Abstract
Hormonal priming has recently emerged as a powerful strategy to increase seed germination and early seedling growth, especially in challenging abiotic stress environments. This study explored the impact of gibberellic acid (GA) and salicylic acid (SA) priming on the germination performance of Stevia rebaudiana seeds under saline conditions. Stevia seeds were either hydroprimed with distilled water (control) or primed with varying concentrations of GA (0.1 and 0.2%) and SA (0.25 and 0.5 mM) and then exposed to salt stress (0 and 80 mM NaCl). The results demonstrated that GA and SA priming significantly enhanced germination rates, reduced mean germination time, and improved the salt tolerance index compared to untreated seeds. Primed seeds showed notable improvements in seedling vigor, including greater shoot and root lengths under salinity stress. The best results were achieved with 0.1% GA and 0.5 mM SA, effectively alleviating the detrimental impact of high salinity on germination. The primed seeds also exhibited reduced electrolyte leakage, signifying improved membrane stability under salt stress. In conclusion, this study presents robust evidence that GA and SA priming is an effective approach for enhancing the germination, salt tolerance index, and early growth of Stevia under saline conditions, offering a practical solution to improve crop establishment in salinity-affected regions.
1. Introduction
Salinity represents a significant environmental challenge that adversely affects seed germination, plant growth, and overall crop productivity [1,2,3]. Excessive salinity in the soil creates an osmotic imbalance, reducing the ability of seeds to absorb water, which is essential for the initiation of germination processes [4,5,6]. This osmotic stress leads to the dehydration of seed tissues and disrupts cellular homeostasis, often resulting in poor germination rates, delayed seedling establishment, and ultimately reduced agricultural yield [7]. Additionally, the accumulation of toxic ions, particularly sodium and chloride, exacerbates the negative impacts on plant physiological and biochemical functions, such as nutrient uptake, enzyme activity, and photosynthesis [8]. The combined osmotic and ionic stresses result in reduced germination rates, delayed germination, and poor seedling vigor [8]. Furthermore, salt stress can impair enzyme activities and hormonal balance within the seed, further hindering the germination process [9]. As a result, plants exposed to high salinity during the germination phase often exhibit stunted growth and reduced survival rates, posing a significant challenge for agriculture in salt-affected regions.
Stevia rebaudiana Bertoni is an Asteraceae species indigenous to South America. Stevia leaves contain compounds called steviol glycosides, which are up to 300 times sweeter than sucrose but do not increase blood glucose levels, making them an ideal sweetener for those with diabetes and sugar-conscious individuals [10]. Additionally, Stevia has been associated with various health benefits, having antidiabetic, antihypertensive, anti-inflammatory, antioxidant, anticancer, and antidiarrheal activities [11]. Several studies have demonstrated Stevia’s sensitivity to salt stress, posing a significant challenge for its cultivation in saline environments [12,13,14,15]. Salt stress adversely affects Stevia at various stages of its growth, particularly during germination and early seedling development.
Hormonal priming has emerged as a promising technique to improve seed germination and early seedling growth under stressful environments [16]. This method involves the treatment of seeds with specific plant hormones, which can modulate physiological and biochemical processes to enhance stress resilience. Previous studies have demonstrated the potential of plant hormone priming including salicylic acid (SA) and gibberellic acid (GA) to enhance seed germination rates and early seedling growth through the modulation of physiological and biochemical processes [17,18,19]. GA is an essential plant growth regulator involved in various plant development processes, including seed germination, stem elongation, leaf extension, pollen maturation, and flowering induction [20]. Inside the embryos, GA is synthesized and subsequently stimulates the aleurone layer of cereals to produce hydrolytic enzymes, including α-amylase. These enzymes diffuse into the endosperm, catalyzing the degradation of stored reserves, which provides necessary nutrients for embryo growth [21]. Moreover, GA plays a pivotal role in plants’ responses to abiotic stress, such as salinity, by enhancing their ability to adapt and thrive in challenging environmental conditions [20]. While SA, another phytohormone, is crucial for plant defense mechanisms and stress responses [22], it also contributes to seed germination under stress conditions [23]. SA modulates antioxidant enzyme activities and stabilizes cellular structures, helping seeds to germinate even under unfavorable conditions. The exogenous application of SA in the germination medium has been associated with an increased germination percentage of many plant species [24,25,26]. This study aimed to address this gap by evaluating the effects of SA and GA priming on the germination and early growth of Stevia seeds under salinity stress. By comparing hormonal priming with hydro-priming (distilled water), this research provides actionable insights into improving seed performance and establishing sustainable cultivation practices for Stevia in saline-affected regions.
2. Materials and Methods
2.1. Plant Material, Germination Conditions, and Treatments
This experiment was conducted at the Faculty of Science Semlalia, Cadi Ayyad University, Marrakesh, Morocco. Black seeds were thoroughly washed under running tap water and then sterilized with a 5 g/L solution of calcium hypochlorite for 5 min, following a modified protocol by Omidi et al. [27]. Subsequently, the sterilized seeds were soaked in the dark at 25 °C for 24 h in solutions containing SA (0.25 and 0.5 mM), GA (0.1 and 0.2%), distilled water for hydro-priming as a control, or left unprimed.
After priming, the seeds were rinsed with distilled water and air-dried on filter paper at room temperature in the shade [28]. Subsequently, the seeds were placed onto sterilized 10 cm Petri dishes containing double-layered Whatman No. 1 filter paper (Whatman-Cytiva, Little Chalfont, UK) moistened with 7 mL of solutions, either 0 (distilled water) or 80 mM NaCl. This experiment was conducted in a controlled plant growth chamber set at 25 °C, with a 16 h photoperiod and 75% relative humidity [29]. Germination counts were recorded daily throughout the experiment. A total of ten replications were conducted, with 30 seeds per replicate. Ten days after sowing, the Petri dishes were evaluated for various traits.
2.2. Quantification of Germination Parameters and Indices
Effects of different priming treatments under salt stress on germination traits, i.e., germination index, precocity of germination, total germination, mean germination time, and seed vigor index, were investigated in this study.
- −
- The germination index (GI) was calculated using the equation according to Kader and Jutzi [30]. GI = Σ(TiNi), where Ni is the number of seeds germinated on a specific day, and Ti is the time corresponding to Ni.
- −
- The precocity of germination corresponds to the rate of seeds germinated from the 2nd day.
- −
- Total germination (%) = (total number of germinated seeds/total seed) × 100.
- −
- The mean germination time (MGT) was calculated according the formula of Ellis and Roberts [31]. MGT = Σ(ni/di), where ni is the number of germinated seeds, and di is the day of counting.
- −
- Seed vigor index (VI) = seedling (radicles + plumules) length × G (%)/100 [32].
2.3. Determination of Seedling Growth
The length of the aerial parts of the seedlings was measured in each treatment, with measurements taken from the neck region to the apical tip of the leaf. In parallel, the root length of the seedlings was measured from the base of the stem to the apical end of the primary root. The dry weight of the germinated seedlings was recorded for each treatment. Seedlings were dried in an oven at 60 °C for 48 h to achieve a constant weight.
2.4. Electrolyte Leakage in Seedlings
Electrolyte leakage (EL) was assessed following the method described by Syeed et al. [33]. Fresh samples (plumule and radicle) were thinly sliced and placed in test tubes containing 20 mL of distilled water. The tubes were incubated in the dark at room temperature for 24 h. The electrical conductivity (C1) of the solution was measured using a conductivity meter (SevenCompact, Mettler-Toledo, Greifensee, Switzerland). A final electrical conductivity (C2) was measured after autoclaving at 120 °C for 20 min and shaking for 30 min at 25 °C. Electrolyte leakage was calculated as a percentage using the following formula: EL (%) = (C1/C2) × 100.
2.5. Salt Tolerance Index
The salt tolerance index (STI) was determined as a ratio of the total plant (shoot + root) dry weight obtained from 30 seeds grown under salt stress compared to the total plant dry weight obtained from the control treatment [34].
2.6. Statistical Analysis
The data are presented as means ± standard deviation (n = 3). Statistical analyses were performed using ANOVA with SPSS version 23.0 for Windows. The significance of the differences between means was assessed using the least significant difference (LSD) test.
3. Results
3.1. Influence of Seed Priming on Germination Index
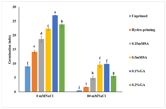
Figure 1 illustrates the germination index of Stevia seeds subjected to different priming treatments (unprimed, hydro-priming, 0.25 mM SA, 0.5 mM SA, 0.1% GA, and 0.2% GA) under nonsaline (0 mM NaCl) and saline (80 mM NaCl) conditions. Under nonsaline conditions, seeds treated with 0.2% GA exhibited the highest germination index, followed by 0.1% GA and 0.5 mM SA, while unprimed seeds showed the lowest performance. In saline conditions, the germination index was significantly reduced across all treatments, highlighting the detrimental impact of salinity stress. However, seeds treated with 0.2% GA maintained the highest germination index, demonstrating the effectiveness of hormonal priming in mitigating stress effects. Comparatively, SA treatments also improved germination indices relative to unprimed and hydroprimed seeds but were less effective than GA treatments.
Figure 1.
Effect of salicylic acid (0.25 and 0.5 mM) and gibberellic acid (0.1 and 0.2%) priming on germination index of Stevia seeds under salt stress (0 and 80 mM NaCl) conditions. Results are expressed as mean ± SD of 3 independent replicates. Values followed by different lowercase letters are significantly different according to LSD test (p ≤ 0.05).
3.2. Influence of Seed Priming on Precocity of Germination
Figure 2 presents the effects of various treatments on germination precocity under the salt condition. Germination precocity was significantly retarded compared to the control as the concentrations of SA and GA increased. However, seed priming with SA and GA improved the germination precocity under salinity especially under 0.5 mM SA and 0.1% GA. Overall, these results demonstrate that salinity significantly reduced germination precocity; however, the application of SA and GA enhanced germination precocity under specific conditions. Among the treatments tested, the GA applications proved to be the most effective in promoting germination precocity.
Figure 2.
Effect of salicylic acid (0.25 and 0.5 mM) and gibberellic acid (0.1 and 0.2%) priming on precocity of germination of Stevia seeds under salt stress (0 and 80 mM NaCl) conditions. Results are expressed as mean ± SD of 3 independent replicates. Values followed by different lowercase letters are significantly different according to LSD test (p ≤ 0.05).
3.3. Influence of Seed Priming on Total Germination
Figure 3 shows the effect of the applied treatments on total germination under salt stress. The total germination percentage significantly decreased with the application of 80 mM NaCl, resulting in only 7% germination compared to the control, which was 60%. However, treating seeds with SA produced a notable difference in total germination across varying concentrations. The treatment with 0.25 mM SA resulted in a substantial increase to 70%, while 0.5 mM SA further improved germination to 81%. In contrast, treatments with GA showed higher effectiveness, with 0.1% GA achieving a total germination of 98% and 0.2% GA yielding 80%. When 0.25 mM SA was combined with 80 mM NaCl, the total germination dropped to 18%, while a higher concentration of 0.5 mM SA + 80 mM NaCl resulted in a slight increase to 30%. The GA treatments under saline conditions also demonstrated varied responses, with 0.1% GA + 80 mM NaCl leading to 40% germination, while 0.2% GA + 80 mM NaCl decreased it to 20%.
Figure 3.
Effect of salicylic acid (0.25 and 0.5 mM) and gibberellic acid (0.1 and 0.2%) priming on total germination of Stevia seeds under salt stress (0 and 80 mM NaCl) conditions. Results are expressed as mean ± SD of 3 independent replicates. Values followed by different lowercase letters are significantly different according to LSD test (p ≤ 0.05).
3.4. Influence of Seed Priming on Mean Germination Time
The mean germination time (MGT) of Stevia was significantly affected by both salinity and treatment type (Figure 4). Under control conditions, the seeds took 5.27 days to germinate, but, with the introduction of 80 mM NaCl, the germination time was extended to 7.29 days, demonstrating that salinity delays the germination process by approximately 2 days. Treatment with 0.25 and 0.5 mM SA slightly improved germination time, reducing it to 5.02 and 4.05 days without NaCl and 6.05 and 6.83 days under saline conditions. The most significant improvements were observed with GA treatments. The application of 0.1% GA resulted in the lowest MGT values, with 3.05 days under nonsaline conditions and 5.18 days under saline conditions. Similarly, 0.2% GA reduced the MGT to 3.95 days without NaCl and 6.02 days with NaCl. Overall, the application of SA and GA effectively reduced the MGT, with GA treatments being the most effective in promoting faster germination under both saline and nonsaline conditions. In conclusion, these results indicated that while salinity significantly increased the germination time by 2 days, both SA and GA treatments alleviated this delay, with GA applications showing the greatest reductions in germination time under both saline and nonsaline conditions.
Figure 4.
Effect of salicylic acid (0.25 and 0.5 mM) and gibberellic acid (0.1 and 0.2%) priming on the mean germination time of Stevia seeds under salt stress (0 and 80 mM NaCl) conditions. Results are expressed as mean ± SD of 3 independent replicates. Values followed by different lowercase letters are significantly different according to LSD test (p ≤ 0.05).
3.5. Influence of Seed Priming on Salt Tolerance Index
The salt tolerance index of Stevia seedlings grown under salt stress, with or without the application of SA and GA, is presented in Figure 5. The control group exhibited the lowest salt tolerance index of 20, indicating a very limited ability of the plants to tolerate saline conditions without any external treatment. The application of SA, at both 0.25 and 0.5 mM concentrations, significantly improved the salt tolerance index, increasing it to 50 in both cases. This suggests that SA enhances the plants’ capacity to cope with salinity, effectively doubling their tolerance compared to the control. GA treatments had an even more pronounced effect. The application of 0.1% GA raised the salt tolerance index to 66, the highest recorded in this study. Similarly, 0.2% GA yielded a salt tolerance index of 60, slightly lower than 0.1% GA, yet still representing a substantial improvement over the control.
Figure 5.
Effect of salicylic acid (0.25 and 0.5 mM) and gibberellic acid (0.1 and 0.2%) priming on salt tolerance index of Stevia seeds under salt stress (0 and 80 mM NaCl) conditions. Results are expressed as mean ± SD of 3 independent replicates. Values followed by different lowercase letters are significantly different according to LSD test (p ≤ 0.05).
3.6. Influence of Seed Priming on Seed Vigor Index
The seed vigor index (SVI) values for various treatments are illustrated in Figure 6, highlighting the significant impact of salinity and seed priming treatments on seed vigor. Under saline conditions, priming seeds with SA or GA resulted in a substantial enhancement in the SVI. Specifically, seeds treated with 0.25 and 0.5 mM SA exhibited increases of 83.50 and 83.20%, respectively, under salt stress conditions. Notably, the combination of 0.1% GA with 80 mM NaCl provided the most pronounced improvement under salt stress, achieving an enhancement of 94.2% in the SVI.
Figure 6.
Effect of salicylic acid (0.25 and 0.5 mM) and gibberellic acid (0.1 and 0.2%) priming on seed vigor index of Stevia seeds under salt stress (0 and 80 mM NaCl) conditions. Results are expressed as mean ± SD of 3 independent replicates. Values followed by different lowercase letters are significantly different according to LSD test (p ≤ 0.05).
3.7. Influence of Seed Priming on Plumule Length, Radicle Length, Seedling Dry Weight, and Electrolyte Leakage
Table 1 presents the effects of different applied treatments on plumule length, radicle length, and seedling dry weight under both control and salt stress conditions. In non-stressed plants, the application of SA resulted in a significant enhancement of plumule length, radicle length, and seedling dry weight by 43, 28, and 50% for 0.25 mM SA, and by 39, 19, and 37% for 0.5 mM SA, compared to the control. Under salt stress, these parameters increased by 64, 52, and 80% for 0.25 mM SA, and by 41, 15, and 75% for 0.5 mM SA, respectively. Similarly, treatment with 0.1% of GA significantly enhanced growth parameters under salt stress, resulting in increases of 74, 58, and 90% for plumule length, radicle length, and seedling dry weight, respectively. Regarding electrolyte leakage, hormonal priming with SA and GA effectively mitigated the detrimental effects of salt stress, leading to a decrease in electrolyte leakage.
Table 1.
Effect of salicylic acid and gibberellic acid priming on plumule length, radicle length, seedling dry weight, and electrolyte leakage of Stevia seeds under salt stress conditions.
4. Discussion
In this study, it was demonstrated that hormonal priming, particularly with salicylic acid and gibberellic acid, significantly improved the germination of Stevia seeds under saline conditions. Seed germination, a critical phase in plant development, is often evaluated using several key parameters, including the germination index, precocity of germination, total germination, mean germination time, and seed vigor index. In this study, we examined the effects of saline stress (80 mM NaCl) and hormonal priming (SA and GA) on the germination of Stevia seeds by analyzing these parameters. Our results demonstrated that salinity significantly impaired the studied germination parameters, except for mean germination time, which increased in response to NaCl application. Recent studies indicated that high salt concentrations can damage cell membranes, impair enzyme activity, and compromise embryo viability by disrupting cellular structures, ultimately hindering the germination process [35]. However, these negative effects were alleviated by hormonal priming. Stevia seeds primed with 0.5 mM SA exhibited improved in terms of the germination percentage, germination index, precocity of germination, total germination, and seed vigor index, while also showing a reduced mean germination time compared to nonprimed seeds under saline conditions. Similar findings were reported by Safari et al. [36] in Sesamum indicum L., who observed that seed priming with low concentrations of SA not only promoted seed tolerance to salinity but also enabled faster recovery of growth after emergence. Under salt stress conditions, SA helps to mitigate the adverse effects of stress by stabilizing cell membranes, enhancing antioxidant enzyme activity, and reducing oxidative stress, thereby supporting better early seedling development and establishment.
Priming with 0.1% GA notably enhanced germination performance under saline stress, resulting in a higher germination percentage, germination index, and faster germination (greater precocity) compared to both unprimed and SA-primed seeds. GA-primed seeds demonstrated significant reductions in mean germination time and greater seedling vigor, with improved overall growth metrics, indicating that GA priming is more effective than SA priming in mitigating the negative effects of salinity on Stevia seeds. As reported by Ellouzi et al. [37], GA seed priming substantially promotes germination and growth under stress by stimulating embryo growth, mobilizing reserves, and overcoming seed dormancy. This priming technique also aids ion homeostasis under salt stress by reducing Na+ accumulation and increasing K+ levels in the leaves and roots [38]. Additionally, GA appears to boost salt tolerance by upregulating Na+/H+ antiporter genes and activating salt-responsive proteins that help maintain osmotic balance. While the positive impacts of GA on ion regulation and osmotic adjustment are clear, further research is warranted to explore the underlying mechanisms in greater detail [39]. Our findings demonstrate that priming with SA and GA significantly enhances growth parameters, including plumule length, radicle length, and seedling dry weight. This underscores the potential of SA and GA as effective priming agents for promoting seedling growth in challenging environments. This is consistent with the findings of Abido et al. [40] on wheat. Furthermore, both hormonal treatments effectively reduced electrolyte leakage, indicating improved membrane stability and decreased cellular damage under salt stress. This reduction in electrolyte leakage suggests that SA and GA priming enhance the overall stress tolerance of seedlings by preserving cellular integrity and facilitating improved water and nutrient uptake.
Notably, GA priming boosts seed respiration, lowers abscisic acid levels, and stimulates the biosynthesis of growth-promoting hormones like indole-3-acetic acid and gibberellins, which collectively contribute to improved seedling vigor under stress conditions. SA priming also plays a role in maintaining ion homeostasis and nutrient uptake, particularly under heavy metal stress, and enhances endogenous SA content along with α-amylase activity during germination under stress. Furthermore, the exogenous application of GA significantly improved the growth and development parameters of Stevia rebaudiana, notably by reducing oxidative damage markers such as malondialdehyde, electrolyte leakage, and hydrogen peroxide levels under salt stress [41]. Additionally, it is well known that SA generates a cascade of signaling pathways by interacting with other plant hormones such as abscisic acid, jasmonic acid, and ethylene and plays an important role in mitigating plant stresses [42].
Nonetheless, the existing literature indicates that SA seed priming effectively enhances plant resilience to various abiotic stresses [43,44,45,46,47,48,49]. For instance, Guan et al. [50] demonstrated that seedlings exposed to chilling stress exhibited significantly greater dry weight in both roots and shoots when treated with SA compared to untreated controls. This increase in dry weight can be attributed to the heightened activity of protective enzymes induced by SA, which mitigate oxidative damage and preserve cellular integrity during stress [50]. Additionally, other studies showed that SA priming activates protective mechanisms by upregulating stress-responsive genes such as ZmPAL, ZmSOD4, ZmAPX2, ZmCAT2, ZmGR, ZmGA20ox1, and ZmGA3ox2 [51].
Additionally, Yuniarti et al. [52] highlighted the synergistic effects of combining hormonal priming with biopriming, which further enhanced seedling growth and resilience. This suggests that integrating hormonal priming with complementary strategies, such as biopriming, could provide a more holistic and effective approach to improving seedling quality and overall plant performance under stress. Moreover, Ziaf et al. [53] demonstrated that seed priming significantly improved germination rates and seedling growth under saline conditions, further emphasizing the potential of priming techniques in enhancing plant resilience to abiotic stress. Overall, this evidence highlights the significance of priming in promoting growth and mitigating the adverse effects of salinity on Stevia seedling development, offering valuable insights for agricultural practices aimed at enhancing crop resilience.
5. Conclusions
In conclusion, this study underscores the effectiveness of hormonal priming with gibberellic acid and salicylic acid as a viable strategy to enhance the germination and early seedling development of Stevia rebaudiana under saline conditions. The findings demonstrate that both GA and SA significantly improved germination rates and reduced mean germination time, thereby promoting seedling vigor in the face of salinity stress. Specifically, priming with 0.1% GA and 0.5 mM SA yielded the most favorable outcomes, effectively mitigating the adverse effects of high salinity on germination and seedling growth. Furthermore, the reduction in electrolyte leakage among the primed seeds indicates enhanced membrane stability, a critical factor for seedling resilience under stress. These results not only provide valuable insights into the potential of hormonal priming to improve crop establishment in saline environments but also highlight the importance of integrating such techniques into agricultural practices aimed at enhancing the resilience of crops in challenging conditions. Future research should explore the mechanisms underlying hormonal priming and its applicability across different crop species and stress conditions to further optimize agricultural outcomes.
Author Contributions
Conceptualization, I.J. and A.E.; methodology, I.J.; validation, A.E., H.A., M.A.-E.-M. and R.B.L.; writing—original draft preparation, I.J.; writing—review and editing, A.E., H.A., M.A.-E.-M. and R.B.L. All authors have read and agreed to the published version of the manuscript.
Funding
This research received no external funding.
Institutional Review Board Statement
Not applicable.
Informed Consent Statement
Not applicable.
Data Availability Statement
Data are contained within this article.
Conflicts of Interest
The authors declare no conflicts of interest.
References
- Vishal, B.; Kumar, P.P. Regulation of seed germination and abiotic stresses by gibberellins and abscisic acid. Front. Plant Sci. 2018, 9, 838. [Google Scholar] [CrossRef] [PubMed]
- Hnilicková, H.; Hnilicka, F.; Orsák, M.; Hejnák, V. Effect of salt stress on growth, electrolyte leakage, Na+ and K+ content in selected plant species. Plant Soil Environ. 2019, 65, 90–96. [Google Scholar] [CrossRef]
- Yadav, S.; Modi, P.; Dave, A.; Vijapura, A.; Patel, D.; Patel, M. Effect of Abiotic Stress on Crops. In Sustainable Crop Production; Hasanuzzaman, M., Fujita, M., Teixeira Filho, M.C.M., Nogueira, T.A.R., Galindo, F.S., Eds.; IntechOpen: London, UK, 2020. [Google Scholar]
- Farooq, M.; Gogoi, N.; Hussain, M.; Barthakur, S.; Paul, S.; Bharadwaj, N.; Migdadi, H.M.; Alghamdi, S.S.; Siddique, K.H.M. Effects, tolerance mechanisms and management of salt stress in grain legumes. Plant Physiol. Biochem. 2017, 118, 199–217. [Google Scholar] [CrossRef] [PubMed]
- Shahid, M.A.; Sarkhosh, A.; Khan, N.; Balal, R.M.; Ali, S.; Rossi, L.; Gómez, C.; Mattson, N.; Nasim, W.; Garcia-Sanchez, F. Insights into the physiological and biochemical impacts of salt stress on plant growth and development. Agronomy 2020, 10, 938. [Google Scholar] [CrossRef]
- Tarchoun, N.; Saadaoui, W.; Mezghani, N.; Pavli, O.I.; Falleh, H.; Petropoulos, S.A. The effects of salt stress on germination, seedling growth and biochemical responses of tunisian squash (Cucurbita maxima Duchesne) germplasm. Plants 2022, 11, 800. [Google Scholar] [CrossRef] [PubMed]
- Ali, A.S.; Elozeiri, A.A. Metabolic processes during seed germination. Adv. Seed Biol. 2017, 2017, 141–166. [Google Scholar]
- Arif, Y.; Singh, P.; Siddiqui, H.; Bajguz, A.; Hayat, S. Salinity induced physiological and biochemical changes in plants: An omic approach towards salt stress tolerance. Plant Physiol. Biochem. 2020, 156, 64–77. [Google Scholar] [CrossRef]
- Wang, J.; Lv, P.; Yan, D.; Zhang, Z.; Xu, X.; Wang, T.; Wang, Y.; Peng, Z.; Yu, C.; Gao, Y.; et al. Exogenous melatonin improves seed germination of wheat (Triticum aestivum L.) under salt stress. Int. J. Mol. Sci. 2022, 23, 8436. [Google Scholar] [CrossRef] [PubMed]
- Samuel, P.; Ayoob, K.T.; Magnuson, B.A.; Wölwer-Rieck, U.; Jeppesen, P.B.; Rogers, P.J.; Mathews, R. Stevia leaf to stevia sweetener: Exploring its science, benefits, and future potential. J. Nutr. 2018, 148, 1186S–1205S. [Google Scholar] [CrossRef] [PubMed]
- Orellana-Paucar, A.M. Steviol glycosides from Stevia rebaudiana: An updated overview of their sweetening activity, pharmacological properties, and safety aspects. Molecules 2023, 28, 1258. [Google Scholar] [CrossRef] [PubMed]
- Janah, I.; Elhasnaoui, A.; Issa Ali, O.; Lamnai, K.; Aissam, S.; Loutfi, K. Physiochemical responses of Stevia rebaudiana Bertoni subjected to sodium chloride (NaCl) salinity and exogenous salicylic acid application. Gesunde Pflanz. 2021, 73, 509–520. [Google Scholar] [CrossRef]
- Janah, I.; Meddich, A.; Elhasnaoui, A.; Khayat, S.; Anli, M.; Boutasknit, A.; Aissam, S.; Loutfi, K. Arbuscular mycorrhizal fungi mitigates salt stress toxicity in Stevia rebaudiana Bertoni through the modulation of physiological and biochemical responses. J. Soil Sci. Plant Nutr. 2021, 23, 152–162. [Google Scholar] [CrossRef]
- Janah, I.; Elhasnaoui, A.; Anli, M.; Raho, O.; Mobaligh, M.; Lamnai, K.; Aissam, S.; Meddich, A. The Application of Organic Fertilizer and Arbuscular Mycorrhiza Fungi Modifies the Physiological and Biochemical Responses of Stevia Plants under Salt Stress. Russ. J. Plant Physiol. 2024, 71, 67. [Google Scholar] [CrossRef]
- Janah, I.; Elhasnaoui, A.; Makbal, R.; Ahmali, A.; Tastift, M.A.; Lamnai, K.; Aissam, S. Effect of Salicylic Acid Treatment on Agro-Morphological Performances, Mineral Nutrition, Antioxidant Capacity, and Steviol Glycosides Content of Stevia Subjected to Salt Stress. Russ. J. Plant Physiol. 2024, 71, 68. [Google Scholar] [CrossRef]
- Rhaman, M.S.; Imran, S.; Rauf, F.; Khatun, M.; Baskin, C.C.; Murata, Y.; Hasanuzzaman, M. Seed priming with phytohormones: An effective approach for the mitigation of abiotic stress. Plants 2020, 10, 37. [Google Scholar] [CrossRef]
- Shihab, M.O.; Hamza, J.H. Seed priming of sorghum cultivars by gibberellic and salicylic acids to improve seedling growth under irrigation with saline water. J. Plant Nutr. 2020, 43, 1951–1967. [Google Scholar] [CrossRef]
- Ibrahim, M.S.; Moses, N.; Ikhajiagbe, B. Seed Priming with Phytohormones. In Plant Hormones-Recent Advances, New Perspectives and Applications; Hano, C., Ed.; IntechOpen: London, UK, 2022. [Google Scholar]
- Jaybhaye, S.G.; Deshmukh, A.S.; Chavhan, R.L.; Patade, V.Y.; Hinge, V.R. GA3 and BAP phytohormone seed priming enhances germination and PEG induced drought stress tolerance in soybean by triggering the expression of osmolytes, antioxidant enzymes and related genes at the early seedling growth stages. Environ. Exp. Bot. 2024, 226, 105870. [Google Scholar] [CrossRef]
- Shah, S.H.; Islam, S.; Mohammad, F.; Siddiqui, M.H. Gibberellic acid: A versatile regulator of plant growth, development and stress responses. J. Plant Growth Regul. 2023, 42, 7352–7373. [Google Scholar] [CrossRef]
- Aoki, N.; Ishibashi, Y.; Kai, K.; Tomokiyo, R.; Yuasa, T.; Iwaya-Inoue, M. Programmed cell death in barley aleurone cells is not directly stimulated by reactive oxygen species produced in response to gibberellin. J. Plant Physiol. 2014, 171, 615–618. [Google Scholar] [CrossRef]
- Saleem, M.; Fariduddin, Q.; Castroverde, C.D.M. Salicylic acid: A key regulator of redox signalling and plant immunity. Plant Physiol. Biochem. 2021, 168, 381–397. [Google Scholar] [CrossRef]
- Mahmood-ur-Rehman, M.; Amjad, M.; Ziaf, K.; Ahmad, R. Seed priming with salicylic acid improve seed germination and physiological responses of carrot seeds. Pak. J. Agric. Sci. 2020, 57, 351–359. [Google Scholar]
- Xu, N.; Sui, X.; Chen, Z.; Niu, J.; Guo, Z.; Wang, Q. Seed soaking with salicylic acid improves alfalfa (Medicago sativa L.) germination by involving the antioxidation system. Acta Physiol. Plant. 2023, 45, 128. [Google Scholar] [CrossRef]
- Hongna, C.; Leyuan, T.; Junmei, S.; Xiaori, H.; Xianguo, C. Exogenous salicylic acid signal reveals an osmotic regulatory role in priming the seed germination of Leymus chinensis under salt-alkali stress. Environ. Exp. Bot. 2021, 188, 104498. [Google Scholar] [CrossRef]
- Galviz, Y.C.; Bortolin, G.S.; Guidorizi, K.A.; Deuner, S.; Reolon, F.; de Moraes, D.M. Effectiveness of seed priming and soil drench with salicylic acid on tomato growth, physiological and biochemical responses to severe water deficit. J. Soil Sci. Plant Nutr. 2021, 21, 2364–2377. [Google Scholar] [CrossRef]
- Omidi, H.; Keshavarzi, M.H.B.; Mousavi, S.M.R. The effect of natural salinity on seed germination, seedling establishment growth and selected biochemical properties of Stevia rebaudiana Bertoni. Res. Sq. 2024. [Google Scholar] [CrossRef]
- Rehman, M.M.U.; Liu, J.; Nijabat, A.; Alsudays, I.M.; Saleh, M.A.; Alamer, K.H.; Attia, H.; Ziaf, K.; Zaman, Q.U.; Amjad, M. Correction: Seed priming with potassium nitrate alleviates the high temperature stress by modulating growth and antioxidant potential in carrot seeds and seedlings. BMC Plant Biol. 2024, 24, 679. [Google Scholar]
- Liopa-Tsakalidi, A.; Kaspiris, G.; Salahas, G.; Barouchas, P. Effect of salicylic acid (SA) and gibberellic acid (GA3) pre-soaking on seed germination of stevia (Stevia rebaudiana) under salt stress. J. Med. Plant Res. 2012, 6, 416–423. [Google Scholar] [CrossRef]
- Kader, M.A.; Jutzi, S.C. Effects of thermal and salt treatments during imbibition on germination and seedling growth of sorghum at 42/19 C. J. Agron. Crop Sci. 2004, 190, 35–38. [Google Scholar] [CrossRef]
- Ellis, R.H.; Roberts, E.H. The quantification of ageing and survival in orthodox seeds. Seed Sci. Technol. 1981, 9, 373–409. [Google Scholar]
- Tarchoun, N.; Saadaoui, W.; Hamdi, K.; Falleh, H.; Pavli, O.; Ksouri, R.; Petropoulos, S.A. Seed Priming and Biopriming in Two Squash Landraces (Cucurbita maxima Duchesne) from Tunisia: A Sustainable Strategy to Promote Germination and Alleviate Salt Stress. Plants 2024, 13, 2464. [Google Scholar] [CrossRef] [PubMed]
- Syeed, S.; Anjum, N.A.; Nazar, R.; Iqbal, N.; Masood, A.; Khan, N.A. Salicylic acid-mediated changes in photosynthesis, nutrients content and antioxidant metabolism in two mustard (Brassica juncea L.) cultivars differing in salt tolerance. Acta Physiol. Plant. 2011, 33, 877–886. [Google Scholar] [CrossRef]
- Partheeban, C.; Chandrasekhar, C.N.; Jeyakumar, P.; Ravikesavan, R.; Gnanam, R. Effect of PEG induced drought stress on seed germination and seedling characters of maize (Zea mays L.) genotypes. Int. J. Curr. Microbiol. Appl. Sci. 2017, 6, 1095–1104. [Google Scholar] [CrossRef]
- Uçarlı, C. Effects of Salinity on Seed Germination and Early Seedling Stage. In Abiotic Stress in Plants; Fahad, S., Saud, S., Chen, Y., Wu, C., Wang, D., Eds.; Intechopen: London, UK, 2020; p. 211. [Google Scholar]
- Safari, H.; Hosseini, S.M.; Azari, A.; Rafsanjani, M.H. Effects of seed priming with ABA and SA on seed germination and seedling growth of sesame (Sesamum indicum L.) under saline condition. Aust. J. Crop Sci. 2018, 12, 1385–1392. [Google Scholar] [CrossRef]
- Ellouzi, H.; Zorrig, W.; Amraoui, S.; Oueslati, S.; Abdelly, C.; Rabhi, M.; Siddique, K.H.M.; Hessini, K. Seed priming with salicylic acid alleviates salt stress toxicity in barley by suppressing ROS accumulation and improving antioxidant defense systems, compared to halo-and gibberellin priming. Antioxidants 2023, 12, 1779. [Google Scholar] [CrossRef] [PubMed]
- Iqbal, M.; Ashraf, M. Gibberellic acid mediated induction of salt tolerance in wheat plants: Growth, ionic partitioning, photosynthesis, yield and hormonal homeostasis. Environ. Exp. Bot. 2013, 86, 76–85. [Google Scholar] [CrossRef]
- Khan, M.M.; Usman, M.; Waseem, R.; Ali, M.A. Role of gibberellic acid (GA3) on citrus seed germination and study of some morphological characteristics. Pak. J. Agric. Sci. 2002, 39, 113–118. [Google Scholar]
- Abido, W.A.E.; Allem, A.; Zsombik, L.; Attila, N. Effect of gibberellic acid on germination of six wheat cultivars under salinity stress levels. Asian J. Biol. Sci. 2019, 12, 51–60. [Google Scholar] [CrossRef]
- Janah, I.; Ben-Laouane, R.; Elhasnaoui, A.; Anli, M.; Meddich, A. The Induction of Salt Stress Tolerance by Gibberellic Acid Treatment in Stevia rebaudiana Bertoni Plants. Int. J. Plant Biol. 2024, 15, 505–516. [Google Scholar] [CrossRef]
- Matilla-Vazquez, M.A.; Matilla, A.J. Ethylene: Role in Plants Under Environmental Stress. In Physiological Mechanisms and Adaptation Strategies in Plants under Changing Environment; Ahmad, P., Wani, M.R., Eds.; Springer: New York, NY, USA, 2014; Volume 2, pp. 189–222. [Google Scholar]
- Shatpathy, P.; Kar, M.; Dwibedi, S.K.; Dash, A. Seed priming with salicylic acid improves germination and seedling growth of rice (Oryza sativa L.) under PEG-6000 induced water stress. Int. J. Curr. Microbiol. Appl. Sci. 2018, 7, 907–924. [Google Scholar] [CrossRef]
- Pouramir-Dashtmian, F.; Khajeh-Hosseini, M.; Esfahani, M. Improving chilling tolerance of rice seedling by seed priming with salicylic acid. Arch. Agron. Soil Sci. 2014, 60, 1291–1302. [Google Scholar] [CrossRef]
- Zanganeh, R.; Jamei, R.; Rahmani, F. Impacts of seed priming with salicylic acid and sodium hydrosulfide on possible metabolic pathway of two amino acids in maize plant under lead stress. Mol. Biol. Res. Commun. 2018, 7, 83–88. [Google Scholar] [PubMed]
- Ulfat, A.N.; Majid, S.A.; Hameed, A. Hormonal seed priming improves wheat (Triticum aestivum) field performance under drought and non-stress conditions. Pak. J. Bot. 2017, 49, 1239–1253. [Google Scholar]
- El-Shazoly, R.M.; Metwally, A.A.; Hamada, A.M. Salicylic acid or thiamin increases tolerance to boron toxicity stress in wheat. J. Plant Nutr. 2019, 42, 702–722. [Google Scholar] [CrossRef]
- Gul, F.; Arfan, M.; Shahbaz, M.; Basra, S. Salicylic acid seed priming modulates morphology, nutrient relations and photosynthetic attributes of wheat grown under cadmium stress. Int. J. Agric. Biol. 2020, 23, 197–204. [Google Scholar]
- Singh, S.K.; Singh, P.K. Effect of seed priming of tomato with salicylic acid on growth, flowering, yield and fruit quality under high temperature stress conditions. Int. J. Adv. Res. 2016, 4, 723–727. [Google Scholar]
- Guan, Y.J.; Li, Z.; He, F.; Huang, Y.T.; Song, W.J.; Hu, J. “on-off” thermoresponsive coating agent containing salicylic acid applied to maize seeds for chilling tolerance. PLoS ONE 2015, 10, e0120695. [Google Scholar] [CrossRef] [PubMed]
- Li, Z.; Xu, J.; Gao, Y.; Wang, C.; Guo, G.; Luo, Y.; Huang, Y.; Hu, W.; Sheteiwy, M.S.; Guan, Y.; et al. The synergistic priming effect of exogenous salicylic acid and H2O2 on chilling tolerance enhancement during maize (Zea mays L.) seed germination. Front. Plant. sci. 2017, 8, 1153. [Google Scholar] [CrossRef] [PubMed]
- Yuniarti, N.; Yulianti; Sudrajat, D.J.; Nurhasybi; Zanzibar, M.; Syamsuwida, D.; Mindawati, N.; Junaedi, A.; Putri, K.P.; Rustam, E.; et al. Improvement of seedling quality of red jabon (Neolamarckia macrophylla (Roxb.) Bosser) through seed sowing techniques and seed invigoration. For. Sci. Technol. 2023, 19, 162–170. [Google Scholar] [CrossRef]
- Ziaf, K.; Mahmood-ur-Rehman, M.; Amjad, M.; Ahmad, R.; Batool, A.; Muhammad, A.; Latif, J.; Zaman, Q.u. Influence of hydro-and halo-priming on germination and seedling growth of cabbage under saline conditions. Pure Appl. Biol. 2017, 6, 97. [Google Scholar] [CrossRef]
Disclaimer/Publisher’s Note: The statements, opinions and data contained in all publications are solely those of the individual author(s) and contributor(s) and not of MDPI and/or the editor(s). MDPI and/or the editor(s) disclaim responsibility for any injury to people or property resulting from any ideas, methods, instructions or products referred to in the content. |
© 2025 by the authors. Licensee MDPI, Basel, Switzerland. This article is an open access article distributed under the terms and conditions of the Creative Commons Attribution (CC BY) license (https://creativecommons.org/licenses/by/4.0/).





