Distribution of Environmental Phenols into Follicular Fluid and Urine of Women Attending Infertility Clinic
Abstract
1. Introduction
2. Materials and Methods
2.1. Reagents and Materials
2.2. Sample Collection
2.3. Analytical Methods
2.4. QA/QC
2.5. Statistical Analysis
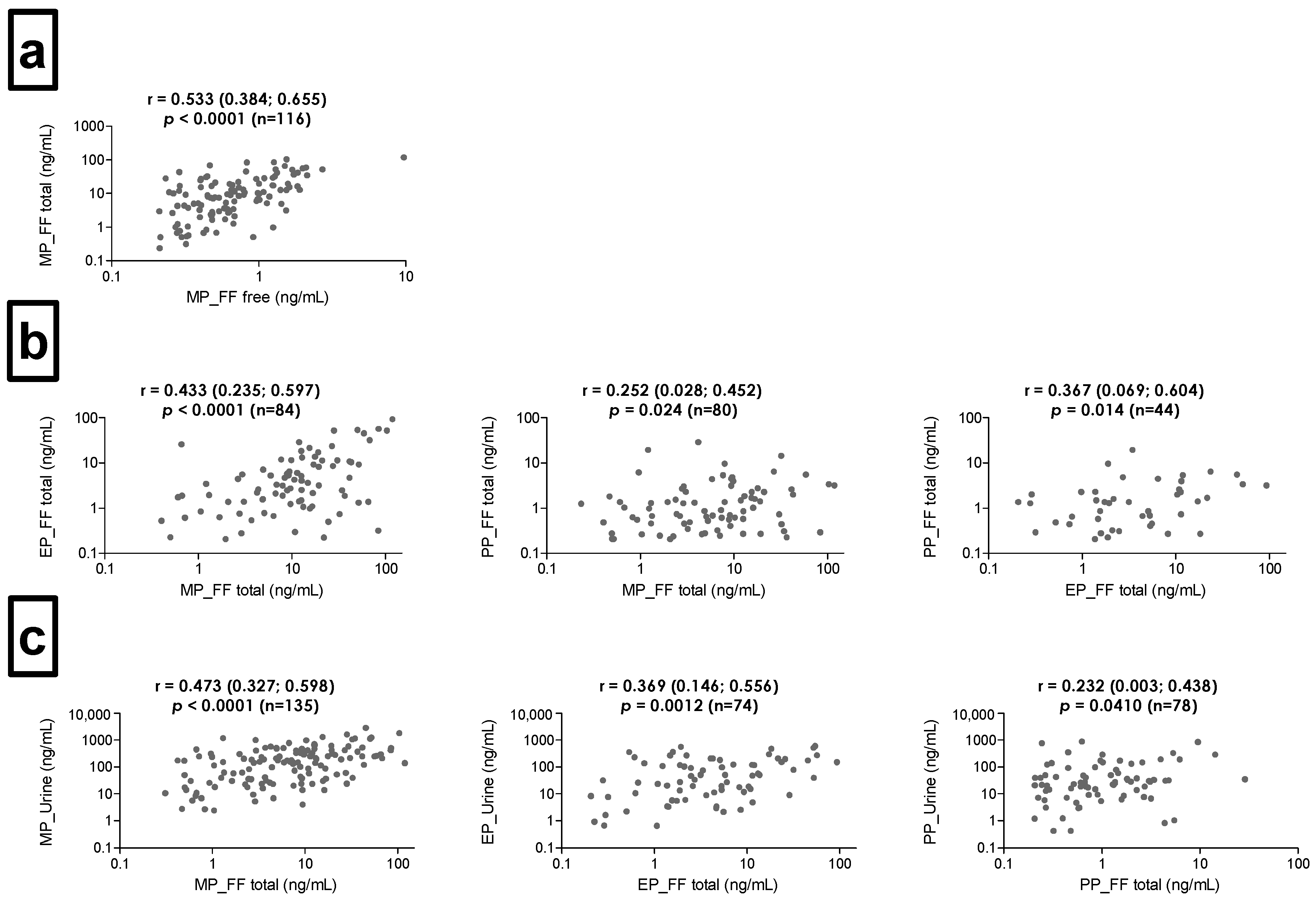
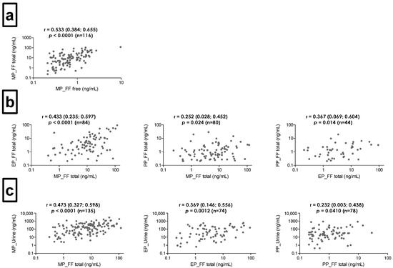
3. Results
3.1. FF Method Optimization
3.2. Concentrations in FF and Urine Samples
4. Discussion
5. Strengths and Limitations
6. Conclusions
Supplementary Materials
Author Contributions
Funding
Institutional Review Board Statement
Informed Consent Statement
Data Availability Statement
Conflicts of Interest
References
- Vandenberg, L.N.; Colborn, T.; Hayes, T.B.; Heindel, J.J.; Jacobs, D.R.; Lee, D.-H.; Shioda, T.; Soto, A.M.; vom Saal, F.S.; Welshons, W.V.; et al. Hormones and Endocrine-Disrupting Chemicals: Low-Dose Effects and Nonmonotonic Dose Responses. Endocr. Rev. 2012, 33, 378–455. [Google Scholar] [CrossRef]
- Dewalque, L.; Pirard, C.; Charlier, C. Measurement of Urinary Biomarkers of Parabens, Benzophenone-3, and Phthalates in a Belgian Population. Biomed. Res. Int. 2014, 2014, 649314. [Google Scholar] [CrossRef] [PubMed]
- Larsson, K.; Ljung Björklund, K.; Palm, B.; Wennberg, M.; Kaj, L.; Lindh, C.H.; Jönsson, B.A.G.; Berglund, M. Exposure Determinants of Phthalates, Parabens, Bisphenol A and Triclosan in Swedish Mothers and Their Children. Environ. Int. 2014, 73, 323–333. [Google Scholar] [CrossRef] [PubMed]
- Rodzaj, W.; Wileńska, M.; Klimowska, A.; Dziewirska, E.; Jurewicz, J.; Walczak-Jędrzejowska, R.; Słowikowska-Hilczer, J.; Hanke, W.; Wielgomas, B. Concentrations of Urinary Biomarkers and Predictors of Exposure to Pyrethroid Insecticides in Young, Polish, Urban-Dwelling Men. Sci. Total Environ. 2021, 773, 145666. [Google Scholar] [CrossRef] [PubMed]
- Giulivo, M.; Lopez De Alda, M.; Capri, E.; Barceló, D. Human Exposure to Endocrine Disrupting Compounds: Their Role in Reproductive Systems, Metabolic Syndrome and Breast Cancer. A Review. Environ. Res. 2016, 151, 251–264. [Google Scholar] [CrossRef] [PubMed]
- Mallozzi, M.; Bordi, G.; Garo, C.; Caserta, D. The Effect of Maternal Exposure to Endocrine Disrupting Chemicals on Fetal and Neonatal Development: A Review on the Major Concerns. Birth Defects Res. C Embryo Today 2016, 108, 224–242. [Google Scholar] [CrossRef] [PubMed]
- Rattan, S.; Zhou, C.; Chiang, C.; Mahalingam, S.; Brehm, E.; Flaws, J.A. Exposure to Endocrine Disruptors during Adulthood: Consequences for Female Fertility. J. Endocrinol. 2017, 233, R109–R129. [Google Scholar] [CrossRef] [PubMed]
- Rochester, J.R.; Bolden, A.L. Bisphenol S and F: A Systematic Review and Comparison of the Hormonal Activity of Bisphenol A Substitutes. Environ. Health Perspect. 2015, 123, 643–650. [Google Scholar] [CrossRef] [PubMed]
- Smarr, M.M.; Sundaram, R.; Honda, M.; Kannan, K.; Louis, G.M.B. Urinary Concentrations of Parabens and Other Antimicrobial Chemicals and Their Association with Couples’ Fecundity. Environ. Health Perspect. 2017, 125, 730–736. [Google Scholar] [CrossRef]
- Birnbaum, L.S.; Miller, M.F. Prenatal Programming and Toxicity (PPTOX) Introduction. Endocrinology 2015, 156, 3405–3407. [Google Scholar] [CrossRef][Green Version]
- Wu, L.J.; Teng, X.M.; Yao, Y.C.; Liu, C.; Du, Y.Y.; Deng, T.R.; Yuan, X.Q.; Zeng, Q.; Li, Y.F.; Guo, N. Maternal Preconception Phthalate Metabolite Concentrations in Follicular Fluid and Neonatal Birth Weight Conceived by Women Undergoing in Vitro Fertilization. Environ. Pollut. 2020, 267, 115584. [Google Scholar] [CrossRef] [PubMed]
- Gosden, R.G.; Hunter, R.H.F.; Telfer, E.; Torrance, C.; Brown, N. Physiological Factors Underlying the Formation of Ovarian Follicular Fluid. Reproduction 1988, 82, 813–825. [Google Scholar] [CrossRef]
- Rodgers, R.J.; Irving-Rodgers, H.F. Formation of the Ovarian Follicular Antrum and Follicular Fluid1. Biol. Reprod. 2010, 82, 1021–1029. [Google Scholar] [CrossRef] [PubMed]
- Perloff, W.H.; Schultz, J.; Farris, E.J.; Balin, H. Some Aspects of the Chemical Nature of Human Ovarian Follicular Fluid. Fertil. Steril. 1955, 6, 11–17. [Google Scholar] [CrossRef] [PubMed]
- Dumesic, D.A.; Meldrum, D.R.; Katz-Jaffe, M.G.; Krisher, R.L.; Schoolcraft, W.B. Oocyte Environment: Follicular Fluid and Cumulus Cells Are Critical for Oocyte Health. Fertil. Steril. 2015, 103, 303–316. [Google Scholar] [CrossRef] [PubMed]
- Fortune, J.E.; Rivera, G.M.; Yang, M.Y. Follicular Development: The Role of the Follicular Microenvironment in Selection of the Dominant Follicle. Anim. Reprod. Sci. 2004, 82–83, 109–126. [Google Scholar] [CrossRef] [PubMed]
- Chao, H.-H.; Zhang, X.-F.; Chen, B.; Pan, B.; Zhang, L.-J.; Li, L.; Sun, X.-F.; Shi, Q.-H.; Shen, W. Bisphenol A Exposure Modifies Methylation of Imprinted Genes in Mouse Oocytes via the Estrogen Receptor Signaling Pathway. Histochem. Cell Biol. 2012, 137, 249–259. [Google Scholar] [CrossRef] [PubMed]
- Johnson, P.I.; Altshul, L.; Cramer, D.W.; Missmer, S.A.; Hauser, R.; Meeker, J.D. Serum and Follicular Fluid Concentrations of Polybrominated Diphenyl Ethers and In-Vitro Fertilization Outcome. Environ. Int. 2012, 45, 9–14. [Google Scholar] [CrossRef] [PubMed]
- Petro, E.M.L.; Leroy, J.L.M.R.; Covaci, A.; Fransen, E.; De Neubourg, D.; Dirtu, A.C.; De Pauw, I.; Bols, P.E.J. Endocrine-Disrupting Chemicals in Human Follicular Fluid Impair in Vitro Oocyte Developmental Competence. Human. Reprod. 2012, 27, 1025–1033. [Google Scholar] [CrossRef]
- Björvang, R.D.; Hallberg, I.; Pikki, A.; Berglund, L.; Pedrelli, M.; Kiviranta, H.; Rantakokko, P.; Ruokojärvi, P.; Lindh, C.H.; Olovsson, M.; et al. Follicular Fluid and Blood Levels of Persistent Organic Pollutants and Reproductive Outcomes among Women Undergoing Assisted Reproductive Technologies. Environ. Res. 2022, 208, 112626. [Google Scholar] [CrossRef]
- Lefebvre, T.; Fréour, T.; Duval, G.; Ploteau, S.; Marchand, P.; Le Bizec, B.; Antignac, J.P.; Cano-Sancho, G. Associations between Internal Concentrations of Fluorinated and Organochlorinated Chemicals in Women and in Vitro Fertilization Outcomes: A Multi-Pollutant Study. Environ. Pollut. 2022, 313, 120087. [Google Scholar] [CrossRef]
- Kim, Y.R.; White, N.; Bräunig, J.; Vijayasarathy, S.; Mueller, J.F.; Knox, C.L.; Harden, F.A.; Pacella, R.; Toms, L.M.L. Per- and Poly-Fluoroalkyl Substances (PFASs) in Follicular Fluid from Women Experiencing Infertility in Australia. Environ. Res. 2020, 190, 109963. [Google Scholar] [CrossRef] [PubMed]
- Hallberg, I.; Björvang, R.D.; Hadziosmanovic, N.; Koekkoekk, J.; Pikki, A.; van Duursen, M.; Lenters, V.; Sjunnesson, Y.; Holte, J.; Berglund, L.; et al. Associations between Lifestyle Factors and Levels of Per- and Polyfluoroalkyl Substances (PFASs), Phthalates and Parabens in Follicular Fluid in Women Undergoing Fertility Treatment. J. Expo. Sci. Environ. Epidemiol. 2023, 33, 699–709. [Google Scholar] [CrossRef] [PubMed]
- Beck, A.L.; Rehfeld, A.; Mortensen, L.J.; Lorenzen, M.; Andersson, A.-M.; Juul, A.; Bentin-Ley, U.; Krog, H.; Frederiksen, H.; Petersen, J.H.; et al. Ovarian Follicular Fluid Levels of Phthalates and Benzophenones in Relation to Fertility Outcomes. Environ. Int. 2024, 183, 108383. [Google Scholar] [CrossRef] [PubMed]
- Bellavia, A.; Zou, R.; Björvang, R.D.; Roos, K.; Sjunnesson, Y.; Hallberg, I.; Holte, J.; Pikki, A.; Lenters, V.; Portengen, L.; et al. Association between Chemical Mixtures and Female Fertility in Women Undergoing Assisted Reproduction in Sweden and Estonia. Environ. Res. 2023, 216, 114447. [Google Scholar] [CrossRef] [PubMed]
- Tian, T.; Hao, Y.; Wang, Y.; Xu, X.; Long, X.; Yan, L.; Zhao, Y.; Qiao, J. Mixed and Single Effects of Endocrine Disrupting Chemicals in Follicular Fluid on Likelihood of Diminished Ovarian Reserve: A Case-Control Study. Chemosphere 2023, 330, 138727. [Google Scholar] [CrossRef] [PubMed]
- Hoffmann-Dishon, N.; Barnett-Itzhaki, Z.; Zalko, D.; Hemi, R.; Farzam, N.; Hauser, R.; Racowsky, C.; Baccarelli, A.A.; Machtinger, R. Endocrine-Disrupting Chemical Concentrations in Follicular Fluid and Follicular Reproductive Hormone Levels. J. Assist. Reprod. Genet. 2024, 41, 1637–1642. [Google Scholar] [CrossRef] [PubMed]
- Klimowska, A.; Wynendaele, E.; Wielgomas, B. Quantification and Stability Assessment of Urinary Phenolic and Acidic Biomarkers of Non-Persistent Chemicals Using the SPE-GC/MS/MS Method. Anal. Bioanal. Chem. 2023, 415, 2227–2238. [Google Scholar] [CrossRef]
- Hornung, R.W.; Reed, L.D. Estimation of Average Concentration in the Presence of Nondetectable Values. Appl. Occup. Environ. Hyg. 1990, 5, 46–51. [Google Scholar] [CrossRef]
- World Health Organization (WHO). Infertility Prevalence Estimates, 1990–2021; WHO: Geneva, Switzerland, 2023. [Google Scholar]
- European Society of Human Reproduction and Embryology (ESHRE). Factsheet on ART. 2023. Available online: https://www.eshre.eu/-/media/sitecore-files/Press-room/ESHRE_ARTFactSheet_Nov_2023.pdf (accessed on 15 January 2025).
- Brinca, A.T.; Ramalhinho, A.C.; Sousa, Â.; Oliani, A.H.; Breitenfeld, L.; Passarinha, L.A.; Gallardo, E. Follicular Fluid: A Powerful Tool for the Understanding and Diagnosis of Polycystic Ovary Syndrome. Biomedicines 2022, 10, 1254. [Google Scholar] [CrossRef] [PubMed]
- McCoy, J.A.; Bangma, J.T.; Reiner, J.L.; Bowden, J.A.; Schnorr, J.; Slowey, M.; O’Leary, T.; Guillette, L.J.; Parrott, B.B. Associations between Perfluorinated Alkyl Acids in Blood and Ovarian Follicular Fluid and Ovarian Function in Women Undergoing Assisted Reproductive Treatment. Sci. Total Environ. 2017, 605–606, 9–17. [Google Scholar] [CrossRef] [PubMed]
- Hong, A.; Zhuang, L.; Cui, W.; Lu, Q.; Yang, P.; Su, S.; Wang, B.; Zhang, G.; Chen, D. Per- and Polyfluoroalkyl Substances (PFAS) Exposure in Women Seeking in Vitro Fertilization-Embryo Transfer Treatment (IVF-ET) in China: Blood-Follicular Transfer and Associations with IVF-ET Outcomes. Sci. Total Environ. 2022, 838, 156323. [Google Scholar] [CrossRef] [PubMed]
- Petro, E.M.L.; D’Hollander, W.; Covaci, A.; Bervoets, L.; Fransen, E.; De Neubourg, D.; De Pauw, I.; Leroy, J.L.M.R.; Jorssen, E.P.A.; Bols, P.E.J. Perfluoroalkyl Acid Contamination of Follicular Fluid and Its Consequence for in Vitro Oocyte Developmental Competence. Sci. Total Environ. 2014, 496, 282–288. [Google Scholar] [CrossRef] [PubMed]
- Bloom, M.S.; Fujimoto, V.Y.; Storm, R.; Zhang, L.; Butts, C.D.; Sollohub, D.; Jansing, R.L. Persistent Organic Pollutants (POPs) in Human Follicular Fluid and in Vitro Fertilization Outcomes, a Pilot Study. Reprod. Toxicol. 2017, 67, 165–173. [Google Scholar] [CrossRef]
- Lefebvre, T.; Fréour, T.; Ploteau, S.; Marchand, P.; Le Bizec, B.; Antignac, J.P.; Cano-Sancho, G. Mixtures of Persistent Organic Pollutants and Ovarian Function in Women Undergoing IVF. Reprod. Biomed. Online 2023, 46, 129–137. [Google Scholar] [CrossRef] [PubMed]
- Hao, Y.; Wang, Y.; Yan, L.; Xu, X.; Chen, D.; Zhao, Y.; Qiao, J. Synthetic Phenolic Antioxidants and Their Metabolites in Follicular Fluid and Association with Diminished Ovarian Reserve: A Case–Control Study. Environ. Health Perspect. 2023, 131, 067005. [Google Scholar] [CrossRef]
- Jin, Y.; Zhang, Q.; Pan, J.X.; Wang, F.F.; Qu, F. The Effects of Di(2-Ethylhexyl) Phthalate Exposure in Women with Polycystic Ovary Syndrome Undergoing in Vitro Fertilization. J. Int. Med. Res. 2019, 47, 6278–6293. [Google Scholar] [CrossRef] [PubMed]
- Krawczyk, K.; Marynowicz, W.; Gogola-Mruk, J.; Jakubowska, K.; Tworzydło, W.; Opydo-Chanek, M.; Ptak, A. A Mixture of Persistent Organic Pollutants Detected in Human Follicular Fluid Increases Progesterone Secretion and Mitochondrial Activity in Human Granulosa HGrC1 Cells. Reprod. Toxicol. 2021, 104, 114–124. [Google Scholar] [CrossRef]
- Samardzija Nenadov, D.; Tesic, B.; Fa, S.; Pogrmic-Majkic, K.; Kokai, D.; Stanic, B.; Andric, N. Long-Term in Vitro Exposure of Human Granulosa Cells to the Mixture of Endocrine Disrupting Chemicals Found in Human Follicular Fluid Disrupts Steroidogenesis. Toxicol. In Vitro 2022, 79, 105302. [Google Scholar] [CrossRef]
- Li, Y.; Xiao, N.; Liu, M.; Liu, Y.; He, A.; Wang, L.; Luo, H.; Yao, Y.; Sun, H. Dysregulation of Steroid Metabolome in Follicular Fluid Links Phthalate Exposure to Diminished Ovarian Reserve of Childbearing-Age Women. Environ. Pollut. 2023, 330, 121730. [Google Scholar] [CrossRef] [PubMed]
- Heffernan, A.L.; Cunningham, T.K.; Drage, D.S.; Aylward, L.L.; Thompson, K.; Vijayasarathy, S.; Mueller, J.F.; Atkin, S.L.; Sathyapalan, T. Perfluorinated Alkyl Acids in the Serum and Follicular Fluid of UK Women with and without Polycystic Ovarian Syndrome Undergoing Fertility Treatment and Associations with Hormonal and Metabolic Parameters. Int. J. Hyg. Environ. Health 2018, 221, 1068–1075. [Google Scholar] [CrossRef]
- Du, Y.Y.; Fang, Y.L.; Wang, Y.X.; Zeng, Q.; Guo, N.; Zhao, H.; Li, Y.F. Follicular Fluid and Urinary Concentrations of Phthalate Metabolites among Infertile Women and Associations with in Vitro Fertilization Parameters. Reprod. Toxicol. 2016, 61, 142–150. [Google Scholar] [CrossRef]
- Yao, Y.C.; Du, Y.Y.; Wang, Y.X.; Deng, T.R.; Liu, C.; Teng, X.M.; Hua, X.; Yuan, X.Q.; Guo, N.; Yin, L.; et al. Predictors of Phthalate Metabolites in Urine and Follicular Fluid and Correlations between Urine and Follicular Fluid Phthalate Metabolite Concentrations among Women Undergoing in Vitro Fertilization. Environ. Res. 2020, 184, 109295. [Google Scholar] [CrossRef] [PubMed]
- Preau, J.L.; Wong, L.-Y.Y.; Silva, M.J.; Needham, L.L.; Calafat, A.M. Variability over 1 Week in the Urinary Concentrations of Metabolites of Diethyl Phthalate and Di(2-Ethylhexyl) Phthalate among Eight Adults: An Observational Study. Environ. Health Perspect. 2010, 118, 1748–1754. [Google Scholar] [CrossRef] [PubMed]
- Roggeman, M.; Gys, C.; Klimowska, A.; Bastiaensen, M.; Wielgomas, B.; Yu, A.B.; Covaci, A. Reviewing the Variability in Urinary Concentrations of Non-Persistent Organic Chemicals: Evaluation across Classes, Sampling Strategies and Dilution Corrections. Environ. Res. 2022, 215, 114332. [Google Scholar] [CrossRef] [PubMed]
- Biesterbos, J.W.H.; Dudzina, T.; Delmaar, C.J.E.; Bakker, M.I.; Russel, F.G.M.; von Goetz, N.; Scheepers, P.T.J.; Roeleveld, N. Usage Patterns of Personal Care Products: Important Factors for Exposure Assessment. Food Chem. Toxicol. 2013, 55, 8–17. [Google Scholar] [CrossRef] [PubMed]
- MacDonald, D.; Dildar, Y. Social and Psychological Determinants of Consumption: Evidence for the Lipstick Effect during the Great Recession. J. Behav. Exp. Econ. 2020, 86, 101527. [Google Scholar] [CrossRef]


| FF_Free | FF_Total | Urine | |||||||
|---|---|---|---|---|---|---|---|---|---|
| %>LOD | GM (±95% CI) | Median (Min–Max) | %>LOD | GM (±95% CI) | Median (Min–Max) | %>LOD | GM (±95% CI) | Median (Min–Max) | |
| MP | |||||||||
| All | 78.6 | 0.435 (0.370–0.512) | 0.474 (<LOD–9.71) | 93.5 | 4.72 (3.63–6.14) | 6.18 (<LOD–119) | 98.6 | 95.8 (72.6–127) | 149 (<LOD–2786) |
| Cases | 71.9 | 0.427 (0.315–0.577) | 0.448 (<LOD–9.71) | 92.2 | 5.23 (3.32–8.25) | 8.18 (<LOD–119) | 98.3 | 79.4 (50.2–126) | 83.0 (<LOD–2786) |
| Controls | 83.3 | 0.441 (0.366–0.532) | 0.483 (<LOD–2.13) | 94.4 | 4.39 (3.17–6.08) | 5.47 (<LOD–84.8) | 98.8 | 109 (76.0–156) | 173 (<LOD–1600) |
| EP | |||||||||
| All | 29.9 | nc | <LOD (<LOD–5.00) | 56.5 | 0.747 (0.535–1.04) | 0.575 (<LOD–93.3) | 80.1 | 7.54 (5.07–11.2) | 8.84 (<LOD–593) |
| Cases | 24.3 | nc | <LOD (<LOD–5.00) | 54.7 | 0.679 (0.384–1.20) | 0.364 (<LOD–93.3) | 81.4 | 6.57 (3.66–11.8) | 7.66 (<LOD–508) |
| Controls | 34.4 | nc | <LOD (<LOD–3.36) | 57.8 | 0.798 (0.525–1.22) | 0.712 (<LOD–57.0) | 79.3 | 8.28 (4.76–14.4) | 13.7 (<LOD–593) |
| PP | |||||||||
| All | 3.2 | nc | <LOD (<LOD–0.920) | 53.9 | 0.372 (0.294–0.472) | 0.245 (<LOD–28.9) | 94.5 | 9.87 (7.06–13.8) | 14.1 (<LOD–885) |
| Cases | 3.1 | nc | <LOD (<LOD–0.920) | 51.6 | 0.377 (0.242–0.587) | 0.235 (<LOD–28.9) | 91.5 | 9.29 (5.34–16.1) | 12.9 (<LOD–844) |
| Controls | 3.3 | nc | <LOD (<LOD–0.394) | 55.6 | 0.369 (0.281–0.485) | 0.245 (<LOD–5.51) | 96.6 | 10.3 (6.66–15.9) | 15.4 (<LOD–885) |
| BP | |||||||||
| All | 0.0 | nc | nc (nc) | 12.3 | nc | <LOD (<LOD–7.26) | 73.3 | 0.961 (0.741–1.25) | 0.878 (<LOD–38.7) |
| Cases | 0.0 | nc | nc (nc) | 6.3 | nc | <LOD (<LOD–4.47) | 76.3 | 0.946 (0.659–1.36) | 0.980 (<LOD–20.1) |
| Controls | 0.0 | nc | nc (nc) | 16.7 | nc | <LOD (<LOD–7.26) | 71.3 | 0.971 (0.670–1.41) | 0.768 (<LOD–38.7) |
| BPA | |||||||||
| All | 16.2 | nc | nc (<LOD–1.54) | 48.1 | nc | <LOD (<LOD–8.12) | 86.3 | 0.839 (0.718–0.991) | 0.972 (<LOD–11.0) |
| Cases | 18.8 | nc | nc (<LOD–1.54) | 46.9 | nc | <LOD (<LOD–2.36) | 81.0 | 0.891 (0.665–1.19) | 1.21 (<LOD–11.0) |
| Controls | 14.4 | nc | nc (<LOD–1.12) | 48.9 | nc | <LOD (<LOD–8.12) | 90.0 | 0.805 (0.673–0.962) | 0.927 (<LOD–3.16) |
| BP-1 | |||||||||
| All | 0.0 | nc | nc (nc) | 13.0 | nc | <LOD (<LOD–2.69) | 83.6 | 2.88 (2.04–4.05) | 2.72 (<LOD–580) |
| Cases | 0.0 | nc | nc (nc) | 14.1 | nc | <LOD (<LOD–1.96) | 86.4 | 2.48 (1.49–4.11) | 2.04 (<LOD–580) |
| Controls | 0.0 | nc | nc (nc) | 12.2 | nc | <LOD (<LOD–2.69) | 81.6 | 3.19 (1.98–5.12) | 3.50 (<LOD–295) |
| BP-3 | |||||||||
| All | 9.7 | nc | <LOD (<LOD–1.64) | 26.6 | nc | <LOD (<LOD–9.05) | 89.7 | 6.12 (4.12–9.09) | 5.10 (<LOD–1336) |
| Cases | 7.8 | nc | <LOD (<LOD–0.283) | 23.4 | nc | <LOD (<LOD–2.26) | 89.8 | 3.95 (2.31–6.74) | 3.08 (<LOD–1336) |
| Controls | 11.1 | nc | <LOD (<LOD–164) | 28.9 | nc | <LOD (<LOD–9.05) | 89.7 | 8.23 (4.69–14.5) | 10.7 (<LOD–1307) |
| 2-NP All | 3.2 | nc | <LOD (<LOD–0.530) | 46.8 | nc | <LOD (<LOD–2.62) | 99.3 | 3.53 (2.97–4.19) | 3.66 (<LOD–94.7) |
| Cases | 3.1 | nc | <LOD (<LOD–0.233) | 37.5 | nc | <LOD (<LOD–1.25) | 100 | 3.90 (3.01–5.06) | 3.99 (0.688–94.7) |
| Controls | 3.3 | nc | <LOD (<LOD–0.530) | 53.3 | 0.071 (0.042–0.118) | <LOD (<LOD–2.62) | 98.9 | 3.30 (2.61–4.18) | 3.58 (<LOD–40.8) |
Disclaimer/Publisher’s Note: The statements, opinions and data contained in all publications are solely those of the individual author(s) and contributor(s) and not of MDPI and/or the editor(s). MDPI and/or the editor(s) disclaim responsibility for any injury to people or property resulting from any ideas, methods, instructions or products referred to in the content. |
© 2025 by the authors. Licensee MDPI, Basel, Switzerland. This article is an open access article distributed under the terms and conditions of the Creative Commons Attribution (CC BY) license (https://creativecommons.org/licenses/by/4.0/).
Share and Cite
Klimowska, A.; Jurewicz, J.; Radwan, M.; Radwan, P.; Pol, P.; Wielgomas, B. Distribution of Environmental Phenols into Follicular Fluid and Urine of Women Attending Infertility Clinic. J. Xenobiot. 2025, 15, 17. https://doi.org/10.3390/jox15010017
Klimowska A, Jurewicz J, Radwan M, Radwan P, Pol P, Wielgomas B. Distribution of Environmental Phenols into Follicular Fluid and Urine of Women Attending Infertility Clinic. Journal of Xenobiotics. 2025; 15(1):17. https://doi.org/10.3390/jox15010017
Chicago/Turabian StyleKlimowska, Anna, Joanna Jurewicz, Michał Radwan, Paweł Radwan, Paweł Pol, and Bartosz Wielgomas. 2025. "Distribution of Environmental Phenols into Follicular Fluid and Urine of Women Attending Infertility Clinic" Journal of Xenobiotics 15, no. 1: 17. https://doi.org/10.3390/jox15010017
APA StyleKlimowska, A., Jurewicz, J., Radwan, M., Radwan, P., Pol, P., & Wielgomas, B. (2025). Distribution of Environmental Phenols into Follicular Fluid and Urine of Women Attending Infertility Clinic. Journal of Xenobiotics, 15(1), 17. https://doi.org/10.3390/jox15010017

