Next Article in Journal
Sustainability Assessment of Bioenergy from a Global Perspective: A Review
Previous Article in Journal
The Optimization of Emergency Evacuation from Nuclear Accidents in China
 
 
Font Type:
Arial Georgia Verdana
Font Size:
Aa Aa Aa
Line Spacing:
Column Width:
Background:
Article

Exploring the Role of the Economy in Young Adults’ Understanding of Sustainable Development

Department of Environmental and Life Sciences, Karlstad University, Universitetsgatan 2, 651 88 Karlstad, Sweden
*
Author to whom correspondence should be addressed.
Sustainability 2018, 10(8), 2738; https://doi.org/10.3390/su10082738
Submission received: 21 June 2018 / Revised: 31 July 2018 / Accepted: 1 August 2018 / Published: 3 August 2018
(This article belongs to the Section Sustainable Education and Approaches)

Abstract

The economic dimension is one of the central perspectives in both sustainable development and education for sustainable development. The role of the economy in sustainable development has been discussed extensively over the years and different views exist about how economic activities affect other sustainability dimensions. How young people view the relationships among economic perspectives and sustainable development seems to be an underemphasized perspective in sustainability education and underexplored in the field of sustainability education research. This study uses cluster analysis, which is an explorative approach, to identify and analyze young peoples’ views of the relationships between economic growth, economic development and sustainable development. Six hundred and thirty eight students (age 18–19) from 15 schools across Sweden responded to a questionnaire probing (1) views on these relationships, and (2) their environmental consciousness. Four clusters of students differing in their views on the economy in sustainable development were identified in the analysis: un-differentiating positive, nuanced ambivalent, two-way convinced, and critical. Further analysis indicated that some groups differed in their perception of the environmental dimension of sustainable development. Implications of these findings are discussed from the perspective of education for sustainable development.

1. Introduction

The role of the economy in sustainable development (SD) is debated in relation to its influence and impact on the environment and the development of society. More specifically, the idea of economic growth and economic development and their relationships to SD has been (and still is) a subject of debate (see e.g., [1,2,3,4,5,6,7,8,9]). Different views and interpretations exist on these relationships, partly depending on the actual meaning that individuals attribute to the concepts of economic growth, economic development, and SD, but also due to different ways of viewing relationships between human and environmental conditions (see e.g., [10]).
Economic growth and SD are regarded to be compatible processes by some, while others view current environmental damage as a consequence of their incompatibility [1,2,4,11]. According to some, economic growth could facilitate environmental sustainability (see a discussion in [8]), however, others consider economic growth in its current form to be a source of environmental unsustainability (see a discussion in [5,8,9]). From a social perspective, economic growth is regarded as necessary to increase human well-being or for lifting people out of poverty [12]. However, some argue that current economic growth patterns have not been sufficient for alleviating poverty for the poorest people [5].
The recently launched United Nations Sustainable Development Goals (SDG’s) highlight education as an important factor in the pursuit towards SD, and education for sustainable development (ESD) is included among the associated targets [13]. Recent research has demonstrated the importance of including critical perspectives in education on present ways of organizing socio-economic structures and the importance of encouraging democratic participation by citizens in political and economic decision-making (see e.g., [7,14,15,16,17]). Tensions between objectives in society that are related to economic and environmental sustainability are central in discussions concerning a sustainable future.
We are aware of few studies that address the role of the economy in relation to SD from the perspective of young people. The current study seeks to explore young people’s views on relationships between economic objectives and SD. More specifically, the aim is to identify and analyze Swedish young adults’ (age 18–19) views on the role of economic growth and economic development in relation to SD. An additional aim is to find out if different views can be related to differences in the students’ environmental consciousness. How students understand or view economy-SD relationships, and how these are dealt with in education, are underexplored areas in the field of educational research. Therefore, we discuss the findings in relation to their implications for ESD.

1.1. Sustainable Development

The concept of SD emerged based on a growing awareness that social and economic progress need to be balanced with stewardship of natural resources and environmental concerns [18]. As such, the nature of the SD concept is broad and comprehensive. Thus, there is a variety of interpretations and opinions on the meaning of SD and how it could or should be approached. This may arise out of dissenting ways of viewing, understanding, and/or valuing natural and human conditions and their relationships.
In 2008, a review of multidisciplinary literature on SD was performed by Jabareen [19], in which different interpretations were categorized into independent concepts by conceptual analysis. For the purpose of this paper, two of the main interpretations of the SD concept are introduced here. These illuminate two different principal meanings that the economy has within the concept of SD. In the concept of the ethical paradox, the term sustainability originates from the ecological sphere and development relates to human development based on social and economic conditions. The paradox arises from maintaining something (i.e., nature), while at the same time, changing something (i.e., human socio-economic conditions); the ethical dilemma here is that it has hitherto been difficult to develop economically without environmental modification. Even though the literature on economic growth and the environment is extensive, disagreements about the relationships between these persist [2]. The concept of integrative management is a different interpretation of the SD concept [19]. In this notion, there need not be conflict between developmental and environmental objectives. The challenging part is to find ways to integrate aspects of environmental protection, social development and economic growth in planning and management [19].
Different viewpoints of SD were identified and categorized by Hopwood et al. [5] into three broad categories, Status quo, reform, and transformation. Sauvé [20] presented a similar typology, addressing the relationships between development goals that are related to the economy and associated conceptions of the environment. One category identified by Hopwood et al. [5] includes those who recognize that there is a need for change; however, the change can be managed within existing systems of society and economy (Status quo). Many in this category have weaker concerns for the environment and for social injustice in terms of problems that are caused by poverty or unequal distribution of political power, and consider economic growth to be an important part of the way forward in dealing with those problems. Sauvé [20] described a similar conception in which the environment is considered as a resource to be developed and managed. The second category that was identified by Hopwood et al. includes those who acknowledge accelerating problems but do not consider them to be caused by the nature of current structures (Reformers). Rather, the problems are regarded as being caused by a lack of balance, knowledge, and information. Technology is considered to be an important tool for environmental protection and human social and economic development. The general standpoint is that some changes are necessary, however, these will happen over time without fundamental changes to existing social and economic structures. The third category (Transformation) includes those that consider a transformation of societal structures to be necessary in order to form a new human relationship with the environment [5]. Some focus specifically on environmental concerns, some on socio-economic concerns, while some consider both as being important. The general viewpoint is the need for a change of systems, based on reducing exploitation of both people and the environment [5].

1.2. Economic Growth, Economic Development and Sustainable Development

In the early 1900s, economic expansion was viewed as the key to welfare, and environmental problems was not an issue at all [21]. For quite some time, economic growth was seen as both the means and the goal of development [18]. In the 1960s and 1970s, environmental concerns grew strong because environmental problems such as pollution had become an issue [22]. By this time, there was a polarization between people who advocated the notion of economic growth and people who opposed it [21]. The emergence of the SD concept was a response to an increased awareness of the tensions between the environment and economic growth [11]. The discourse became more nuanced with a focus on economic development, and ecological economic theories arose that objected to the idea of limitless economic growth [21].
The term economic growth usually refers to growth in the production of the economy, measured as Gross Domestic, or Gross National, Product (GDP or GNP). The growth-environment issue concerns relationships between growth in the production of the economy and growth as an increase in the physical quantity of resources going through the economy, the latter causing the environmental problems of today [2]. Economic development is a related term that may be associated with different meanings or interpretations. Development is, according to Ekins [2], “a process which results in the increased welfare of the group under consideration, perhaps with special reference to the least well-off members of the group.” (p. 61). Daly [1] refers to development as “qualitative improvement or unfolding of potentialities” (p. 1), while growth is defined as “quantitative increase in physical scale” (p. 1).
Whereas the perspective of Ekins [2] is that environmentally sustainable economic growth is theoretically possible (although hitherto never achieved), Daly argues that it is not, because the economy is a sub-system of a finite global ecosystem. Daly’s point of view, however, is that a qualitative development of non-growing systems is possible to achieve, while using the whole planet Earth as an example of a developing, yet non-growing, system.

1.2.1. Economy and Environmental Sustainability

According to Costanza et al. [9], increasing economic activity has resulted in the depletion of natural resources. Increasing wealth leads to increasing consumption, which puts pressure on nature in terms of increased CO2 damage and mineral depletion, although there are differences between countries relating to the income level of the individual countries [8]. However, environmental problems that are related to economic activity are caused by different mechanisms for different societies. Overuse of energy and fuel are problems that are driven by affluence and over-consumption in wealthier countries, while hard conditions for the poor have other kinds of impacts on the environment, such as soil erosion and deforestation in developing countries [6]. Environmental problems imply particularly severe consequences for people in poverty because those people are more directly dependent on natural resources as a source of income [6,23].
Two broad tracks of economic approaches in relation to SD exist, which differ in their views on how economic and environmental conditions relate [11]. According to environmental economists, there is commensurability between environmental and economic aspects, meaning that it is possible to put a monetary (or other unidimensional) value on environmental indicators. Environmental economists regard weak sustainability to be the way towards the operationalization of SD [11]. Weak sustainability is based on the view that human-made capital can substitute for or replace natural capital [4,24]. Ecological economists acknowledge the existence of incommensurability between environmental and economic aspects, and strong sustainability is applied at least to some extent, viewing some kinds of natural capital as not directly substitutable by human-made forms of capital (see discussion on complementarity by Daly [24]). Therefore, these must be preserved [4,25].

1.2.2. Economy and Social Sustainability

For many years, the GDP has been used as a measure of the national success of a country. This has met critique because the GDP does not indicate life quality and living standards [9,26,27]. One reason is that GDP accounts for neither environmental impacts [9,11], nor social costs and income inequalities [9]. Nevertheless, encouraging GDP growth has been prioritized in national policies in almost all countries [2,9]. Costanza et al. [9] argue that this emphasis gives rise to environmental and social instability in developed countries. Research indicates that the GPI (Genuine Progress Indicator, which is a metric of economic welfare that accounts for a number of social costs and benefits) follows GDP up to a certain level, and thereafter, the GPI starts to decline [27]. Moreover, inequalities have increased in many places around the world, both between and within countries [5,7], although fewer people live in extreme poverty today than was the case a few decades ago [28]. Thus, economic growth does not automatically result in human progress [29] (pp. 122–123).

1.3. Education for Sustainable Development

Solutions to sustainability issues are rarely simple and easy to agree on. Instead, the relationships between the dimensions of SD are complex and underlying conflicts of interest may prevail. Affective aspects such as values and emotions may also affect how different solutions are viewed. In the UN Decade of ESD, UNDESD [18], perspectives of the environmental, social, and economic dimensions are described that should provide content to sustainability education. The economic dimension is described according to the following, addressing the perspectives of economic growth as well as economic development (p. 14): “a sensitivity to the limits and potential of economic growth and their impact on society and on the environment, with a commitment to assess personal and societal levels of consumption out of concern for the environment and for social justice”. The recently launched Global Action Programme (GAP) emphasizes that ESD should empower learners “to take informed decisions and responsible actions for environmental integrity, economic viability and a just society” [30] (p. 12). The GAP highlights young people as central in building a sustainable future. Moreover, ESD is defined as “holistic and transformational” (p. 12), implying that teaching should include aspects of the environmental, social and economic dimensions of SD and their interrelationships, which was pointed out as being essential also during the UNDESD [18] (pp. 15, 18).
Holistic Approaches in Education for Sustainable Development
A holistic approach, in which environmental, economic, and social aspects of sustainability issues are integrated, is emphasized as essential in ESD teaching and learning. Interdisciplinary teaching, building on collaboration among teachers from different disciplines, are promoted as a fruitful way to integrate environmental, social, and economic aspects on sustainability issues in education [31,32,33]. Feng [32] notes that achieving it at the practical level is often a challenge. Relating to the three-dimensional underpinnings of SD, a study by Dyment et al. [34] from Tasmania found a focus on the environment in their sustainability education, which was also identified in research from other contexts. In Sweden, Öhman and Öhman [35] studied how relations between sustainability dimensions were established in upper secondary school practice. Their findings indicated that the concept of SD was interpreted from a harmony perspective by the students, and that tensions between environmental, social, and economic dimensions of sustainability were not made apparent. A similar conclusion concerning tensions within the SD concept was drawn by Summers et al. [36] in their study from UK. However, Walshe [37] found that during a one-year geography course in United Kingdom (UK), the students developed a more holistic view of SD and became more able to recognize tensions.
Economic activities affect and are affected by social and environmental dimensions in an intertwined and dependent way. Davies [38] argues for the inclusion of economic issues in citizenship education and notes that opportunities for influencing economic policies by citizens in society is restricted by limited understanding. Relating to this, Löfström and Van den Berg [14] discuss the importance of educating students about the variety of options that is available in economic decision-making, and what influence the decisions may have on the society. Tensions between environmental and economic perspectives were investigated in a study by Sternäng & Lundholm [39]. They investigated Chinese 15–16 year old students’ reasoning and decision-making related to a sustainability dilemma concerning environmental protection and economic growth. Their findings indicated that consideration and concern for the environment was not a prioritized perspective in the students’ decision-making. In a recent study, we found that Swedish upper secondary students’ priorities concerning the dimensions of SD varied between different situations, and whether economic decisions were taken despite conflicting with the needs of the environmental and social dimensions or in isolation [40]. A large-scale study by Borg et al. [41] identified ambiguous perceptions among upper secondary teachers in Sweden of the role of the economy in SD.
Dyment et al. [34] discuss the importance of exploration and critical analysis of economic systems and their impact on environmental and social dimensions. In a similar way, Sternäng and Lundholm [39] argue for the inclusion of economic perspectives in environmental education in a way that addresses environmental benefits and costs in addition to social benefits. According to Öhman and Öhman [35], ESD should offer opportunities for students to encounter the tensions and conflicts that are embedded in SD, as a way to prepare them for life outside school. Our point of departure is that if ESD aims to strengthen students’ knowledge base, decision-making abilities, and critical thinking skills to develop action competence in relation to SD, it is important to deal with not only the environmental, social, and economic issues in isolation, but also their relationships, in various sustainability contexts. The current study may contribute with perspectives on students’ views on these relationships. Diverging ways of viewing these relationships may affect the ways students approach and deal with learning content in the context of SD. Therefore, we discuss the implications for ESD in relation to the findings.

1.4. Theoretical Framework and Aim of the Study

The current study centers on approaches to content in ESD and concerns specifically the holistic perspective. In our understanding, holism does not only include aspects of environmental, social, and economic dimensions into teaching and learning, but also an exploration of the interrelationships between them to analyze and critically investigate sustainability issues. Two different interpretations of SD, the ethical paradox and the integrative management approach [19], form a theoretical base. Within these views, the economy has different roles for SD. In a similar way, theories from ecological and environmental economics are applied to find out whether students view economic growth, economic development, and SD as compatible or not. The current study aims to investigate and analyze students’ views on the relationships between economic growth, economic development, and SD. As indicated in the literature, different views exist on whether economic objectives are compatible with the goal of environmental sustainability. Therefore, it is of interest to investigate whether students with different views differ in their environmental consciousness. The current study can contribute to the dialogue concerning how young adults’ views of the role of the economy in SD can affect and be applied in ESD.
The following research questions are starting points for the study:
-
What are Swedish upper secondary students’ views of economic growth and economic development in relation to sustainable development?
-
Can dissenting views on these relationships be related to differences in students’ environmental consciousness?

2. Methods

2.1. Instruments

In order to answer the two research questions, a two-step procedure was applied in the analysis. In the first step, we used an explorative approach to find clusters of views in the data. This approach was not based upon any predefined assumptions concerning categories in the data. In the second step, we applied multivariate analysis of variance to test whether the identified clusters differed in their environmental consciousness. The data was acquired using three items (Q1, Q2, and Q3, see below) investigating aspects of economic growth and economic development in relation to SD (first step), and one part of a questionnaire instrument probing young adults’ knowingness, attitudes, and behaviors (17 items) in relation to the environmental dimension of SD (second step).
  • Q1: I think that economic growth is necessary for sustainable development
  • Q2: I think that economic growth is a threat to sustainable development
  • Q3: Economic development is necessary for sustainable development
The first two separate economic items probed beliefs as to whether economic growth is necessary for, or a threat to SD, and the third item probed knowing as to whether economic development is necessary for SD. These three items were formulated in terms of ‘necessary’ or ‘threat’, in order to make the meaning appear more clearly, which facilitates the discrimination of responses. The respondents marked the level of agreement on a five-point Likert scale, ranging from (1) Strongly disagree, to (5) Strongly agree, with an additional Do not know option available.
The items in the part probing environmental knowingness, attitudes and behaviors originate from a larger questionnaire, which investigates students’ sustainability consciousness in terms of knowledge, attitudes, and behaviors in relation to environmental, social, and economic dimensions of SD, see a detailed description in [42] and Gericke et al. [43]. Definitions of the SD dimensions found in transnational policy agreements by United Nations Educational, Scientific, and Cultural Organization were used to categorize items into environmental, social, and economic dimensions (UNESCO). For the purpose of this study, only the items investigating environmental knowingness, attitudes, and self-reported behaviors were used. The Framework for the UN DESD International Implementation Scheme [18] (pp. 19–20) outlined the sub-themes of the environmental dimension of SD as natural resources (energy, water, biodiversity, and agriculture), climate change, sustainable urbanization, rural development, and disaster prevention and mitigation.
The knowingness-, attitude-, and self-reported behavior-items had a structure and Likert scale identical with the economic items that are described above. Examples are presented below in order to provide a sense of the different constructs and associated phrasings. The following abbreviations are used: K = Knowingness, A = Attitude, B = Self-reported behavior. All of the items are provided in the Appendix A.
-
Preserving the variety of living creatures is necessary for sustainable development (preserving biological diversity). (Env_K)
-
I think that it is important to take measures against problems which have to do with climate change. (Env_A)
-
I have changed my personal lifestyle in order to reduce waste (e.g., throwing away less food or not wasting materials). (Env_B)
-
For a more detailed description of the different components and constructs of the instrument, see Gericke et al. [43].

2.2. Participants

The current study is part of a larger investigation, focusing on effects of the ESD implementation in Swedish schools at different levels of the school system. Therefore, the sample includes two groups of grade 12 students (aged 18–19 years) in science or social science programs. The first group are students who attend schools with an ESD profile (62.3 per cent of the sample) and the other group are students who attend schools without an ESD approach (37.7 per cent of the sample). The latter group was selected to resemble the first group as close as possible, except for the ESD approach. Differences in terms of their sustainability consciousness were investigated in a previous study [42], and are no focus in the current study. However, Table 2 in the Results section shows the distribution of the sub-groups within the results.

2.3. Collection and Analysis of Data

After piloting the questionnaire among two different groups of students (N = 45 in total) and subsequent revising, the questionnaire was distributed to the selected groups of students. Fifteen schools from different parts of Sweden were represented in the sample and there was a mix of big and small schools from different socio-economic conditions. The students (N = 638) completed an online version of the questionnaire [44] (a paper version was used where computers were not accessible). The process of data collection is described in detail in [42].
The data was imported into IBM SPSS Statistics version 20 and analyzed further. A correlation test was performed to check correlation between the three items on economic growth and economic development as either necessary or a threat to SD, as indicated by the Pearson r. A cluster analysis was then made based on the three economic items to identify clusters of respondents with similar views of the relationships between economic growth, economic development, and SD. Cluster analysis is a multivariate technique in which objects (here: respondents) are grouped in a way in which each object is similar to others in the cluster on a defined set of characteristics [45]. It is an appropriate technique when the aim is to identify the underlying structure in a dataset. Thus, it is appropriate when the aim is to identify groups and useful e.g. for the purpose of developing hypotheses concerning the nature of the data or when examining previously formulated hypotheses [45]. As discussed in the theoretical background, not much research has concerned young people’s or students’ understanding concerning the relationships between economic objectives and SD.
For the purpose of this study, an agglomerative hierarchical analysis procedure was conducted [45]. Key issues to consider in the analysis were in what way similarity should be measured, in what way clusters should be formed and how to decide the number of clusters that best represent structure [45]. After exploring the data by using different cluster analysis techniques, we decided to use the method of average linkage, which means that similarity was measured as the average distance from all the objects in one cluster to all objects in another. By this approach, clusters with small variances tend to be combined [45]. Another consideration was how to measure distance, i.e. proximity of each point to the others. By using squared Euclidean distance, similarity was represented by the sum of squared distances without taking the square root. Thus, greater weight is put on objects that are further apart. Variables were standardized in order to eliminate the effects due to scale differences across and within variables, since many cluster analyses based on distance measures are sensitive to differing scales or magnitudes among variables [45]. After analyzing the hierarchical tree that was formed in the cluster analysis, we selected a four cluster solution. Choosing five clusters would result in one cluster including only 2.5 per cent of the sample, which was not considered meaningful. According to Hair et al. [45], extremely small clusters should be eliminated. Additionally, the clusters should differ across the set of variables and the solutions should have theoretical validity based on external validation, which we considered true for the four cluster solution.
A second analysis was made to investigate whether there were differences between the four clusters of students regarding their environmental consciousness, investigated as knowingness, attitudes, and behaviors (KAB). Reliability analysis was made in terms of Cronbach’s Alpha, to measure the internal consistency of the sub-constructs and the multivariate composite construct of environmental knowingness, attitudes, and behaviors. Possible mean differences between the clusters of students were tested based on multivariate analysis of variance (MANOVA) and subsequent reported analysis of variance (ANOVA). MANOVA was considered to be suitable since we had three outcome variables (environmental K, A, and B) and the three constructs were found to correlate moderately. In addition, the error rate is controlled by not performing several separate tests [45]. Reliability and correlation analyses are reported in the Results section. The ANOVA indicates differences between groups within each sub-construct. Differences were regarded significant in all the analyses if p < 0.05 and were followed up by calculating the magnitude of effects in terms of Cohen’s d. The size of an assessed effect is usually regarded small if 0.2 ≤ d < 0.5, medium if 0.5 ≤ d < 0.8, and large if d ≥ 0.8, however, the measure should be interpreted in the context of the particular investigation, e.g., measurement instruments and the norms of the research area [46].

3. Results

The results are divided into two sections. The first reports results from the explorative cluster analysis, and the second reports results from the MANOVA.
The cluster analysis was made using the three items concerning economic objectives in relation to SD:
  • Q1: I think that economic growth is necessary for sustainable development
  • Q2: I think that economic growth is a threat to sustainable development
  • Q3: Economic development is necessary for sustainable development
Pearson’s correlations indicated that the items Q1 and Q2 did not correlate as highly as expected (r = −0.467, N = 540), which suggests that a proportion of students may have perceived the relationships between the factors in more advanced or nuanced ways. For Q1 and Q3, r = 0.559 (N = 569), and for Q2 and Q3, r = −0.338 (N = 541).
A reversed version of the scale of item Q2 was used in the cluster analysis. Had the scale of options for each item have had different directions, the analysis would have produced incorrect results, as the largest discrepancies would have been processed as the most similar.
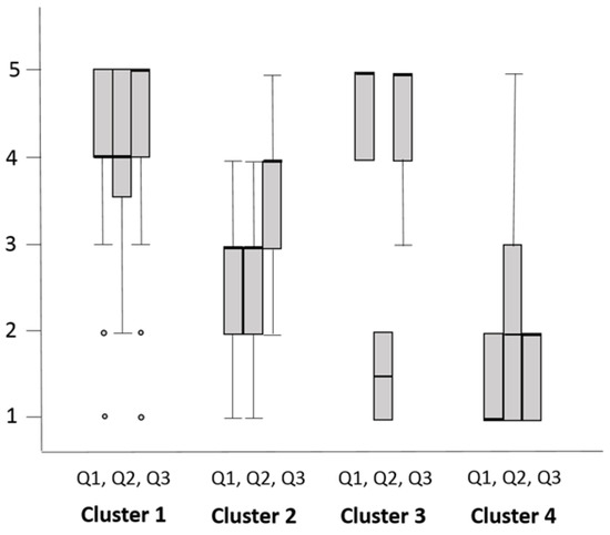
Four clusters of students were identified in the analysis, which were inspected based on their responses to the economic growth and economic development items. Figure 1 presents their responses to the items Q1, Q2 (in its reversed version) and Q3. These one-dimensional representations are simplifications since they do not depict the three-dimensional pattern of responses, however, they illustrate how each cluster responded to each item. Means and standard deviations are indicated in Table 1.
The clusters were labeled based on their responses to the three items. A description of the characteristics of each cluster is outlined below.
Cluster 1: The un-differentiating positive ones (57 per cent). This large group of students agreed to a high extent regarding economic growth as necessary for SD (item Q1). The vast majority disagreed that economic growth is a threat to SD, as indicated by their responses to Q2. Economic development was regarded even more necessary for SD, as indicated by their responses to Q3. However, the boxplots for Q1 and Q3 were quite similar, suggesting that most students in this group view them as equally important for SD. Possibly, some of them do not discriminate between the concepts, however, the mean for economic development was slightly higher, as indicated in Table 1.
Cluster 2: The nuanced ambivalent ones (30 per cent). This relatively large group of students generally agreed to economic development as necessary for SD (item Q3), and only a smaller proportion considered otherwise. The tendency indicated a general disagreement to the statement that economic growth is necessary for SD (item Q1). The response pattern to Q1 and Q3 suggest that this group of students allocated different meanings to the concepts of economic growth and economic development. A large proportion neither agreed nor disagreed to the item Q1. Also, for Q2, a large proportion was neutral, however, there were no strong disagreements and the center of gravity indicated a tendency to agree that economic growth is a threat to SD, whereas economic development was considered necessary.
Cluster 3: The two-way convinced ones (5 per cent). A clear two-sidedness characterized this smaller group regarding their views on the relationships between economic growth and SD. This group clearly viewed economic growth as both necessary and a threat to SD, as indicated by their responses to Q1 and Q2, respectively. Most of them reported strong agreement concerning economic development as necessary for SD (item Q3). However, the response pattern for this item in comparison to item Q1 signals that a proportion of the students thought differently about the role of economic growth when compared to economic development for SD, although the mean is the same.
Cluster 4: The critical ones (8 per cent). All of the students in this group disagreed to the statements concerning economic growth and economic development, as necessary for SD. A larger proportion strongly disagreed to Q1 than to Q3, indicating that a part of the students disagreed less strongly to economic development as necessary for SD when compared to economic growth, which is also confirmed by a higher, but still low, mean value for Q3. The majority agreed with Q2, stating that economic growth is a threat to SD, however, the whole scale was used in response to this item.

3.1. Cluster Characteristics

Table 2 provides an overview of the sub-group distribution for the four clusters. The un-differentiating positive ones was by far the biggest group of students, followed by the nuanced ambivalent. Regarding possible differences related to the sub-groups of the sample (gender, school type, and educational program), most differences related to the gender distribution. Nearly half of the female students belonged to cluster 1, while nearly 2/3 of the male students belonged to cluster 1. Nearly 2/5 of the female students were in cluster 2, while among the male students, only about 1/5 were found there. Moreover, the proportion of ESD-students is larger than the proportion of REF-students within cluster 3. 17.2 per cent has either not answered, or marked “Don’t know” to one or more than one item, indicating that a substantial proportion of students feel insecure or unknowing of if and how the processes of economic growth and/or economic development relate to SD.

3.2. Environmental Consciousness of the Clusters

Finally, the multivariate analysis of variance was performed to test if there were differences between the clusters concerning their environmental consciousness as defined by knowingness, attitudes, and behaviors (KAB). Reliability was tested initially, which indicated a lower internal consistency for the sub-scales of knowingness and attitudes when compared to behaviors and the whole scale, see Table 3. Pearson’s correlations between the three sub-scales of knowingness, attitudes, and behaviors varied within the range of 0.33 ≤ r ≤ 0.58. No significant differences were found in the variance-covariance between the groups (Levene’s test and the Box M test non-significant at the level of p < 0.05).
Using Pillai’s trace, the multivariate analysis indicated a significant difference in environmental consciousness between the clusters, V = 0.062, F(9, 1545) = 3.635, p = 0.000, partial η2 = 0.021. Inspection of the separate univariate ANOVAs showed that significant differences were found within the sub-scales of attitudes (F(3, 515) = 5.363, p = 0.001, partial η2 = 0.030) and behaviors (F(3, 515) = 3.197, p = 0.023, partial η2 = 0.018), but not within knowingness (F(3, 515) = 0.579, p = 0.629, partial η2 = 0.003). Univariate ANOVAs, including Post Hoc tests using Hochberg’s GT2, were made to find out whether cluster means differed within the sub-scales of attitudes and behaviors (Table 4). Within attitudes, the means for clusters 1 and 4 differed significantly, as did the means for clusters 3 and 4. No significant differences were found among the pairwise comparisons within the behavioral sub-scale.
To summarize, the findings from the explorative cluster analysis indicated the existence of four clusters in the data. These groups of students all had a characteristic view of the relationships between the processes of economic growth, economic development, and SD. Analyzing the ways that the different clusters related economic growth and economic development to SD, resulted in a labeling of the four clusters into four descriptive denotations, which are discussed one by one in the next section. Starting from a vague hypothesis that at least two groups of students would exist in the data, one with positive and one with negative beliefs concerning the relationships between economic growth, economic development, and SD, a more complex picture has emerged of the different ways students relate economic objectives and SD. In addition to the two assumed groups, two other groups emerged, whose response patterns suggest a more nuanced and complex view on the concept of SD.
The findings from the multivariate analysis indicated that the clusters differed in their environmental consciousness. The differences could be allocated to the attitudinal and behavioral domains, which indicated similar knowledge concerning the environment but different ways of reacting towards it. A deeper look revealed that cluster 4, the critical ones, differed in their environmental attitudes from both cluster 1, the un-differentiating positive, and cluster 3, the two-way convinced, which was indicated by a significantly higher mean value, with a medium, close to large, effect size.

4. Discussion

The results of this study reveal the variety of viewpoints that exist among young people in Sweden concerning the relationships between economic objectives in society and SD. The findings may reflect Swedish young peoples’ views regarding issues of injustice or resource distribution in the world. The pattern of viewpoints that emerged may be typical for societies similar to Sweden, i.e., a Western society with a long history of a strong economy, a high general level of education and good public health. As such, the findings are not applicable to all contexts, but they might be extended to similar societies. Comparative studies with countries in other cultural contexts, however, would be of interest.
The next section discusses the clusters one by one, followed by a discussion of implications for education and methodological reflections.

4.1. Students’ Views of Economy-Sustainability Relationships

The largest group of students was labeled un-differentiating positive. They displayed similar patterns of responses to the two statements about economic growth and economic development and broadly agreed that economic growth and economic development are necessary for, and not a threat to, SD. This group showed less concern for the environment, as indicated by a lower mean for environmental attitudes compared to two of the other groups. Significant differences, however, were only found in relation to cluster 4 (Table 4). Their broad agreement that economic development is necessary for SD indicates that they are aware of the social dimension of SD. Clearly, they see no conflict in sustaining the environment and at the same time growing and developing the economy and wellbeing as proposed in the concept of integrative management of SD [19]. Having such faith in the way that the economy can contribute to other sustainability dimensions suggests that the views among this group of students are based upon a weak sustainability perspective (e.g., [11]).
We labeled the second largest group of students as nuanced ambivalent. This group of students was quite neutral to economic growth and economic development as necessary for SD. However, they displayed very consistent response patterns. The general tendency was to disagree that economic growth is necessary for SD and to agree that economic growth is a threat to SD. This group indicated a tendency to agree to economic development as necessary for SD, which suggests that they differentiate between the concepts of economic growth and economic development and that they acknowledge the social dimension of SD. No significant differences existed between this group and other groups in their environmental attitudes and behaviors. However, their agreement with economic growth as a threat to SD indicates an awareness of tensions that is inherent in the concept of SD in line with the concept of the ethical paradox [19]. Clearly, they acknowledge challenges that are related to economic growth, but may not consider fundamental changes to current social and economic structures as needed for dealing with them.
The smallest group of students identified by the cluster analysis was labeled two-way convinced. These students displayed a clear two-sidedness concerning the stances to economic growth, considering it both necessary for and threatening to SD. This group of students was, to some extent, more skeptical to economic development than to economic growth for SD. Some of them may not be sure about the meaning of the term economic development, or they may allocate stronger intrinsic value to the process of economic growth, in line with Friman’s [21] discussion of economic growth as a goal rather than a means. When considering economic growth at the same time threatening to SD suggests an awareness of the economic-environmental tensions within the discourse of SD, as identified in the view of the ethical paradox by Jabareen [19]. The two-way convinced pattern of responses suggests that the students consider current economic systems as unsustainable, although they did not display a strong environmental concern when compared to the other groups. Possibly, these students differentiate between the different implications of economic growth for different parts of the world, which is in line with the reasoning of Costanza et al. [9] and Mustunsir [12]. It is possible that they consider current economic systems to be unsustainable from a socio-economic point of view rather than from an environmental point of view.
Students identified as the critical ones generally disagreed with both economic growth and economic development as necessary for SD, with the strongest disagreements directed towards growth. A large proportion of this group considered economic growth as a threat to SD, although the whole scale of options was used (Figure 1). A possible interpretation is that they consider economic growth and economic development as non-compatible with the goal of environmental and/or social sustainability. As seen from the analysis of environmental knowingness, attitudes and behaviors, they displayed the strongest environmental concern as compared to other groups (Table 4). If this is the case, they clearly acknowledge the ethical paradox, as described by Jabareen [19]. Another possibility is that these students are not aware of the multidimensional nature of the concept of SD. They may perceive SD as a strictly environmental concept. If so, they would not consider economic growth, economic development, and SD to relate theoretically. If this is the case, then the self-explanatory response is that neither economic growth nor economic development are necessary for SD. However, simultaneous consideration of economic growth as threatening to SD suggests an acknowledgment of some relationship between economy and SD. The views among the young people in this group point towards a transformation and strong sustainability perspective, viewing change of current systems as necessary for SD with specific reference to environmental sustainability.
A conclusion from the results of this study is that different conceptions and different views exist when it comes to understanding the processes of economic growth, economic development, and SD. Clearly, some students are not aware of the differences between economic growth and economic development. Moreover, the implications of the two may be considered to be different in different parts of the world. Some students equate SD to sustaining the environment. Others are aware of the environmental, economic and social dimensions of SD. However, they view their interaction in different ways: either students make a harmonious interpretation where the challenges are to find ways to integrate environmental, social, and economic aspects, or students are aware of conflicting perspectives within the concept of SD. The latter makes way for understanding that the way towards SD requires the continuous consideration and/or discussion of different perspectives, interests and agendas.

4.2. Implications for ESD

According to Sauvé [20] (p. 28), diversity (among educators) can be “considered as ‘fuel’ for critical reflection, discussion, contestation and evolution”. In a similar way, diverse views among students can be a resource in teaching and learning. According to Wals and Jickling [47] (p. 222), “where different ways of looking at the world meet, dissonance is created and learning is likely to take place—so called: ‘learning on the edge’”. Wals and Jickling exemplify tensions within the SD discourse by problematizing the simultaneous goals of sustaining ecological systems and sustaining consumerism. Hadjichambis et al. [48] investigated the outcomes of a learning activity, in which students were asked to select between cups made of different materials and to consider environmental, social and economic aspects in their decision-making. The purpose was to enhance the students’ autonomy and ability to make well-informed decisions, rather than promoting a certain viewpoint. Findings of their study indicated that, prior to the activity, young children could not see any interrelationship between consumer actions and the natural environment, with unlimited consumption as a possible consequence [48].
Van Poeck and Östman [49] provide examples of how sustainability tensions are, and are not, dealt with in education. In their study, the participants were exposed to mutually exclusive standpoints concerning priorities between planet and profit in the context of (sustainable) agriculture. The authors discuss the different ways that the educators handled conflicting perspectives, either by opening up for a joint exploration of views without pre-determined direction, or, by closing down for including perspectives other than the pre-determined one (by the teacher). In relation to learning activities of this kind, the results of the current study imply that different views among students on what SD means and/or how aspects of its underlying dimensions relate (compatible or non-compatible objectives relating to environmental, social, and/or economic dimensions) will result in diverse ways of viewing, interpreting and finding solutions within concrete sustainability situations as those referred to here.
Including diverse perspectives in ESD may complicate the teaching and learning situation. However, it may also contribute to learning processes among students that are inclusive, engaging, relevant, and enriched in content. The context of SD offers a multitude of perspectives relating to the environment, the society, the economy, and their interconnections. Boeve-De Pauw et al. [50] found that students who experienced teaching that emphasizes plural perspectives, is open-ended, and that takes a critical stance, reported higher levels of self-reported sustainability actions despite, or likely because of, its non-normative direction. Sternäng and Lundholm [39] argue for the importance that students be given opportunities to discuss societal and global perspectives, to work with environmental challenges not only as matters for individuals, but also as collective matters. To accomplish this, it is important that there are opportunities for students to engage in discussions about different ways to approach a sustainable future, i.e., not only encounter sustainability issues within present, and supposedly unsustainable, structures.

4.3. Methodological Reflections and Implications for Future Research

As far as we can see, the literature could not provide any directions concerning existing views among students in relation to the contents of this study. Further research is desired to confirm the findings, especially since we started from a position without a priori hypotheses about the character of the categories. Thus, we needed to use an explorative approach to identify categories of views. The cluster analysis was able to reveal more views than the two anticipated ones, which indicates how successful this method was for identifying different views among the participants. The explorative character corresponds well with our first research question, and as such, it allows for the development of new insights [51]. In the second part of the analysis, we performed multivariate analysis of variance on the three scales of environmental knowingness, attitudes, and behaviors. The internal consistency for the knowingness and attitude scales is uncertain, especially in regard to the commonly recommended value of 0.7. However, a routine-like use of limit values without reflecting on their practical implications are considered to be problematic (see e.g., [46,52]). The Cronbach’s Alpha (CA) value for a scale is dependent on the number of items it is based on. Increasing the number of items generally increases the CA value, but sometimes without actually increasing the internal consistency [52]. Our scales are based upon numerous few items, which at least partly explains the somewhat lower CA’s for some parts.
Questions may arise in terms of why students respond in specific ways, as related to the different views emerging in this study. Accordingly, we do not have access to students’ underlying assumptions and understandings. We have probed students’ views via questionnaire methodology, but we do not know how the students understand the concepts of economic growth, economic development and SD. Thus, research based on qualitative approaches that investigates these aspects would be of great significance in relation to this study. A strength connected to the quantitative approach is the ability to identify views among a large number of students and analyze the characteristics of these via multivariate analysis of their environmental knowingness, attitudes and behaviors. The categories of views could be confirmed by applying them on a new set of data. Answers to questions such as ‘In what way do young people understand the concepts of economic growth, economic development, and sustainable development?’ ‘What underlying reasons, e.g. social and/or environmental, are there for being critical or supportive towards economic objectives in the context of SD?’ would require a qualitative approach, which would be of great interest to follow up the results of this study.

Author Contributions

N.G. and T.B. designed the study. T.B. collected and analyzed the data. N.G. and T.B. interpreted the outcomes of the statistical analysis and wrote the paper with T.B. as main author.

Funding

This research was funded by the Swedish Research Council, project [B0589701].

Acknowledgments

The authors would like to thank all the participating schools and students who took part in the study.

Conflicts of Interest

The authors declare no conflict of interest.

Appendix A

Knowingness
K1
Reducing water consumption is necessary for sustainable development.
K2*
Preserving nature is not necessary for sustainable development.
K3
Sustainable development demands that we humans reduce all sorts of waste.
K4
Preserving the variety of living creatures is necessary for sustainable development (preserving biological diversity).
K5
Sustainable development requires a shift to renewable natural resources.
K6
For sustainable development, people need to be educated in how to protect themselves against natural disasters.
Attitudes
A1*
Using more natural resources than we need does not threaten the health and well-being of people in the future.
A2
I think that we need stricter laws and regulations to protect the environment.
A3
I think that it is important to take measures against problems which have to do with climate change.
A4*
I think it is okay that each one of us uses as much water as we want.
Behaviors
B1
Where possible, I choose to cycle or walk when I’m going somewhere, instead of travelling by motor vehicle.
B2
I never waste water.
B3
I recycle as much as I can.
B4
I pick up rubbish when I see it out in the countryside or in public places.
B5*
I don’t think about how my actions may damage the natural environment.
B6
I always separate food waste before putting out the rubbish when I have the chance.
B7
I have changed my personal lifestyle in order to reduce waste (e.g., throwing away less food or not wasting materials).
* Inverted items

References

  1. Daly, H.E. Toward some operational principles of sustainable development. Ecol. Econ. 1990, 2, 1–6. [Google Scholar] [CrossRef]
  2. Ekins, P. Economic Growth and Environmental Sustainability: The Prospects for Green Growth; Routledge: London, UK, 2000. [Google Scholar]
  3. Giddings, B.; Hopwood, B.; O’Brien, G. Environment, economy and society: Fitting them together into sustainable development. Sustain. Dev. 2002, 10, 187–196. [Google Scholar] [CrossRef]
  4. Neumayer, E. Weak versus Strong Sustainability: Exploring the Limits of Two Opposing Paradigms; Edward Elgar Publishing: Cheltenham, UK, 2003. [Google Scholar]
  5. Hopwood, B.; Mellor, M.; O’Brien, G. Sustainable development: Mapping different approaches. Sustain. Dev. 2005, 13, 38–52. [Google Scholar] [CrossRef]
  6. Gillis, M. Some Neglected Aspects of Sustainable Development. In The Economics of Sustainable Development; Asefa, S., Ed.; W.E. Upjohn Institute: Kalamazoo, MI, USA, 2005. [Google Scholar]
  7. Ahmed, M. Economic dimensions of sustainable development, the fight against poverty and educational responses. Int. Rev. Educ. 2010, 56, 235–253. [Google Scholar] [CrossRef]
  8. Aşici, A.A. Economic growth and its impact on environment: A panel data analysis. Ecol. Indic. 2013, 24, 324–333. [Google Scholar] [CrossRef]
  9. Costanza, R.; Kubiszewski, I.; Giovannini, E.; Lovins, H.; McGlade, J.; Pickett, K.E.; Ragnarsdóttir, K.V.; Roberts, D.; De Vogli, R.; Wilkinson, R. Time to leave GDP behind. Nature 2014, 505, 283–285. [Google Scholar] [CrossRef] [PubMed]
  10. Hector, D.C.; Christensen, C.B.; Petrie, J. Sustainability and Sustainable Development: Philosophical Distinctions and Practical Implications. Environ. Values 2014, 23, 7–28. [Google Scholar] [CrossRef]
  11. Munda, G. Environmental Economics, Ecological Economics, and the Concept of Sustainable Development. Environ. Values 1997, 6, 213–233. Available online: http://www.jstor.org/stable/30301601 (accessed on 28 August 2015). [CrossRef]
  12. Mustunsir, M.A. Sustainability vs economic growth: A third world perspective. World J. Entrep. Manag. Sustain. Dev. 2015, 11, 312–324. [Google Scholar] [CrossRef]
  13. United Nations. Sustainable Development Goals. 17 Goals to Transform Our World. Available online: http://www.un.org/sustainabledevelopment/education/ (accessed on 8 December 2017).
  14. Löfström, J.; Van den Berg, M. Making Sense of the Financial Crisis in Economic Education: An Analysis of the Upper Secondary School Social Studies Teaching in Finland in the 2010’s. J. Soc. Sci. Educ. 2013, 12, 53–68. [Google Scholar] [CrossRef]
  15. Henderson, J.A.; Hursh, D.W. Economics and Education for Human Flourishing: Wendell Berry and the Oikonomic Alternative to Neoliberalism. Educ. Stud. 2014, 50, 167–186. [Google Scholar] [CrossRef]
  16. Hursh, D.; Henderson, J.; Greenwood, D. Environmental education in a neoliberal climate. Environ. Educ. Res. 2015, 21, 299–318. [Google Scholar] [CrossRef]
  17. Huckle, J.; Wals, A.E.J. The UN Decade of Education for Sustainable Development: Business as usual in the end. Environ. Educ. Res. 2015, 21, 491–505. [Google Scholar] [CrossRef]
  18. United Nations Educational, Scientific and Cultural Organization. Framework for the UNDESD International Implementation Scheme; United Nations Educational, Scientific and Cultural Organization: Paris, France, 2006. [Google Scholar]
  19. Jabareen, Y. A New Conceptual Framework for Sustainable Development. Environ. Dev. Sustain. 2008, 10, 179–192. [Google Scholar] [CrossRef]
  20. Sauvé, L. Environmental Education and Sustainable Development: A Further Appraisal. Can. J. Environ. Educ. 1996, 1, 7–34. [Google Scholar]
  21. Friman, E. No Limits: The 20th Century Discourse of Economic Growth. Ph.D. Thesis, Umeå University, Umeå, Sweden, June 2002. [Google Scholar]
  22. McKeown, R.; Hopkins, C. EE p ESD: Defusing the worry. Environ. Educ. Res. 2003, 9, 117–128. [Google Scholar] [CrossRef]
  23. Borghesi, S.; Vercelli, A. Sustainable globalization. Ecol. Econ. 2003, 44, 77–89. [Google Scholar] [CrossRef]
  24. Daly, H. On Wilfred Beckerman’s Critique of Sustainable Development. Environ. Values 1995, 4, 49–56. Available online: http://www.jstor.org/stable/30301392 (accessed on 23 June 2015). [CrossRef]
  25. United Nations Development Programme. Human Development Report 2011; Palgrave McMillan: New York, NY, USA, 2011. [Google Scholar]
  26. Hamilton, K.; Naikal, E. Comprehensive wealth accounting and sustainable development. In Handbook of Sustainable Development, 2nd ed.; Atkinson, G., Dietz, S., Neumayer, E., Agarwala, M., Eds.; Edward Elgar Publishing: Cheltenham, UK, 2014; pp. 25–40. [Google Scholar]
  27. Kubiszewski, I.; Costanza, R.; Franco, C.; Lawn, P.; Talberth, J.; Jackson, T.; Aylmer, C. Beyond GDP: Measuring and achieving global genuine progress. Ecol. Econ. 2013, 93, 57–68. [Google Scholar] [CrossRef]
  28. Olinto, P.; Beegle, K.; Sobrado, C.; Uematsu, H. The State of the Poor: Where Are The Poor, Where Is Extreme Poverty Harder to End, and What Is the Current Profile of the World’s Poor? Available online: http://documents.worldbank.org/curated/en/311511468326955970/pdf/818010BRI0EP120Box0379844B00PUBLIC0.pdf (accessed on 9 January 2015).
  29. United Nations Development Programme. Human Development Report 1995; Oxford University Press: New York, NY, USA, 1995. [Google Scholar]
  30. United Nations Educational, Scientific and Cultural Organization. Roadmap for Implementing the Global Action Programme on Education for Sustainable Development; United Nations Educational, Scientific and Cultural Organization: Paris, France, 2014. [Google Scholar]
  31. Gough, S. Increasing the Value of the Environment: A ‘real options’ metaphor for learning. Environ. Educ. Res. 2002, 8, 61–72. [Google Scholar] [CrossRef]
  32. Feng, L. Teacher and student responses to interdisciplinary aspects of sustainability education: What do we really know? Environ. Educ. Res. 2012, 18, 31–43. [Google Scholar] [CrossRef]
  33. Kramming, K. Miljökollaps eller Hållbar Framtid? Hur Gymnasieungdomar Uttrycker sig om Miljöfrågor. Ph.D. Thesis, Uppsala universitet, Uppsala, Sweden, 2017. [Google Scholar]
  34. Dyment, J.E.; Hill, A.; Emery, S. Sustainability as a cross-curricular priority in the Australian Curriculum: A Tasmanian investigation. Environ. Educ. Res. 2015, 21, 1105–1126. [Google Scholar] [CrossRef]
  35. Öhman, M.; Öhman, J. Harmoni eller konflikt?—En fallstudie av meningsinnehållet i utbildning för hållbar utveckling. Harmony or conflict?—A case study of the conceptual meaning of education for sustainable development. Nord. Stud. Sci. Educ. 2012, 8, 59–72. [Google Scholar] [CrossRef]
  36. Summers, M.; Corney, G.; Childs, A. Student teachers’ conceptions of sustainable development: The starting points of geographers and scientists. Educ. Res. 2004, 46, 163–182. [Google Scholar] [CrossRef]
  37. Walshe, N. Exploring and developing student understandings of sustainable development. Curric. J. 2013, 24, 224–249. [Google Scholar] [CrossRef]
  38. Davies, P. Educating citizens for changing economies. J. Curric. Stud. 2006, 38, 15–30. [Google Scholar] [CrossRef]
  39. Sternäng, L.; Lundholm, C. Climate change and costs: Investigating students’ reasoning on nature and economic development. Environ. Educ. Res. 2012, 18, 417–436. [Google Scholar] [CrossRef]
  40. Berglund, T.; Gericke, N. Separated and integrated perspectives on environmental, economic, and social dimensions—An investigation of student views on sustainable development. Environ. Educ. Res. 2016, 22, 1115–1138. [Google Scholar] [CrossRef]
  41. Borg, C.; Gericke, N.; Höglund, H.-O.; Bergman, E. Subject- and experience-bound differences in teachers’ conceptual understanding of sustainable development. Environ. Educ. Res. 2014, 20, 526–551. [Google Scholar] [CrossRef]
  42. Berglund, T.; Gericke, N.; Chang Rundgren, S.-N. The implementation of education for sustainable development in Sweden: Investigating the sustainability consciousness among upper secondary students. Res. Sci. Technol. Educ. 2014, 32, 318–339. [Google Scholar] [CrossRef]
  43. Gericke, N.; Boeve-de Pauw, J.; Berglund, T.; Olsson, D. The Sustainability Consciousness Questionnaire (SCQ): The theoretical development and empirical validation of an evaluation instrument for stakeholders working with sustainable development. Sustain. Dev. 2018. Available online: https://onlinelibrary.wiley.com/doi/abs/10.1002/sd.1859 (accessed on 2 August 2018).
  44. Artisan Global Media. The Software Survey & Report from the Program Suite Artologik. Available online: http://www.artisan.se/ (accessed on 1 March 2013).
  45. Hair, J.F.; Black, W.C.; Babin, B.J.; Anderson, R.E.; Tatham, R.L. Multivariate Data Analysis, 6th ed.; Pearson Prentice Hall: Upper Saddle River, NJ, USA, 2006. [Google Scholar]
  46. Field, A. Discovering Statistics Using IBM SPSS Statistics; Sage: London, UK, 2013. [Google Scholar]
  47. Wals, A.E.J.; Jickling, B. “Sustainability” in higher education: From doublethink and newspeak to critical thinking and meaningful learning. Int. J. Sustain. High. Educ. 2002, 3, 221–232. [Google Scholar] [CrossRef]
  48. Hadjichambis, A.C.; Paraskeva-Hadjichambi, D.; Ioannou, H. Integrating Sustainable Consumption into Environmental Education: A Case Study on Environmental Representations, Decision Making and Intention to Act. Int. J. Environ. Sci. Educ. 2015, 10, 67–86. [Google Scholar] [CrossRef]
  49. Van Poeck, K.; Östman, L. Creating space for ’the political’ in environmental and sustainability education practice: A Political Move Analysis of educators’ actions. Environ. Educ. Res. 2017, 23, 1–18. [Google Scholar] [CrossRef]
  50. Boeve-de Pauw, J.; Gericke, N.; Olsson, D.; Berglund, T. The Effectiveness of Education for Sustainable Development. Sustainability 2015, 7, 15693–15717. [Google Scholar] [CrossRef]
  51. Leimeister, S. IT Outsourcing Governance: Client Types and Their Management Strategies; Springer Gabler: Wiesbaden, Germany, 2010. [Google Scholar]
  52. Cortina, J.M. What is coefficient alpha? An examination of theory and applications. J. Appl. Psychol. 1993, 78, 98–104. [Google Scholar] [CrossRef]
Figure 1. The four clusters are indicated along the horizontal axis and their responses to items Q1, Q2 and Q3 are shown as boxplots. For item Q1 and Q3: (1) Strongly disagree, (5) Strongly agree. For item Q2: (1) Strongly agree, (5) Strongly disagree (Note: reversed scaling). A total of 8.2% (Q1), 13% (Q2), and 4.1% (Q3), either did not respond or responded “Don’t know”.
Figure 1. The four clusters are indicated along the horizontal axis and their responses to items Q1, Q2 and Q3 are shown as boxplots. For item Q1 and Q3: (1) Strongly disagree, (5) Strongly agree. For item Q2: (1) Strongly agree, (5) Strongly disagree (Note: reversed scaling). A total of 8.2% (Q1), 13% (Q2), and 4.1% (Q3), either did not respond or responded “Don’t know”.
Sustainability 10 02738 g001
Table 1. Means and standard deviations on items Q1, Q2 (in its reversed form), and Q3 for the four clusters.
Table 1. Means and standard deviations on items Q1, Q2 (in its reversed form), and Q3 for the four clusters.
Cluster Q1Q2 ReversedQ3
1. Un-differentiating positiveMean4.224.154.38
SD0.750.810.75
2. Nuanced ambivalentMean2.782.613.45
SD0.820.670.76
3. Two-way convincedMean4.541.504.54
SD0.510.510.71
4. CriticalMean1.412.341.61
SD0.501.290.49
TotalMean3.573.413.88
SD1.191.201.08
Table 2. Overview of the characteristics for the different clusters based on sub-groups in the sample. Education for sustainable development/Reference (ESD/REF) group of students are students attending either ESD oriented schools or regular schools without ESD orientation. Sci/Soc sci are students attending either science programs or social science programs.
Table 2. Overview of the characteristics for the different clusters based on sub-groups in the sample. Education for sustainable development/Reference (ESD/REF) group of students are students attending either ESD oriented schools or regular schools without ESD orientation. Sci/Soc sci are students attending either science programs or social science programs.
ClusterNGenderSchool TypeProgram
Female (%)Male (%)ESD (%)REF (%)Sci (%)Soc Sci (%)
1. Un-differentiating positive299 (57%)49.165.653.961.356.556.5
2. Nuanced ambivalent159 (30%)37.722.032.326.331.029.2
3. Two-way convinced26 (5%)5.34.66.03.14.84.6
4. Critical44 (8%)7.87.97.89.37.89.7
Total528 (100%)100100100100100.1100
Missing110
Table 3. Number of items and Cronbach’s Alphas for the sub-scales of environmental knowingness (Env_K), attitudes (Env_A) and behaviors (Env_B) and for the whole scale (Env_KAB).
Table 3. Number of items and Cronbach’s Alphas for the sub-scales of environmental knowingness (Env_K), attitudes (Env_A) and behaviors (Env_B) and for the whole scale (Env_KAB).
Cronbach’s AlphaNumber of Items
Env_K0.586
Env_A0.604
Env_B0.717
Env_KAB0.7817
Table 4. Means, standard deviations and effect sizes in terms of Cohen’s d within the attitudes and behavior sub-scales. The Cohen’s d measure indicates the size of the effect (M1 = Mi, M2 = Mj).
Table 4. Means, standard deviations and effect sizes in terms of Cohen’s d within the attitudes and behavior sub-scales. The Cohen’s d measure indicates the size of the effect (M1 = Mi, M2 = Mj).
Cluster (i)MSDCompared with Cluster (j)Mean Difference (i-j)|Cohen’s d|
Env_A1. Un-differentiating positive4.1190.6872−0.145
30.087
4−0.381 *0.61
2. Nuanced ambivalent4.2640.63930.233
4−0.235
3. Two-way convinced4.0320.6794−0.468 *0.76
4. Critical4.5000.547
Env_B1. Un-differentiating positive3.1620.7812−0.191
3−0.165
4−0.248
2. Nuanced ambivalent3.3540.72630.027
4−0.057
3. Two-way convinced3.3270.7844−0.083
4. Critical3.4100.788
Note: * Difference is significant at the p < 0.05 level.

Share and Cite

MDPI and ACS Style

Berglund, T.; Gericke, N. Exploring the Role of the Economy in Young Adults’ Understanding of Sustainable Development. Sustainability 2018, 10, 2738. https://doi.org/10.3390/su10082738

AMA Style

Berglund T, Gericke N. Exploring the Role of the Economy in Young Adults’ Understanding of Sustainable Development. Sustainability. 2018; 10(8):2738. https://doi.org/10.3390/su10082738

Chicago/Turabian Style

Berglund, Teresa, and Niklas Gericke. 2018. "Exploring the Role of the Economy in Young Adults’ Understanding of Sustainable Development" Sustainability 10, no. 8: 2738. https://doi.org/10.3390/su10082738

APA Style

Berglund, T., & Gericke, N. (2018). Exploring the Role of the Economy in Young Adults’ Understanding of Sustainable Development. Sustainability, 10(8), 2738. https://doi.org/10.3390/su10082738

Note that from the first issue of 2016, this journal uses article numbers instead of page numbers. See further details here.

Article Metrics

Back to TopTop