EU Monitoring, Reporting, and Verification (MRV) Regulation two years later [7]. It obliges companies to monitor, report, and verify the fuel consumption, CO2 emissions, and energy efficiency of their ships on voyages to, from, and within EU ports, and calculate annually indicators, including EEOI, which are then published by the Commission in an effort to incentivize emission reductions by providing energy efficiency information to the relevant markets.
In 2016, one year after the introduction of the EU MRV Regulation, the IMO adopted its own Data Collection System (DCS) [8] as the first step in a three-step approach that consists of data collection, data analysis, and decision-making on what further measures, if any, are required (68th Session of the Marine Environment Protection Committee (MEPC) in May 2015). It is worth noting that the decision to develop a data collection system for ships was principally agreed on in 2014 (MEPC 67), one year after the MRV proposal by the European Commission. The IMO scheme uses a different indicator for monitoring emissions and its values are not published. Table 1 shows the basic differences between the two schemes in terms of content, while the one-year time hysteresis between them is depicted graphically in Figure 1.
More recently (MEPC 72 in April 2018), the IMO adopted its Initial Strategy on Reduction of GHG Emissions from Ships [10], which proclaimed its vision (i.e., phase out GHG emissions from international shipping as soon as possible in this century) and stated three targets:
(i)
Strengthen the EEDI requirements for new vessels;
(ii)
Reduce CO2 emissions per transport work by at least 40% by 2030, pursuing efforts toward 70% by 2050, compared to 2008; and
(iii)
Reduce the total annual GHG emissions by at least 50% by 2050 compared to 2008.
Note that no indicator is stipulated in relation to the second target, as a number of proxies for ‘transport work’ are still being considered, a fact that enhances the timeliness of this paper.
The year 2018 was the first reporting period of the MRV Regulation, meaning that throughout the year, companies had to monitor CO2 emissions related to ship voyages involving at least one EU port and submit the corresponding annual Emission Report to the flag state and the European Commission (EC) by 30 April 2019. On 1 July 2019, EC made this information publicly available through the THETIS-MRV site of the European Maritime Safety Agency (EMSA) [11]. This allows an early assessment of the Regulation. More specifically, the paper intends to investigate the value of the published information for the market players and, through this, assess how effective the MRV Regulation has been in meeting its stated objectives. In order to detect what lies behind the annual figure provided by the EC, voyage-level information was collected for 1041 dry bulk carriers that performed at least one voyage during 2018 on behalf of a leading Danish ship owner/operator. After briefly discussing the variables that affect the indicator values, their robustness is checked through a case study of a single ship and the behavior of a family of sister ships. Furthermore, the indicator values for EU-related voyages are compared with the non-EU ones to investigate the effect of the geographical restrictions of the Regulation.
Although there are some references in the bibliography on indicators used for monitoring GHG emissions from ships, to the best of the authors’ knowledge, none are performed at voyage level. In this regard, the present work is the first of its kind and, thus, of particular scientific relevance. In a broader context, the discussion on the strengths and limitations of existing operational metrics contributes to the ongoing evidence-based policy dialogue on greening international shipping at both national and international levels and sets the ground for further research on the subject.
The paper is organized as follows. Section 2 presents the main indicators proposed for monitoring the GHG emissions of the shipping industry and summarizes the main findings of previous works on this subject. The objectives and basic provisions of the EU MRV Regulation are briefly presented in Section 3, while the following section is devoted to the analysis performed and the results achieved. Section 5 concludes our findings.

2. Monitoring of GHG Emissions from Ships

2.1. Main Indicators Proposed

A number of indicators have been proposed for monitoring shipping emissions, mainly in the framework of IMO’s work on the subject. The four most important indicators among them are defined below. EEOI, proposed by IMO in relation to SEEMP, is defined as the ratio of the mass of CO2 emitted per unit of transport work and, in its basic form, is calculated by:
EEOI = j F C j · C F j m c a r g o · D
where F C j is the mass of fuel type j consumed, C F j the factor used for converting the mass of fuel consumed to mass of CO2 emissions, m c a r g o the mass of cargo carried, and D the distance sailed. Note that default values for C F j are provided by the relevant IMO guidelines [12], while the transport work of the denominator can be expressed in other units such as number of passengers, TEUs, lane meters, etc. The average EEOI for a period or for a number of voyages is obtained by dividing the total mass of CO2 emissions generated by the total transport work produced. The EEOI is one of the mandatory indicators stipulated by the MRV Regulation.
The commercially sensitive nature of m c a r g o appearing in the EEOI definition generated strong opposition from the industry, creating the need for alternative formulas for ‘transport work’ [13]. The most prominent among them is the Annual Efficiency Ratio (AER), originally named ‘Annual EEOI’ [14], where the controversial m c a r g o is replaced by the deadweight (DWT) of the ship:
AER = j F C j · C F j DWT · D
Although AER is expressed in the same units as EEOI (g CO2/ton-mile), it greatly underestimates emissions per ton-mile as it ignores the capacity utilization of the vessel. Nevertheless, AER is the indicator prescribed by the DCS scheme of IMO.
The Individual Ship Performance Indicator (ISPI) is even simpler, using the distance travelled as a proxy for transport work:
ISPI = j F C j · C F j D
The ISPI was proposed by Germany and Japan as part of a ship-specific improvement scheme, where the percentagewise improvement target is determined by the type of the ship and adjusted with a view to reward existing ships that already deploy efficient designs [14]. ISPI is the second mandatory emission-related indicator stipulated by the MRV Regulation.
Along the same line of thinking, the Energy Efficiency per Service Hour (EESH) uses hours in service (SH) as a proxy for transport work. SH is defined as the hours the ship is underway, in cruise or maneuvering modes, whether it is carrying cargo or is in ballast [15]. Although the original indicator proposed by the United States features the fuel energy consumed (expressed in joules) in the nominator of the fraction, here it is replaced by the equivalent emissions produced for compatibility purposes. Note that in the relevant IMO discussions, the concepts of ‘energy efficiency’ and ‘CO2 intensity’ are silently interchangeable due to the use of default conversion factors, which becomes a problem only when non-fossil fuels are used. Thus, in the context of this paper, EESH is defined as:
EESH = j F C j · C F j SH
A number of voluntary schemes active in monitoring the energy efficiency of ships exist today. Examples include the Clean Cargo Working Group of the containership operators [16], the Clean Shipping Index of major cargo owners [17], the Environmental Ship Index of the International Association of Ports & Harbors [18], and the Existing Vessel Design Index of RightShip, an organization specializing in maritime risk management and environmental assessment [19]. Although each of these initiatives uses its own indicator, the analysis of this paper is restricted to the four presented above, as they are mandated by the compulsory schemes of the EU, the IMO, and the Maritime Safety Administration of the People’s Republic of China [20].

2.2. Literature Search

The literature on energy efficiency improvement measures in shipping is extensive. Refer to [21] for a recent review of around 150 studies on CO2 emissions reduction measures, while the complexity, fragmentation, and the political obstacles that hinder prospects for greener shipping are found in [22]. However, the bibliography on energy efficiency indicators is much thinner and is mostly concerned with the design-related EEDI. Among the recent EEDI literature, two documents are cited here for their connection to monitoring operational efficiency. In its side reference to operational metrics, [23] emphasizes the role of bad weather and ballast legs on EEOI and other indicators of this type, concluding that they are unreliable and unsuitable for benchmarking. Furthermore, the analysis of [24] on the implications of bad weather on ship design as a result of the existing EEDI approach is indicative of the importance that this factor might have on the more sensitive operational indicators.
Among the few studies that have focused on operational energy efficiency, [25] analyzed yearly data of 221 ships (652 observations in total) to investigate possible correlations among AER, ISPI, EESH, and FUEL (the annual fuel consumption in ton), and assessed the possibility of setting an operational efficiency standard through regression curves. The authors concluded that although the four indicators are related, these relations are not always statistically significant, with the result depending on the ship type. They also produced size-dependent regression curves and found that the variation of observations around the curve is smallest for AER, and largest for FUEL.
A more recent assessment is found in [26]. In searching for the most appropriate indicator for real-time monitoring of the energy efficiency of ships, this article assessed the four indicators of Section 2.1 plus FORS (Fuel Oil Reduction Strategy—a metric that compares the fuel consumption of a ship against set standards). The authors used a set of five criteria for their assessment: Ease of adoption; feasibility of real-time monitoring; sensitivity to factors not considered in the index formulation; comparability across different modes of transport; and completeness as energy efficiency indicator. They selected EEOI as the most appropriate indicator and proposed the so-called ‘Real-Time EEOI’ for the remote verification of fuel consumption and CO2 emissions, relying on the Automated Identification System (AIS) and a constructed vessel database. Another EEOI-related indicator is the Energy Efficiency of Operation (EEO) indicator proposed by [27] for voyage optimization purposes. EEO is defined as the ratio of main engine fuel consumption per unit of transport work, expressed as in the EEOI.
A different approach was followed by [28], which proposed the so-called Propulsion Diagnosis number (PDno) as a dimensionless performance indicator that compares the chemical energy of the consumed fuel with the produced propulsion effect. Based on basic navigational and propulsion parameters, however, PDno is more appropriate for a diagnosis of the operation of the main engine and the condition of the hull/propeller. On the contrary, [29] adopted a much wider perspective. The paper constructed an Index of Energy Efficiency and Environmental Eligibility (I4E) for addressing the limitations of EEDI in relation to integrated and/or hybrid power systems. I4E applies a Life Cycle approach and considers the composite environmental impact of a ship in terms of CO2, SOx, and NOx. Resembling the EEDI structure, the CO2-related index is defined as the CO2 emissions divided by the attainable speed and the capacity of the ship (expressed in gross tonnage) that suits better the Ro-Ro ships on which the method has been tested.
The references on the MRV Regulation are scarce. Commissioned by environmentalist interests in 2014, [30] examined the (then) proposed MRV Regulation and, among others, assessed the potential environmental benefit in terms of CO2 reduction. The authors found that “MRV is in itself unlikely to result in emission reductions or efficiency improvements … since it will neither reduce the split incentive between ship owners and charterers, nor provide ship owners with sufficient additional insight into their fuel consumption pattern to take any further action.”
Albeit following a different path, [31] reached the same conclusion. Based on 55 interviews with maritime professionals in Denmark, this paper identified four problem areas within energy consumption monitoring: Data collection challenges, incentives for data misreporting, data analysis problems, and feedback problems. It further found that the slow adoption of energy efficiency measures in the industry could be explained by common business practices such as short-term vessel charters and the involvement of many parties with sometimes counteracting incentives. The authors concluded that: “Unfortunately, in the EU MRV framework, choices of energy consumption monitoring practices are left for the industry to decide and the four major problem areas listed above are not taken into account. It is thus doubtful that the MRV will lead to greater transparency.”

3. The EU MRV Regulation

The immediate objective of the MRV Regulation is to produce accurate information on the CO2 emissions of large ships using EU ports and incentivize energy efficiency improvements by making this information publicly available. Table 2 provides a full account of its objectives as stated in the corresponding impact assessment document [32].
These are to be achieved through the following basic provisions. Subsequent to the preparation of an emission monitoring plan by the ship-owning company and its approval by an accredited verifier, information on fuel consumption, distance travelled, time-at-sea, and cargo carried is collected by the company for each ship and each voyage falling under the Regulation. Four options for the collection of fuel consumption data are provided: (a) Bunker Fuel Delivery Notes (BDNs) and periodic stocktakes of fuel tanks; (b) bunker fuel tank monitoring on board; (c) flow meters and applicable combustion processes; and (d)direct emissions measurements.
Based on these parameters, four energy efficiency/emissions indicators are calculated and reported on an annual basis:
(i)
Fuel consumption per distance (total annual fuel consumption/total distance travelled);
(ii)
Fuel consumption per transport work (total annual fuel consumption/total transport work);
(iii)
CO2 emissions per distance (total annual CO2 emissions/total distance travelled) [ISPI];
(iv)
CO2 emissions per transport work (total annual CO2 emissions/total transport work) [EEOI].
The annual reports are submitted to the Commission and the flag state after their approval by the verifiers, who issue conformity documents that need to be kept onboard the ships covered by the system. Conformity is to be checked by the flag state and through the port state control system. Sanctions are foreseen for the failure to comply, including in certain cases the expulsion of a ship, i.e., banning its entry to EU ports until the compliance problem has been resolved. The energy efficiency performance of the ships falling within the scope of the Regulation is made publicly available by the Commission every year.
Based on the results of the impact assessment, the Commission links the MRV Regulation to a possible GHG emission reduction of up to 2% compared to business-as-usual [32]. As is usually the case, the critique on the Regulation comes from both directions. The environmental groups consider it exceptionally mild, as: (a) It restricts itself to merely monitoring activities that do not require emission cuts; (b) it does not include other pollutants such as SOx and NOx; (c) two of the four monitoring options for fuel consumption (BDNs and tank soundings) are inaccurate and unreliable, thus, not fit for purpose; and (d) disclosure should include more disaggregated data (on a route basis) [33]. They further advocate the introduction of a ship labelling system according to environmental performance and speed limits depending on ships’ CO2 emissions [34].
On the other hand, the shipping industry raises serious concerns about the EU MRV Regulation on the grounds that: (a) IMO is the natural regulator of international shipping due to the global character of this industry; (b) operational efficiency indexing is significantly affected by external factors such as currents, ocean conditions, weather, and chartering arrangements; and (c) the usefulness of reporting information relating to ‘cargo carried’ and ‘transport work’ is questionable, notwithstanding that it may be commercially sensitive [35].
Following the adoption of the DCS by IMO, the Commission proposed an amendment in 2019 to the MRV Regulation as was originally foreseen. In order to reduce the administrative burden of two conflicting schemes, the proposal calls for alignment with the global IMO DCS in relation to definitions, monitoring parameters, monitoring plans, and templates [36]. This results in the obligation to report AER and ISPI, while EEOI becomes voluntary. Nevertheless, the provision on publication of individual ships’ data of CO2 emissions and energy efficiency is maintained ‘… to help remove market barriers hampering the uptake of more energy efficient technologies and behaviors in the sector’.

4. Analysis and Results

4.1. The Sample

The necessary data for the analysis was kindly provided by a leading Danish shipowner/operator that specializes in dry and liquid bulk cargoes, which, for confidentiality purposes, will be simply referred to as the ‘Company.’ The database consists of 3540 legs concluded in 2018 by dry bulk carriers on behalf of the Company. Note that the term ‘leg’ is used here to denote the period between the departure from a port and the departure from the subsequent port. Although this period is defined as ‘voyage’ in the context of the MRV Regulation, the term ‘voyage’ is used here to denote a set of ‘legs,’ usually contained in a single charter party. These 3540 legs correspond to 1675 voyages undertaken by 1041 dry bulk carriers either owned or operated by the Company. The composition of the sample fleet appears in Table 3. According to the latest UNCTAD data [37], the sample ships comprise around 8% of the world dry bulk fleet in terms of DWT.
It is worth noting that only about 2% of these ships are owned by the Company, with the remaining being chartered in. This is indicative of the extent of the limitations in energy efficiency improvements that the publicizing of the MRV indicators might have, since the owners are obliged to report metrics that reflect operating decisions taken by the charterers.
For each leg, the information obtained includes the ship identification (name, IMO number, size group, DWT, and ownership), ports of origin and destination, distance sailed, cargo carried, days at sea and in port, and the fuel consumption at sea and in port (separately for each fuel quality used).

4.2. Indicator Values by Ship Size

The annual values of the four indicators at ship level are plotted in Figure 2 against the DWT of the ship after excluding the few observations lying outside the ±2σ range of the original regressions. All indicators behave as expected. The decreasing function of EEOI and AER with respect to size is due to the economies of scale characterizing larger ships, which, when compared to smaller ones, exhibit an increase in fuel consumption that is lower than the corresponding increase in cargo carrying capacity. The increasing trend of EESH and ISPI is due to the higher fuel consumption of larger vessels when expressed on a per hour or mile basis respectively.
The AER values, expressed in the same units as the EEOI, are much lower than EEOI, as the actual transport work of the latter has been replaced by its upper bound. The omission of the ship’s capacity utilization produces a significantly underestimated figure of her energy efficiency, while strengthening the robustness of the indicator. Nevertheless, the variation of values remains high. For an 80,000 DWT-ton ship, the AER varies between 1.5 and 8.2 gCO2/tm against a range of 2.6 to 14.1 gCO2/tm for the EEOI. This fact, also captured by the generally low R2 values (as low as 0.1158 in the case of EESH), indicates the inappropriateness of these size-dependent regression curves for any kind of benchmarking or standard setting along the lines of EEDI.

4.3. Other Variables Affecting Indicator Values

The correlation between the indicators examined and a number of variables that often appear in the bibliography as affecting emissions appears in Table 4. The role of the DWT has already been explained in the preceding section. All indicators are negatively correlated with the distance sailed. This is not a surprise for the EEOI, AER, and ISPI that feature distance in their denominator. The behavior of EESH is similar because the time-at-sea of its denominator is proportional to the distance sailed. Due to this almost perfect correlation between time-at-sea and distance, all indicators exhibit a statistically significant negative correlation with time-at-sea as well.
The negative correlation between EEOI and cargo carried is reasonable and expected, as the latter appears in the denominator of the former. The negative sign is retained when it comes to AER through the positive correlation of cargo carried with the DWT of the ship. As expected, EESH and ISPI are positively correlated to cargo carried, which increases the emissions of the numerator in absolute terms.
All indicators are negatively related to transport work either directly (EEOI) or indirectly through DWT (AER), time-at-sea (EESH), or distance (ISPI). The situation is different, however, in relation to the load factor. The EEOI exhibits a negative correlation with the load factor, as the latter increases the cargo carried of the denominator. On the contrary, the AER is positively correlated to this variable, as the load factor increases the emission on the numerator through higher drafts but leaves the denominator unaltered. The same reasoning applies for EESH and ISPI, but the values here are not statistically significant.
Theoretically, all indicators should be positively correlated to speed. This is because the emissions of the numerator are proportional to fuel consumption, which for ships such as dry bulk carriers and tankers is a square or even higher function of speed [23,38]. The distance that appears in the denominator, either directly (EEOI, AER, ISPI) or indirectly through time-at-sea (EESH) increases only proportionally to the first power of speed, meaning that the indicators are expected to increase with speed. The correlation of the EEOI, AER, and EESH have the expected sign. The slightly negative coefficient of ISPI, however, while still significant at the 95% confidence interval, requires further investigation. A possible explanation relates to the emissions in port, to which ISPI is particularly sensitive.

4.4. The Case Study of a Single Ship

In order to see what hides behind the average indicator values discussed so far, this section presents the results of all voyages performed in 2018 by a single ship, hereby named ‘DryBulk_4’ on behalf of the Company. The ship examined is a Handysize bulker of around 36,800 DWT-tons. Table 5 presents these voyages in more details. The corresponding EEOI values per voyage are shown in Figure 3 plotted against speed and load factor, which, in this context, was calculated as the total transport work (ton-miles) produced during all legs of a voyage divided by the product of DWT with the total distance of the voyage. The annual EEOI value of the ship is also shown for comparison purposes.
Voyages 1 and 6 display a good utilization of the ship’s capacity and their EEOI values are the two lowest ones. Voyages 2, 3, and 4 have similar average speed, but the varying load factors lead to significant differences in the EEOI values. Voyage 5 has the highest EEOI value. There are two reasons for this. Firstly, the speed of this voyage is much higher than that of all others. Secondly, given that it is a short one-leg voyage, the emissions at berth become a significant share of the total emissions that enter the indicators.
The fact that the EEOI at voyage level ranges from 5.9 to 21.3 gCO2/tm raises concerns about the meaning of an average figure of 9.7 gCO2/tm in characterizing this specific ship. In order to put the numbers in context, they are plotted in Figure 4 against a set of EEOI-speed curves reflecting combinations of the ship’s loading condition, the sea state, and the wind direction. They are based on the consumption-speed curves of the main engine after correcting for the fuel consumption of the auxiliary engines and the average share of the time this particular ship spent in port during 2018. Other assumptions used in this calculation include:
It is worth noting that the EEOI values of ‘ballast’ and ‘light ballast’ curves of Figure 4 have been calculated as if the corresponding ballast water was cargo, so they correspond to partly loaded conditions. Under ballasted conditions, the EEOI cannot be defined (infinitive value) and the feasible EEOI set of Figure 4 is the entire space above the lowest curve (laden/calm seas/tailwind). In fact, feasibility extends beyond that shown in Figure 4, as speed can exceed the range of 6–16 knots, which is why Voyage 5 is not shown. Therefore, given that the average speed is not known, the only information that an average EEOI value can convey is that of the dotted line in Figure 4. Some questions then remain. Can this dotted line say anything about the energy efficiency of this ship, when the least information required is the entire laden/calm seas/tailwind curve? How good of an approximation of this curve is the dotted line? How rational is the decision of chartering a ship based on a dotted line a little lower than that of Figure 4? It appears that the information needed for benchmarking the energy efficiency of ships cannot be condensed in a single indicator, such as EEOI, no matter how good this indicator might be for measuring the performance of a particular ship.
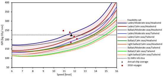
The same assumptions mentioned above were used to construct the feasible set of ISPI, which is the second indicator stipulated by the MRV Regulation. Theoretically, feasibility is now bound from above by the worst-case scenario (laden/moderate seas/headwind curve of Figure 5) and from below by the best-case scenario (light ballast/calm seas/tailwind). The fact that two voyage-level values lie outside this range in Figure 5 relates to the role that time at berth plays for this indicator. Since ISPI is defined as total emissions per nautical mile sailed, the time in port adds to the emissions without affecting the denominator of this fraction, leading to higher indicator values. In Figure 5, time in port is taken equal to the average share of the time this ship was berthed during 2018. Once again, the dotted ISPI line does not say much about the feasibility set, which, admittedly, is better defined here in comparison to the EEOI one.

4.5. Comparisons among Sister Ships

The argument remains that according to the law of large numbers, the average of the results obtained from a large number of voyages should be close to the expected value of the indicator. To test the validity of this argument, we examined the behavior of the family of sister ships that include the ship of the previous section. As shown in Table 6, there are four sister ships of about 36,800 DWT tons that executed at least one voyage on behalf of the Company during 2018. Table 6 also presents the mean value of all four indicators and the difference from the mean that each ship exhibits. The same differences are graphically depicted in Figure 6. The EEOI values within the same family range from−14% to 8%, which are nothing but negligible. The variation of the other indicators is of the same order of magnitude.
Neither the ship with the highest number of voyages (DryBulk_3) is in the case of EEOI the closest one to the mean. However, in the case of weighted average figures (using the number of voyages as weights), the DryBulk_3’s numbers are consistently closer to these averages than those of any other ship. Unfortunately, this observation is of limited practical value, as the MRV data cannot support such calculations.

4.6. The Geographical Coverage Effect

This section investigates the influence of the geographic coverage imposed by the MRV Regulation, which concerns only voyages to, within, and from EU ports. Thus, the analysis relates only to the EEOI and ISPI indicators stipulated by the MRV Regulation. Figure 7 and Figure 8 present, respectively, the annual EEOI and ISPI values at ship level for both non-EU (in red) and EU (in blue) coverages. The graph shows significant differences that raise concern about the accuracy of the reported MRV data. More specifically, the EEOI values at EU level are much lower than those estimated when all voyages performed within the year are considered irrespective of geographical coverage (regression curve in green).
To support further this finding, it was decided to approach it through a more rigorous statistical analysis. To account for the correlation between observations that come from the same ship, multivariate analysis was selected as method using a linear mixed effects model with a random intercept. The logarithm of the dependent variable (either EEOI or ISPI) was estimated by a number of independent variables. Age was added in the analysis as an independent variable, a fact that reduced the sample into 1000 ships due to missing data. In terms of size, the two Capesize ships of the sample were too few to be considered as a separate group in this analysis and were merged with the Panamax group. Furthermore, load factor was included as an independent variable only in the case of ISPI, as it conflicts with the EEOI definition. The results, presented in Table 7, are expressed as the percent difference in the indicators induced by a certain change in the independent variables.
All variables are statistically significant for the EEOI. Five more years of age increase the EEOI value by 11.7%, indicating the effect of EEDI among others. In terms of size, a Handymax ship exhibits a lower EEOI by 17.0% in comparison to its Handysize counterpart, while the difference increases to 31.9% when a Panamax/Capesize is concerned. An increase in speed by a standard deviation, which in this case is 2.0 knots, results in higher EEOI by 4.1%. The lower EEOI values of Figure 7 for the EU-related voyages are confirmed, as the switch from the EU to the non-EU region results in an increase of 15.7%. This difference becomes 12.9% for the ISPI values, which increase with the age and size as expected. The lower increase of the Panamax/Capesize group than the Handymax one in relation to Handysize (11.5% and 14.9%, respectively) is a surprise worth checking, as is the negative sign of the speed effect, also shown in Table 4. The load factor has a positive sign but remains insignificant.
In order to avoid the possibility that the geographical coverage effect is influenced by the composition of the fleets serving the two regions, the analysis was repeated for the 180 ships of the sample that were active in both regions (102 of the initial sample sailed during 2018 only in EU waters, while the remaining 718 ships did not call on behalf of the Company at an EU port during the year). It seems that the coverage effect on EEOI becomes more profound now (38.4% difference), while it remains at similar levels when the ISPI is concerned (12.4% difference).
The effect of the geographical restrictions of the MRV Regulation is thus confirmed. A possible explanation relates to a combination of draft and speed conditions for the respective voyages. As Europe is a major consumer of bulk commodities, the ships of this type tend to exhibit better capacity utilization around this part of the world. The average cargo carried in EU territory is significantly higher than the average figure outside the EU when considering only ships that serve both regions (42,746 vs. 23,822 tons), while the respective average speeds are 11.8 and 12.2 knots.

5. Conclusions

In the aftermath of the publication by the European Commission of the annual indicator values prescribed by the MRV Regulation for ships that called at EU ports during 2018, the paper analyzed lower level data to shed light into these numbers and assess the effectiveness of the Regulation in this respect. Among the three operational objectives of the MRV Regulation (refer to Table 2), the paper focused on the first, i.e., the monitoring, reporting, and verification of the CO2 emissions and their expected contribution to a ‘more informed decision making and climate consciousness by sector operators.’ The second objective on setting a carbon constraint on ships cannot be assessed presently as no such measure has been taken. As for the third objective concerning access to finance for deploying low carbon technologies, a lot of activity has been reported recently [39,40] but the contribution of the MRV Regulation is not clear.
The main conclusion of the analysis is that the published indicator values are not sufficient to address the knowledge gap on the energy efficiency of ships because:
  • The range of the annual values reported is too wide to convey any meaningful message regarding energy efficiency. The EEOI values of an 80,000 DWT-ton bulker in the sample vary between 2.6 and 14.1 gCO2/tm (=1:5.4). The variation of ISPI values is lower (=1:2.7), but still too high for benchmarking purposes.
  • The width of variation of the annual values of four sister Handymaxes amounts to 22.3% and 28.5% of the mean EEOI and ISPI values, respectively.
  • At voyage level, the range of fluctuation remains prohibitive. The EEOI values of a specific 36,800 DWT-ton ship vary between 5.9 and 21.3 gCO2/tm (=1:3.6) against an annual figure of 9.7 gCO2/tm.
  • A grid of fuel consumption-speed curves for various drafts, sea states, and wind force/directions are needed to describe the energy requirements of a ship. No single indicator value can substitute for this information.
  • The unavoidable (for jurisdictional reasons) geographical restrictions of the MRV Regulation introduces a significant bias that further reduces the practical value of the published metrics (the non-EU emissions of the same ships are estimated to be 38.4% higher than the EU equivalent when expressed per transport work).
Therefore, it can be concluded that the monitoring, reporting, and verification of CO2 emissions as prescribed by the MRV Regulation cannot contribute to better decision-making by the market actors. In this respect, the recent proposal of the Commission to align the MRV Regulation to the DCS monitoring parameters is headed in the right direction, although the insistence on transparency should be re-examined in view of the last bullet point mentioned above. It is certain, however, that the MRV Regulation has raised the climate consciousness of the sector and played a decisive role among others in the adoption of the global data collection system of the IMO, which happens to be one of the Regulation’s specific objectives.
Other than this, the paper finds that:
  • The AER stipulated by DCS is also inadequate for benchmarking purposes, as it is influenced by all the external variables that trouble EEOI with the exception of the load factor that is missing from its definition. Furthermore, the inclusion of DWT results in a significant underestimation of emissions when expressed on a per transport work basis. On the other hand, compared to MRV, the DCS scheme is advantageous due to its global coverage and its restraint from publishing numbers of disputed accuracy and questionable use.
  • Both MRV and DCS suffer from the fact that the owners are obliged to report (and presumably face the relevant consequences) on the performance of ships that are mostly operated by other parties. There is a need to modify the charter party documents to split benefits and responsibilities in a more rational manner.
  • Both EEOI and ISPI exhibit an upward sloping curve with the age of the vessels, indicating the positive effect of the EEDI among others.
The logical extension to the above findings would then be to consider questions such as: (i) Can the formulations of EEOI or ISPI be improved to serve better the MRV objectives? and (ii) how can the energy efficiency of ships be benchmarked after all?
A solid answer to these questions lies beyond the scope of this paper and needs to be addressed by further research. Some thoughts, however, can serve as the point of departure. It is certain that no single indicator can convey the information needed to assess the energy efficiency of a ship for chartering purposes. As a tool for monitoring the operational efficiency of individual ships, however, a normalized EEOI, free of the influences of speed, draft, and weather conditions appears advantageous and is worth investigating. At sectoral level, it should be remembered that the primary metric is the absolute quantity of CO2 emissions itself, as it addresses the ultimate cause of decarbonization. For macro-economic modeling purposes, the CO2 intensity of waterborne trade (in g CO2/ton-km) is needed although lower-level contemplations (e.g., by type of shipping or geographical area) should be treated with much care.
In relation to benchmarking, the complexity of the problem favors approaches that are more comprehensive. An example could be the establishment of standard CO2-test cycles per type of ship, and the assessment of a ship’s performance over such a cycle by combining the results of sea trials with hydrodynamic test results, detailed engine fuel flow maps, and a good deal of modeling similar to the VECTRO model that has being developed for the heavy-duty road vehicles [41]. The results would then be immune from the efficiency in asset utilization, which, albeit important in estimating emissions on a per ton-mile basis, is mostly irrelevant to the environmental performance of the ship per se.
Furthermore, the need to investigate the role of speed in the behavior of the indicators has been identified as a subject for further research, as well as the effect of the time that ships spend in port. The implications on other ship types need also to be researched, particularly the case of Ro-Ro ships, which pose additional challenges due to the emission allocation problem between passengers and cargo.

Author Contributions

Conceptualization, G.P. and M.B.B.; methodology, G.P. and N.D.; validation, M.B.B. and H.N.P.; formal analysis, T.d.S.P. and N.D.; investigation, G.P. and T.d.S.P.; data curation, T.d.S.P. and N.D.; writing—original draft preparation, G.P. and T.d.S.P.; writing—review and editing, G.P., T.d.S.P., N.D., M.B.B. and H.N.P.; visualization, T.d.S.P.; supervision, G.P. and M.B.B.; project administration, M.B.B.; funding acquisition, G.P. and M.B.B. The paper is founded on the M.Sc. thesis of T.d.S.P. [42].

Funding

This research was funded by Orients Fund in the framework of the MASSHIP project.

Acknowledgments

The authors express their gratitude to the Orients Fund for funding the MASSHIP project, to the Company for providing the valuable data, and the members of MASSHIP’s Advisory Board for their continuing support. They are also thankful to the two Sustainability reviewers, who provided constructive comments on an earlier version of this manuscript.

Conflicts of Interest

The authors declare no conflict of interest. The funders had no role in the design of the study; in the collection, analyses, or interpretation of data; in the writing of the manuscript, or in the decision to publish the results.

Abbreviations

AERAnnual Efficiency Ratio
AISAutomated Identification System
BDNBunker fuel Delivery Note
CO2carbon dioxide
DCSData Collection System
DWTdeadweight (of a ship)
ECEuropean Commission
EEDIEnergy Efficiency Design Index
EEOEnergy Efficiency of Operation
EEOIEnergy Efficiency Operational Indicator
EESHEnergy Efficiency per Service Hour
EMSAEuropean Maritime Safety Agency
EUEuropean Union
FORSFuel Oil Reduction Strategy
FUELthe annual fuel consumption of a ship (as an indicator)
GHGgreenhouse gas
I4EIndex of Energy Efficiency and Environmental Eligibility
IMOInternational Maritime Organization
ISPIIndividual Ship Performance Indicator
MEPCMarine Environment Protection Committee (of the IMO)
MRVMonitoring, Reporting and Verification (of CO2 emissions)
NOxnitrogen oxides
PDnoPropulsion Diagnosis number
SEEMPShip Energy Efficiency Management Plan
SOxsulfur oxides
UNCTADUnited Nations Conference on Trade and Development

References

  1. IMO. Third IMO Greenhouse Gas Study 2014; International Maritime Organization: London, UK, 2015.
  2. IMO. Inclusion of Regulations on Energy Efficiency for Ships in Marpol Annex VI; Resolution MEPC.203(62); International Maritime Organization: London, UK, 2011.
  3. Psaraftis, H.N. Green Maritime Transportation: Market Based Measures. In Green Transportation Logistics: The Quest for Win-Win Solutions; Psaraftis, H.N., Ed.; Springer: Cham, Switzerland, 2016; Volume 226, pp. 293–294. [Google Scholar]
  4. European Commission. Europe 2020: A Strategy for Smart, Sustainable and Inclusive Growth; Communication from the Commission, COM (2010) 2020 Final; European Commission: Brussels, Belgium, 2010. [Google Scholar]
  5. European Commission. White Paper. Roadmap to a Single European Transport Area—Towards a Competitive and Resource Efficient Transport System; Communication from the Commission, COM (2011) 144 Final; European Commission: Brussels, Belgium, 2011. [Google Scholar]
  6. European Parliament and the Council. Directive 2009/29/EC of 23 April 2009 Amending Directive 2003/87/EC So as to Improve and Extend the Greenhouse Gas Emission Allowance Trading Scheme of the Community; European Parliament and the Council: Strasbourg, France, 2009. [Google Scholar]
  7. European Parliament and the Council. Regulation (EU) 2015/757 Of 29 April 2015 On the Monitoring, Reporting and Verification of Carbon Dioxide Emissions from Maritime Transport, and Amending Directive 2009/16/EC; European Parliament and the Council: Strasbourg, France, 2015. [Google Scholar]
  8. IMO. Data Collection System for Fuel Oil Consumption of Ships; Resolution MEPC.278(70); International Maritime Organization: London, UK, 2016.
  9. Verifavia Shipping. The IMO Data Collection System (DCS). Available online: https://www.verifavia-shipping.com/shipping-carbon-emissions-verification/shipping-mrv-regulation-the-imo-data-collection-system-dcs-106.php (accessed on 13 September 2019).
  10. IMO. Initial IMO Strategy on Reduction of GHG Emission from Ships; Resolution MEPC.304(72); International Maritime Organization: London, UK, 2018.
  11. EMSA\THETIS-MRV. Available online: https://mrv.emsa.europa.eu/#public/emission-report (accessed on 1 July 2019).
  12. IMO. Guidelines for Voluntary Use of the Ship Energy Efficiency Operational Indicator (EEOI); MEPC.1/Circ.684; International Maritime Organization: London, UK, 2009.
  13. Transport & Environment. Energy Efficiency of Ships: What Are We Talking about? 2012. Available online: https://www.transportenvironment.org/sites/te/files/publications/2012_12_Ship_efficiency_briefing.pdf (accessed on 14 August 2019).
  14. IMO. Air Pollution and Energy Efficiency—Further Technical and Operational Measures for Enhancing Energy Efficiency of International Shipping (Submitted by Germany and Japan). MEPC 66/4/6. 2013. Available online: https://www.transportstyrelsen.se/contentassets/98b9af326ccd441292fe7af9433f6a90/66-4-6.pdf (accessed on 2 July 2019).
  15. IMO. Air Pollution and Energy Efficiency—Proposal of the United States to Enhance Energy Efficiency in International Shipping (Submitted by USA). MEPC 65/4/19. 2013. Available online: https://www.transportstyrelsen.se/contentassets/5173f23809a149a78678b1850f876738/65-4-19.pdf (accessed on 2 July 2019).
  16. BSR. Clean Cargo Working Group Carbon Emissions Accounting Methodology. 2015. Available online: https://static1.squarespace.com/static/5b3f37f489c17230345b5f15/t/5b466d888a922d7fcfb5b89e/1531342218580/BSR_CCWG_Carbon_Emissions_Methodology_2015.pdf (accessed on 2 July 2019).
  17. Clean Shipping Index. Available online: https://www.cleanshippingindex.com/methodology/ (accessed on 2 July 2019).
  18. World Ports Sustainability Program. Environmental Ship Index ESI. Available online: http://www.environmentalshipindex.org/Public/Home/AboutESI (accessed on 2 July 2019).
  19. RightShip. GHG Rating Methodology. Available online: https://www.rightship.com/wp-content/uploads/2018/05/GHG-Rating-Methodology_Vessel-Verification.pdf (accessed on 2 July 2019).
  20. E-PORTS. Regulation on Data Collection for Energy Consumption of Ships; Maritime Safety Administration of PRC: Beijing, China, 2019. Available online: https://www.e-ports.com/regulations/5c356c004c027b090084e776 (accessed on 2 July 2019).
  21. Bouman, E.A.; Lindstad, E.; Rialland, A.I.; Strømman, A.H. State-of-the-art technologies, measures, and potential for reducing GHG emissions from shipping—A review. Transp. Res. Part D Transp. Environ. 2017, 52, 408–421. [Google Scholar] [CrossRef]
  22. Psaraftis, H.N. Decarbonization of maritime transport: To be or not to be? Marit. Econ. Logist. 2019, 21, 353–371. [Google Scholar] [CrossRef]
  23. Polakis, M.; Zachariadis, P.; de Kat, J.O. The Energy Efficiency Design Index (EEDI). In Sustainable Shipping; Psaraftis, H.N., Ed.; Springer: Cham, Switzerland, 2019; pp. 93–135. [Google Scholar]
  24. Lindstad, E.; Borgen, H.; Eskeland, G.S.; Paalson, C.; Psaraftis, H.; Turan, O. The need to amend IMO’s EEDI to include a threshold for performance in waves (realistic sea conditions) to achieve the desired GHG reductions. Sustainability 2019, 11, 3668. [Google Scholar] [CrossRef]
  25. Faber, J.; Hoen, M.; Nelissen, D. Empirical Comparative Analysis of Energy Efficiency Indicators for Ships; CE Delft: Delft, The Netherlands, 2015. [Google Scholar]
  26. Chi, H.; Pedrielli, G.; Ng, S.H.; Kister, T.; Bressan, S. A framework for real-time monitoring of energy efficiency of marine vessels. Energy 2018, 145, 246–260. [Google Scholar] [CrossRef]
  27. Lu, R.; Turan, O.; Boulougouris, E.; Banks, C.; Incecik, A. A semi-empirical ship operational performance prediction model for voyage optimization towards energy efficient shipping. Ocean Eng. 2015, 110, 18–28. [Google Scholar] [CrossRef]
  28. Deligiannis, P. Ship performance indicator. Mar. Policy 2017, 75, 204–209. [Google Scholar] [CrossRef]
  29. Ančić, I.; Vladimir, N.; Cho, D.S. Determining environmental pollution from ships using Index of Energy Efficiency and Environmental Eligibility (I4E). Mar. Policy 2018, 95, 1–7. [Google Scholar] [CrossRef]
  30. Nelissen, D.; Faber, J. Economic Impacts of MRV of Fuel and Emissions in Maritime Transport; CE Delft: Delft, The Netherlands, 2014. [Google Scholar]
  31. Poulsen, R.T.; Johnson, H. The logic of business vs. the logic of energy management practice: Understanding the choices and effects of energy consumption monitoring systems in shipping companies. J. Clean. Prod. 2016, 112, 3785–3797. [Google Scholar] [CrossRef]
  32. European Commission. Impact Assessment—Part 1. Accompanying the Document ‘Proposal for a Regulation of the European Parliament and of the Council on the Monitoring, Reporting and Verification of Carbon Dioxide Emissions from Maritime Transport and Amending Regulation (EU) N° 525/2013’; Commission Staff Working Document SWD (2013) 237 Final/2; European Commission: Brussels, Belgium, 2013. [Google Scholar]
  33. Transport & Environment. GHG Emissions from Ships: The MRV Proposal. Available online: https://www.transportenvironment.org/sites/te/files/publications/TE%20MRV%20Briefing_0.pdf (accessed on 24 August 2019).
  34. Danish Ecological Council. Cleaner Shipping: Focus on Air Pollution, Technical Solutions and Regulation, 2nd ed.; Danish Ecological Council: Copenhagen, Denmark, 2018. [Google Scholar]
  35. International Chamber of Shipping. Reducing CO2 Emissions to Zero: The ‘Paris Agreement for Shipping’; International Chamber of Shipping: London, UK, 2018. [Google Scholar]
  36. European Commission. Proposal for a Regulation of the European Parliament and of the Council Amending Regulation (EU) 2015/757 in Order to Take Appropriate Account of the Global Data Collection System for Ship Fuel Oil Consumption Data; COM (2019) 38 Final; European Commission: Brussels, Belgium, 2019. [Google Scholar]
  37. UNCTAD. Review of Maritime Transport 2018, United Nations; United Nations Conference on Trade and Development: Geneva, Switzerland, 2018. [Google Scholar]
  38. Psaraftis, H.N.; Kontovas, C.A. Ship speed optimization: Concepts, models and combined speed-routing scenarios. Transp. Res. Part C Emerg. Technol. 2014, 44, 52–69. [Google Scholar] [CrossRef]
  39. Reed Smith. The Financing of Green Shipping. Available online: https://www.assetfinanceinbrief.com/2018/10/financing-green-shipping/ (accessed on 25 August 2019).
  40. The Wall Street Journal. Major Banks to Weigh Environmental Impact in New Shipping Loans. Available online: https://www.wsj.com/articles/major-banks-to-weigh-environmental-impact-in-new-shipping-loans-11560808861 (accessed on 25 August 2019).
  41. Fontaras, G.; Rexeis, M.; Hausberger, S.; Kies, A.; Hammer, J.; Schulte, L.; Anagnostopoulos, K.; Manfredi, U.; Carriero, M.; Dilara, P. Development of a CO2 Certification and Monitoring Methodology for Heavy Duty Vehicles—Proof of Concept Report; Joint Research Centre Report 87799; European Commission Joint Research Centre: Ispra, Italy, 2014. [Google Scholar]
  42. Pessôa, T.S. Monitoring, Reporting, and Verification of CO2 Emissions in Shipping: Identification and Comparison of Available Methods. Master’s Thesis, Technical University of Denmark, Kongens Lyngby, Denmark, 8 August 2019. [Google Scholar]
Figure 1. Differences in timeline between EU MRV and IMO DCS [9].
Figure 1. Differences in timeline between EU MRV and IMO DCS [9].
Sustainability 11 05133 g001
Figure 2. The annual values of the Energy Efficiency Operational Indicator (EEOI), Annual Efficiency Ratio (AER), Energy Efficiency per Service Hour (EESH), and Individual Ship Performance Indicator (ISPI) indicators by size (2018).
Figure 2. The annual values of the Energy Efficiency Operational Indicator (EEOI), Annual Efficiency Ratio (AER), Energy Efficiency per Service Hour (EESH), and Individual Ship Performance Indicator (ISPI) indicators by size (2018).
Sustainability 11 05133 g002
Figure 3. EEOI values of the 2018 voyages of DryBulk_4 by speed and load factor.
Figure 3. EEOI values of the 2018 voyages of DryBulk_4 by speed and load factor.
Sustainability 11 05133 g003
Figure 4. The effect of draft and weather conditions on the EEOI of DryBulk_4.
Figure 4. The effect of draft and weather conditions on the EEOI of DryBulk_4.
Sustainability 11 05133 g004
Figure 5. The effect of draft and weather conditions on the ISPI of DryBulk_4.
Figure 5. The effect of draft and weather conditions on the ISPI of DryBulk_4.
Sustainability 11 05133 g005
Figure 6. Highest differences from the mean/weighted average of indicator values for sister ships.
Figure 6. Highest differences from the mean/weighted average of indicator values for sister ships.
Sustainability 11 05133 g006
Figure 7. The geographical coverage effect on the EEOI of the sample fleet (2018).
Figure 7. The geographical coverage effect on the EEOI of the sample fleet (2018).
Sustainability 11 05133 g007
Figure 8. The geographical coverage effect on the ISPI of the sample fleet (2018).
Figure 8. The geographical coverage effect on the ISPI of the sample fleet (2018).
Sustainability 11 05133 g008
Table 1. Main differences between the EU Monitoring, Reporting, and Verification (MRV) and International Maritime Organization (IMO) Data Collection System (DCS).
Table 1. Main differences between the EU Monitoring, Reporting, and Verification (MRV) and International Maritime Organization (IMO) Data Collection System (DCS).
EU MRV RegulationIMO DCS
Entry into force1 July 20151 March 2018
ScopeShips above 5000 GTShips above 5000 GT
Voyages to/from EEA ports of callInternational voyages
First monitoring period20182019
ProceduresMonitoring Plan (37 sections)Data Collection Plan (SEEMP Part II) (9 sections)
Compliance (procedures)Assessment Report (no need to be on-board)Confirmation of Compliance (must be on-board)
ReportingFuel consumption (port/sea)Total fuel consumption
Carbon emissionsDistance travelled
Transport work (actual cargo carried)Hours underway
Distance sailedDesign deadweight used as proxy
Time at sea excluding anchorage
VerificationIndependent accredited verifiersFlag administrations or Authorized Organizations
Compliance (reporting)Document of Compliance (June 2019)Statement of Compliance (May 2020)
PublicationDistinctive public databaseAnonymous public database
Source: VERIFAVIA Shipping [9].
Table 2. Stated objectives of the MRV Regulation.
Table 2. Stated objectives of the MRV Regulation.
LevelObjectives
General
  • Take action on international maritime emissions, as part of the ultimate goal of limiting global average temperature increase to less than 2 degrees Celsius above pre-industrial levels
  • Contribute to the EU objective of reducing GHG emissions by 80–95% by 2050 compared to 1990
Specific
  • Reduce impact of EU shipping emissions on the climate by achieving reduction in CO2 emissions from maritime transport by 40% (if feasible 50%) by 2050 compared to 2005 levels
  • Promote technological improvement of ships, with respect of the flag neutrality principle, and improve the competitiveness of maritime supply chains of the EU, by supporting continued innovation of the European shipbuilders, equipment manufacturers, and service providers of the shipping sector
  • Stimulate actions by others, including by States in the IMO
Operational
  • Monitor, report, and verify CO2 emissions of the maritime sector related to the EU, thereby contributing to more informed decision-making and climate consciousness by sector operators
  • Set a carbon constraint on ships for their CO2 emissions to achieve emission reductions from maritime transport of 40% (if feasible, 50%) by 2050 compared to 2005 levels
  • Ensure adequate access to finance for the implementation of low carbon technologies
Source: Impact Assessment of the MRV proposal [32].
Table 3. Composition of the sample fleet in terms of size.
Table 3. Composition of the sample fleet in terms of size.
Size GroupDWT RangeNo of ShipsDeadweight (DWT)
Min.Max.MeanStd. Dev.
Handysize10,000 ≤ DWT < 40,00019818,92039,88035,353254
Handymax40,000 ≤ DWT < 65,00047643,17664,94258,418179
Panamax65,000 ≤ DWT < 100,00036566,61395,73780,311232
CapesizeDWT ≥ 100,0002110,925110,944110,93510
Sample 104118,920110,94461,80716,720
Table 4. Correlation among variables affecting indicator values.
Table 4. Correlation among variables affecting indicator values.
DWT Distance Sailed Time at Sea Cargo Carried Transport Work Load Factor Speed
DWT1.000
Distance sailed0.113***1.000
Time at sea0.123***0.996***1.000
Cargo carried0.490***0.056*0.065**1.000
Transport work0.256***0.940***0.941***0.278***1.000
Load factor−0.321***−0.035 −0.034 0.639***0.074**1.000
Speed−0.187***−0.032 −0.072**−0.020 −0.048 0.149***1.000
EEOI−0.429***−0.209***−0.213***−0.710***−0.373***−0.349***0.207***
AER−0.754***−0.280***−0.284***−0.305***−0.355***0.351***0.134***
EESH0.300***−0.298***−0.309***0.270***−0.199***0.015 0.163***
ISPI0.325***−0.291***−0.282***0.309***−0.187***0.035 −0.066**
* 0.1 > p-value > 0.05; ** 0.05 > p-value > 0.01; *** p-value < 0.01.
Table 5. Voyages performed in 2018 by the ship DryBulk_4.
Table 5. Voyages performed in 2018 by the ship DryBulk_4.
Leg LevelVoyage Level
Voyage NºLeg NºFrom PortTo PortDistance SailedLoad FactorSpeedDistance SailedLoad FactorSpeed
Voyage 1Leg 1Port au PrinceRocky Point303-13.245590.8711.5
Leg 2Rocky PointDunkirk42560.9411.4
Voyage 2Leg 1DunkirkHeroya591-6.467080.6110.9
Leg 2HeroyaSluiskil5560.2911.0
Leg 3SluiskilMaceio42930.7611.4
Leg 4MaceioAratu2920.6313.0
Leg 5AratuVitoria4970.5112.8
Leg 6VitoriaSantos4790.4213.8
Voyage 3Leg 1SantosBahia Blanca1306-12.837500.4711.9
Leg 2Bahia BlancaSuape24440.7111.5
Voyage 4Leg 1SuapeSantos1240-11.565730.3312.2
Leg 2SantosNew Orleans53330.4112.4
Voyage 5Leg 1New OrleansPuerto Progreso5580.8217.55580.8217.5
Voyage 6Leg 1Puerto ProgresoHouston615-14.672170.8611.6
Leg 2HoustonLake Charles1710.6725.2
Leg 3Lake CharlesThessaloniki64310.9511.3
Table 6. Variation of indicator values among sister vessels.
Table 6. Variation of indicator values among sister vessels.
EEOIAEREESHISPI
ShipNº of VoyagesValueDiff. from MDiff. from WAValueDiff. from MDiff. from WAValueDiff. from MDiff. from WAValueDiff. from MDiff. from WA
DryBulk_117.66−14.0%−17.6%5.69−11.3%−12.5%2.790.0%1.0%208.08−11.6%−12.8%
DryBulk_248.87−0.5%−4.6%7.4816.5%15.1%3.007.5%8.5%275.1616.8%15.3%
DryBulk_379.476.2%1.9%6.37−0.8%−2.0%2.74−1.8%−0.9%233.07−1.0%−2.3%
DryBulk_469.658.3%3.8%6.14−4.4%−5.6%2.63−5.6%−4.7%225.67−4.2%−5.4%
Mean (M) 8.91 6.42 2.79 235.49
Weighted average (WA)9.29 6.50 2.76 238.57
Table 7. Results of the multivariate analysis.
Table 7. Results of the multivariate analysis.
Entire Sample (N = 1000)Ships Active in Both Regions (N = 180)
Independent VariableChange of Independent VariableIndicator Change (%)95% Conf. Interval Indicator Change (%)95% Conf. Interval
LowHighp-ValueLowHighp-Value
EEOI
AgeAdd 5 years11.78.614.8<0.000118.38.528.90.0002
SizeHandymax vs. Handysize−17.0−21.9−11.9<0.0001−5.1−17.59.10.4598
Pan/Cape vs. Handysize−31.9−36.2−27.2<0.0001−26.3−37.3−13.50.0003
SpeedIncrease by 1 std. dev.4.11.56.80.0027.90.715.60.0316
Geo. Cov.Non-EU vs. EU15.79.921.9<0.000138.423.355.4<0.0001
ISPI
AgeAdd 5 years7.25.19.4<0.000111.45.717.3<0.0001
SizeHandymax vs. Handysize14.99.820.3<0.000116.87.027.60.0006
Pan/Cape vs. Handysize11.56.017.2<0.000114.33.626.20.0082
SpeedIncrease by 1 std. dev.−3.3−5.0−1.70.0001−3.4−6.70.10.0534
Load FactorAdd 20%2.9−3.29.30.353.8−3.111.10.2813
Geo. Cov.Non-EU vs. EU12.93.323.40.0112.41.524.30.0257

Share and Cite

MDPI and ACS Style

Panagakos, G.; Pessôa, T.d.S.; Dessypris, N.; Barfod, M.B.; Psaraftis, H.N. Monitoring the Carbon Footprint of Dry Bulk Shipping in the EU: An Early Assessment of the MRV Regulation. Sustainability 2019, 11, 5133. https://doi.org/10.3390/su11185133

AMA Style

Panagakos G, Pessôa TdS, Dessypris N, Barfod MB, Psaraftis HN. Monitoring the Carbon Footprint of Dry Bulk Shipping in the EU: An Early Assessment of the MRV Regulation. Sustainability. 2019; 11(18):5133. https://doi.org/10.3390/su11185133

Chicago/Turabian Style

Panagakos, George, Thiago de Sousa Pessôa, Nick Dessypris, Michael Bruhn Barfod, and Harilaos N. Psaraftis. 2019. "Monitoring the Carbon Footprint of Dry Bulk Shipping in the EU: An Early Assessment of the MRV Regulation" Sustainability 11, no. 18: 5133. https://doi.org/10.3390/su11185133

APA Style

Panagakos, G., Pessôa, T. d. S., Dessypris, N., Barfod, M. B., & Psaraftis, H. N. (2019). Monitoring the Carbon Footprint of Dry Bulk Shipping in the EU: An Early Assessment of the MRV Regulation. Sustainability, 11(18), 5133. https://doi.org/10.3390/su11185133

Note that from the first issue of 2016, this journal uses article numbers instead of page numbers. See further details here.

Article Metrics

Back to TopTop