Feasibility of Using Calcined Water Treatment Sludge in Rendering Mortars: A Technical and Sustainable Approach
Abstract
:1. Introduction
2. Materials and Methods
2.1. Materials Characterization
2.2. Production of Mortars and Physical–Mechanical Investigations
2.3. Natural Carbonation
2.3.1. CO2 Uptake
- CO2up = amount of CO2 uptake (kg/m2)
- ec = carbonation depth (m)
- CaO = calcium oxide contained in cement (%)
- %CaOc = CaO content that is totally carbonated, i.e., is converted into CaCO3
- Qcem = cement content in 1 m3 (kg)
- %Ccem = Clinker amount (%)
- M = CO2/CaO molar ratio.
2.3.2. CO2 Balance
2.4. Statistical Analysis and Modeling
3. Results and Discussions
3.1. Porosity, Bulk Density, and Water Absorption
3.2. Mechanical Properties
3.3. Natural Carbonation
3.4. CO2 Uptake due to Mortar Carbonation
3.5. Modeling
4. Conclusions
- The higher the w/c ratio, it leads to a decrease in bulk density and increase of water absorption.
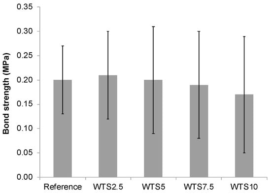
- The presence of WTS decreases slightly all-mechanical properties, related to reference mortars. Considering the bond strength, it was found that mortars with 2.5% and 5% of WTS presented mean values similar to the Brazilian standards.
- The increase of WTS replacement presents a significant influence in CO2 ingress, where the WTS may be a nucleation point for the carbonation process. The carbonation process in mortars is advantageous due to CaCO3 precipitation in pore voids, being advantageous in a sustainability point of view.
- Mortars with WTS have a lower potency of CO2 uptake; however, owing to the lower cement consumption, the performance in the emissions balance is the same as the reference. Mortars with and without WTS can capture approximately 60% of the CO2 emissions associated with their production owing to carbonation over time, capturing up to 111 kg CO2/t during their service life.
- Further studies should be conducted to propose methodologies for estimating mortar emissions and CO2 uptake to confirm their use as a compensatory measure in building inventory emissions to improve sustainability indicators.
- The use of calcined WTS as a replacement for Portland cement may also be an alternative to its recycling.
Author Contributions
Funding
Acknowledgments
Conflicts of Interest
References
- Ahmad, T.; Ahmad, K.; Alam, M. Sludge quantification at water treatment plant and its management scenario. Environ. Monit. Assess. 2017, 189, 453. [Google Scholar] [CrossRef] [PubMed]
- Ramirez, K.G.; Possan, E.; Dezen, B.G.; Colombo, M. Potential uses of waste sludge in concrete production. Manag. Environ. Qual. 2017, 28, 155–161. [Google Scholar] [CrossRef]
- Ahmad, T.; Ahmad, K.; Alam, M. Characterization of water treatment plant’s sludge and its safe disposal options. Proc. Environ. Sci. 2016, 35, 950–955. [Google Scholar] [CrossRef]
- Donatello, S.; Cheeseman, C.R. Recycling and recovery routes for incinerated sewage sludge ash (ISSA): A review. Waste Manag. 2013, 33, 2328–2340. [Google Scholar] [CrossRef] [PubMed]
- Sales, A.; Souza, F.R. Concretes and mortars recycled with water treatment sludge and construction and demolition rubble. Constr. Build. Mater. 2009, 23, 2362–2370. [Google Scholar] [CrossRef]
- Gastaldini, A.L.G.; Hengen, M.F.; Gastaldini, M.C.C.; Amaral, F.D.D.; Antolini, M.B.; Coletto, T. The use of water treatment plant sludge ash as a mineral addition. Constr. Build. Mater. 2015, 94, 513–520. [Google Scholar] [CrossRef]
- ABNT. Resíduos Sólidos—Classificação; Associação Brasileira de Normas Técnicas: Rio de Janeiro, RJ, Brazil, 2004; Volume: NBR 10004, p. 71. [Google Scholar]
- Yen, C.-L.; Tseng, D.-H.; Lin, T.-T. Characterization of eco-cement paste produced from waste sludges. Chemosphere 2011, 84, 220–226. [Google Scholar] [CrossRef]
- Merino, I.; Arévalo, L.F.; Romero, F. Characterization and possible uses of ashes from wastewater treatment plants. Waste Manag. 2005, 25, 1046–1054. [Google Scholar] [CrossRef]
- Martínez-García, C.; Eliche-Quesada, D.; Pérez-Villarejo, L.; Iglesias-Godino, F.J.; Corpas-Iglesias, F.A. Sludge valorization from wastewater treatment plant to its application on the ceramic industry. J. Environ. Manag. 2012, 95, S343–S348. [Google Scholar] [CrossRef]
- Caniani, D.; Masi, S.; Mancini, I.M.; Trulli, E. Innovative reuse of drinking water sludge in geo-environmental applications. Waste Manag. 2013, 33, 1461–1468. [Google Scholar] [CrossRef]
- Huang, C.-H.; Wang, S.-Y. Application of water treatment sludge in the manufacturing of lightweight aggregate. Construct. Build. Mater. 2013, 43, 174–183. [Google Scholar] [CrossRef]
- Yagüe, A.; Valls, S.; Vázquez, E.; Albareda, F. Durability of concrete with addition of dry sludge from waste water treatment plants. Cem. Concr. Res. 2005, 35, 1064–1073. [Google Scholar] [CrossRef]
- Buselatto, D.M.; Wenzel, M.C.; Rocha, G.H.; Webber, J.; Silva, S.R.; Andrade, J.J.O. Use of water treatment sludge (WTS) as fine aggregate in concretes: evaluation of physical-mechanical properties. Matéria 2019, 24. paper e-12270 (In portuguese) [Google Scholar] [CrossRef]
- Rodríguez, N.H.; Ramírez, S.M.; Varela, M.T.B.; Guillem, M.; Puig, J.; Larrotcha, E.; Flores, J. Re-use of drinking water treatment plant (DWTP) sludge: Characterization and technological behaviour of cement mortars with atomized sludge additions. Cem. Concr. Res. 2010, 40, 778–786. [Google Scholar] [CrossRef]
- Zamora, R.M.R.; Alfaro, O.C.; Cabirol, N.; Ayala, F.E.; Moreno, A.D. Valorization of drinking water treatment sludges as raw materials to produce concrete and mortar. Am. J. Environ. Sci. 2008, 4, 223–228. [Google Scholar] [CrossRef]
- Cuéllar-Franca, R.M.; Azapagic, A. Carbon capture, storage and utilisation technologies: A critical analysis and comparison of their life cycle environmental impacts. J. CO2 Util. 2015, 9, 82–102. [Google Scholar] [CrossRef]
- Pade, C.; Guimaraes, M. The CO2 uptake of concrete in a 100 year perspective. Cem. Concr. Res. 2007, 37, 1348–1356. [Google Scholar] [CrossRef]
- Kaliyavaradhan, S.K.; Ling, T.-C. Potential of CO2 sequestration through construction and demolition (C&D) waste—An overview. J. CO2 Util. 2017, 20, 234–242. [Google Scholar] [CrossRef]
- Andrade, C.; Sanjuán, Á.M. Updating carbon storage capacity of spanish cements. Sustainability 2018, 10, 4806. [Google Scholar] [CrossRef]
- Possan, E.; Thomaz, W.A.; Aleandri, G.A.; Felix, E.F.; dos Santos, A.C.P. CO2 uptake potential due to concrete carbonation: A case study. Case Stud. Construct. Mater. 2017, 6, 147–161. [Google Scholar] [CrossRef]
- Bashar, N.A.M.; Zubir, Z.H.; Ayob, A.; Alias, S. Water treatment sludge as an alternative liner for landfill site: FTIR and XRD analysis. In AIP Conference Proceedings; AIP Publishing: Melville, NY, USA, 2016. [Google Scholar]
- Hwang, C.-L.; Chiang, C.-H.; Huynh, T.-P.; Vo, D.-H.; Jhang, B.-J.; Ngo, S.-H. Properties of alkali-activated controlled low-strength material produced with waste water treatment sludge, fly ash, and slag. Construct. Build. Mater. 2017, 135, 459–471. [Google Scholar] [CrossRef]
- Ramirez, K.G.; Possan, E.; Bittencourt, P.R.S.; Colombo, M.; Carneiro, C. Physico-chemical characterization of centrifuged sludge from Tamanduá water treatment plant (Foz do Iguaçu, PR). Revista Matéria 2018, 23. Paper e-12187. [Google Scholar] [CrossRef]
- ABNT. Argamassa Para Assentamento e Revestimento de Paredes e Tetos—Preparo da Mistura e Determinação do Índice de Consistência; Associação Brasileira de Normas Técnicas: Rio de Janeiro, RJ, Brazil, 2016; Volume: NBR 13276, p. 3p. [Google Scholar]
- ASTM. Standard Specification for Mortar Cement; ASTM C1329/C1329M; American Society for Testing and Materials: West Conshohocken, PA, USA, 2016. [Google Scholar]
- ABNT. Argamassa e Concreto Endurecidos—Determinação da Absorção de Água por capilaridade; NBR 9779; Associação Brasileira de Normas Técnicas: Rio de Janeiro, RJ, Brazil, 2012; p. 2. [Google Scholar]
- ABNT. Argamassa Para Assentamento e Revestimento de Paredes e Tetos—Determinação da Resistência à Tração na Flexão e à Compressão; NBR 13279; Associação Brasileira de Normas Técnicas: Rio de Janeiro, RJ, Brazil, 2005; p. 9. [Google Scholar]
- ABNT. Revestimento de Paredes e Tetos de Argamassas Inorgânicas—Determinação da Resistência de Aderência à Tração; NBR 13528; Associação Brasileira de Normas Técnicas: Rio de Janeiro, RJ, Brazil, 2010; p. 11. [Google Scholar]
- RILEM. CPC-18 Measurement of hardened concrete carbonation depth. In Materials and Structures; Springer: Paris, France, 1988; pp. 453–455. [Google Scholar]
- Xi, F.; Davis, S.J.; Ciais, P.; Crawford-Brown, D.; Guan, D.; Pade, C.; Shi, T.; Syddall, M.; Lv, J.; Ji, L.; et al. Substantial global carbon uptake by cement carbonation. Nat. Geosci. 2016, 9, 880. [Google Scholar] [CrossRef]
- Andrade, J.J.O.; Possan, E.; Squiavon, J.Z.; Ortolan, T.L.P. Evaluation of mechanical properties and carbonation of mortars produced with construction and demolition waste. Construct. Build. Mater. 2018, 161, 70–83. [Google Scholar] [CrossRef]
- BRE Global Ltd. Product Category Rules for Type III Environmental Product Declaration of Construction Products; EN15804:2012+A1:2013. PN514; BRE Global Ltd.: St Albans, UK, 2014. [Google Scholar]
- Pommer, K.; Pade, C. Guidelines Uptake of Carbon Dioxide in the Life Cycle Inventory of Concrete; Danish Technological Institute: Taastrup, Denmark, 2006. [Google Scholar]
- IPCC. Guidelines for National Greenhouse Gas. Inventories; Intergovernmental Panel on Climate Change: Geneva, Switzerland, 2006. [Google Scholar]
- CSI. CO2 and Energy Accounting and Reporting Standard for the Cement Industry; World Business Council for Sustainable Development: Geneva, Switzerland, 2011. [Google Scholar]
- Lima, J.A.R. Avaliação das Consequências da Produção de Concreto no Brasil para as Mudanças Climáticas. Ph.D. Thesis, Universidade de São Paulo, São Paulo, SP, Brazil, January 2010. [Google Scholar]
- EPE. Balanço Energético Nacional 2017: Ano Base 2016; Empresa de Pesquisa Energética: Rio de Janeiro, RJ, Brazil, 2017. [Google Scholar]
- Lovato, P.S.; Possan, E.; Molin, D.C.C.D.; Masuero, Â.B.; Ribeiro, J.L.D. Modeling of mechanical properties and durability of recycled aggregate concretes. Construct. Build. Mater. 2012, 26, 437–447. [Google Scholar] [CrossRef]
- Silva, S.R.; Andrade, J.J.O. Investigation of mechanical properties and carbonation of concretes with construction and demolition waste and fly ash. Construct. Build. Mater. 2017, 153, 704–715. [Google Scholar] [CrossRef]
- Andrade, J.J.O.; Wenzel, M.C.; Rocha, G.H.; Silva, S.R. Performance of rendering mortars containing sludge from water treatment plants as fine recycled aggregate. J. Clean. Product. 2018, 192, 159–168. [Google Scholar] [CrossRef]
- Valls, S.; Yagüe, A.; Vázquez, E.; Mariscal, C. Physical and mechanical properties of concrete with added dry sludge from a sewage treatment plant. Cem. Concr. Res. 2004, 34, 2203–2208. [Google Scholar] [CrossRef]
- Cremades, L.V.; Cusidó, J.A.; Arteaga, F. Recycling of sludge from drinking water treatment as ceramic material for the manufacture of tiles. J. Clean. Product. 2018, 201, 1071–1080. [Google Scholar] [CrossRef]
- Ramos, N.M.M.; Simões, M.L.; Delgado, J.M.P.Q.; de Freitas, V.P. Reliability of the pull-off test for in situ evaluation of adhesion strength. Construct. Build. Mater. 2012, 31, 86–93. [Google Scholar] [CrossRef]
- Flores-Colen, I.; de Brito, J.; Branco, F. In situ adherence evaluation of coating materials. Exp. Tech. 2009, 33, 51–60. [Google Scholar] [CrossRef]
- Stolz, C.M.; Masuero, Â.B.; Pagnussat, D.T.; Kirchheim, A.P. Influence of substrate texture on the tensile and shear bond strength of rendering mortars. Construct. Build. Mater. 2016, 128, 298–307. [Google Scholar] [CrossRef]
- Neno, C.; Brito, J.; Veiga, R. Using fine recycled concrete aggregate for mortar production. Adv. Mater. Res. 2014, 17, 168–177. [Google Scholar] [CrossRef]
- Leemann, A.; Nygaard, P.; Kaufmann, J.; Loser, R. Relation between carbonation resistance, mix design and exposure of mortar and concrete. Cem. Concr. Compos. 2015, 62, 33–43. [Google Scholar] [CrossRef]
- Ekolu, S.O. A review on effects of curing, sheltering, and CO2 concentration upon natural carbonation of concrete. Construct. Build. Mater. 2016, 127, 306–320. [Google Scholar] [CrossRef]
- ABNT. Revestimento de Paredes e Tetos de Argamassas Inorgânicas—Especificação; NBR 13749; Associação Brasileira de Normas Técnicas: Rio de Janeiro, RJ, Brazil, 2013; p. 8. [Google Scholar]
- Furcas, C.; Balletto, G.; Naitza, S.; Mazzella, A. Evaluation of CO2 uptake under mild accelerated carbonation conditions in cement-based and lime-based mortars. Adv. Mater. Res. 2014, 980, 57–61. [Google Scholar] [CrossRef]
- Xuan, D.; Zhan, B.; Poon, C.S. Development of a new generation of eco-friendly concrete blocks by accelerated mineral carbonation. J. Clean. Product. 2016, 133, 1235–1241. [Google Scholar] [CrossRef]




















| Aggregate | Maximum Size (mm) | Fineness Modulus | Specific Gravity (kg/dm3) | Bulk Density (kg/dm3) | Water Absorption—24 h (%) |
|---|---|---|---|---|---|
| Water treatment sludge (WTS) aggregate | 2.38 | 2.48 | 2.16 | 0.73 | 5.65 |
| Sand | 1.18 | 1.90 | 2.61 | 1.50 | 0.85 |
| Parameter | Result | Unit |
|---|---|---|
| Volatile matter | 43.5 | % |
| Total suspended solids | <2 | % |
| pH | 5.13 | |
| Density | 0.858 | g/cm3 |
| As | 0.006 | mg/L |
| Al | 102 | mg/L |
| Ba | 0.202 | mg/L |
| Cd | <0.0006 | mg/L |
| F | 0.101 | mg/L |
| Hg | 0.0022 | mg/L |
| Ag | <0.002 | mg/L |
| Cu | <0.006 | mg/L |
| Zn | 0.039 | mg/L |
| Pb | <0.004 | mg/L |
| Total Cr | 0.066 | mg/L |
| Material | SiO2 | Al2O3 | Fe2O3 | CaO | MgO | K2O | TiO2 | SO3 | Na2O | MnO | LOI |
|---|---|---|---|---|---|---|---|---|---|---|---|
| (%) | (%) | (%) | (%) | (%) | (%) | (%) | (%) | (%) | (%) | (%) | |
| WTS—in nature | 28.4 | 21.5 | 11.3 | 0.5 | 0.3 | 0.3 | 0.7 | 1.0 | 0.1 | <0.1 | 35.32 |
| WTS—calcined | 40.5 | 28.5 | 9.5 | 0.3 | 0.4 | 0.4 | 1.0 | 0.7 | 0.1 | 0.1 | 18.23 |
| Cement | 15.4 | 3.3 | 3.7 | 65.3 | 3.0 | 1.3 | 0.2 | 4.2 | 0.1 | 0.1 | 2.84 |
| Mixture | Proportioning (Binder:NA:WTS) | NA | WTS | Aggregates (kg/m3) | Cement (kg/m3) | Consistency Index (mm) | w/c | |
|---|---|---|---|---|---|---|---|---|
| NA | WTS | |||||||
| Reference | 1:5:0 | 100 | 0 | 1535 | 0 | 307.0 | 262 | 1.02 |
| WTS2.5 | 1:4.875:0.125 | 97.5 | 2.5 | 1456.2 | 37.3 | 298.7 | 260 | 1.04 |
| WTS5 | 1:4.75:0.25 | 95 | 5 | 1380.3 | 72.6 | 290.6 | 270 | 1.13 |
| WTS7.5 | 1:4.625:0.375 | 92.5 | 7.5 | 1308.9 | 106.13 | 283.0 | 286 | 1.18 |
| WTS10 | 1:4.5:0.50 | 90 | 10 | 1226.3 | 136.2 | 272.5 | 269 | 1.24 |
| Emissions/Year | 2007 | 2008 | 2009 | 2010 | 2011 | 2012 | 2013 | 2014 |
|---|---|---|---|---|---|---|---|---|
| Energy use | 253.0 | 246.0 | 224.0 | 210.0 | 214.4 | 210.3 | 206.3 | 206.1 |
| Calcination | 372.0 | 368.0 | 363.0 | 358.0 | 364.8 | 361.1 | 361.1 | 361.1 |
| Transportation | 33.0 | 33.0 | 31.0 | 31.0 | 30.7 | 30.3 | 30.3 | 30.3 |
| Total | 658.0 | 647.0 | 618.0 | 598.0 | 610.0 | 602.0 | 598.0 | 597.0 |
| Response | Source | Sum of Squares | Degree of Freedom | Mean Square | F Test | p-Value |
|---|---|---|---|---|---|---|
| fc | Model | 3810.912 | 4.0 | 952.729 | 3015.996 | 0.000000 |
| Residual | 19.269 | 61.0 | 0.430 | |||
| Total | 3830.185 | 65.0 | ||||
| ffl | Model | 209.600 | 3.0 | 69.866 | 5390.650 | 0.000000 |
| Residual | 0.4018 | 31.0 | 0.013 | |||
| Total | 210.00 | 34.0 | ||||
| A | Model | 4374.599 | 2.0 | 2187.299 | 4024.285 | 0.000000 |
| Residual | 7.066 | 13.0 | 0.544 | |||
| Error | ||||||
| Total | 4381.665 | 15.0 | ||||
| P | Model | 13096.37 | 2.0 | 6548.185 | 12994.32 | 0.000000 |
| Residual | 6.55 | 13.0 | 0.504 | |||
| Total | 13102.92 | 15.0 | ||||
| D | Model | 4534.201 | 2.0 | 22.67101 | 77783.83 | 0.000000 |
| Residual | 0.00379 | 13.0 | 0.00029 | |||
| Total | 45.34580 | 15.0 | ||||
| ec | Model | 14053.16 | 4.0 | 3513.289 | 7740.129 | 0.000000 |
| Residual | 221.05 | 487.0 | 0.454 | |||
| Total | 14274.21 | 491.0 |
© 2019 by the authors. Licensee MDPI, Basel, Switzerland. This article is an open access article distributed under the terms and conditions of the Creative Commons Attribution (CC BY) license (http://creativecommons.org/licenses/by/4.0/).
Share and Cite
Andrade, J.J.d.O.; Possan, E.; Wenzel, M.C.; Silva, S.R.d. Feasibility of Using Calcined Water Treatment Sludge in Rendering Mortars: A Technical and Sustainable Approach. Sustainability 2019, 11, 3576. https://doi.org/10.3390/su11133576
Andrade JJdO, Possan E, Wenzel MC, Silva SRd. Feasibility of Using Calcined Water Treatment Sludge in Rendering Mortars: A Technical and Sustainable Approach. Sustainability. 2019; 11(13):3576. https://doi.org/10.3390/su11133576
Chicago/Turabian StyleAndrade, Jairo José de Oliveira, Edna Possan, Matheus Chiaradia Wenzel, and Sérgio Roberto da Silva. 2019. "Feasibility of Using Calcined Water Treatment Sludge in Rendering Mortars: A Technical and Sustainable Approach" Sustainability 11, no. 13: 3576. https://doi.org/10.3390/su11133576
APA StyleAndrade, J. J. d. O., Possan, E., Wenzel, M. C., & Silva, S. R. d. (2019). Feasibility of Using Calcined Water Treatment Sludge in Rendering Mortars: A Technical and Sustainable Approach. Sustainability, 11(13), 3576. https://doi.org/10.3390/su11133576

