Carbon Chemistry in the Mainstream of Kuroshio Current in Eastern Taiwan and Its Transport of Carbon into the East China Sea Shelf
Abstract
1. Introduction
2. Materials and Methods
2.1. Study Area Description
2.2. Sampling and Analytical Methods
3. Results
3.1. Hydrographic Characteristics and Water Types Classification
3.2. Profiles of Hydrological and Carbonate Parameters in Mainstream of Kuroshio off Eastern Taiwan
3.3. Summary for Carbonate Chemistry in the Mainstream of Kuroshio
4. Discussion
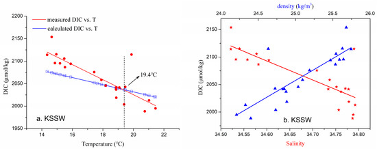
4.1. Relationships between Carbonate Parameters and Environmental Factors in Kuroshio
4.2. Intrusion of Kuroshio off Eastern Taiwan into the ECS Shelf: Evidence from Carbon Chemistry Parameters
4.3. Estimates of Carbon Transport from Kuroshio into the ECS Shelf
5. Conclusions
Supplementary Materials
Acknowledgments
Author Contributions
Conflicts of Interest
References
- Sabine, C.L.; Feely, R.A.; Gruber, N.; Key, R.M.; Lee, K.; Bullister, J.L.; Wanninkhof, R.; Wong, C.S.; Wallace, D.W.R.; Tilbrook, B.; et al. The oceanic sink for anthropogenic CO2. Science 2004, 305, 367–371. [Google Scholar] [CrossRef] [PubMed]
- Kempe, S.; Pegler, K. Sinks and sources of CO2 in coastal seas—The North-Sea. Tellus B 1991, 43, 224–235. [Google Scholar] [CrossRef]
- Thomas, H.; Bozec, Y.; Elkalay, K.; de Baar, H.J.W. Enhanced open ocean storage of CO2 from shelf sea pumping. Science 2004, 304, 1005–1008. [Google Scholar] [CrossRef] [PubMed]
- Walsh, J.J. Importance of continental margins in the marine biogeochemical cycling of carbon and nitrogen. Nature 1991, 350, 53–55. [Google Scholar] [CrossRef]
- Wang, S.-L.; Chen, C.-T.A.; Hong, G.-H.; Chung, C.-S. Carbon dioxide and related parameters in the East China Sea. Cont. Shelf. Res. 2000, 20, 525–544. [Google Scholar] [CrossRef]
- Chen, C.-T.A.; Wang, S.-L. Carbon, alkalinity and nutrient budgets on the East China Sea continental shelf. J. Geophys. Res. 1999, 104, 20675–20686. [Google Scholar] [CrossRef]
- Chou, W.-C.; Gong, G.-C.; Sheu, D.D.; Hung, C.-C.; Tseng, T.-F. Surface distributions of carbon chemistry parameters in the East China Sea in summer 2007. J. Geophys. Res. 2009, 114, 1–12. [Google Scholar] [CrossRef]
- Chou, W.-C.; Gong, G.-C.; Sheu, D.D.; Jan, S.; Hung, C.-C.; Chen, C.-C. Reconciling the paradox that the heterotrophic waters of the East China Sea shelf act as a significant CO2 sink during the summertime: Evidence and implications. Geophys. Res. Lett. 2009, 36, 1–5. [Google Scholar] [CrossRef]
- Chou, W.-C.; Gong, G.-C.; Tseng, C.-M.; Sheu, D.D.; Hung, C.-C.; Chang, L.-P.; Wang, L.-W. The carbonate system in the East China Sea in winter. Mar. Chem. 2011, 123, 44–55. [Google Scholar] [CrossRef]
- Peng, T.-H.; Hung, J.-J.; Wanninkhof, R.; Millero, F.J. Carbon budget in the East China Sea in spring. Tellus B 1999, 51, 531–540. [Google Scholar] [CrossRef]
- Qu, B.X.; Song, J.M.; Yuan, H.M.; Li, X.G.; Li, N. Air-sea CO2 exchange process in the southern Yellow Sea in April of 2011 and June, July, October of 2012. Cont. Shelf. Res. 2014, 80, 8–19. [Google Scholar] [CrossRef]
- Qu, B.X.; Song, J.M.; Yuan, H.M.; Li, X.G.; Li, N.; Duan, L.Q. Comparison of carbonate parameters and air-sea CO2 flux in the southern Yellow Sea and East China Sea during spring and summer of 2011. J. Oceanogr. 2017, 73, 365–382. [Google Scholar] [CrossRef]
- Tsunogai, S.; Watanabe, S.; Nakamura, J.; Ono, T.; Sato, T. A Preliminary study of carbon system in the East China Sea. J. Oceanogr. 1997, 53, 9–17. [Google Scholar] [CrossRef]
- Tsunogai, S.; Watanabe, S.; Sato, T. Is there a “continental shelf pump” for the absorption of atmospheric CO2? Tellus B 1999, 51, 701–712. [Google Scholar] [CrossRef]
- Qu, B.; Song, J.; Li, X.; Yuan, H.; Li, N.; Ma, Q. pCO2 distribution and CO2 flux on the inner continental shelf of the East China Sea during summer 2011. Chin. J. Oceanol. Limnol. 2013, 31, 1088–1097. [Google Scholar] [CrossRef]
- Wong, G.T.F.; Chao, S.-Y.; Li, Y.-H.; Shiah, F.-K. The Kuroshio edge exchange processes (KEEP) study—An introduction to hypotheses and highlights. Cont. Shelf. Res. 2000, 20, 335–347. [Google Scholar] [CrossRef]
- Chen, C.-T.A.; Zhai, W.D.; Dai, M.H. Riverine input and air-sea CO2 exchanges near the Changjiang (Yangtze River) Estuary: Status quo and implication on possible future changes in metabolic status. Cont. Shelf. Res. 2008, 28, 1476–1482. [Google Scholar] [CrossRef]
- Gao, X.L.; Song, J.M.; Li, X.G.; Li, N.; Yuan, H.M. pCO2 and carbon fluxes across sea-air interface in the Changjiang Estuary and Hangzhou Bay. Chin. J. Oceanol. Limnol. 2008, 26, 289–295. [Google Scholar] [CrossRef]
- Li, X.G.; Song, J.M.; Yuan, H.M.; Li, N.; Duan, L.Q.; Qu, B.X. CO2 flux and seasonal variability in the turbidity maximum zone and surrounding area in the Changjiang River estuary. Chin. J. Oceanol. Limnol. 2015, 33, 222–232. [Google Scholar] [CrossRef]
- Guo, X.H.; Zhai, W.D.; Dai, M.H.; Zhang, C.; Bai, Y.; Xu, Y.; Li, Q.; Wang, G.Z. Air-sea CO2 fluxes in the East China Sea based on multiple-year underway observations. Biogeosciences 2015, 12, 5495–5514. [Google Scholar] [CrossRef]
- Song, J. Biogeochemical Processes of Biogenic Elements in China Marginal Seas; Springer: Berlin/Heidelberg, Germany, 2010. [Google Scholar]
- Qu, B.X.; Song, J.M.; Yuan, H.M.; Li, X.G.; Li, N.; Duan, L.Q.; Chen, X.; Lu, X. Summer carbonate chemistry dynamics in the Southern Yellow Sea and the East China Sea: Regional variations and controls. Cont. Shelf Res. 2015, 111, 250–261. [Google Scholar] [CrossRef]
- Lui, H.-K.; Chen, C.-T.A.; Lee, J.; Wang, S.-L.; Gong, G.-C.; Bai, Y.; He, X.Q. Acidifying intermediate water accelerates the acidification of seawater on shelves: An example of the East China Sea. Cont. Shelf Res. 2015, 111, 223–233. [Google Scholar] [CrossRef]
- Chen, C.-C.; Chiang, K.-P.; Gong, G.-C.; Shiah, F.-K.; Tseng, C.-M.; Liu, K.-K. Importance of planktonic community respiration on the carbon balance of the East China Sea in summer. Glob. Biogeochem. Cycles 2006, 20, 1–14. [Google Scholar] [CrossRef]
- Tseng, C.M.; Liu, K.-K.; Gong, G.-C.; Shen, P.-Y.; Cai, W.-J. CO2 uptake in the East China Sea relying on Changjiang runoff is prone to change. Geophys. Res. Lett. 2011, 38, 1–6. [Google Scholar] [CrossRef]
- Milliman, J.D.; Shen, H.T.; Yang, Z.S.; Mead, R.H. Transport and deposition of river sediment in the Changjiang estuary and adjacent continental shelf. Cont. Shelf Res. 1985, 4, 37–45. [Google Scholar] [CrossRef]
- Edmond, J.M.; Spivack, A.; Grant, B.C.; Hu, M.H.; Chen, Z.; Chen, S.; Zeng, X. Chemical dynamics of the Changjiang estuary. Cont. Shelf Res. 1985, 4, 17–36. [Google Scholar] [CrossRef]
- Zhang, J.; Liu, S.M.; Ren, J.L.; Wu, Y.; Zhang, G.L. Nutrient gradients from the eutrophic Changjiang (Yangtze River) Estuary to the oligotrophic Kuroshio waters and re-evaluation of budgets for the East China Sea Shelf. Prog. Oceanogr. 2007, 74, 449–478. [Google Scholar] [CrossRef]
- Chen, C.-C.; Hsu, S.-C.; Jan, S.; Gong, G.-C. Episodic events imposed on the seasonal nutrient dynamics of an upwelling system off northeastern Taiwan. J. Mar. Syst. 2015, 141, 128–135. [Google Scholar] [CrossRef]
- Chen, C.-T.A. The Kuroshio intermediate water is the major source of nutrients on the East China Sea continental shelf. Oceanol. Acta 1996, 19, 523–527. [Google Scholar]
- Yang, D.; Yin, B.; Sun, J.; Zhang, Y. Numerical study on the origins and the forcing mechanism of the phosphate in upwelling areas off the coast of Zhejiang province, China in summer. J. Mar. Syst. 2013, 123–124, 1–18. [Google Scholar] [CrossRef]
- Wang, W.; Yu, Z.; Song, X.; Wu, Z.; Yuan, Y.; Zhou, P.; Cao, X. The effect of Kuroshio Current on nitrate dynamics in the southern East China Sea revealed by nitrate isotopic composition. J. Geophys. Res. 2016, 121, 7073–7087. [Google Scholar] [CrossRef]
- Chou, W.-C.; Sheu, D.D.; Chen, C.-T.A.; Wen, L.-S.; Yang, Y.; Wei, C.-L. Transport of the South China Sea subsurface water outflow and its influence on carbon chemistry of Kuroshio waters off southeastern Taiwan. J. Geophys. Res. 2007, 112, 1–11. [Google Scholar] [CrossRef]
- Sheu, D.D.; Chou, W.-C.; Chen, C.-T.A.; Wei, C.-L.; Hsieh, H.-L.; Hou, W.-P.; Dai, M.H. Riding over the Kuroshio from the South to the East China Sea: Mixing and transport of DIC. Geophys. Res. Lett. 2009, 36, 251–254. [Google Scholar] [CrossRef]
- Chen, C.-T.A. Distributions of nutrients in the East China Sea and the South China Sea connection. J. Oceanogr. 2008, 64, 737–751. [Google Scholar] [CrossRef]
- Yang, D.Z.; Yin, B.S.; Hou, Y.J.; Sun, S.; Yu, Z.M.; Song, J.M.; Xu, L.J.; Yu, F.; Song, X.X.; Yu, R.C.; et al. Advance in research on Kuroshio intrusion and its ecological influence on the continental shelf of East China Sea. Oceanol. Limnol. Sin. 2007, 48, 1196–1207, (in Chinese with English abstract). [Google Scholar]
- Dai, A.G.; Trenberth, K.E. Estimates of freshwater discharge from continents: Latitudinal and seasonal variations. J. Hydrometeorol. 2002, 3, 660–687. [Google Scholar] [CrossRef]
- Stommel, H.M.; Yoshida, K. Kuroshio: Its Physical Aspects; University of Tokyo Press: Tokyo, Japan, 1972. [Google Scholar]
- Yang, D.Z.; Yin, B.S.; Liu, Z.L.; Feng, X.R. Numerical study of the ocean circulation on the East China Sea shelf and a Kuroshio bottom branch northeast of Taiwan in summer. J. Geophys. Res. 2011, 116, C05015. [Google Scholar] [CrossRef]
- Jan, S.; Yang, Y.J.; Wang, J.; Mensah, V.; Kuo, T.-H.; Chiou, M.-D.; Chern, C.-S.; Chang, M.-H.; Chien, H. Large variability of the Kuroshio at 23.75 degrees N east of Taiwan. J. Geophys. Res. 2015, 120, 1825–1840. [Google Scholar] [CrossRef]
- Qiu, B.; Imasato, N. A Numerical Study on the Formation of the Kuroshio Counter Current and the Kuroshio Branch Current in the East China Sea. Cont. Shelf Res. 1990, 10, 165–184. [Google Scholar] [CrossRef]
- Dickson, A.G.; Sabine, C.L.; Christian, J.R. Guide to Best Practices for Ocean CO2 Measurements; North Pacific Marine Science Organization: Sidney, BC, Canada, 2007. [Google Scholar]
- Zhai, W.D.; Zheng, N.; Huo, C.; Xu, Y.; Zhao, H.D.; Li, Y.W.; Zang, K.P.; Wang, J.Y.; Xu, X.M. Subsurface pH and carbonate saturation state of aragonite on the Chinese side of the North Yellow Sea: Seasonal variations and controls. Biogeosciences 2014, 11, 1103–1123. [Google Scholar] [CrossRef]
- Fu, M.Z.; Wang, Z.L.; Li, Y.; Li, R.X.; Sun, P.; Wei, X.H.; Lin, X.Z.; Guo, J.S. Phytoplankton biomass size structure and its regulation in the Southern Yellow Sea (China): Seasonal variability. Cont. Shelf Res. 2009, 29, 2178–2194. [Google Scholar] [CrossRef]
- Lewis, E.; Wallace, D.W.R. Program Developed for CO2 System Calculations; Report ORNLrCDIAC-105; Carbon Dioxide Information Analysis Center, Oak Ridge National Laboratory: Oak Ridge, TN, USA, February 1998.
- Mehrbach, C.; Culberson, C.H.; Hawley, J.E.; Pytkowicz, R.M. Measurement of apparent dissociation constants of carbonic acid in seawater at atmospheric pressure. Limnol. Oceanogr. 1973, 18, 897–907. [Google Scholar] [CrossRef]
- Dickson, A.G.; Millero, F.J. A comparison of the equilibrium constants for the dissociation of carbonic acid in seawater media. Deep Sea Res. 1987, 34, 1733–1743. [Google Scholar] [CrossRef]
- Dickson, A.G. Standard potential of the reaction: AgCl(s) + 1/2H2(g) = Ag(s) + HCl(aq) and the standard acidity constant of the ion HSO4− in synthetic seawater from 273.15 to 318.15 K. J. Chem. Thermodyn. 1990, 22, 113–127. [Google Scholar] [CrossRef]
- Dickson, A.G. Thermodynamics of the dissociation of boric acid in synthetic seawater from 273.15 to 318.15 K. Deep Sea Res. Part I 1990, 37, 755–766. [Google Scholar] [CrossRef]
- Bryan, J.R.; Riley, J.P.; Williams, P.J.L. Winkler procedure for making precise measurements of oxygen concentration for productivity and related studies. J. Exp. Mar. Biol. Ecol. 1976, 21, 191–197. [Google Scholar] [CrossRef]
- Hung, J.-J.; Lin, P.-L.; Liu, K.-K. Dissolved and particulate organic carbon in the southern East China Sea. Cont. Shelf Res. 2000, 20, 545–569. [Google Scholar] [CrossRef]
- Yuan, D.L.; Zhu, J.R.; Li, C.Y.; Hu, D.X. Cross-shelf circulation in the Yellow and East China Seas indicated by MODIS satellite observations. J. Mar. Syst. 2008, 70, 134–149. [Google Scholar] [CrossRef]
- Chen, C.-T.A. Chemical and physical fronts in the Bohai, Yellow and East China seas. J. Mar. Syst. 2009, 78, 394–410. [Google Scholar] [CrossRef]
- Chen, C.-T.A.; Wang, S.-L. A salinity front in the southern East China Sea separating the Chinese coastal and Taiwan Strait waters from Kuroshio waters. Cont. Shelf Res. 2006, 26, 1636–1653. [Google Scholar] [CrossRef]
- Ichikawa, H.; Chaen, M. Seasonal variation of heat and freshwater transports by the Kuroshio in the East China Sea. J. Mar. Syst. 2000, 24, 119–129. [Google Scholar] [CrossRef]
- Qi, J.F.; Yin, B.S.; Zhang, Q.L.; Yang, D.Z.; Xu, Z.H. Analysis of seasonal variation of water masses in East China Sea. Chinese J. Oceanol. Limnol. 2014, 32, 958–971. [Google Scholar] [CrossRef]
- Sheu, D.D.; Lee, W.Y.; Wang, C.H.; Wei, C.L.; Chen, C.T.A.; Cherng, C.; Huang, M.H. Depth distribution of delta δ13C of dissolved ∑CO2 in seawater off eastern Taiwan: Effects of the Kuroshio current and its associated upwelling phenomenon. Cont. Shelf Res. 1996, 16, 1609–1619. [Google Scholar] [CrossRef]
- Fuenzalida, R.; Schneider, W.; Garces-Vargas, J.; Bravo, L.; Lange, C. Vertical and horizontal extension of the oxygen minimum zone in the eastern South Pacific Ocean. Deep Sea Res. Part II Top. Stud. Oceanogr. 2009, 56, 1027–1038. [Google Scholar] [CrossRef]
- Karstensen, J.; Stramma, L.; Visbeck, M. Oxygen minimum zones in the eastern tropical Atlantic and Pacific oceans. Prog. Oceanogr. 2008, 77, 331–350. [Google Scholar] [CrossRef]
- Ulloa, O.; Pantoja, S. The oxygen minimum zone of the eastern South Pacific. Deep Sea Res. Part II Top. Stud. Oceanogr. 2009, 56, 987–991. [Google Scholar] [CrossRef]
- Hung, J.-J.; Chen, C.-H.; Gong, G.-C.; Sheu, D.D.; Shiah, F.-K. Distributions, stoichiometric patterns and cross-shelf exports of dissolved organic matter in the East China Sea. Deep Sea Res. Part II Top. Stud. Oceanogr. 2003, 50, 1127–1145. [Google Scholar] [CrossRef]
- Millero, F.J. Thermodynamics of the carbon dioxide system in the oceans. Geochim. Cosmochim. Acta 1995, 59, 661–677. [Google Scholar] [CrossRef]
- Takahashi, T.; Sutherland, S.C.; Sweeney, C.; Poisson, A.; Metzl, N.; Tilbrook, B.; Bates, N.; Wanninkhof, R.; Feely, R.A.; Sabine, C.; et al. Global sea-air CO2 flux based on climatological surface ocean pCO2 and seasonal biological and temperature effects. Deep Sea Res. Part II Top. Stud. Oceanogr. 2002, 49, 1601–1622. [Google Scholar] [CrossRef]
- Chen, F.; Cai, W.-J.; Claudia, B.-N.; Wang, Y. Sea surface pCO2-SST relationships across a cold-core cyclonic eddy: Implications for understanding regional variability and air-sea gas exchange. Geophys. Res. Lett. 2007, 341, 265–278. [Google Scholar]
- Zhang, L.J.; Xue, L.; Song, M.Q.; Jiang, C.B. Distribution of the surface partial pressure of CO2 in the southern Yellow Sea and its controls. Cont. Shelf Res. 2010, 30, 293–304. [Google Scholar] [CrossRef]
- Yang, D.Z.; Yin, B.S.; Liu, Z.L.; Bai, T.; Qi, J.F.; Chen, H.Y. Numerical study on the pattern and origins of Kuroshio branches in the bottom water of southern East China Sea in summer. J. Geophys. Res. 2012, 117, C02014. [Google Scholar] [CrossRef]
- Sarmiento, J.L.; Gruber, N. Carbon cycle. In Ocean Biogeochemical Dynamics; Sarmiento, J.L., Gruber, N., Eds.; Princeton University Press: Princeton, NJ, USA, 2006; pp. 318–358. [Google Scholar]
- Zuo, J.L.; Song, J.M.; Yuan, H.M.; Li, X.G.; Li, N.; Duan, L.Q. Particulate nitrogen and phosphorus in the East China Sea and its adjacent Kuroshio waters and evaluation of budgets for the East China Sea Shelf. Cont. Shelf Res. 2016, 131, 1–11. [Google Scholar] [CrossRef]
- Zhou, F.; Xue, H.; Huang, D.; Xuan, J.; Ni, X.; Xiu, P.; Hao, Q. Cross-shelf exchange in the shelf of the East China Sea. J. Geophys. Res. 2015, 120, 1545–1572. [Google Scholar] [CrossRef]











| Water types | Temperature (°C) | Salinity (PSU) |
|---|---|---|
| ECSCW | 18.87 < T < 23.88 | 26.34 < S < 31.20 |
| TWC | 21.69 < T < 25.83 | 31.33 < S < 34.28 |
| SMW | 16.25 < T < 21.02 | 31.40 < S < 34.49 |
| KSW | 20.39 < T < 27.89 | 34.34 < S < 34.82 |
| KSSW | 14.35 < T < 21.45 | 34.52 < S < 34.79 |
| KIW | 4.99 < T < 12.83 | 34.23 < S < 34.43 |
| KDW | 1.89 < T < 5.40 | 34.35 < S < 34.62 |
| T (°C) | Salinity | ρ (kg/m3) | Chl a (μg/L) | DO (mg/L) | |
|---|---|---|---|---|---|
| KSW | 27.74 ± 2.26 | 34.68 ± 0.13 | 23.16 ± 0.76 | 025 ± 0.25 | 6.7 ± 0.2 |
| KSSW | 17.92 ± 2.29 | 34.69 ± 0.10 | 25.04 ± 0.49 | 0.04 ± 0.03 | 6.2 ± 0.3 |
| KIW | 8.01 ± 2.63 | 34.33 ± 0.05 | 26.71 ± 0.39 | not detected | 3.6 ± 1.0 |
| KDW | 2.99 ± 0.99 | 34.52 ± 0.08 | 27.50 ± 0.16 | not detected | 3.3 ± 0.6 |
| KSW | KSSW | KIW | KDW | |
|---|---|---|---|---|
| pH@25 °C | 8.141 ± 0.05 | 8.013 ± 0.069 | 7.692 ± 0.135 | 7.606 ± 0.043 |
| DIC (μmol/kg) | 1930 ± 51 | 2064 ± 46 | 2274 ± 63 | 2389 ± 16 |
| DIC/TAlk | 0.84 ± 0.02 | 0.90 ± 0.02 | 0.98 ± 0.02 | 0.99 ± 0.01 |
| pCO2 (μatm) | 312 ± 68 | 597 ± 156 | 1869 ± 568 | 2401 ± 216 |
| RF | 8.74 ± 0.59 | 11.07 ± 1.17 | 15.98 ± 1.10 | 16.80 ± 0.10 |
| POC (μmol/L) | 2.5 ± 1.0 | 1.1 ± 0.7 | 0.9 ± 0.3 | 0.9 ± 0.2 |
| ΩCa | 6.1 ± 0.7 | 4.0 ± 0.7 | 1.6 ± 0.5 | 1.1 ± 0.1 |
| Water Flux | DIC Input (1012 g) | POC Input (1012 g) | |
|---|---|---|---|
| KSW | 0.781 | 285 | 0.37 |
| KSSW | 0.781 | 305 | 0.16 |
| KIW | 0.260 | 112 | 0.04 |
| total | 1.82 | 702 | 0.57 |
© 2018 by the authors. Licensee MDPI, Basel, Switzerland. This article is an open access article distributed under the terms and conditions of the Creative Commons Attribution (CC BY) license (http://creativecommons.org/licenses/by/4.0/).
Share and Cite
Qu, B.; Song, J.; Yuan, H.; Li, X.; Li, N. Carbon Chemistry in the Mainstream of Kuroshio Current in Eastern Taiwan and Its Transport of Carbon into the East China Sea Shelf. Sustainability 2018, 10, 791. https://doi.org/10.3390/su10030791
Qu B, Song J, Yuan H, Li X, Li N. Carbon Chemistry in the Mainstream of Kuroshio Current in Eastern Taiwan and Its Transport of Carbon into the East China Sea Shelf. Sustainability. 2018; 10(3):791. https://doi.org/10.3390/su10030791
Chicago/Turabian StyleQu, Baoxiao, Jinming Song, Huamao Yuan, Xuegang Li, and Ning Li. 2018. "Carbon Chemistry in the Mainstream of Kuroshio Current in Eastern Taiwan and Its Transport of Carbon into the East China Sea Shelf" Sustainability 10, no. 3: 791. https://doi.org/10.3390/su10030791
APA StyleQu, B., Song, J., Yuan, H., Li, X., & Li, N. (2018). Carbon Chemistry in the Mainstream of Kuroshio Current in Eastern Taiwan and Its Transport of Carbon into the East China Sea Shelf. Sustainability, 10(3), 791. https://doi.org/10.3390/su10030791
