Abstract
The authors developed a nanocomposite using polypropylene (PP) and graphene nanoplatelets (GNPs) with a melt mixing method. Virgin PP was filled with three sets of GNPs with a fixed thickness (15 nm) and surface area (50–80 m2/g). The selected H-type GNPs had three different sizes of 5, 15 and 25 µm. The nanocomposites were made by loading GNPs at 1, 2 and 3 wt.%. Mechanical analysis was carried out by performing tensile, flexural and impact strength tests. The crystalline, micro-structural, thermal and dynamic mechanical properties were assessed through XRD, FESEM, PLM, DSC, TGA and DMA tests. It was observed that all three types of GNPs boosted the mechanical strength of the polymer composite. Increasing the nanofiller size decreased the tensile strength and the tensile modulus, increased the flexural strength and flexural modulus, and increased the impact strength. Maximum tensile strength (≈41.18 MPa) resulted for the composite consisting 3 wt.% H5, whereas maximum flexural (≈50.931 MPa) and impact (≈42.88 J/m) strengths were observed for nanocomposite holding 3 wt.% H25. Graphene induced the PP’s crystalline phases and structure. An improvement in thermal stability was seen based on the results of onset degradation (TD) and melting (Tm) temperatures. Graphene increased the crystallization (Tc) temperatures, and acted like a nucleating agent. The experimental analysis indicated that the lateral size of graphene plays an important role for the nanocomposite’s homogeneity. It was noted that the small-sized GNPs improved dispersion and decreased agglomeration. Thus overall, small-sized GNPs are preferable, and increasing the lateral size hardly establishes feasible characteristics in the nanocomposite.
1. Introduction
In the current scientific world, graphene has created a significant role. Graphene is derived from graphite, and exists in the form of single layer sheet. Graphene is a 2D (two-dimensional) material with sp2 hybridization. It has a honeycomb structure of carbon atoms. Graphene nanoplatelets (GNPs) consist of several layers of graphene with thickness between 3 and 100 nm that are sustained due to van der Waals forces of attraction. Graphene has found extensive applications in engineering, science and technology as a favorable reinforcing material for different polymers [1,2,3,4,5,6,7,8]. Polypropylene (PP) is a widely accepted thermoplastic polymer among the polyolefin groups [9,10,11]. PP is widely available, relatively inexpensive, easy to handle and allows for recycling. It possesses good mechanical and physical properties [12,13,14,15,16]. Improving the properties of polypropylene has stimulated many researchers to use graphene as a reinforcing agent [17,18,19]. Several scientific studies revealed the physicochemical properties of polypropylene containing graphene [20]. Thermoplastic nanocomposites prepared from graphene show improved mechanical strength and electrical conductivity over nanocomposites prepared from clay and carbon black [21,22]. Research on nanocomposites prepared from polypropylene and graphene nanoplatelets is new and challenging. One scientific study revealed that the presence of GNPs (20% by volume) in PP increases the flexural moduli to 9 GPa [23]. On the other hand, the same nanocomposite yielded flexural moduli up to 7GPa when filled with conventional fillers. Research on evaluating polymer nanocomposite properties containing graphene nanoplatelets is limited. Determining the effects of graphene nanoplatelet lateral size and thickness on its performance are still unresearched. Improved mechanical strength has been observed for nanocomposites carrying small-sized GNPs, but poor electrical conductivity also resulted [24]. Large-sized GNPs produce high dispersibility and improve electrical properties due to a reduction in percolation threshold. At the same loading rate acceleration in percolation threshold GNPs are observed to have high aspect ratios. The quantity of GNPs in the polymer composites is a significant factor in controlling its performance. It is feasible to use small quantities of nanofillers rather than large, in order to prevent mechanical failure. This means that nanocomposites’ overall performance is a function of nanofillers’ (GNPs) physical and chemical properties. GNPs that were 150 µm in size were added to PP by Yun-Seok Jun et al., and different physical and chemical properties were studied [25]. They proved that large-sized GNPs are not satisfactory to develop composites with acceptable mechanical strength, due to weak interfacial strength formation between the filler and the matrix. Recently published literature revealed methods to improve the properties of PP [26]. PP’s tensile modulus can be enhanced by 100% when it is filled by GNPs less than 10μm in size. It was also reported that the flexural strength of the GNP-filled nanocomposites and their loading capacities are inversely proportional to nanofiller size [27]. Enhancements in the thermal behavior of polymer composites filled with GNPs were observed by Bafana et al. [28]. Their experimental outcome found an increase in the nanocomposite’s degradation temperature by 29 °C when loaded with 1.5 wt.% of GNPs. Pedrazzoli et al. studied the crystallization properties of GNP-filled polymer nanocomposites [29]. Their report verified that the presence of GNPs alters the crystallinity of the polymer. Thus overall, it may be noted that filling GNPs in different polymer matrixes is a feasible phenomenon for augmenting polymer properties. However, studies that determine the effect of nanofillers’ lateral size and thickness are not widely available in the scientific literature. Hence, it is necessary to provide a broad scientific article that explains the influences of nanofillers having wide ranges of size and thickness. It is essential to select nanofillers with specific dimensions to maximize the performance of nanocomposites. The past research indicates that small-sized GNPs are preferable for the production of automobile parts that enhance fuel efficiency [30]. Polymer composites made from graphene are widely accepted as packing materials. GNPs with large lateral sizes are preferred for enhancing electrical properties [31,32,33]. However, further investigation is still necessary to know the different physical and chemical properties of PP-based nanocomposites using GNPs as a nanofiller. Based on the above discussion, an in-depth experimental attempt was made to find the influence of GNPs’ lateral size and amount of loading on the performance of nanocomposites made from PP. The studies were conducted considering GNPs with constant thickness of 15 nm, and lateral sizes of 5, 15 and 25 µm.
2. Materials
Pellets of polypropylene (PP, M110 grade and a homopolymer) with a typical diameter of 3–5 mm were purchased from Haldia Petrochemicals, West Bengal. The melt flow index (MFI, as per ASTM standard) and density of the PP were 11 g/10 min and 0.900 g/cm3, respectively. Three different types of GNPs, viz., H5, H15 and H25, were procured from XG science (Sigma Aldrich, 3050 Spruce St, Saint Louis, MO, USA). The physical properties of the nanoparticles are reported in Table 1, based on the technical information given by XG science.
Table 1.
Technical data sheet of the purchased GNPs.
The microstructural study of the nanoparticles was conducted using a field emission scanning electron microscope (FESEM). Figure 1 shows some of the FESEM images captured at different magnifications. Polymer nanocomposites were prepared with melt-mixing methods. PP was mixed with each type of GNP using a twin-screw extruder. Before mixing, the polymer and graphene nanoparticles were agitated in ethyl alcohol separately to achieve a maximum distribution. Then, both the polymer and nanoparticles were allowed to dry at 60 °C using a vacuum oven for 12 h. The graphene nanoparticles were added manually to the polymer matrix at different loading rates such as 1, 2 and 3 wt.%. This polymer/graphene mixture was allowed to circulate for 10 min before melt mixing. A counter-rotating twin-screw extruder (model-PTW 16, Thermo Electron Corporation, Germany) was employed for melt mixing. The extruder was operated at a minimum of 190 °C and a maximum of 220 °C at the feeder and heating zone, respectively. The mixing was processed at a screw speed of 40 rpm for 2 min. The polymer/graphene composites were obtained in pelletized form. Hereafter, the collected pellets were injection molded (Endura-90 injection molding machine, Pune, India) at 190 °C to fabricate test specimens. The prepared nanocomposites and codes of the test specimens are listed in Table 2.
Figure 1.
Captured FESEM images of graphene nanoparticles (a–c) H5, (d–f) H15 and (g–i) H25 at (a,d,g) ×25,000, (b,e,h) ×50,000 and (c,f,i) ×200,000 magnifications.
Table 2.
Fabricated nanocomposites and test specimen codes.
2.1. Methods of Characterization
Mechanical and Thermal Properties
Tensile test specimens were prepared following the ASTM D638 standards with a gauge length of 50 mm. The specimens were tested using a universal testing machine (UTM3382, Norwood, MA, USA), at a strain rate of 50 mm/min. The flexural test specimens, having dimensions of 127 × 12.7 × 3.2 mm3 were prepared, and experiments (three-point bending) were conducted according to ASTM D790 standards. Flexural tests were performed at a speed referred to in Equation (1). Data pertaining to flexural strength ) were calculated using Equation (2):
where Z = strain rate (0.01 mm/mm/min), L (span length) = 16× sample thickness (d), P is the applied load and b is the specimen width. The load was applied up to 10% extension of the test specimens at a strain rate of 1.365 mm/min. Flexural test specimens were chopped to a size of 63.5 × 12.7 × 3.2 mm3 to conduct the impact tests. Specimens were V-notched at 45° to a depth of 25 mm. Impact tests were conducted as per ASTM D256 standards, using an impact meter (IT 504 Plastic impact, Tinius Olsen, Horsham, PA, USA). All of the experiments were conducted at normal room temperature. Five experiments were conducted per evaluation, and average values were reported.
The thermal behavior of the prepared nanocomposites was examined by performing differential scanning calorimetry (DSC, model-DSC-60A plus, Shimadzu, Kyoto, Japan) and thermogravimetric analysis (TGA, model-Shimadzu DTG-60H, Kyoto, Japan). At first, the specimens were heated up to 300 °C and retained at this state for 5 min, in order to remove the previous thermal history. Then, the samples were cooled to reach normal room temperature. Both the heating and cooling cycles are performed in the presence of nitrogen (N2), at a rate of 10 °C/min. The second heating thermogram was considered for analysis. DSC analysis reported the nanocomposite’s melting (Tm) and crystallization (Tc) temperatures, melt enthalpy (ΔHm) and degree (percentage) of crystallinity. The calculation method of degree of crystallinity (Xc) is based on Equation (3):
The abbreviations ΔHm and Φ are the melt enthalpy and weight % of PP in the polymer composite, respectively. = melt enthalpy of 100% PP and is reported as 209 J/g [34]. At the end, TGA was used to understand the thermal stability of nanocomposites up to 600 °C. About 30 mg of the test piece was heated under a nitrogen environment at a heating rate of 10 °C/min, and changes in the sample’s weight due to its decomposition was continuously monitored.
2.2. X-ray Diffraction and Microscopy
PP, GNPs and the prepared nanocomposites were characterized with X-ray diffraction analysis (XRD, model-Phillips, PW1720, Cambridge, MA, USA), in order to determine the crystallographic structure (phase identification). The samples were scanned with 2θ angle between 0–40° at a scanning rate of 10°/min using copper (Cu) Kα radiation at a λ = 1.54 Å. The Quanta FEG 250 FESEM was used to study the microstructure of the nanocomposites. The samples were sputter coated before conducting the FESEM analysis. The crystal morphology of the nanocomposites was studied with a help of a cross-polarized optical microscope (PLM, model-Leica DM750P, Wetzlar, Germany). A tiny piece of the test specimen was heated to 180 °C on a glass slide using the hot stage and allowed to melt. A micro-glass slide was placed on the molten polymer to convert it to a thin film. The polymer film was cooled, and the crystal morphology was continuously tracked. The executed heating and cooling rates were 5 °C/min. The spherulite images of the nanocomposites were captured at 110 °C at 50× magnification.
2.3. Dynamic Mechanical Analysis (DMA)
A DMA analyzer (DMA Q 800, TA instruments, New Castle, DE, USA) was incorporated to study and characterize the viscoelastic behavior of the nanocomposites. Test samples of size 35 × 12 × 3 mm3 were prepared, and assessment of the complex modulus was performed using continuous application of stress, and monitoring the strain. Experiments were conducted from −50 to 150 °C at a 1 Hz frequency in a nitrogen atmosphere, as per the ASTM D 5026 standards. During the trials, the rate of change in temperature was controlled at 5 °C/min.
3. Results and Discussion
3.1. Evalution of Mechanical Strength
The first of part of the results and discussion section contains the analysis of mechanical properties such as tensile, flexural and impact strengths. The tensile stress and strain diagram is shown in Figure 2. The tensile strength increased with GNP content. At the same time, the tensile strain at break point decreased with an increase in GNP loading. The results obtained confirm the findings of other researchers [35]. Similar results were observed for the nanocomposites carrying all three types of GNPs. It was noted that the maximum value of the tensile strength of the prepared nanocomposites was always higher than the unfilled PP. Hence, the graphene nanoparticles showed a reinforcing effect on the PP chain [36]. Figure 3 shows the dependence of tensile strength and Young’s modulus on the weight % of GNPs in the nanocomposites.
Figure 2.
Relationship between tensile stress and strain for (a) Virgin PP, (b) PP-H5, (c) PP-H15 and (d) PP-H25 systems containing 1, 2 and 3 wt.% of GNPs.
Figure 3.
Dependence of (a) tensile strength and (b) tensile modulus on the amounts of GNPs, and their lateral sizes.
It can be seen from Figure 3 that both tensile strength and Young’s modulus increased with an increase in graphene content. This is due to the stiffening effect of the graphene nanoparticles on the polymer. At the same, with GNP loading the magnitude of Young’s modulus and tensile strength are always higher for the nanocomposite containing small-sized (H5) GNPs. Graphene is an inorganic material, and when loaded to PP, it acts like a skeleton in the PP matrix [37]. As a result of the physical cross-linking of nanoparticles and the polymer matrix, the molecular moments connecting the polymer chains were prohibited. This causes an improvement in the stiffness of the composite [38]. The smaller the GNP size, the more will be the number of particles in the nanocomposite under the same loading condition. The data corresponding to mechanical strengths are reported in Table 3.
Table 3.
Extracted data referring to mechanical strength.
The size of the H5-type GNPs is smallest, while the H25-type GNPs are the largest (see Table 1). Therefore, the PP-H5 nanocomposites resulted in the highest Young’s modulus values, while the PP-H25 system resulted in the smallest values of Young’s modulus. The tensile strength of the nanocomposite depended significantly on the interfacial adhesion strength between the graphene nanoparticles and the PP matrix [39]. Thus, the interfacial adhesion between the GNPs and the polymer matrix is the greatest for small-sized GNPs. As the GNP lateral size decreased, the interfacial bonding between graphene and polymer improved, which reduces agglomeration and increases the dispersion efficiency. Thus, the load-carrying capacity is obviously high for nanocomposites carrying small-sized GNPs because of the high efficiency in stress transfer between the polymer resin and the nanoparticles.
Figure 4 represents flexural stress–strain diagrams for pure PP and graphene-modified systems conducted using three-point bending tests. The data pertaining to flexural strength and modulus were extracted from Figure 4 and reported in Figure 5 using the equation mentioned in the material characterization section. The flexural strength and modulus were always observed to be highest for nanocomposites carrying 3 wt.% GNPs. Increasing GNP size enhances the flexural strength and modulus due to the improved polymer chain movement. Nanoparticles with large-sized inorganic thin sheets will inhibit deformation under flexural load. When flexural load is applied, the polymer matrix will greatly deform, while the nanoparticles have no deformation. At equal GNP contents, nanocomposites containing large-sized thin sheet particles yield better molecular mobility and increase the polymer fractional free volume. The results from the analysis show an increase in flexural strength and modulus up to ≈38% (when compared to PP) for nanocomposites containing 3 wt.% H25 graphene.
Figure 4.
Relationship between flexural stress and strain (a) PP and PP-H5, (b) PP-H15 and (c) PP-H25 systems at 10% flexural extension.
Figure 5.
Dependence of (a) flexural strength and (b) flexural modulus on the wt.% and type of GNPs.
Figure 6 shows the impact strength reached a maximum value of 42.88 J/m for composites with 3 wt.% H25 GNPs. The enhancement in impact toughness may be due to the fracture transformation mechanism. Impact strength is governed by two factors, stress concentrations and crack propagation [40]. Reinforcing GNPs enhances the impact resistance due to a reduction in crack propagation rate. The morphology of the selected fractured nanocomposites due to impact load is observed through FESEM, and the micrographs are presented in Figure 7. The virgin PP shows a brittle fracture due to insignificant deformation [41], which resulted from the absence of graphene nanoparticles. The fracture surface morphology was observed to be closely related to the impact strength. The impact fracture surface morphology was relatively smooth (Figure 7a), indicating the direct expansion of microcracks. However, the presence of graphene nanoparticles modifies the fracture morphology. It was observed that an increase in graphene concentration up to 3 wt.% was notable to produce agglomeration.
Figure 6.
Dependence of nanocomposites on impact strength for different types of GNPs.
Figure 7.
Impact fracture surface morphology of (a) virgin PP, (b–d) PP-H5 and (e–g) PP-H15 nanocomposites containing 1, 2 and 3 wt.% GNPs at ×500 magnification.
The fracture surfaces of the nanocomposites carrying graphene nanoparticles were relatively rough due to notable deformation, and caused formation of microcracks that absorbed the impact energy. Larger microcracks were seen for nanocomposites carrying large-sized GNPs. A magnified fracture morphology is presented in Figure 8, and the developed microcracks are labeled. The fracture morphology reveals uniform distribution and strong interfacial strength between the matrix and GNPs. This suggests a well-built mechanical interlocking between the polymer matrix and nanoparticles, resulting in enhanced stress transfer.
Figure 8.
Impact fracture surface morphology of (a) virgin PP, (b–d) PP-H5 and (e–g) PP-H15 nanocomposites containing 1, 2 and 3 wt.% GNPs at ×5000 magnification.
3.2. XRD Analysis
The XRD patterns of virgin PP, GNPs, along with the fabricated nanocomposites, are shown in Figure 9. The graphene nanosheet has a single peak that originated at a 26.5° diffraction angle. The observed intensity of the peak increased with graphene size. This peak corresponds to the 002-plane, and is attributed to the space between the graphene units [42]. The XRD analysis reveals that the neat PP has four main peaks at 14.08, 16.95, 18.5 and 21.85°, and two minor peaks at 21.2 and 25.6° [43]. The four main peaks correspond to (110), (040), (130) and (041) planes of α-crystals, respectively. The minor peaks belong to (111) and (060) crystal planes, respectively. The appearance of (300) planes of β-crystals at 2θ ≈16° was seen for nanocomposites filled with H25- and H15-type GNPs.
Figure 9.
X-ray diffractograms of PP, GNPs and the prepared nanocomposites.
Hence, it was noted that the GNPs acted like nucleating agents, and initiated nucleation around the graphene particles [44]. The development of β-crystals was not seen with the nanocomposites carrying H5-type GNPs. This may be due to the occurrence of a saturation effect of the small-sized GNPs. The smaller the GNP size, the larger is the number of particles per unit volume of polymer. In such cases, polymer chains do not have enough space to align with the graphene nanoparticles [45]. Thus, it is confirmed that the degree of saturation decreased with an increase in the GNP size. It was also observed that graphene boosted the intensity of PP’s α-111(as seen for PP-H5-1, PP-H25-1 and PP-H25-3 systems) and α-060 planes. This further clarified that the addition of GNP alters the crystal form of PP, and helps to enhance the impact strength of nanocomposites.
3.3. Crystallization and Thermal Stability Behavior
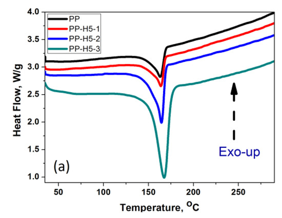
The crystallization properties were studied by conducting DSC experiments. DSC is an analysis tool to study the crystallization behavior of materials. Here, we determined the melt (Tm) and the crystallization temperatures (Tc) of the prepared nanocomposites. The degrees of crystallinity (Xc) of the nanocomposites were evaluated referring to Equation (3). Figure 10 shows both the melting and the non-isothermal crystallization curves. The results corresponding to the DSC tests are disclosed in Table 4. It was observed that adding GNPs to the PP matrix increased the crystallization temperature [46], meaning that PP crystallizes at higher temperatures in the presence of GNPs. This may be due to the surface of the GNP particles serving as sites for PP crystallization [47,48].

Figure 10.
DSC thermograms of the prepared nanocomposites; (a) heating cycle at full experimental range, (b–d) heating cycles from 140 to 190 °C and (e–g) cooling cycles from 100 to 150 °C.
Table 4.
The thermal and crystalline characteristics of the produced nanocomposites.
The crystallization temperature was highest (≈126 °C) for nanocomposites carrying 3 wt.% H5. Smaller-sized GNPs were observed to enhance the crystallization temperature more than the larger ones. The 3 wt.% H5-type GNPs increased the PP crystallization temperature by 11 °C, whereas at the same loading condition, only a 7 °C increase in crystallization temperature was seen for nanocomposites comprising H25 GNPs. This is obviously due to the high degree of dispersion and surface area of H5. This indicates crystallization onset occurs at higher temperatures when small-sized GNPs are filled in the PP. The degree of crystallinity of the nanocomposites was not significantly affected by both the numbers of GNPs and their sizes. The presence of GNPs in the PP matrix only promotes the formation of peculiar crystals such as the β-crystal form, and the graphene particles have little effect on PP’s degree of crystallinity [49]. This indicates that changes in the mechanical properties of the prepared nanocomposites resulted from transformation of PP’s crystal form, rather than from a change in crystallinity. The addition of GNPs did not change the melting temperature of the composites significantly. A maximum increase of about 5 °C in melting temperature was seen for 3 wt.% H5 GNPs. The small degree of variation in the melting temperature(Tm) indicates that the crystal type of PP did not change in the presence of all the grades of GNPs. Thus, Tm is only a function of PP’s crystal form.
The thermal stability of the nanocomposites was studied with TGA, with the results reported in Table 4. The initial (onset) degradation temperature (TD) and the temperature at residual weight (TR) were evaluated from Figure 11. Significant improvements in TD and TR were seen. The PP began to degrade at ≈250 °C, and it was enhanced to ≈353 °C for the PP-H5-3 nanocomposite. All of the three different GNPs increased the degradation temperature. Graphene nanoparticles block the mass transfer and restrict the molecular diffusion of bulk polymer to the outer surface during heating [50,51,52,53]. Thus; most of the volatile gases formed through heating are confined inside the body of the polymer composite, and restricted to fly [54,55,56,57]. The previously mentioned feature is a strong indication that graphene behaves like a fire-retardant in the PP matrix and causes improvements in thermal stability [58,59,60,61]. The TD value decreased for large-sized GNPs incorporated in our study. Hence, large-sized GNPs exhibit inferior thermal stability. Similar results were also observed for TR. The TR increased by ≈100 °C for PP-H5-3 composites. At the same, for 3 wt.%, the H25 increased the TR by ≈48 °C. The addition of small-sized GNP sheets boosts thermal conduction, and allow for uniform heat transfer in the polymer matrix, leading to a nanocomposite with better thermal stability.
Figure 11.
TGA analysis of (a) PP and PP-H5, (b) PP-H15 and (c) PP-H25 systems.
3.4. Polarized Light Microscopy
The DSC method implemented could support the overall analysis of crystallization kinetics, and the results are still unknown. The crystallization kinetics and its growth mechanism were further studied by means of a polarized optical microscope operating at 110 °C. The objective of selecting this temperature was based on the fact that at low temperature, the growth rate of spherulite is fast. The spherulite morphology of the samples was observed using a PLM during isothermal crystallization. Figure 12 shows the spherulite structures of the samples. The observation was limited to virgin PP, and the nanocomposites with all three different types of GNPs at 3 wt.%. Some spherical nuclei were seen for PP (Figure 12a). The PP formed large spherulites during crystallization that were well separated from each other.
Figure 12.
Polarized optical micrographs of (a) PP, (b) PP-H5-3, (c) PP-H15-3 and (d) PP-H25-3 at 110 °C and ×50 magnification.
The spherulites had clear outside curved boundaries, and were responsible for PP’s monoclinic α-phase [62]. The spherulites had no impurities and defects. The PP formed fewer nucleation sites and hence, the number of spherulites formed was relatively lower. However, the spherulite sizes were relatively large; yet, as the polypropylene was doped with graphene, the rate of nucleation evidently enhanced, and heterogeneous nucleation began and led to an increase in nucleation sites [63]. Consequently, the spherulite diameter decreased compared to that of neat PP. The GNP size prominently influenced the orientation of crystalline lamellae. The growth rate of spherulites was significantly hindered by the graphene nanoparticles. The spherulite size decreased with an increase in GNP size, as observed in Figure 12d. Thus, the size of the GNPs played an important role in the growth of spherulite [64]. Increasing the GNP size generated a large number of nucleating points as a result of the formation of the β-crystal phase (as evidenced from XRD study). In other words, a large number of small-sized spherulites developed during crystallization for the system PP-H25-3. As a result of the high nuclei density, the free growth of spherulites was not possible, and a fine-grained structure developed that occupied the whole image.
3.5. Dynamic Mechanical Characteristics
The dynamic mechanical properties were investigated applying DMA, and the results are reported in Figure 13. The properties, such as storage modulus and tanδ (damping co-efficient) as a function of temperature, are shown in the left and right columns on the picture. The tests were conducted from −50 to 150° and at other operating conditions mentioned previously. The storage modulus always decreased with increasing temperature. However, the storage modulus increased with GNP filling, and the reverse phenomenon occurred as far as damping co-efficient is concerned. The enhanced storage modulus indicates the rigidity of the composites due to the presence of graphene sheets. As graphene is the stiffest material available in nature, it has a reinforcing effect on PP. In our observation, the total experimental time could be classified into four stages, viz., (a) glassy state, (b) relaxation stage, (c) rubbery plateau and (d) flow region. The rate of change of storage modulus in the glassy state was observed to be almost constant, and ranged between −50 and −20 °C, where there was no mobility of the polymer chain molecules. The relaxation stage ranged from about −20 to 35 °C, where polymer molecules showed local motion in the amorphous phase, and overlapped the glass transition range (−20 to 0 °C) [65,66,67,68]. The third stage, i.e., the rubbery plateau phase, can be called an intermediate phase, and prevailed up to about 60 °C, where the nanocomposite became soft and partially molten. The fourth and final stage was called the flow region, and lasted up to the end of the experiment. Here, the polymer chain molecules had sufficient mobility to allow flow. However, as far as the effect of sheet size is concerned, it can be seen (see Figure 13c) that the storage modulus reached a value above 2500 MPa for the PP-H5-3 system; meanwhile, under the same condition, the nanocomposites containing H15- and H25-type GNPs were able to improve the storage modulus to about 2250 and 2100 MPa, respectively. This indicates that the GNPs with low sheet sizes can make the polymer stiffer, attributing to improved adhesion between the nanofiller and PP matrix. This fact is in good agreement with the results of Young’s modulus found in our earlier tensile tests (see Figure 3b). Hence, the small-sized GNPs generated a composite that could withstand higher tensile force with a higher Young’s modulus.
Figure 13.
DMA results of the test samples, (a–c) storage modulus and (d–f) tan δ.
4. Conclusions
The thermoplastic polymer “polypropylene” can be successfully mixed with graphene nanoparticles via melt mixing, which allows for easy injection molding. A wide range of experimental techniques were used to thoroughly understand the nanocomposite’s physicochemical properties. The above experimental research indicates that both graphene content and its size have certain positive and negative effects on filled polypropylene composites. An increase in graphene in polypropylene yields positive results. In our findings, it was advantageous to use 5 µm GNP sheets in most of the cases. However, as far as flexural and impact strength is concerned, the 15-micrometer-sized sheets performed better. Thus, the new knowledge obtained from this study indicates “the smaller the size is, the better is the performance”. Increases in values of properties such as the tensile strength, tensile modulus, storage modulus, Tc, Tm, TD and TR were always higher for polypropylene filled with small-sized graphene sheets. It can be concluded that smaller graphene sheets have better nucleating ability, leading to enhanced crystallization temperatures. This is owing to the relatively high interfacial adhesion and area between the thin sheets and the PP matrix. The graphene nanoparticles build a new network inside the matrix, and boost the composite’s thermal properties, acting like a flame retardant. It may be concluded that the performance efficiency of GNP-infused polypropylene nanocomposites is greatly affected by its lateral size. Thus overall, small-sized graphene nanoplatelet sheets are recommended for wide-ranging performance.
Author Contributions
Author Contributions: Conceptualization, H.S. (Harekrushna Sutar) and S.C.P.; methodology, H.S. (Harekrushna Sutar); software, S.C.P.; validation, P.S., H.S. (Himadri Sahu) and R.M.; formal analysis, S.C.P.; investigation, H.S. (Harekrushna Sutar); resources, S.C.P.; data curation, H.S. (Harekrushna sutar); writing—original draft preparation, S.C.P.; writing—review and editing, H.S. (Harekrushna sutar); visualization, P.S.; supervision, S.S.; project administration, H.S. (Harekrushna Sutar); funding acquisition, S.C.P., S.S., P.S., H.S. (Himadri Sahu) and R.M. All authors have read and agreed to the published version of the manuscript.
Funding
This research received no external funding.
Institutional Review Board Statement
Not Applicable.
Informed Consent Statement
Not Applicable.
Data Availability Statement
Not Applicable.
Conflicts of Interest
All the authors declare that there are no conflict of interest in publishing this paper.
References
- Tjong, T.; Chin, S. Polymer composites with graphene nanofillers: Electrical properties and applications. J. Nanosci. Nanotechnol. 2014, 14, 1154–1168. [Google Scholar] [CrossRef] [PubMed]
- Sengupta, R.; Bhattacharya, M.; Bandyopadhyay, S.; Bhowmick, A.K. A review on the mechanical and electrical properties of graphite and modified graphite reinforced polymer composites. Prog. Polym. Sci. 2011, 36, 638–670. [Google Scholar] [CrossRef]
- Zhu, Y.; Murali, S.; Cai, W.; Li, X.; Suk, J.W.; Potts, J.R.; Ruoff, R.S. Graphene-based materials: Graphene and graphene oxide: Synthesis, properties, and applications. Adv. Mater. 2010, 22, 3903–3958. [Google Scholar]
- Ma, P.C.; Siddiqui, N.A.; Marom, G.; Kim, J.K. Dispersion and functionalization of carbon nanotubes for polymer-based nanocomposites: A review. Compos. Part A Appl. Sci. Manuf. 2010, 41, 1345–1367. [Google Scholar] [CrossRef]
- Papageorgiou, D.G.; Kinloch, I.A.; Young, R.J. Mechanical properties of graphene and graphene-based nanocomposites. Prog. Mater. Sci. 2017, 90, 75–127. [Google Scholar] [CrossRef]
- Sahoo, N.G.; Rana, S.; Cho, J.W.; Li, L.; Chan, S.H. Polymer nanocomposites based on functionalized carbon nanotubes. Prog. Polym. Sci. 2010, 35, 837–867. [Google Scholar] [CrossRef]
- Huang, C.; Cheng, Q. Learning from nacre: Constructing polymer nanocomposites. Compos. Sci. Technol. 2017, 150, 141–166. [Google Scholar] [CrossRef]
- Huang, X.; Qi, X.; Boey, F.; Zhang, H. Graphene-based composites. Chem. Soc. Rev. 2012, 41, 666–686. [Google Scholar] [CrossRef]
- Sutar, H.; Sahoo, P.C.; Sahu, P.S.; Sahoo, S.; Murmu, R.; Swain, S.; Mishra, S.C. Mechanical, thermal and crystallization properties of polypropylene (PP) reinforced composites with high density polyethylene (HDPE) as matrix. Mater. Sci. Appl. 2018, 9, 502–515. [Google Scholar] [CrossRef]
- Sutar, H.; Maharana, H.S.; Dutta, C.; Murmu, R.; Patra, S. Strain rate effects on tensile properties of HDPE-PP composite prepared by extrusion and injection moulding method. Mater. Sci. Appl. 2019, 10, 205–215. [Google Scholar] [CrossRef]
- Sahoo, P.C.; Murmu, R.; Patra, S.C.; Dutta, C.; Sutar, H. Electrical behaviour and spherulites morphology of HDPE/PP polyblends with HDPE as base material. Mater. Sci. Appl. 2018, 9, 837–843. [Google Scholar] [CrossRef][Green Version]
- Luo, G.; Li, W.; Liang, W.; Liu, G.; Ma, Y.; Niu, Y.; Li, G. Coupling effects of glass fiber treatment and matrix modification on the interfacial microstructures and the enhanced mechanical properties of glass fiber/polypropylene composites. Compos. B Eng. 2017, 111, 190–199. [Google Scholar] [CrossRef]
- Nascimento, E.M.; Eiras, D.; Pessan, L.A. Effect of thermal treatment on impact resistance and mechanical properties of polypropylene/calcium carbonate nanocomposites. Compos. B Eng. 2017, 91, 228–234. [Google Scholar] [CrossRef]
- Patti, A.; Russo, P.; Acierno, S. The effect of filler functionalization on dispersion and thermal conductivity of polypropylene/multi wall carbon nanotubes composites. Compos. B Eng. 2016, 94, 350–359. [Google Scholar] [CrossRef]
- Gonzalez-Chi, P.I.; Rodríguez-Uicab, O.; Martin-Barrera, C.; Uribe-Calderon, J.; Canché-Escamilla, G.; Yazdani-Pedram, M.; Avilés, F. Influence of aramid fiber treatment and carbon nanotubes on the interfacial strength of polypropylene hierarchical composites. Compos. B Eng. 2017, 122, 16–22. [Google Scholar] [CrossRef]
- Ahmad, S.R.; Young, R.J.; Kinloch, I.A. Raman spectra and mechanical properties of graphene/polypropylene nanocomposites. Int. J. Chem. Eng. Appl. 2015, 6, 1–5. [Google Scholar]
- Yang, K.; Endoh, M.; Trojanowski, R.; Ramasamy, R.P.; Gentleman, M.M.; Butcher, T.A.; Rafailovich, M.H. The thermo-mechanical response of PP nanocomposites at high graphene loading. Nanocomposites 2015, 1, 126–137. [Google Scholar] [CrossRef][Green Version]
- Liang, J.-Z. Effects of tension rates and filler size on tensile properties of polypropylene/graphene nano-platelets composites. Compos. B Eng. 2019, 167, 241–249. [Google Scholar] [CrossRef]
- El Achaby, M.; Arrakhiz, F.E.; Vaudreuil, S.; elKacemQaiss, A.; Bousmina, M.; Fassi-Fehri, O. Mechanical, thermal, and rheological properties of graphene-based polypropylene nanocomposites prepared by melt mixing. Polym. Compos. 2012, 33, 733–744. [Google Scholar] [CrossRef]
- Kuilla, T.; Bhadra, S.; Yao, D.; Kim, N.H.; Bose, S.; Lee, J.H. Recent advances in graphene-based polymer composites. Prog. Polym. Sci. 2010, 35, 1350–1375. [Google Scholar] [CrossRef]
- Geng, Y.; Li, J.; Wang, S.J.; Kim, J.K. Amino functionalization of graphite nanoplatelet. J. Nanosci. Nanotechnol. 2008, 8, 6238–6246. [Google Scholar] [CrossRef] [PubMed]
- Dassan, E.G.B.; Rahman, A.A.A.; Abidin, M.S.Z.; Akil, H.M. Carbon nanotube–reinforced polymer composite for electromagnetic interference application: A review. Nanotechnol. Rev. 2020, 9, 768–788. [Google Scholar] [CrossRef]
- Kalaitzidou, K.; Fukushima, H.; Miyagawa, H.; Drzal, L.T. Flexural and tensile moduli of polypropylene nanocomposites and comparison of experimental data to Halpin-Tsai and Tandon-Weng models. Polym. Eng. Sci. 2007, 47, 1796–1803. [Google Scholar] [CrossRef]
- Al-Saleh, M.A.; Yussuf, A.A.; Al-Enezi, S.; Kazemi, R.; Wahit, M.U.; Al-Shammari, T.; Al-Banna, A. Polypropylene/graphene nanocomposites: Effects of GNP loading and compatibilizers on the mechanical and thermal properties. Materials 2019, 12, 3924. [Google Scholar] [CrossRef]
- Jun, Y.S.; Um, J.G.; Jiang, G.; Lui, G.; Yu, A. Ultra-large sized graphene nano-platelets (GnPs) incorporated polypropylene (PP)/GnPs composites engineered by melt compounding and its thermal, mechanical, and electrical properties. Compos. B Eng. 2018, 133, 218–225. [Google Scholar] [CrossRef]
- Liang, J.Z.; Du, Q.; Tsui, G.C.; Tang, C.Y. Tensile properties of graphene nano-platelets reinforced polypropylene composites. Compos. B Eng. 2016, 95, 166–171. [Google Scholar] [CrossRef]
- Chunhui, S.; Mu, P.; Runzhang, Y. The effect of particle size gradation of conductive fillers on the conductivity and the flexural strength of composite bipolar plate. Int. J. Hydrogen Energy 2008, 33, 1035–1039. [Google Scholar] [CrossRef]
- Bafana, A.P.; Yan, X.; Wei, X.; Patel, M.; Guo, Z.; Wei, S.; Wujcik, E.K. Polypropylene nanocomposites reinforced with low weight percent graphene nanoplatelets. Compos. B Eng. 2017, 109, 101–107. [Google Scholar] [CrossRef]
- Pedrazzoli, D.; Pegoretti, A.; Kalaitzidou, K. Understanding the effect of silica nanoparticles and exfoliated graphite nanoplatelets on the crystallization behavior of isotactic polypropylene. Polym. Eng. Sci. 2015, 55, 672–680. [Google Scholar] [CrossRef]
- Jun, Y.S.; Um, J.G.; Jiang, G.; Yu, A. A study on the effects of graphene nano-platelets (GnPs) sheet sizes from a few to hundred microns on the thermal, mechanical, and electrical properties of polypropylene (PP)/GnPscomposites. Express Polym. Lett. 2018, 12, 885–897. [Google Scholar] [CrossRef]
- Ajorloo, M.; Fasihi, M.; Ohshima, M.; Taki, K. How are the thermal properties of polypropylene/graphene nanoplatelet composites affected by polymer chain configuration and size of nanofiller? Mater. Des. 2019, 181, 108068. [Google Scholar] [CrossRef]
- Wang, Q.; Wang, Y.; Meng, Q.; Wang, T.; Guo, W.; Wu, G.; You, L. Preparation of high antistatic HDPE/polyaniline encapsulated graphene nanoplatelet composites by solution blending. RSC Adv. 2017, 7, 2796–2803. [Google Scholar] [CrossRef]
- Mistretta, M.C.; Botta, L.; Vinci, A.D.; Ceraulo, M.; La Mantia, F.P. Photo-oxidation of polypropylene/graphene nanoplatelets composites. Polym. Degrad. Stab. 2019, 160, 35–43. [Google Scholar] [CrossRef]
- Blaine, R.L. Thermal Applications Note. Polymer Heats of Fusion. 2002. Available online: http://www.tainstruments.com/pdf/literature/TN048.pdf (accessed on 5 November 2022).
- An, J.E.; Jeon, G.W.; Jeong, Y.G. Preparation and properties of polypropylene nanocomposites reinforced with exfoliated graphene. Fiber Polym. 2012, 13, 507–514. [Google Scholar] [CrossRef]
- Kim, M.S.; Yan, J.; Kang, K.-M.; Joo, K.H.; Kang, Y.J.; Ahn, S.H. Soundproofing ability and mechanical properties of polypropylene/exfoliated graphite nanoplatelet/carbon nanotube (PP/xGnP/CNT) composite. Int. J. Precis. Eng. Manuf. 2013, 1, 1087–1092. [Google Scholar] [CrossRef]
- Fu, S.Y.; Feng, X.Q.; Lauke, B.; Mai, Y.W. Effects of particle size, particle/matrix interface adhesion and particle loading on mechanical properties of particulate–polymer composites. Compos. B Eng. 2008, 39, 933–961. [Google Scholar] [CrossRef]
- Greer, J.R.; Oliver, W.C.; Nix, W.D. Size dependence of mechanical properties of gold at the micron scale in the absence of strain gradients. Acta Mater. 2005, 53, 1821–1830. [Google Scholar] [CrossRef]
- Kalaitzidou, K.; Fukushima, H.; Drzal, L.T. Mechanical properties and morphological characterization of exfoliated graphite–polypropylene nanocomposites. Compos. Part A Appl. Sci. Manuf. 2007, 38, 1675–1682. [Google Scholar] [CrossRef]
- Thomason, J.L.; Vlug, M.A. Influence of fibre length and concentration on the properties of glass fibre-reinforced polypropylene: 4. Impact properties. Compos. Part A Appl. Sci. Manuf. 1997, 28, 277–288. [Google Scholar] [CrossRef]
- Rahman, N.A.; Hassan, A.; Yahya, R.; Lafia-Araga, R.A.; Hornsby, P.R. Micro-structural, thermal, and mechanical properties of injection-molded glass fiber/nanoclay/polypropylene composites. J. Reinf. Plast. Compos. 2012, 31, 269–281. [Google Scholar] [CrossRef]
- Kalaitzidou, K.; Fukushima, H.; Askeland, P.; Drzal, L.T. The nucleating effect of exfoliated graphite nanoplatelets and their influence on the crystal structure and electrical conductivity of polypropylene nanocomposites. J. Mater. Sci. 2008, 43, 2895–2907. [Google Scholar] [CrossRef]
- Kołodziej, A.; Długoń, E.; Świętek, M.; Ziąbka, M.; Dawiec, E.; Gubernat, M.; Michalec, M.; Wesełucha-Birczyńska, A. A Raman Spectroscopic Analysis of Polymer Membranes with Graphene Oxide and Reduced Graphene Oxide. J. Compos. Sci. 2021, 5, 20. [Google Scholar] [CrossRef]
- Wu, H.; Rook, B.; Drzal, L.T. Dispersion optimization of exfoliated graphene nanoplatelet in polyetherimide nanocomposites: Extrusion, precoating, and solid state ball milling. Polym. Compos. 2013, 34, 426–432. [Google Scholar] [CrossRef]
- Kalaitzidou, K. Exfoliated Graphite Nanoplatelets as Nanoreinforcement for Multifunctional Polypropylene Nanocomposites. Ph.D. Thesis, Michigan State University, East Lansing, MI, USA, 2006. [Google Scholar]
- Xiao, W.; Wu, P.; Feng, J. Effect of β-nucleating agents on crystallization and melting behavior of isotactic polypropylene. J. Appl. Polym. Sci. 2008, 108, 3370–3379. [Google Scholar] [CrossRef]
- Zhao, S.; Chen, F.; Huang, Y.; Dong, J.-Y.; Han, C.C. Crystallization behaviors in the isotactic polypropylene/graphene composites. Polymer 2014, 55, 4125–4135. [Google Scholar] [CrossRef]
- Gu, J.; Du, J.; Dang, J.; Geng, W.; Hu, S.; Zhang, Q. Thermal conductivities, mechanical and thermal properties of graphite nanoplatelets/polyphenylene sulfide composites. RSC Adv. 2014, 4, 22101–22105. [Google Scholar] [CrossRef]
- Sutar, H.; Mishra, B.; Senapati, P.; Murmu, R.; Sahu, D. Mechanical, Thermal, and Morphological Properties of Graphene Nanoplatelet-Reinforced Polypropylene Nanocomposites: Effects of Nanofiller Thickness. J. Compos. Sci. 2021, 5, 24. [Google Scholar] [CrossRef]
- Um, J.G.; Jun, Y.-S.; Alhumade, H.; Krithivasan, H.; Lui, G.; Yu, A. Investigation of the size effect of graphene nano-platelets (GnPs) on the anti-corrosion performance of polyurethane/GnPcomposites. RSC Adv. 2018, 8, 17091–17100. [Google Scholar] [CrossRef]
- Saleem, A.; Zhang, Y.; Gong, H.; Majeed, M.K.; Jing, J.; Lin, X.; Ashfaq, M.Z. Enhanced thermal conductivity and mechanical properties of a GNP reinforced Si3N4 composite. RSC Adv. 2019, 9, 39986–39992. [Google Scholar] [CrossRef]
- Salavagione, H.J.; Gómez, M.A.; Martínez, G. Polymeric modification of graphene through esterification of graphite oxide and poly (vinyl alcohol). Macromolecules 2009, 42, 6331–6334. [Google Scholar] [CrossRef]
- Verdejo, R.; Barroso-Bujans, F.; Rodriguez-Perez, M.A.; Antonio de Saja, J.; Lopez-Manchado, M.A. Functionalized graphene sheet filled silicone foam nanocomposites. J. Mater. Chem. 2008, 18, 2221. [Google Scholar] [CrossRef]
- Mahmood, H.; Unterberger, S.H.; Pegoretti, A. Tuning Electrical and Thermal Properties in Epoxy/Glass Composites by Graphene-Based Interphase. J. Compos. Sci. 2017, 1, 12. [Google Scholar] [CrossRef]
- Azizi, S.; Azizi, M.; Sabetzadeh, M. The Role of Multiwalled Carbon Nanotubes in the Mechanical, Thermal, Rheological, and Electrical Properties of PP/PLA/MWCNTs Nanocomposites. J. Compos. Sci. 2019, 3, 64. [Google Scholar] [CrossRef]
- Behdinan, K.; Dastjerdi, R.M.; Safaei, B.; Qin, Z.; Chu, F.; Hui, D. Graphene and CNT impact on heat transfer response of nanocomposite cylinders. Nanotechnol. Rev. 2020, 9, 41–52. [Google Scholar] [CrossRef]
- Parameswaranpillai, J.; Joseph, G.; Shinu, K.P.; Jose, S.; Salim, N.V.; Hameed, N. Development of hybrid composites for automotive applications: Effect of addition of SEBS on the morphology, mechanical, viscoelastic, crystallization and thermal degradation properties of PP/PS–xGnPcomposites. RSC Adv. 2015, 5, 25634–25641. [Google Scholar] [CrossRef]
- Sultana, T.; Sultana, S.; Nur, H.P.; Khan, M.W. Studies on Mechanical, Thermal and Morphological Properties of Betel Nut Husk Nano Cellulose Reinforced Biodegradable Polymer Composites. J. Compos. Sci. 2020, 4, 83. [Google Scholar] [CrossRef]
- Martin, I.; Saenz del Castillo, D.; Fernandez, A.; Güemes, A. Advanced Thermoplastic Composite Manufacturing by In-Situ Consolidation: A Review. J. Compos. Sci. 2020, 4, 149. [Google Scholar] [CrossRef]
- Zhang, H.; Zhang, X.; Fang, Z.; Huang, Y.; Xu, H.; Liu, Y.; Wu, D.; Zhuang, J.; Sun, J. Recent Advances in Preparation, Mechanisms, and Applications of Thermally Conductive Polymer Composites: A Review. J. Compos. Sci. 2020, 4, 180. [Google Scholar] [CrossRef]
- Sahu, D.; Sutar, H.; Senapati, P.; Murmu, R.; Roy, D. Graphene, Graphene-Derivatives and Composites: Fundamentals, Synthesis Approaches to Applications. J. Compos. Sci. 2021, 5, 181. [Google Scholar] [CrossRef]
- Cui, L.; Wang, P.; Zhang, Y.; Zhang, L.; Chen, Y.; Wang, L.; Guo, X. Combined effect of α-nucleating agents and glass fiber reinforcement on a polypropylene composite: A balanced approach. RSC Adv. 2017, 7, 42783–42791. [Google Scholar] [CrossRef]
- Cui, L.; Wang, P.; Zhang, Y.; Zhou, X.; Xu, L.; Zhang, L.; Guo, X. Glass fiber reinforced and β-nucleating agents regulated polypropylene: A complementary approach and a case study. J. Appl. Polym. Sci. 2018, 135, 45768. [Google Scholar] [CrossRef]
- Beuguel, Q.; Boyer, S.A.E.; Settipani, D.; Monge, G.; Haudin, J.M.; Vergnes, B.; Disdier, E.P. Crystallization behavior of polypropylene/graphene nanoplatelets composites. Polym. Cryst. 2018, 1, e10024. [Google Scholar] [CrossRef]
- Lee, S.G.; Lee, J.; Choi, K.Y.; Rhee, J.M. Glass transition behavior of polypropylene/polystyrene/styrene-ethylene-propylene block copolymer blends. Polym. Bull. 1998, 40, 765–771. [Google Scholar] [CrossRef]
- Rahman, N.A.; Hassan, A.; Yahya, R.; Lafia-Araga, R.; Hornsby, P. Polypropylene/glass fiber/nanoclay hybrid composites: Morphological, thermal, dynamic mechanical and impact behaviors. J. Reinf. Plast. Compos. 2012, 31, 1247–1257. [Google Scholar] [CrossRef]
- Prolongo, S.G.; Jiménez-Suárez, A.; Moriche, R.; Ureña, A. Graphene nanoplatelets thickness and lateral size influence on the morphology and behavior of epoxy composites. Eur. Polym. J. 2014, 53, 292–301. [Google Scholar] [CrossRef]
- Mayoral, B.; Harkin-Jones, E.; Khanam, P.N.; AlMaadeed, M.A.; Ouederni, M.; Hamilton, A.R.; Sun, D. Melt processing and characterisation of polyamide 6/graphene nanoplatelet composites. RSC Adv. 2015, 5, 52395–52409. [Google Scholar] [CrossRef]
Disclaimer/Publisher’s Note: The statements, opinions and data contained in all publications are solely those of the individual author(s) and contributor(s) and not of MDPI and/or the editor(s). MDPI and/or the editor(s) disclaim responsibility for any injury to people or property resulting from any ideas, methods, instructions or products referred to in the content. |
© 2022 by the authors. Licensee MDPI, Basel, Switzerland. This article is an open access article distributed under the terms and conditions of the Creative Commons Attribution (CC BY) license (https://creativecommons.org/licenses/by/4.0/).













