Impacts of Dryland Farm Management Systems on Weeds and Ground Beetles (Carabidae) in the Northern Great Plains
Abstract
1. Introduction
2. Materials and Methods
2.1. Site Description and Cropping History
2.2. Weed and Ground Beetle Community Sampling
2.3. Data Analysis
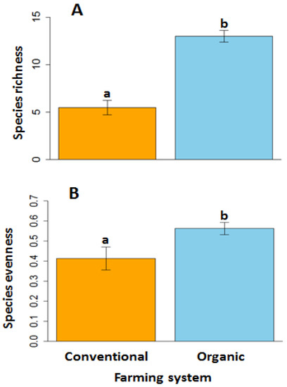
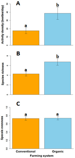
3. Results
3.1. Weed Communities
3.2. Beetle Communities
4. Discussion
5. Conclusions
Supplementary Materials
Author Contributions
Funding
Acknowledgments
Conflicts of Interest
References
- Quijas, S.; Schmid, B.; Balvanera, P. Plant diversity enhances provision of ecosystem services: A new synthesis. Basic Appl. Ecol. 2010, 11, 582–593. [Google Scholar] [CrossRef]
- Vandermeer, J.; Lawrence, D.; Symstad, A. Effect of biodiversity on ecosystem functioning in managed ecosystems. In Biodiversity and Ecosystem Functioning; Loreau, M., Naeem, S., Inchausti, P., Eds.; Oxford University Press: Oxford, UK, 2002; pp. 157–168. [Google Scholar]
- Duru, M.; Therond, O.; Martin, G.; Martin-Clouaire, R.; Magne, M.A.; Justes, E.; Journet, E.P.; Aubertot, J.N.; Savary, S.; Bergez, J.E.; et al. How to implement biodiversity-based agriculture to enhance ecosystem services: A review. Agron. Sustain. Dev. 2015, 35, 1259–1281. [Google Scholar] [CrossRef]
- Tilman, D.; Balzer, C.; Hill, J.; Befort, B.L. Global food demand and the sustainable intensification of agriculture. Proc. Natl. Acad. Sci. USA 2011, 108, 20260. [Google Scholar] [CrossRef] [PubMed]
- DeDecker, J.J.; Masiunas, J.B.; Davis, A.S.; Flint, C.G. Weed management practice selection among midwest U.S. organic growers. Weed Sci. 2014, 62, 520–531. [Google Scholar] [CrossRef]
- Jordan, N.; Vatovec, C. Agroecological benefits from weeds. In Weed Biology and Management; Springer: Dordrecht, The Netherlands, 2004; pp. 137–158. [Google Scholar]
- Carvalheiro, L.G.; Veldtman, R.; Shenkute, A.G.; Tesfay, G.B.; Pirk, C.W.W.; Donaldson, J.S.; Nicolson, S.W. Natural and within-farmland biodiversity enhances crop productivity. Ecol. Lett. 2011, 14, 251–259. [Google Scholar] [CrossRef] [PubMed]
- Siemann, E. Experimental tests of effects of plant productivity and diversity on grassland arthropod diversity. Ecology 1998, 79, 2057–2070. [Google Scholar] [CrossRef]
- Bengtsson, J.; Ahnstrom, J.; Weibull, A.C. The effects of organic agriculture on biodiversity and abundance: A meta-analysis. J. Appl. Ecol. 2005, 42, 261–269. [Google Scholar] [CrossRef]
- Larochelle, A. The food of carabid beetles (Coleoptera: Carabidae, including Cicindelidae). In Fabreries Supplement; Association des entomologistes amateurs du Québec: Varennes, QC, France, 1990; Volume 5, pp. 1–132. [Google Scholar]
- Sunderland, K.D. Invertebrate Pest Control by Carabids; Holland, J.M., Ed.; Intercept Limited: Anover, UK, 2002. [Google Scholar]
- Gaines, H.R.; Gratton, C. Seed predation increases with ground beetle diversity in a Wisconsin (USA) potato agroecosystem. Agric. Ecosyst. Environ. 2010, 137, 329–336. [Google Scholar] [CrossRef]
- Honek, A.; Martinkova, Z.; Jarosik, V. Ground beetles (Carabidae) as seed predators. Eur. J. Entomol. 2003, 100, 531–544. [Google Scholar] [CrossRef]
- Johnston, A.M.; Tanaka, D.L.; Miller, P.R.; Brandt, S.A.; Nielsen, D.C.; Lafond, G.P.; Riveland, N.R. Oilseed crops for semiarid cropping systems in the Northern Great Plains. Agron. J. 2002, 94, 231–240. [Google Scholar] [CrossRef]
- Miller, P.R.; Lighthiser, E.J.; Jones, C.A.; Holmes, J.A.; Rick, T.L.; Wraith, J.M. Pea green manure management affects organic winter wheat yield and quality in semiarid Montana. Can. J. Plant Sci. 2011, 91, 497–508. [Google Scholar] [CrossRef]
- Hoekman, D.; LeVan, K.E.; Ball, G.E.; Browne, R.A.; Davidson, R.L.; Erwin, T.L.; Knisley, C.B.; LaBonte, J.R.; Lundgren, J.; Maddison, D.R.; et al. Design for ground beetle abundance and diversity sampling within the National Ecological Observatory Network. Ecosphere 2017, 8, e01744. [Google Scholar] [CrossRef]
- Funk, J.L.; Cleland, E.E.; Suding, K.N.; Zavaleta, E.S. Restoration through reassembly: Plant traits and invasion resistance. Trends Ecol. Evol. 2008, 23, 695–703. [Google Scholar] [CrossRef] [PubMed]
- Keddy, P.A. Assembly and response rules: Two goals for predictive community ecology. J. Veg. Sci. 1992, 3, 157–164. [Google Scholar] [CrossRef]
- Adhikari, S.; Seipel, T.; Menalled, F.D.; Weaver, D.K. Farming system and wheat cultivar affect infestation of and parasitism on Cephus cinctus in the Northern Great Plains. Pest Manag. Sci. 2018. [Google Scholar] [CrossRef] [PubMed]
- Kotze, D.J.; Brandmayr, P.; Casale, A.; Dauffy-Richard, E.; Dekoninck, W.; Koivula, M.J.; Lövei, G.L.; Mossakowski, D.; Noordijk, J.; Paarmann, W.; et al. Forty years of carabid beetle research in Europe—From taxonomy, biology, ecology and population studies to bioindication, habitat assessment and conservation. Zookeys 2011, 100, 55–148. [Google Scholar] [CrossRef] [PubMed]
- Lindroth, C.H. The ground beetles (Carabidae, excl. Cicindelinae) of Canada and Alaska, Part 1–6. Opusc. Entomol. Entomologiska Siillskapet, Lund, Sweden. 1969, 1–1192. Available online: http://www.librarything.com/work/10804214 (accessed on 16 June 2018).
- Bousquet, Y. Catalogue of Geadephaga (Coleoptera, Adephaga) of America, north of Mexico. Zookeys 2012, 245. [Google Scholar] [CrossRef] [PubMed]
- Simpson, E.H. Measurement of diversity. Nature 1949, 163, 688. [Google Scholar] [CrossRef]
- Pielou, E.C. Species-diversity and pattern-diversity in the study of ecological succession. J. Theor. Biol. 1966, 10, 370–383. [Google Scholar] [CrossRef]
- Whittaker, R.H. Evolution and measurement of species diversity. Taxon 1972, 21, 213. [Google Scholar] [CrossRef]
- Bray, J.R.; Curtis, J.T. An ordination of the upland forest communities of southern Wisconsin. Ecol. Monogr. 1957, 27, 325–349. [Google Scholar] [CrossRef]
- McCune, B.; Grace, J.B. Overview of community matrices. Anal. Ecol. Communities 2002, 28, 3–12. [Google Scholar]
- R Development Core Team. A Language and Environment for Statistical Computing; R Foundation for Statistical Computing: Vienna, Austria, 2016; ISBN 3-900051-07-0. Available online: https://stat.ethz.ch/pipermail/r-help/2008-May/161481.html (accessed on 29 October 2017).
- Roberts, D.W. Labdsv: Ordination and Multivariate Analysis for Ecology. R Package Version 1.8-0. Available online: https://CRAN.R-project.org/package=labdsv (accessed on 20 December 2016).
- Oksanen, J.; Blanchet, F.G.; Friendly, M.; Kindt, R.; Legendre, P.; Mcglinn, D.; Minchin, P.R.; O’hara, R.B.; Simpson, G.L.; Solymos, P.; et al. Vegan: Community Ecology Package. R Package Version 2.4-4. Available online: https://CRAN.R-project.org/package=vegan (accessed on 5 January 2017).
- Wickham, H. Ggplot2: Elegant Graphics for Data Analysis; Springer: New York, NY, USA, 2009. [Google Scholar]
- Morales, M. Package ‘sciplot’: Scientific graphing functions for factorial designs. 2017. Available online: https://cran.r-project.org/web/packages/sciplot/sciplot.pdf (accessed on 16 June 2018).
- Pollnac, F.W.; Rew, L.J.; Maxwell, B.D.; Menalled, F.D. Spatial patterns, species richness and cover in weed communities of organic and conventional no-tillage spring wheat systems. Weed Res. 2008, 48, 398–407. [Google Scholar] [CrossRef]
- Adhikari, S. Impacts of Dryland Farming Systems on Biodiversity, Plant-Insect Interactions, and Ecosystem Services. Ph.D. Thesis, Montana State University, Bozeman, MT, USA, 2018. [Google Scholar]
- DiTommaso, A.; Averill, K.M.; Hoffmann, M.P.; Fuchsberg, J.R.; Losey, J.E. Integrating insect, resistance, and floral resource management in weed control decision-making. Weed Sci. 2016, 64, 743–756. [Google Scholar] [CrossRef]
- Orloff, N.; Mangold, J.; Miller, Z.; Menalled, F. A meta-analysis of field bindweed (Convolvulus arvensis L.) and Canada thistle (Cirsium arvense L.) management in organic agricultural systems. Agric. Ecosyst. Environ. 2018, 254, 264–272. [Google Scholar] [CrossRef]
- Tautges, N.E.; Goldberger, J.R.; Burke, I.C. A survey of weed management in organic small grains and forage systems in the Northwest United States. Weed Sci. 2016, 64, 513–522. [Google Scholar] [CrossRef]
- Smith, R.G.; Atwood, L.W.; Pollnac, F.W.; Warren, N.D. Cover-crop species as distinct biotic filters in weed community assembly. Weed Sci. 2015, 63, 282–295. [Google Scholar] [CrossRef]
- Grossmann, K. Auxin herbicides: Current status of mechanism and mode of action. Pest Manag. Sci. 2009, 66. [Google Scholar] [CrossRef] [PubMed]
- Thomas, A.G.; Derksen, D.A.; Blackshaw, R.E.; Van Acker, R.C.; Légère, A.; Watson, P.R.; Turnbull, G.C. Symposium: A multistudy approach to understanding weed population shifts in medium- to long-term tillage systems. Weed Sci. 2004, 52, 874–880. [Google Scholar] [CrossRef]
- Barroso, J.; Miller, Z.J.; Lehnhoff, E.A.; Hatfield, P.G.; Menalled, F.D. Impacts of cropping system and management practices on the assembly of weed communities. Weed Res. 2015, 55, 426–435. [Google Scholar] [CrossRef]
- Menalled, F.D.; Gross, K.L.; Hammond, M. Weed aboveground and seedbank community responses to agricultural management systems. Ecol. Appl. 2001, 11, 1586–1601. [Google Scholar] [CrossRef]
- McKenzie, S.C.; Goosey, H.B.; O’Neill, K.M.; Menalled, F.D. Impact of integrated sheep grazing for cover crop termination on weed and ground beetle (Coleoptera:Carabidae) communities. Agric. Ecosyst. Environ. 2016, 218, 141–149. [Google Scholar] [CrossRef]
- Goosey, H.B.; Mckenzie, S.C.; Rolston, M.G.; O’Neill, K.M.; Menalled, F.D. Impacts of contrasting alfalfa production systems on the drivers of carabid beetle (Coleoptera: Carabidae) community dynamics. Environ. Entomol. 2015, 44, 1052–1064. [Google Scholar] [CrossRef] [PubMed]
- Jonason, D.; Smith, H.G.; Bengtsson, J.; Birkhofer, K. Landscape simplification promotes weed seed predation by carabid beetles (Coleoptera: Carabidae). Landsc. Ecol. 2013, 28, 487–494. [Google Scholar] [CrossRef]
- Melnychuk, N.; Olfert, O.; Youngs, B.; Gillott, C. Abundance and diversity of Carabidae (Coleoptera) in different farming systems. Agric. Ecosyst. Environ. 2003, 95, 69–72. [Google Scholar] [CrossRef]
- Menalled, F.D.; Smith, R.G.; Dauer, J.T.; Fox, T.B. Impact of agricultural management on carabid communities and weed seed predation. Agric. Ecosyst. Environ. 2007, 118, 49–54. [Google Scholar] [CrossRef]
- Diekötter, T.; Wamser, S.; Dörner, T.; Wolters, V.; Birkhofer, K. Organic farming affects the potential of a granivorous carabid beetle to control arable weeds at local and landscape scales. Agric. For. Entomol. 2016, 18, 167–173. [Google Scholar] [CrossRef]
- Kulkarni, S.S.; Dosdall, L.M.; Willenborg, C.J. The role of ground beetles (Coleoptera: Carabidae) in weed seed consumption: A Review. Weed Sci. 2015, 63, 355–376. [Google Scholar] [CrossRef]
- Menalled, F.D.; Lee, J.C.; Landis, D.A. Manipulating carabid beetle abundance alters prey removal rates in corn fields. BioControl 1999, 43, 441–456. [Google Scholar] [CrossRef]
- Williams, I.H.; Ferguson, A.W.; Kruus, M.; Veromann, E.; Warner, D.J. Ground beetles as predators of oilseed rape pests: Incidence, spatio-temporal distributions and feeding. In Biocontrol-Based Integrated Management of Oilseed Rape Pests; Springer: Dordrecht, The Netherlands, 2010; pp. 115–149. [Google Scholar]
- Hatten, T.D.; Bosque-pé Rez, N.A.; Labonte, J.R.; Guy, S.O.; Eigenbrode, S.D. Effects of tillage on the activity density and biological diversity of carabid beetles in spring and winter crops. Environ. Entomol 2007, 36, 356–368. [Google Scholar] [CrossRef] [PubMed]
- Ryan, M.R.; Smith, R.G.; Mirsky, S.B.; Mortensen, D.A.; Seidel, R. Management filters and species traits: Weed community assembly in long-term organic and conventional systems. Weed Sci. 2010, 58, 265–277. [Google Scholar] [CrossRef]
- Kulkarni, S.S.; Dosdall, L.M.; Spence, J.R.; Willenborg, C.J. Depth of seed burial and gender influence weed seed predation by three species of ground beetle (Coleoptera: Carabidae). Weed Sci. 2015, 63, 910–915. [Google Scholar] [CrossRef]
- Blubaugh, C.K.; Kaplan, I. Tillage compromises weed seed predator activity across developmental stages. Biol. Control 2015, 81, 76–82. [Google Scholar] [CrossRef]
- Dritschilo, W.; Wanner, D. Ground beetle abundance in organic and conventional corn fields. Environ. Entomol. 1980, 9, 629–631. [Google Scholar] [CrossRef]
- Ward, M.J.; Ryan, M.R.; Curran, W.S.; Barbercheck, M.E.; Mortensen, D.A. Cover crops and disturbance influence activity-density of weed seed predators Amara aenea and Harpalus pensylvanicus (Coleoptera: Carabidae). Weed Sci. 2011, 59, 76–81. [Google Scholar] [CrossRef]
- Schaffers, A.P.; Raemakers, I.P.; Sýkora, K.V.; ter Braak, C.J.F. Arthropod assemblages are best predicted by plant species composition. Ecology 2008, 89, 782–794. [Google Scholar] [CrossRef] [PubMed]
- Noonan, G.R. Biogeographical Patterns of North American Harpalus Latreille (Insecta: Coleoptera: Carabidae). J. Biogeogr. 1990, 17, 583. [Google Scholar] [CrossRef]
- Barney, R.J.; Pass, B.C. Foraging behavior and feeding preference of ground beetles (Coleoptera: Carabidae) in Kentucky alfalfa. J. Econ. Entomol. 1986, 79, 1334–1337. [Google Scholar] [CrossRef]
- O’Rourke, M.E.; Heggenstaller, A.H.; Liebman, M.; Rice, M.E. Post-dispersal weed seed predation by invertebrates in conventional and low-external-input crop rotation systems. Agric. Ecosyst. Environ. 2006, 116, 280–288. [Google Scholar] [CrossRef]
- Harbuck, K.S.B.; Menalled, F.D.; Pollnac, F.W. Impact of cropping systems on the weed seed banks in the northern Great Plains, USA. Weed Biol. Manag. 2009, 9, 160–168. [Google Scholar] [CrossRef]
- Lavigne, R.J.; Pfadt, R.E. Parasites and predators of Wyoming rangeland: Grasshoppers. Wyo. Agric. Exp. Sta. Sci. Monogr. 1966, 3, 31. [Google Scholar]
- Haddad, N.M.; Crutsinger, G.M.; Gross, K.; Haarstad, J.; Tilman, D. Plant diversity and the stability of foodwebs. Ecol. Lett. 2011, 14, 42–46. [Google Scholar] [CrossRef] [PubMed]
- Marshall, E.J.P.; Brown, V.K.; Boatman, N.D.; Lutman, P.J.W.; Squire, G.R.; Ward, L.K. The role of weeds in supporting biological diversity within crop fields. Weed Res. 2003, 43, 77–89. [Google Scholar] [CrossRef]
- Diehl, E.; Wolters, V.; Birkhofer, K. Arable weeds in organically managed wheat fields foster carabid beetles by resource- and structure-mediated effects. Arthropod Plant Interact. 2012, 6, 75–82. [Google Scholar] [CrossRef]
- Bohan, D.A.; Boursault, A.; Brooks, D.R.; Petit, S. National-scale regulation of the weed seedbank by carabid predators. J. Appl. Ecol. 2011, 48, 888–898. [Google Scholar] [CrossRef]




© 2018 by the authors. Licensee MDPI, Basel, Switzerland. This article is an open access article distributed under the terms and conditions of the Creative Commons Attribution (CC BY) license (http://creativecommons.org/licenses/by/4.0/).
Share and Cite
Adhikari, S.; Menalled, F.D. Impacts of Dryland Farm Management Systems on Weeds and Ground Beetles (Carabidae) in the Northern Great Plains. Sustainability 2018, 10, 2146. https://doi.org/10.3390/su10072146
Adhikari S, Menalled FD. Impacts of Dryland Farm Management Systems on Weeds and Ground Beetles (Carabidae) in the Northern Great Plains. Sustainability. 2018; 10(7):2146. https://doi.org/10.3390/su10072146
Chicago/Turabian StyleAdhikari, Subodh, and Fabian D. Menalled. 2018. "Impacts of Dryland Farm Management Systems on Weeds and Ground Beetles (Carabidae) in the Northern Great Plains" Sustainability 10, no. 7: 2146. https://doi.org/10.3390/su10072146
APA StyleAdhikari, S., & Menalled, F. D. (2018). Impacts of Dryland Farm Management Systems on Weeds and Ground Beetles (Carabidae) in the Northern Great Plains. Sustainability, 10(7), 2146. https://doi.org/10.3390/su10072146

