Motivation, Anxiety, and Emotional Intelligence Are Associated with the Practice of Contact and Non-Contact Sports: An Explanatory Model
Abstract
1. Introduction
2. Materials and Methods
2.1. Subjects and Design
2.2. Measures
2.3. Procedure
2.4. Statistical Analysis
3. Results
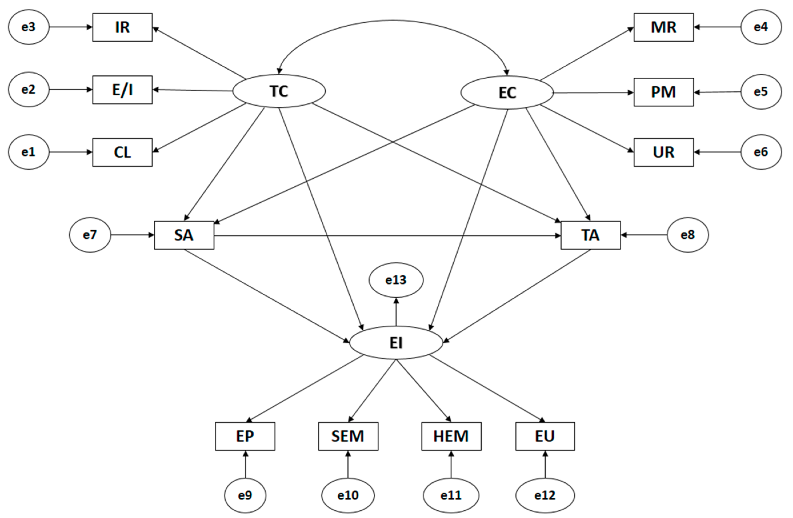
3.1. Measurement Model
3.2. Global Structural Model
3.3. Multigroup Analysis: Relationships between Variables for Contact Sports
3.4. Multigroup Analysis: Relationships between Variables for Non-Contact Sports
4. Discussion
5. Conclusions
- Hypothesis 1 (H1) was supported, as the relationship between a task-oriented climate and anxiety was both negative and more pronounced amongst contact sport participants. In addition, an ego-oriented climate was positively associated with state anxiety, and this relationship was more pronounced in non-contact sport participants.
- Hypothesis 2 (H2) was partially supported. Emotional intelligence was negatively associated with both state and trait anxiety, and this relationship was more pronounced in contact sport participants. The relationship between emotional intelligence and an ego-oriented climate was positive for both contact and non-contact sport participants.
Author Contributions
Funding
Conflicts of Interest
References
- Hanton, S.; Mellalieu, S.; Williams, J. Undestanding and Managing Stress in Sport; McGraw-Hill: New York, NY, USA, 2015. [Google Scholar]
- Musculus, L.; Lobinger, B. Psychological Characteristics in Talented Soccer Players-Recommendations on How to Improve Coaches’ Assessment. Front. Psychol. 2018, 9. [Google Scholar] [CrossRef] [PubMed]
- Hauw, D. Enaction and intervention in sports psychology among elite athletes and those in training. Can. J. Behav. Sci. 2018, 50, 54–64. [Google Scholar] [CrossRef]
- Thelwell, R.C.; Wood, J.; Harwood, C.; Woolway, T.; Van Raalte, J.L. The role, benefits and selection of sport psychology consultants: Perceptions of youth-sport coaches and parents. Psychol. Sport Exerc. 2018, 35, 131–142. [Google Scholar] [CrossRef]
- Verner-Filion, J.; Vallerand, R.J.; Donahue, E.G.; Moreau, E.; Martin, A.; Mageau, G.A.; Martin, A. Passion, coping, and anxiety in sport: The interplay between key motivational and self-regulatory processes. Int. J. Sport Psychol. 2014, 45, 516–537. [Google Scholar]
- Cheng, W.; Hardy, L.; Markland, D. Toward a three-dimensional conceptualization of performance anxiety: Rationale and initial measurement development. Psychol. Sport Exerc. 2009, 10, 271–278. [Google Scholar] [CrossRef]
- Ngo, V.; Richards, H.; Kondric, M. A multidisciplinary investigation of the effects of competitive state anxiety on serve kinematics in table tennis. J. Hum. Kinet. 2017, 55, 83–95. [Google Scholar] [CrossRef] [PubMed]
- Di Rienzo, F.; Martinent, G.; Leveque, L.; Maclntyre, T.; Collet, C.; Guillot, A. The influence of gate start position on physical performance and anxiety perception in expert BMX athletes. J. Sports Sci. 2018, 36, 311–318. [Google Scholar] [CrossRef] [PubMed]
- Ford, J.; Ildefonso, K.; Jones, M.; Arvinen-Barrow, M. Sport-related anxiety: Current insights. J. Sports Med. 2017, 8, 205–212. [Google Scholar] [CrossRef]
- Spindler, D.; Allen, M.; Vella, S.; Swann, C. The psychology of elite cycling: A systematic review. J. Sports Sci. 2018, 36, 1943–1954. [Google Scholar] [CrossRef] [PubMed]
- Capranica, L.; Condello, G.; Tornello, F.; Iona, T.; Chiodo, S.; Valenzano, A.; De Rosas, M.; Messina, G.; Tessitore, A.; Cibelli, G. Salivary alpha-amylase, salivary cortisol, and anxiety during a youth taekwondo championship. An observational study. Medicine 2017, 96, e7272. [Google Scholar] [CrossRef]
- Ducrocq, E.; Wilson, M.; Smith, T.; Derakshan, N. Adaptive Working Memory Training Reduces the Negative Impact of Anxiety on Competitive Motor Performance. J. Sport Exerc. Psychol. 2017, 39, 412–422. [Google Scholar] [CrossRef] [PubMed]
- Gunnell, K.E.; Crocker, P.R.; Mack, D.E.; Wilson, P.M.; Zumbo, B.D. Goal contents, motivation, psychological need satisfaction, well-being and physical activity: A test of self-determination theory over 6 months. Psychol. Sport Exerc. 2014, 15, 19–29. [Google Scholar] [CrossRef]
- Sheehan, R.; Herring, M.; Campbell, M. Associations Between Motivation and Mental Health in Sport: A Test of the Hierarchical Model of Intrinsic and Extrinsic Motivation. Front. Psychol. 2018, 9. [Google Scholar] [CrossRef] [PubMed]
- Deci, E.L.; Ryan, R.M. Intrinsic Motivation and Self-Determination in Human Behavior; Plenum: New York, NY, USA, 1985. [Google Scholar]
- Li, C.; Kee, Y.; Wang, X.; Guo, Q. The Big Five Personality Traits and physical and emotional exhaustion among athletes: The mediating role of autonomous and controlled motivation. Int. J. Sport Psychol. 2018, 49, 1–16. [Google Scholar] [CrossRef]
- Nicholls, J. The Competitive Ethos and Democratic Education; Harvard University Press: Cambridge, UK, 1989. [Google Scholar]
- Ames, C. Achievement Goals, Motivational Climate, and Motivational Processes; Human Kinetics: Champaign, IL, USA, 1992. [Google Scholar]
- Eys, M.; Jewitt, E.; Evans, M.; Wolf, S.; Bruner, M.; Loughead, T. Coach-initiated motivational climate and cohesion in youth sport. Res. Quarter. Exerc. Sport 2013, 84, 373–383. [Google Scholar] [CrossRef] [PubMed]
- Castro-Sánchez, C.; Zurita-Ortega, F.; Chacón-Cuberos, R.; Padial-Ruz, R.; Martínez-Martínez, A. Levels of anxiety in players of the lower categories. Sport TK 2018, 7, 53–60. [Google Scholar]
- Gustafsson, H.; Carlin, M.; Podlog, L.; Stenling, A.; Lindwall, M. Motivational profiles and burnout in elite athletes: A person-centered approach. Psychol. Sport Exerc. 2018, 35, 118–125. [Google Scholar] [CrossRef]
- Fransen, K.; Boen, F.; Vansteenkiste, M.; Metens, N.; Vande, G. The power of competence support: The impact of coaches and athlete leaders on intrinsic motivation and performance. Scan. J. Med. Sci. Sports 2018, 28, 725–745. [Google Scholar] [CrossRef]
- Kolavis, H.; Sari, I.; Celik, N. Parent-initiated motivational climate and self-determined motivation in youth sport: How should parents behave to keep their child in sport? Kinesiology 2017, 49, 217–224. [Google Scholar] [CrossRef]
- Heuze, J.; Eys, M.; Dubuc, M.; Bosselut, G.; Couture, R. Cohesion, psychological needs, and intrinsic motivation in youth team sport contexts. Int. J. Sport Psychol. 2018, 49, 55–73. [Google Scholar]
- Lee, Y.H.; Chelladurai, P. Emotional intelligence, emotional labor, coach burnout, job satisfaction, and turnover intention in sport leadership. Eur. Sport Manag. Q. 2018, 18, 393–412. [Google Scholar] [CrossRef]
- Petrices, K. Trait emotional intelligence theory. Ind. Organ. Psychol. 2010, 3, 136–139. [Google Scholar] [CrossRef]
- Laborde, S.; Guilien, F.; Watson, M. Trait emotional intelligence questionnaire full-form and short-form versions: Links with sport participation frequency and duration and type of sport practiced. Personal. Individ. Differ. 2017, 108, 5–9. [Google Scholar] [CrossRef]
- Steca, P.; Baretta, D.; Greco, A.; D’Addario, M.; Monzani, D. Associations between personality, sports participation and athletic success. A comparison of Big Five in sporting and non-sporting adults. Personal. Individ. Differ. 2018, 121, 176–183. [Google Scholar] [CrossRef]
- Perry, J.; Ross, M.; Weinstock, J.; Gfeller, J. Examining the Interrelationships between Motivation, Conscientiousness, and Individual Endurance Sport Performance. J. Sports Sci. 2017, 5, 146–156. [Google Scholar] [CrossRef]
- Laborde, S.; Guillén, F.; Mosley, E. Positive personality-trait-like individual differences in athletes from individual-and team sports and in non-athletes. Psychol. Sport Exerc. 2016, 26, 9–13. [Google Scholar] [CrossRef]
- Akelaitis, A.; Malinauskas, R. The expression of emotional skills among individual and team sports male athletes. Ped. Psychol. Med.-Biol. Probl. Phys. Tranining Sports 2018, 22, 62–67. [Google Scholar] [CrossRef]
- Cowden, R.G.; Fuller, D.K.; Anshel, M.H. Psychological predictors of mental toughness in elite tennis: An exploratory study in learned resourcefulness and competitive trait anxiety. Percept. Mot. Skills 2014, 119, 661–678. [Google Scholar] [CrossRef] [PubMed]
- O’Connor, P.; Nguyen, J.; Anglim, J. Effectively Coping With Task Stress: A Study of the Validity of the Trait Emotional IntelligenceQuestionnaire-Short Form (TEIQue-SF). J. Personal. Assess. 2017, 99, 304–314. [Google Scholar] [CrossRef]
- Castro-Sánchez, M.; Zurita-Ortega, F.; Chacón-Cuberos, R.; López-Gutiérrez, C.J.; Zafra-Santos, E. Emotional Intelligence, Motivational Climate and Levels of Anxiety in Athletes from Different Categories of Sports: Analysis through Structural Equations. Int. J. Environ. Res. Public Health 2018, 15, 894. [Google Scholar] [CrossRef]
- Keeler, L.A. The Differences in Sport Aggression, Life Aggression, and Life Assertion Among Adult Male and Female Collision, Contact, and Non-Contact Sport Athletes. J. Sport Behav. 2007, 30, 1–21. [Google Scholar]
- Mann, D.T.; Williams, A.M.; Ward, P.; Janelle, C.M. Perceptual-cognitive expertise in sport: A meta-analysis. J. Sport Exerc. Psychol. 2017, 29, 457–478. [Google Scholar] [CrossRef]
- Olmedilla, A.; García, C.; Martínez, F. Psychological factors and vulnerability to sports injuries in soccer players. Rev. Psicol. Dep. 2006, 15, 37–52. [Google Scholar]
- Hodgson, L.; Butt, J.; Maynard, I. Exploring the psychological attributes underpinning elite sports coaching. Int. J. Sports Sci. Coach. 2017, 12, 439–451. [Google Scholar] [CrossRef]
- Campo, M.; Laborde, S.; Mosley, E. Emotional Intelligence Training in Team Sports the Influence of a Season Long Intervention Program on Trait Emotional Intelligence. J. Individ. Differ. 2016, 37, 152–158. [Google Scholar] [CrossRef]
- Grao-Cruces, A.; Fernández-Martínez, A.; Teva-Villén, M.R.; Nuviala, A. Physical self-concept and intention to be physically activie in participants of the sport schools program. J. Sport Health Res. 2017, 9, 15–26. [Google Scholar]
- Hagan, J.; Pollmann, D.; Schack, T. Interaction between Gender and Skill on Competitive State Anxiety Using the Time-to-Event Paradigm: What Roles Do Intensity, Direction, and Frequency Dimensions Play? Front. Psychol. 2017, 8. [Google Scholar] [CrossRef]
- Seaman, C.S.; Weber, R. Undisclosed flexibility in computing and reporting structural equation models in communication science. Commun. Met. Measur. 2015, 9, 208–232. [Google Scholar] [CrossRef]
- González-Cutre, D.; Sicilia, A.; Moreno, J.A. Cognitive-social model of achievement motivation in physical education. Psicothema 2008, 20, 642–651. [Google Scholar]
- Schutte, N.S.; Malouff, J.M.; Hall, L.E.; Haggerty, D.J.; Cooper, J.T.; Golden, J.; Dornhein, L. Development and validation of a measure of emotional intelligence. J. Individ. Differ. 1998, 25, 167–177. [Google Scholar] [CrossRef]
- García-Coll, V.; Graupera-Sanz, J.L.; Ruiz-Pérez, L.; Palomo-Nieto, M. Inteligencia emocional en el deporte: Emotional Inteligence in Sport: Validation of the Schutte Self Report Inventory (SSRI) in Spanish athletes. Cuad. Psicol. Dep. 2013, 13, 25–36. [Google Scholar] [CrossRef]
- Spielberger, C.D.; Gorsuch, R.; Luschene, R. The State-Trait Anxiety Inventory; Psychologist Press: Palo Alto, CA, USA, 1970. [Google Scholar]
- Ronquillo, H. Association between occlusal conditions, trait-state anxiety levels and temporomandibular disorders in a group of dental students. Cart Odontol. 2012, 1, 27–42. [Google Scholar]
- Horikawa, M.; Yagi, A. The Relationships among Trait Anxiety, State Anxiety and the Goal Performance of Penalty Shoot-Out by University Soccer Players. PLoS ONE 2012, 7, e35727. [Google Scholar] [CrossRef]
- Marsh, H.W. Handbook of Sport Psychology, 3rd ed.; Tenenbaum, G., Eklund, R.C., Eds.; John Wiley & Sons Inc.: Hoboken, NJ, USA, 2007. [Google Scholar]
- Hill, B.D.; Foster, J.D.; Sofko, C.; Elliott, E.M.; Shelton, J.T. The interaction of ability and motivation: Average working memory is required for need for cognition to positively benefit intelligence and the effect increases with ability. Personal. Individ. Differ 2016, 98, 225–228. [Google Scholar] [CrossRef]
- Jones, L.; Karageorghis, C.I.; Lane, A.M.; Bishop, D.T. The influence of motivation and attentional style on affective, cognitive, and behavioral outcomes of an exercise class. Scan. J. Med. Scin. Sports 2017, 27, 124–135. [Google Scholar] [CrossRef]
- Lee, Y.H.; Chelladurai, P. Affectivity, emotional labor, emotional exhaustion, and emotional intelligence in coaching. J. Appl. Sport Psychol. 2016, 28, 170–184. [Google Scholar] [CrossRef]
- Stenling, A.; Ivarsson, A.; Hassmén, P.; Lindwall, M. Longitudinal associations between athletes' controlled motivation, ill-being, and perceptions of controlling coach behaviors: A Bayesian latent growth curve approach. Psychol. Sport Exerc. 2017, 30, 205–214. [Google Scholar] [CrossRef]
- Zurita, F.; Zafra, E.; Valdivia, P.; Rodríguez, S.; Castro, M.; Muros, J.J. Analysis of resilience, self-concept and motivation in judo according to gender. Rev. Psicol. Dep. 2017, 26, 71–81. [Google Scholar]
- Rottensteiner, C.; Tolvanen, A.; Laakso, L.; Konttinen, N. Youth athletes’ motivation, perceived competence, and persistence in organized team sports. J. Sport Behav. 2015, 38, 432. [Google Scholar]
- Zarauz-Sancho, A.; Ruiz-Juan, F. Determining factors of motivation in Spanish veteran athletes. Rev. Lat. Psicol. 2015, 47, 34–42. [Google Scholar] [CrossRef]
- Hogue, C.M.; Fry, M.D.; Fry, A.C. The differential impact of motivational climate on adolescents’ psychological and physiological stress responses. Psychol. Sport Exerc. 2017, 30, 118–127. [Google Scholar] [CrossRef]
- Davies, M.J.; Babkes-Stellino, M.; Nichols, B.A.; Coleman, L.M. Other-initiated motivational climate and youth hockey players’ good and poor sport behaviors. J. Appl. Sport Psychol. 2016, 28, 78–96. [Google Scholar] [CrossRef]
- Domínguez-Escribano, M.; Ariza-Vargas, L.; Taberner, C. Motivational variables involved in commitment of female soccer players at different competitive levels. Soccer Soc. 2017, 18, 801–816. [Google Scholar] [CrossRef]
- Matthews, W. Group Cohesion, Motivational Climate, and Collective Efficacy Beliefs in Community College and University Bands. J. Band Res. 2016, 51, 1–67. [Google Scholar] [CrossRef]
- Møllerløkken, N.E.; Lorås, H.; Pedersen, A.V. A Comparison of Players’ and Coaches’ Perceptions of the Coach-Created Motivational Climate within Youth Soccer Teams. Front. Psychol. 2017, 8, 1–10. [Google Scholar] [CrossRef]
- McLaren, C.D.; Newland, A.; Eys, M.; Newton, M. Peer-initiated motivational climate and group cohesion in youth sport. J. Appl. Sport Psychol. 2017, 29, 88–100. [Google Scholar] [CrossRef]
- Gross, M.J.; Hall, R.; Bringer, J.D.; Cook, C.J.; Kilduff, L.P.; Shearer, D.A. Resonant frequency training in elite sport: A case study example. J. Sport Psychol. Act. 2017, 8, 173–183. [Google Scholar] [CrossRef]
- Ekaitz, S.; Arribas-Galarrag, S.; Cecchini, J.A.; Luis-De-Cos, I.; Otaegi, O. Differences in goal orientation, self-determined motivation, emotional intelligence and satisfaction with sporting results among expert and novice canoeists. Cuad. Psicol. Dep. 2014, 14, 21–30. [Google Scholar] [CrossRef]
- Ma, C.; Monsma, E. Testing Cross-Cultural Generalizability of the Task and Ego Orientation in Sport Questionnaire across American and Chinese Samples. PLoS ONE 2016, 11, e0158953. [Google Scholar] [CrossRef]
- Yukhymenko-Lescroart, M.A. On identity and sport conduct of student-athletes: Considering athletic and academic contexts. Psychol. Sport Exerc. 2018, 34, 10–19. [Google Scholar] [CrossRef]
- Neil, R.; Hanton, S.; Mellalieu, S.D.; Fletcher, D. Competition stress and emotions in sport performers: The role of further appraisals. Psychol. Sport Exerc. 2011, 12, 460–470. [Google Scholar] [CrossRef]
- Latinjak, A.T.; Hatzigeorgiadis, A.; Zourbanos, N. Goal-Directed and Spontaneous Self-Talk in Anger-and Anxiety-Eliciting Sport-Situations. J. Appl. Sport Psychol. 2017, 29, 150–166. [Google Scholar] [CrossRef]
- Huéscar-Hernández, E.; López-Mora, C.; Cervelló-Gimeno, E. Relationship of Leadership Styles, Group Cohesion, Power Equipment and Performance in Non-Professional Soccer Players. Univ. Psychol. 2017, 16, 125–138. [Google Scholar] [CrossRef]
- Smirl, J.D.; Dierijck, J.K.; Wright, A.D.; Bryk, K.; van Donkelaar, P. Effect of sub-concussive impacts sustained throughout a contact-sport season on quiet stance centre of pressure. Br. J. Sports Med. 2017, 51, A28–A29. [Google Scholar] [CrossRef]
- Thornton, C.; Sheffield, D.; Baird, A. A longitudinal exploration of pain tolerance and participation in contact sports. Scan. J. Pain 2017, 16, 36–44. [Google Scholar] [CrossRef]
- Giza, C.C.; Prins, M.L.; Hovda, D.A. It’s not all fun and games: Sports, concussions, and neuroscience. Neuron 2017, 94, 1051–1055. [Google Scholar] [CrossRef]
- Brown, D.J.; Fletcher, D. Effects of psychological and psychosocial interventions on sport performance: A meta-analysis. Sports Med. 2017, 47, 77–99. [Google Scholar] [CrossRef]
- Meira, C.M.; Fairbrother, J.T. Ego-oriented Learners Show Advantage in Retention and Transfer of Balancing Skill. J. Motor Learn. Dev. 2017, 1–21. [Google Scholar] [CrossRef]
- Morgan, K. Reconceptualizing motivational climate in physical education and sport coaching: An interdisciplinary perspective. Quest 2017, 69, 95–112. [Google Scholar] [CrossRef]
- Ros, A.; Moya-Faz, F.; Garcés, F. Emotional intelligence and sport: Current state of research. Cuad. Psicol. Dep. 2013, 13, 105–112. [Google Scholar]
- Williams, S.E.; van Zanten, J.J.; Trotman, G.P.; Quinton, M.L.; Ginty, A.T. Challenge and threat imagery manipulates heart rate and anxiety responses to stress. Int. J. Psychophysiol. 2017, 117, 111–118. [Google Scholar] [CrossRef]




| INDICES | Global Model | Model 1 (Contact Sports) | Model 2 (Non-Contact Sports) |
|---|---|---|---|
| χ2 | 418.60 | 617.93 | 598.47 |
| Df | 46 | 92 | 86 |
| p | p < 0.001 | p < 0.001 | p < 0.001 |
| CFI | 0.959 | 0.944 | 0.947 |
| NFI | 0.955 | 0.935 | 0.939 |
| IFI | 0.959 | 0.944 | 0.945 |
| RMSEA | 0.063 | 0.072 | 0.067 |
| Relationships | Regression Weights | Standard Regression Weights | |||||
|---|---|---|---|---|---|---|---|
| Estimates | Error | Critical Ratio | P | Estimates | |||
| SA | ← | EC | 3.412 | 0.557 | 4.870 | *** | 0.154 |
| SA | ← | TC | −2.493 | 0.471 | −7.173 | *** | −0.221 |
| TA | ← | TC | 1.276 | 0.289 | 2.855 | ** | 0.056 |
| TA | ← | SA | 0.702 | 0.018 | 42.724 | *** | 0.809 |
| TA | ← | EC | 0.355 | 0.334 | 0.681 | 0.496 | 0.013 |
| EI | ← | SA | 0.002 | 0.002 | −0.419 | 0.675 | −0.019 |
| EI | ← | TA | −0.012 | 0.002 | −6.882 | *** | −0.305 |
| EI | ← | TC | 0.298 | 0.020 | 14.167 | *** | 0.429 |
| EI | ← | EC | 0.032 | 0.023 | 3.052 | ** | 0.090 |
| E/I | ← | TC | 0.892 | 0.019 | 45.131 | *** | 0.904 |
| IR | ← | TC | 1.049 | 0.024 | 43.338 | *** | 0.884 |
| MR | ← | EC | 1.000 | - | - | - | 0.666 |
| UR | ← | EC | 1.236 | 0.056 | 23.989 | *** | 0.919 |
| PM | ← | EC | 0.980 | 0.047 | 24.109 | *** | 0.853 |
| CL | ← | TC | 1.000 | - | - | - | 0.908 |
| HEM | ← | EI | 0.906 | 0.023 | 40.288 | *** | 0.861 |
| SEM | ← | EI | 0.956 | 0.022 | 42.040 | *** | 0.881 |
| EP | ← | EI | 1.000 | - | - | - | 0.906 |
| UE | ← | EI | 0.810 | 0.030 | 26.462 | *** | 0.674 |
| EC | ↔ | TC | −0.096 | 0.015 | −6.259 | *** | −0.215 |
| Relationships | Regression Weights | Standard Regression Weights | |||||
|---|---|---|---|---|---|---|---|
| Estimates | Error | Critical Ratio | P | Estimates | |||
| SA | ← | EC | 3.412 | 0.699 | 4.878 | *** | 0.203 |
| SA | ← | TC | −2.493 | 0.634 | −3.930 | *** | −0.160 |
| TA | ← | TC | 1.276 | 0.380 | 3.357 | *** | 0.091 |
| TA | ← | SA | 0.702 | 0.024 | 29.775 | *** | 0.782 |
| TA | ← | EC | 0.355 | 0.417 | 0.851 | 0.395 | 0.024 |
| EI | ← | SA | 0.002 | 0.002 | 0.909 | 0.363 | 0.053 |
| EI | ← | TA | −0.012 | 0.003 | −4.764 | *** | −0.272 |
| EI | ← | TC | 0.298 | 0.025 | 11.807 | *** | 0.483 |
| EI | ← | EC | 0.032 | 0.026 | 1.213 | 0.225 | 0.048 |
| E/I | ← | TC | 0.892 | 0.026 | 34.895 | *** | 0.915 |
| IR | ← | TC | 1.049 | 0.032 | 32.802 | *** | 0.885 |
| MR | ← | EC | 1.000 | - | - | - | 0.748 |
| UR | ← | EC | 1.236 | 0.056 | 22.076 | *** | 0.928 |
| PM | ← | EC | 0.980 | 0.046 | 21.509 | *** | 0.845 |
| CL | ← | TC | 1.000 | - | - | - | 0.904 |
| HEM | ← | EI | 0.906 | 0.031 | 28.867 | *** | 0.849 |
| SEM | ← | EI | 0.956 | 0.032 | 30.110 | *** | 0.870 |
| EP | ← | EI | 1.000 | - | - | - | 0.900 |
| UE | ← | EI | 0.810 | 0.042 | 19.335 | *** | 0.664 |
| EC | ↔ | TC | −0.108 | 0.023 | −4.660 | *** | −0.208 |
| Relationships | Regression Weights | Standard Regression Weights | |||||
|---|---|---|---|---|---|---|---|
| Estimations | Error | Critical Ratio | P | Estimations | |||
| SA | ← | EC | 2.249 | 0.954 | 2.357 | * | 0.113 |
| SA | ← | TC | −4.696 | 0.679 | −6.919 | *** | −0.321 |
| TA | ← | TC | 0.387 | 0.428 | 0.905 | 0.365 | 0.025 |
| TA | ← | SA | 0.884 | 0.028 | 31.759 | *** | 0.845 |
| TA | ← | EC | 0.632 | 0.570 | 1.110 | 0.267 | 0.030 |
| EI | ← | SA | −0.009 | 0.004 | −2.518 | * | −0.186 |
| EI | ← | TA | −0.014 | 0.004 | −3.916 | *** | −0.283 |
| EI | ← | TC | 0.239 | 0.033 | 7.140 | *** | 0.320 |
| EI | ← | EC | 0.126 | 0.045 | 2.831 | ** | 0.124 |
| E/I | ← | TC | 0.832 | 0.029 | 28.687 | *** | 0.889 |
| IR | ← | TC | 0.993 | 0.035 | 28.250 | *** | 0.882 |
| MR | ← | EC | 1.000 | - | - | - | 0.541 |
| UR | ← | EC | 1.616 | 0.137 | 11.784 | *** | 0.901 |
| PM | ← | EC | 1.502 | 0.126 | 11.943 | *** | 0.867 |
| CL | ← | TC | 1.000 | - | - | - | 0.915 |
| HEM | ← | EI | 0.957 | 0.034 | 27.958 | *** | 0.874 |
| SEM | ← | EI | 0.863 | 0.029 | 29.759 | *** | 0.901 |
| EP | ← | EI | 1.000 | - | - | - | 0.909 |
| UE | ← | EI | 0.773 | 0.042 | 18.364 | *** | 0.695 |
| EC | ↔ | TC | −0.074 | 0.018 | −4.103 | *** | −0.223 |
© 2019 by the authors. Licensee MDPI, Basel, Switzerland. This article is an open access article distributed under the terms and conditions of the Creative Commons Attribution (CC BY) license (http://creativecommons.org/licenses/by/4.0/).
Share and Cite
Castro-Sánchez, M.; Lara-Sánchez, A.J.; Zurita-Ortega, F.; Chacón-Cuberos, R. Motivation, Anxiety, and Emotional Intelligence Are Associated with the Practice of Contact and Non-Contact Sports: An Explanatory Model. Sustainability 2019, 11, 4256. https://doi.org/10.3390/su11164256
Castro-Sánchez M, Lara-Sánchez AJ, Zurita-Ortega F, Chacón-Cuberos R. Motivation, Anxiety, and Emotional Intelligence Are Associated with the Practice of Contact and Non-Contact Sports: An Explanatory Model. Sustainability. 2019; 11(16):4256. https://doi.org/10.3390/su11164256
Chicago/Turabian StyleCastro-Sánchez, Manuel, Amador J. Lara-Sánchez, Félix Zurita-Ortega, and Ramón Chacón-Cuberos. 2019. "Motivation, Anxiety, and Emotional Intelligence Are Associated with the Practice of Contact and Non-Contact Sports: An Explanatory Model" Sustainability 11, no. 16: 4256. https://doi.org/10.3390/su11164256
APA StyleCastro-Sánchez, M., Lara-Sánchez, A. J., Zurita-Ortega, F., & Chacón-Cuberos, R. (2019). Motivation, Anxiety, and Emotional Intelligence Are Associated with the Practice of Contact and Non-Contact Sports: An Explanatory Model. Sustainability, 11(16), 4256. https://doi.org/10.3390/su11164256

