Sign in to use this feature.

Years

Between: -

Subjects

remove_circle_outline
remove_circle_outline
remove_circle_outline
remove_circle_outline
remove_circle_outline
remove_circle_outline
remove_circle_outline
remove_circle_outline
remove_circle_outline

Journals

remove_circle_outline
remove_circle_outline
remove_circle_outline
remove_circle_outline
remove_circle_outline
remove_circle_outline
remove_circle_outline
remove_circle_outline
remove_circle_outline
remove_circle_outline
remove_circle_outline
remove_circle_outline
remove_circle_outline

Article Types

Countries / Regions

remove_circle_outline
remove_circle_outline
remove_circle_outline
remove_circle_outline
remove_circle_outline
remove_circle_outline
remove_circle_outline

Search Results (3,982)

Search Parameters:
Keywords = mortars

Order results
Result details
Results per page
Select all
Export citation of selected articles as:
59 pages, 18674 KB  
Article
Characterization and Predictive Modeling of Diatomite Mortar Performance: A Hybrid Framework Based on Experimental Analysis and Machine Learning Meta-Models
by Sihem Brahimi, Miloud Hamadache and Mhand Hifi
Buildings 2026, 16(7), 1281; https://doi.org/10.3390/buildings16071281 (registering DOI) - 24 Mar 2026
Abstract
Decarbonizing the construction sector requires high-volume replacement of Portland clinker with non-calcined supplementary cementitious materials (SCMs). This study investigates white cement pastes incorporating raw Algerian diatomite—a silica-rich biogenic mineral—at substitution levels from 40% to 95% (5% increments) and a fixed water-to-binder ratio of [...] Read more.
Decarbonizing the construction sector requires high-volume replacement of Portland clinker with non-calcined supplementary cementitious materials (SCMs). This study investigates white cement pastes incorporating raw Algerian diatomite—a silica-rich biogenic mineral—at substitution levels from 40% to 95% (5% increments) and a fixed water-to-binder ratio of 0.5. The target application is ultra-lightweight, multifunctional composites for non-structural uses such as decorative panels and partition elements. Increasing diatomite content progressively reduced bulk density from 1.483 g/cm3 (D40) to 0.557 g/cm3 (D95) and increased porosity. 28-day compressive strength decreased monotonically from 16 MPa (D40) to 2.4 MPa (D95) as clinker dilution intensified. Ultrasonic pulse velocity dropped from 6205 m/s to 1495 m/s, reflecting progressive pore development and confirming the material’s lightweight potential. Statistically significant strength gains beyond 28 days were recorded (+25.87% for compression, p-value<0.05), evidencing delayed pozzolanic activity. These results confirm that raw, non-calcined diatomite is a viable SCM for eco-efficient, low-density construction systems. To overcome the extrapolation instability of purely data-driven approaches, a Meta-Avrami Hybrid Framework was developed. It anchors Gradient Boosting residual learning to a sigmoidal Avrami hydration kernel. The model achieved high predictive accuracy (R20.999, RMSE0.010) under 10-fold cross-validation. Generalization was well-controlled, with a low overfitting gap (ΔR2=0.0226) and stable fold-to-fold performance (Std=0.0204). These metrics confirm suitability for unseen mix designs. This is particularly relevant for service-life assessment of partition panels and lightweight façade elements, where long-term performance guarantees are required. The physics-informed architecture ensures asymptotic strength stabilization up to a 10-year horizon (amplification ratios 1.03–1.05). This prevents the non-physical divergence observed in polynomial and power-law hybrids (ratios 1.36–1.70). The framework provides a reliable and interpretable tool for service-life design of sustainable low-carbon cementitious systems. Full article
(This article belongs to the Section Building Materials, and Repair & Renovation)
21 pages, 5701 KB  
Article
Accelerated Ageing of Blast Furnace Cement-Dolomite Mortars: Phase Changes, Microstructural Evolution, and Mechanical Performance
by Elena Sutormina, Marjan Marinšek and Anton Meden
Materials 2026, 19(7), 1283; https://doi.org/10.3390/ma19071283 - 24 Mar 2026
Abstract
Blast furnace cement-dolomite mortars prepared from commercial cement (CEM-III/B) containing ~75% of slag and natural dolomite were aged under accelerated conditions at 60 °C in 1 M NaOH for 0–24 months. The hydration products and microstructure features of the mortars were studied using [...] Read more.
Blast furnace cement-dolomite mortars prepared from commercial cement (CEM-III/B) containing ~75% of slag and natural dolomite were aged under accelerated conditions at 60 °C in 1 M NaOH for 0–24 months. The hydration products and microstructure features of the mortars were studied using XRD, TGA and SEM-EDS methods, with blast furnace cement paste for comparison. The results showed that the presence of dolomite enhanced slag hydration, as the carbonates released during dedolomitisation promoted Ca and Si dissolution from the slag grains. After prolonged ageing, a multi-rim structure was observed around the slag particles: the inner rim primarily consisted of a hydrotalcite-like phase mixed with C-S(A)-H gel, while the outer rims were richer in C-S(A)-H gel, with varying calcium content. Monocarbonate phase was additionally detected at the slag–paste interface in the presence of dolomite. The observed increase in mechanical strength during ageing had to do with two reasons: (i) the increase in hydration product content and (ii) the densification of microstructure due to the formation of calcium carbonate, which filled pores and microcracks and the possible carbonation of C-S (A)-H gel in the binding paste. Under the investigated alkaline ageing conditions, dolomite acts as a chemically active component rather than an inert filler, influencing both slag hydration kinetics and the composition of the resulting hydration products. Full article
(This article belongs to the Section Construction and Building Materials)
Show Figures

Graphical abstract

28 pages, 34091 KB  
Article
Effects of Titanium Gypsum and Flue Gas Desulfurization Gypsum on the Hydration and Mechanical Properties of Anhydrite–Phosphogypsum-Based Supersulfated Cement
by Youquan Xie, Li Yang, Xiaodong Li, Jiaqing Wang, Yanbo Li, Hao Zhou and Yueyang Hu
Materials 2026, 19(6), 1273; https://doi.org/10.3390/ma19061273 - 23 Mar 2026
Abstract
Supersulfated cement (SSC) is an environmentally friendly cementitious material with a low clinker content, in which industrial byproduct gypsum serves as the sulfate source, thereby enabling the valorization of solid waste. The hydration process, pore structure, microstructure, and hydration products were investigated using [...] Read more.
Supersulfated cement (SSC) is an environmentally friendly cementitious material with a low clinker content, in which industrial byproduct gypsum serves as the sulfate source, thereby enabling the valorization of solid waste. The hydration process, pore structure, microstructure, and hydration products were investigated using paste samples by means of isothermal calorimetry, X-ray diffraction (XRD), thermogravimetric analysis (TG–DTG), Fourier transform–infrared spectroscopy (FT-IR), mercury intrusion porosimetry (MIP), and scanning electron microscopy (SEM), while compressive strength was evaluated using mortar specimens. Compared with ordinary Portland cement (OPC), SSC offers clear advantages in reducing energy consumption and greenhouse gas emissions. In this study, the effects of titanium gypsum (TG) and flue gas desulfurization gypsum (FGD) on the hydration behavior, fluidity, mechanical properties, and microstructural evolution of an anhydrite (AH)–phosphogypsum (PG)-based SSC were systematically investigated. The results indicate that the incorporation of 11% TG and FGD mitigates the strong sulfate environment caused by the rapid dissolution of soluble AH, thereby regulating the hydration process. As the proportion of TG and FGD increased, the cumulative heat release within 72 h gradually decreased. When AH was completely replaced, the cumulative heat release of TG4 and FG4 decreased by approximately 19.7% and 28.6%, respectively. TG and FGD exhibited opposite effects on the fluidity of SSC while both promoting strength development. Among all mixtures, TG2 and FG2 showed the best performance, with the highest 28-day compressive strengths of 50.15 MPa and 51.95 MPa, respectively. Microstructural analysis reveals that differences in particle size distribution and dissolution kinetics among gypsums governed the sulfate release characteristics and slag activation mechanisms, thus leading to distinct hydration pathways, pore structure evolution, and microstructural densification. This study provides a theoretical basis for the efficient utilization of various industrial byproduct gypsums and offers important guidance for the controllable design of SSC performance. Full article
(This article belongs to the Special Issue Advances in Hydration Chemistry for Low-Carbon Cementitious Materials)
Show Figures

Graphical abstract

18 pages, 9265 KB  
Article
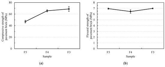
Geopolymer Based on Municipal Solid Waste Incineration Fly Ash, Waste Glass Powder, and Metakaolin: Compressive Strength and Microstructure of Mortar and Application in Pavement Concrete Bricks
by Juan Chen, Runjie Min and Zixiang He
Appl. Sci. 2026, 16(6), 3080; https://doi.org/10.3390/app16063080 - 23 Mar 2026
Viewed by 99
Abstract
In order to realize the large-scale resource utilization of solid waste in building materials, geopolymer mortar was prepared by alkali excitation technology with municipal solid waste incineration fly ash (MSWIFA), waste glass powder (WGP) and metakaolin (MK) as raw materials. After 28 days [...] Read more.
In order to realize the large-scale resource utilization of solid waste in building materials, geopolymer mortar was prepared by alkali excitation technology with municipal solid waste incineration fly ash (MSWIFA), waste glass powder (WGP) and metakaolin (MK) as raw materials. After 28 days of curing, compressive strength and heavy metal leaching concentration of MSWIFA-WGP-MK geopolymer mortar were measured. The microstructure and phase composition of geopolymer samples were examined using scanning electron microscopy, energy-dispersive spectroscopy and X-ray diffraction analysis. The results demonstrated that the compressive strength of mortar increased as the MSWIFA content decreased and the alkali activator (AA) content increased. The mortar containing 30% MSWIFA and 35% AA achieved the highest 28-day compressive strength of 70.9 MPa. The high compressive strength was strongly associated with the compact microstructure, as revealed through scanning electron microscopy. The heavy metals in MSWIFA were solidified well in geopolymer matrix, and the leaching concentrations of heavy metals were below the regulatory thresholds. Based on the test results of mortars, concrete pavement bricks were produced. The performance of the optimized concrete paving brick satisfied requirements of the specification. The results indicated that the MSWIFA and WGP can be utilized in building materials. Full article
(This article belongs to the Special Issue Advances in Sustainable and Green Building Materials)
Show Figures

Figure 1

17 pages, 6264 KB  
Article
Mechanism of the EICP Centrifugal Cementation Method for Short-Term Brick Crack Rehabilitation
by Zhongyuan Chen, Xiaolong Xu, Jianping Wei, Xueyan Guo and Xinyi Ke
Buildings 2026, 16(6), 1251; https://doi.org/10.3390/buildings16061251 - 21 Mar 2026
Viewed by 81
Abstract
Traditional enzyme-induced carbonate precipitation (EICP) technology for brick crack rehabilitation is commonly plagued by solution clogging and low repair efficiency. To overcome these technical limitations, a novel centrifugal cementation method was proposed in this study, with its core innovation lying in decoupling the [...] Read more.
Traditional enzyme-induced carbonate precipitation (EICP) technology for brick crack rehabilitation is commonly plagued by solution clogging and low repair efficiency. To overcome these technical limitations, a novel centrifugal cementation method was proposed in this study, with its core innovation lying in decoupling the EICP reaction from the masonry reinforcement process. After the complete reaction of urease with the cementation solution, a high-concentration calcium carbonate colloid was extracted via centrifugation, which was then mixed with fine sand to prepare a repair mortar for direct injection into brick cracks. The experimental results, based on a single-factor design with a fixed soybean powder concentration (180 g/L, peak urease activity), showed that the maximum flexural strength of the repaired bricks reached 2.31 MPa, recovering as much as 122.9% of that of the cracked unrepaired bricks. Furthermore, the flexural strength of the repaired bricks exhibited a significant positive correlation with the calcium carbonate content (20–100%) and curing time (3–28 days). Phase analysis indicated that the repair mortar was primarily composed of calcite and quartz. The high shear force generated by centrifugation triggered explosive nucleation of calcium carbonate, and spherical calcite particles were formed through Ostwald ripening, exhibiting a distinct characteristic of decoupling between the spherical morphology and calcite crystal phase. The centrifugal cementation method proposed in this study achieves excellent short-term repair effects for masonry structures under laboratory conditions, thus providing a novel technical approach for the crack rehabilitation of masonry structures. Full article
(This article belongs to the Section Building Materials, and Repair & Renovation)
Show Figures

Figure 1

15 pages, 8850 KB  
Article
Enhancing Self-Healing Performance of Cement-Based Materials Through Sodium Silicate and SAP Composite Incorporation
by Yumei Kang, Rongbao Wu, Yu Qiao and Chang Xu
Materials 2026, 19(6), 1249; https://doi.org/10.3390/ma19061249 - 21 Mar 2026
Viewed by 187
Abstract
Conventional admixture-based self-healing technologies are often limited by inadequate internal water supply and a scarcity of unhydrated gel particles. Therefore, this study proposes a new self-healing method that leverages the synergistic interplay between the chemical repair of sodium silicate and the physical clogging [...] Read more.
Conventional admixture-based self-healing technologies are often limited by inadequate internal water supply and a scarcity of unhydrated gel particles. Therefore, this study proposes a new self-healing method that leverages the synergistic interplay between the chemical repair of sodium silicate and the physical clogging of superabsorbent polymers (SAPs) to overcome the aforementioned limitations. The healing efficiency of cement mortar was assessed through compressive strength recovery, capillary water absorption, and ultrasonic pulse velocity (UPV). Microstructural evolution and healing mechanisms were elucidated using scanning electron microscopy (SEM) and X-ray diffraction (XRD). Results indicate that at an optimal dosage (0.5 wt.% for both admixtures), the healing performance is significantly enhanced: the compressive strength recovery rate reaches 103.1%, the capillary water absorption coefficient decreases by 16.57 × 10−3, and the UPV recovery achieves 95.4%. Microstructural analysis reveals that sodium silicate facilitates the reaction between Ca2+ and SiO32 ions, leading to the in situ precipitation of dense C-S-H gel at the crack interface, thereby enabling chemical repair. In contrast, SAP contributes to physical sealing via a swelling and release mechanism. Full article
(This article belongs to the Section Construction and Building Materials)
Show Figures

Figure 1

18 pages, 3901 KB  
Article
Study on the Influence of Sugarcane Bagasse Fiber on the Physical and Mechanical Properties of Lightweight Mortar
by Mo Zhou, Guimeng Ban, Qin Hu, Yuanming Luo, Jintuan Zhang, Tian Su, Zixing Chen, Wenkai Lei, Jingyun Zhang and Tong Han
Coatings 2026, 16(3), 384; https://doi.org/10.3390/coatings16030384 - 20 Mar 2026
Viewed by 166
Abstract
In the context of the “dual-carbon” targets and the development of green building materials, lightweight mortar has attracted considerable attention, owing to its low density and excellent thermal insulation properties. However, lightweight aggregates, such as vitrified microspheres, while effectively reducing mortar density, exhibit [...] Read more.
In the context of the “dual-carbon” targets and the development of green building materials, lightweight mortar has attracted considerable attention, owing to its low density and excellent thermal insulation properties. However, lightweight aggregates, such as vitrified microspheres, while effectively reducing mortar density, exhibit high porosity and weak interfacial bonding, which compromise mechanical performance. To address this issue, this study introduces sugarcane bagasse fiber (SBF) as a reinforcing material, with contents of 0%, 0.4%, 0.8%, 1.2%, and 1.6%. The effects of SBF on physical properties (consistency, density, water absorption) and mechanical properties (compressive strength, flexural strength, and tensile bond strength) were systematically evaluated. Furthermore, low-field nuclear magnetic resonance (LF-NMR) and scanning electron microscopy (SEM) were employed to analyze pore structure and interfacial transition zone (ITZ) characteristics at multiple scales. The results indicate that: (1) at low contents (0.4–0.8%), SBF was uniformly dispersed, improving matrix compactness; (2) compared with the control group, the 28-day compressive, flexural, and tensile bond strengths increased by 7.1%, 13.1%, and 25%, respectively; (3) NMR analysis revealed that the incorporation of SBF significantly increased the proportion of capillary pores, reduced total porosity, and enhanced mortar compactness, thereby improving mechanical strength; (4) fractal dimension analysis showed that contents of 0.4% and 0.8% increased structural complexity while reducing pore connectivity, leading to higher compressive strength; (5) SEM observations further demonstrated that the fibers provided bridging and anchoring effects within the ITZ, promoted the deposition of hydration products, and enhanced interfacial compactness. Full article
(This article belongs to the Section Environmental Aspects in Colloid and Interface Science)
Show Figures

Figure 1

13 pages, 2937 KB  
Article
Modeling the Mechanical Bending Behavior of Steel Fiber-Reinforced Self-Compacting Mortars: Analysis of Fiber Distribution Effect
by Hamza Mechakra, Lynda Kheddache, Brahim Safi, Alena Pribulova, Peter Futas, Kahina Chahour, Miktha Farid Alkadri and Beata Grabowska
J. Compos. Sci. 2026, 10(3), 168; https://doi.org/10.3390/jcs10030168 - 20 Mar 2026
Viewed by 204
Abstract
This paper presents an experimental and numerical study on the effect of steel fiber distribution on the flexural behavior of self-compacting mortars (FRSCMs). Six FRSCM mixtures were modeled in ABAQUS as prismatic specimens (40 × 40 × 160 mm3) subjected to [...] Read more.
This paper presents an experimental and numerical study on the effect of steel fiber distribution on the flexural behavior of self-compacting mortars (FRSCMs). Six FRSCM mixtures were modeled in ABAQUS as prismatic specimens (40 × 40 × 160 mm3) subjected to static three-point bending. The methodology involved two steps: (i) preparation of six mortar variants composed of three layers with different hooked steel fiber dosages (20, 30, and 40 kg/m3 for M20, M30, and M40) assembled in various configurations to study fiber distribution effects; (ii) numerical modeling of prismatic specimens in ABAQUS, using structured meshing with C3D8R hexahedral elements. Each layer was meshed separately with aligned nodes to ensure proper assembly. Our results highlight the strong influence of fiber distribution: despite identical fiber content (90 kg/m3 of hooked steel fibers), flexural strength varied across beam configurations. Layered casting led to an increase in flexural strength of up to 71.83% compared to the reference. The numerical predictions closely matched the experimental results, with relative errors ranging from 1% to 8.13% for most variants, demonstrating the reliability of the model. The larger discrepancies observed for specimens M324 and M342 are attributed to the limitation of the study to the elastic domain, as damage and plasticity effects were not included in the simulations. The distribution and orientation of fibers (particularly steel fibers) in a cementitious matrix, namely concrete or cement mortar, has been the subject of several studies aimed at determining the best mechanical performance of fiber-reinforced concrete. The proposed modeling approach of bending mechanical behavior allows us to predict the effects of fiber distribution in fluid mortars and reinforced self-compacting mortars, thereby reducing the need for extensive experimental testing. It also represents a significant improvement over existing approaches reported in the literature. Full article
(This article belongs to the Section Composites Manufacturing and Processing)
Show Figures

Figure 1

22 pages, 2795 KB  
Article
Industrial Mineral-Based Ca-Rich Fly Ash Cement Mortars: 24-Month Durability Under Marine Exposure
by Nikolaos Chousidis
Minerals 2026, 16(3), 328; https://doi.org/10.3390/min16030328 - 20 Mar 2026
Viewed by 149
Abstract
This study investigates the long-term durability performance of Portland cement mortars incorporating 5% and 10% Ca-rich fly ash under 24 months of natural marine atmospheric exposure. An integrated experimental methodology was applied, combining gravimetric steel mass loss, half-cell potential monitoring (SCE), water-soluble chloride [...] Read more.
This study investigates the long-term durability performance of Portland cement mortars incorporating 5% and 10% Ca-rich fly ash under 24 months of natural marine atmospheric exposure. An integrated experimental methodology was applied, combining gravimetric steel mass loss, half-cell potential monitoring (SCE), water-soluble chloride determination at reinforcement depth, carbonation depth evaluation interpreted through the diffusion-based square-root model (x = k√t), and pore structure characterization by MIP and SEM. After 24 months, cumulative steel mass loss decreased by 26.6% (FA5) and 33.6% (FA10) relative to the reference mortar. The water-soluble chloride concentration at reinforcement depth was reduced from 976 mg/L in CM-REF to 875 mg/L (−10.2%) and 805 mg/L (−17.5%) in CM-FA5 and CM-FA10, respectively. Carbonation depth after 24 months decreased from 5.97 mm in the reference mortar to 4.56 mm (−23.6%) and 2.48 mm (−58.5%) for FA5 and FA10, confirming a transport-controlled mitigation of carbonation progression. Within the investigated replacement range, moderate Ca-rich fly ash incorporation produces measurable reductions in chloride availability, carbonation rate, and cumulative corrosion damage under realistic coastal exposure conditions, demonstrating that limited clinker substitution can yield substantial long-term durability benefits. These findings demonstrate that Ca-rich fly ash incorporation (5%–10%) effectively enhances resistance to chloride ingress, carbonation progression, and reinforcement corrosion under natural marine exposure, supporting its use as a performance-oriented strategy for durable, low-clinker mortar design in coastal infrastructure. Full article
(This article belongs to the Section Clays and Engineered Mineral Materials)
Show Figures

Graphical abstract

15 pages, 3256 KB  
Proceeding Paper
Applications of Sustainable Bio-Degradable Agro-Waste (Rice Husk Ash) in Improving the Flow and Mechanical Properties of Ultra-High-Strength Mortar
by Gayathri Devi Muthiah Pillai, Karthikeyan Balasubramanian, Chandrasekar Sivaraman, Vedhaa Thanjavur Ananda Kumar, Rathnapriya Chidambaranathan and Vivek Subramanian Shanmugapuram
Eng. Proc. 2026, 130(1), 1; https://doi.org/10.3390/engproc2026130001 - 19 Mar 2026
Viewed by 54
Abstract
This study aims to develop a sustainable fibre-reinforced, high-strength mortar (UHSM) using Rice Husk Ash (RHA), cement, and steel fibres, with a view to developing a high-strength mortar that can be utilized for repair work in major industries where cracks occur due to [...] Read more.
This study aims to develop a sustainable fibre-reinforced, high-strength mortar (UHSM) using Rice Husk Ash (RHA), cement, and steel fibres, with a view to developing a high-strength mortar that can be utilized for repair work in major industries where cracks occur due to vibrations and thermal conditions. RHA was used in 20%, 30%, and 40% replacement levels of cement. Steel fibres were used at a constant dosage of 1.5%, and a very low w/c of 0.25 was adopted. Five different types of curing conditions, namely 1-day hot water curing, 1-day oven curing and 7-day normal water curing, 1-day oven curing and 28-day normal water curing, and 7-day normal water curing and 28-day normal water curing, were adopted. The mechanical behaviour of the mortar was evaluated using a compressive strength test and a split tensile test, and a statistical analysis was done using two-way ANOVA. Results revealed that the replacement levels up to 30% yielded better strength results, and there was indeed a significant effect of the curing conditions. Full article
Show Figures

Figure 1

21 pages, 7247 KB  
Article
A Study on Equivalent Elastic Properties of Crumb Rubber Concrete Based on a Mesoscale Numerical Homogenization Method
by Guang Yang, Yang Qi, Zhongcheng Ma, Leibin Zuo, Xiaofeng Liu and Jie Xu
Appl. Sci. 2026, 16(6), 2936; https://doi.org/10.3390/app16062936 - 18 Mar 2026
Viewed by 115
Abstract
Crumb rubber concrete (CRC), as a heterogeneous multiphase composite material composed of coarse aggregate, rubber particles, cement mortar, pores, and other constituents, is frequently regarded as a homogeneous material in engineering applications. This study employs numerical homogenization to compute equivalent mechanical parameters for [...] Read more.
Crumb rubber concrete (CRC), as a heterogeneous multiphase composite material composed of coarse aggregate, rubber particles, cement mortar, pores, and other constituents, is frequently regarded as a homogeneous material in engineering applications. This study employs numerical homogenization to compute equivalent mechanical parameters for CRC. By establishing a two-dimensional parametric random aggregate model combined with Monte Carlo simulations and finite element computations, it systematically analyzes the influence of rubber content (0%, 5%, 10%, 15%) and specimen size (50–150 mm) on CRC’s macroscopic equivalent elastic modulus. The research reveals that stable homogenization results, usable as macroscopic equivalent material parameters, are attained when the Representative Volume Element (RVE) size of the CRC model is ≥5 times the maximum aggregate particle size (dₘₐₓ). The equivalent modulus E decreases rapidly initially with increasing size, followed by a decelerated decline toward stabilization. A predictive model based on the fitted formula ln Eᵣ = kᵣ ln L + bᵣ (where Eᵣ denotes reduced modulus) enables elastic modulus prediction for large-scale components up to 600 mm. This study elucidates the macro-mesoscopic linkage mechanism governing CRC’s equivalent elastic parameters, providing a theoretical foundation for engineering structural design. Full article
Show Figures

Figure 1

25 pages, 5731 KB  
Article
Optimization of UHPC Mix Design Using Polyacrylonitrile Fibers and Coarse Aggregates for Cost Reduction
by Qinshi Hu, Changli Su, Jiupeng Zhang and Xiaokang Zhao
Buildings 2026, 16(6), 1200; https://doi.org/10.3390/buildings16061200 - 18 Mar 2026
Viewed by 118
Abstract
To reduce the production cost of ultra-high performance concrete (UHPC), this study incorporated polyacrylonitrile (PAN) fibers and coarse aggregates (CA) to develop a novel UHPC with both excellent performance and reduced cost. A two-stage mortar-concrete design approach was employed to optimize the UHPC [...] Read more.
To reduce the production cost of ultra-high performance concrete (UHPC), this study incorporated polyacrylonitrile (PAN) fibers and coarse aggregates (CA) to develop a novel UHPC with both excellent performance and reduced cost. A two-stage mortar-concrete design approach was employed to optimize the UHPC mix proportion. First, the mortar matrix was preliminarily optimized based on particle packing theory, and its strength development mechanism was analyzed. Subsequently, response surface methodology was applied to systematically investigate the effects of PAN fiber content, CA content, and superplasticizer (SP) dosage on the slump flow, compressive strength, flexural strength, indirect tensile strength, freeze–thaw resistance, and dynamic mechanical properties of UHPC. The entropy weight method was then adopted to determine the optimal mix proportion, followed by cost estimation. The results indicate that the optimal mortar matrix composition consists of 61.4% cement, 15% silica fume, and 23.6% fly ash, achieving a flow spread of 246 mm, a compressive strength of 117.2 MPa, and a flexural strength of 24.9 MPa. When the PAN fiber content, CA content, and SP dosage were 0.5%, 20%, and 3.8%, respectively, the prepared PAN-CA UHPC(PCUHPC) exhibited the best overall performance. Compared with conventional UHPC, the material cost was reduced by 81.7%, and the compressive strength-normalized cost decreased by 75.4%. The UHPC developed in this study, characterized by outstanding performance and significant cost advantages, provides a feasible solution and theoretical support for broader engineering applications. Full article
(This article belongs to the Special Issue Advanced Structural Performance of Concrete Structures)
Show Figures

Figure 1

15 pages, 4064 KB  
Article
Study on the Interlayer Contact Mechanism of Foamed Cold-Recycled Asphalt Mixture Under Static Loads
by Han Zhao, Jiangyu Liu and Junyan Yi
Coatings 2026, 16(3), 378; https://doi.org/10.3390/coatings16030378 - 17 Mar 2026
Viewed by 237
Abstract
To investigate the interlayer contact mechanism of foamed cold-recycled asphalt mixture under static loads, a three-layer asphalt pavement discrete element model (DEM) was established, with the surface layer composed of asphalt concrete-13 (AC-13), asphalt concrete-20 (AC-20) and asphalt-treated base-25 (ATB-25) foamed cold-recycled asphalt [...] Read more.
To investigate the interlayer contact mechanism of foamed cold-recycled asphalt mixture under static loads, a three-layer asphalt pavement discrete element model (DEM) was established, with the surface layer composed of asphalt concrete-13 (AC-13), asphalt concrete-20 (AC-20) and asphalt-treated base-25 (ATB-25) foamed cold-recycled asphalt mixture and cement-stabilized macadam as the base. Based on mortar theory, the pavement was divided into coarse aggregate, asphalt mastic and air void phases, and the Burgers Model, Linear Parallel Bond Model and Linear Model were adopted to characterize the bonding of asphalt-aggregate, cement contact interface and subgrade-surface layer, respectively. Static loads of 0.7 MPa, 1.1 MPa, 1.5 MPa and 1.9 MPa were applied to analyze the mechanical responses of asphalt-based and cement-based pavement systems from tensile strain, vertical compressive stress and vertical displacement. Results showed that mechanical indices of the pavement increase monotonically with static load and present obvious layered distribution. The cement-stabilized macadam base provides rigid support, significantly reducing tensile strain (TS) and vertical displacement (VD) of asphalt layers, while the asphalt-based system has flexible stress transfer and superior stress dissipation in the bottom layer. The two systems exhibit respective structural advantages, with the cement-based system outstanding in deformation control and the asphalt-based system suitable for flexible stress adaptation working conditions. Full article
Show Figures

Figure 1

21 pages, 4866 KB  
Article
Mechanical Behavior of Prestressed Concrete Cylinder Pipe Joints Under Rotation Action
by Yihu Ma, Haiyang Xie, Guanglei Chen, Deqiang Hu, Bin Li, Penglu Cui, Xueming Du, Hanying Wu and Kejie Zhai
Appl. Sci. 2026, 16(6), 2861; https://doi.org/10.3390/app16062861 - 16 Mar 2026
Viewed by 188
Abstract
To investigate the mechanical performance and failure modes of Prestressed Concrete Cylinder Pipe (PCCP) bell-and-spigot joints under conditions such as differential settlement, this study conducted a full-scale rotation test on a DN1400 PCCP joint and established a three-dimensional non-linear finite element model using [...] Read more.
To investigate the mechanical performance and failure modes of Prestressed Concrete Cylinder Pipe (PCCP) bell-and-spigot joints under conditions such as differential settlement, this study conducted a full-scale rotation test on a DN1400 PCCP joint and established a three-dimensional non-linear finite element model using ABAQUS. The experimental results indicate that when the relative rotation angle reaches approximately 1.92°, the primary failure mode is the slipping of the rubber gasket from the spigot groove, leading to sealing failure. Meanwhile, the strains in the concrete, mortar coating, and prestressing wires at the joint increase significantly with the rotation angle. The finite element simulation results align well with the experimental data, with an average error of 1.88%. Based on the validated model, a parametric analysis was performed on PCCP joints with diameters ranging from 1400 mm to 4000 mm. The study determined the ultimate relative rotation angle for different diameters based on the concrete visible crack criterion and revealed a significant size effect, characterized by a decrease in the ultimate rotation angle with increasing pipe diameter. These findings provide a theoretical basis for the design, construction, and safety assessment of PCCP pipelines. Full article
(This article belongs to the Section Civil Engineering)
Show Figures

Figure 1

18 pages, 6409 KB  
Article
Synergistic Effect of Waste Glass Powder and Metakaolin on the Microstructure and Mechanical Performance of Cement-Based Pastes and Mortars
by Magnolia Soto-Félix, Fatima J. Espitia-Vázquez, Miguel A. Avila-Rubio, Francisco J. Baldenebro-López, Caleb Carreño-Gallardo and José M. Herrera-Ramírez
Materials 2026, 19(6), 1140; https://doi.org/10.3390/ma19061140 - 15 Mar 2026
Viewed by 294
Abstract
The incorporation of supplementary cementitious materials (SCMs) is a key strategy for enhancing the performance and sustainability of cement-based systems. This research examines the mechanical behavior, microstructural evolution, and durability-related properties of cementitious materials incorporating waste glass powder (WGP) and metakaolin (MK) as [...] Read more.
The incorporation of supplementary cementitious materials (SCMs) is a key strategy for enhancing the performance and sustainability of cement-based systems. This research examines the mechanical behavior, microstructural evolution, and durability-related properties of cementitious materials incorporating waste glass powder (WGP) and metakaolin (MK) as partial replacements of Portland cement. Cement pastes were evaluated for compressive strength at 7 and 28 days, while microstructural analysis at 28 days employed gas adsorption and scanning electron microscopy (SEM). Based on the compressive strength performance of the cement pastes, ternary WGP–MK mortars were assessed for consistency, flexural and compressive strength, water absorption, and porosity at 28 and 60 days. Results indicate that MK accelerates early-age strength, whereas WGP enhances long-term performance and pore structure refinement. Binary and ternary systems exhibited reduced accessible pore volume, enhanced microstructural homogeneity, and lower water absorption with curing time. The findings demonstrate that WGP-MK blends support clinker reduction without compromising performance, advancing circular economy goals in construction. Full article
Show Figures

Graphical abstract

Back to TopTop