A Two-Stage Multi-Parameter-Based Sorting Method for Ensuring Consistency Between Parallel-Connected Lithium-Ion Batteries
Abstract
1. Introduction
- (1)
- Using the DBSCAN clustering algorithm and capacity, internal resistance and OCV as input features, abnormal battery data points in the clustering results that are neither core objects nor edge points can be filtered out.
- (2)
- In the two-stage sorting scheme, static and dynamic parameters are selected in stages through a Pearson correlation analysis and a Principal Component Analysis (PCA). This avoids inconsistencies in the data scale and information redundancy caused by mixing static and dynamic features and improves the sorting accuracy to maximize the available capacity.
- (3)
- Compared with the traditional single-stage sorting scheme, the capacity attenuation of the parallel cycle charge and discharge test slowed by more than twofold, extending the battery service life.
2. Experiment for Parameter Extraction
2.1. Experimental Setup Construction
2.2. Experimental Data Collection and Analysis
2.2.1. Capacity and OCV Test
2.2.2. Internal Resistance Test
2.3. Feature Selection
3. Two-Stage Sorting Method
3.1. Stage 1: Sorting Using DBSCAN
3.2. Stage 2: Sorting Using SOM Algorithm
3.2.1. Data Processing
3.2.2. Feature Extraction from the Discharge Voltage Curve
- (1)
- Mean centering: Given the original dataset Xm×n, the average of each feature is subtracted from every observation of that feature, resulting in a new variable whose mean value is 0. The calculation formulas are shown as Equations (11) and (12).
- (2)
- Covariance matrix calculation: The covariance matrix reflects the linear relationship between the features, which is calculated using Equation (13).
- (3)
- Eigenvalue decomposition: The covariance matrix C undergoes eigenvalue decomposition to obtain the eigenvalues and eigenvectors.
- (4)
- Selection of principal components: The eigenvalues are sorted from largest to smallest, and the eigenvectors corresponding to the k largest eigenvalues are selected to form the projection matrix W = [v1, v2, …, vk].
- (5)
- Data projection: The original data are mapped into a new, reduced-dimensional space.
3.2.3. SOM Sorting
3.3. Comparative Analysis of Sorting Results
4. Experimental Verification and Discussion
4.1. Test Setup
4.2. Analysis and Discussion
5. Conclusions
- (1)
- In the first stage of the two-stage multi-parameter sorting method, the use of the DBSCAN clustering algorithm excludes abnormal battery data points that are neither core objects nor edge points in the clustering results, avoiding the “barrel effect” in the parallel module process and improving the SOM sorting accuracy in the dynamic parameter sorting process.
- (2)
- The experimental results showed that compared with traditional single-stage SOM and FCM clustering, the evaluation indexes of the clustering effect using two-stage methods were optimized, reducing the SSE to 15.1325. The DB value was reduced to 1.0926, which indicates that the compactness and differentiation of the clustering were significantly improved. In addition, in the life cycle test, the average capacity degradation of the two-stage sorted battery module was only 2.257 Ah and its capacity decay rate slowed by more than twofold, maximizing the available capacity and extending the battery life.
- (3)
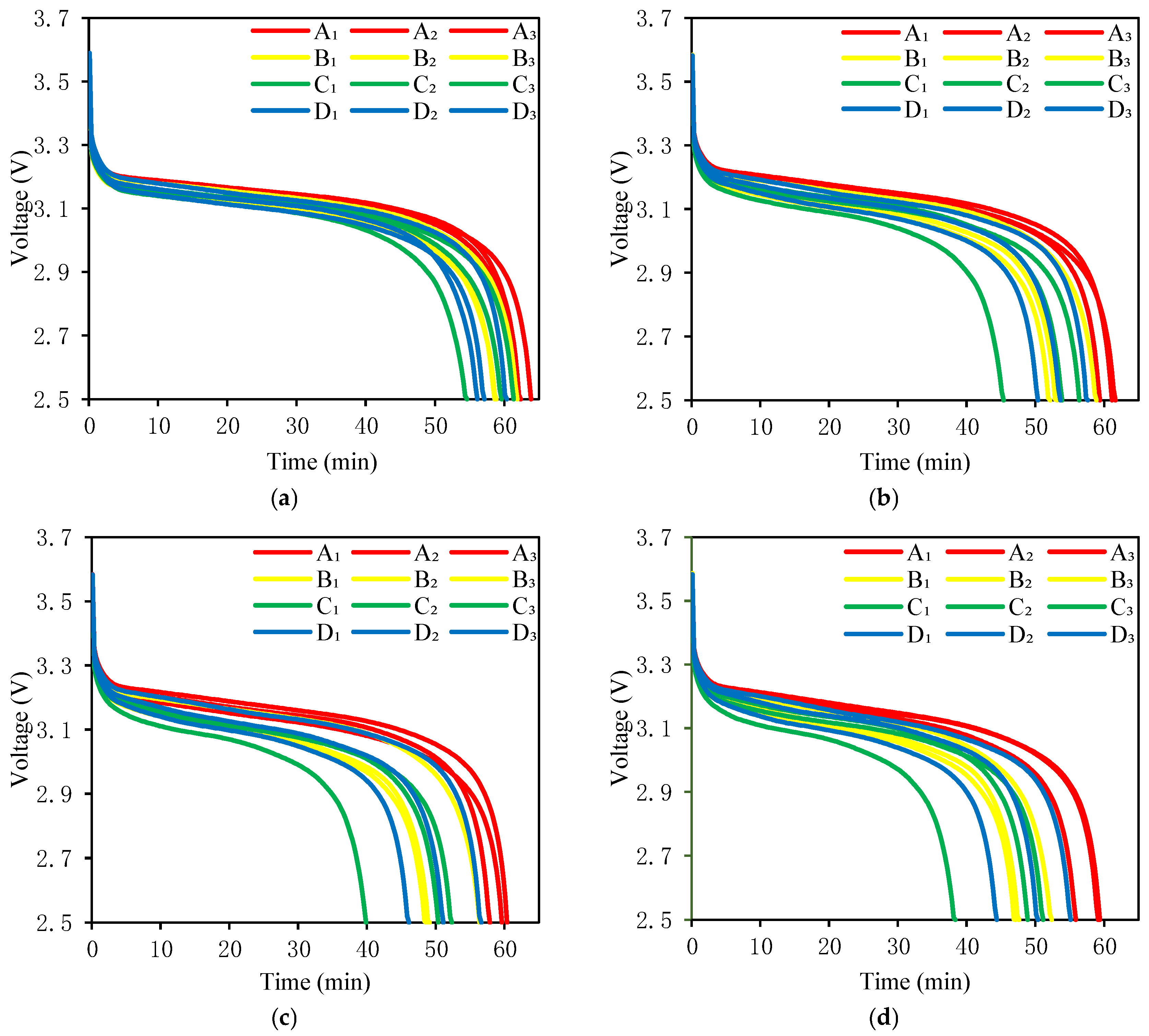
- The discharge voltage curve of the parallel module showed that the batteries selected by two-stage sorting had strong dynamic consistency, which reduces the risk of consistency problems during battery reassembly.
Author Contributions
Funding
Data Availability Statement
Conflicts of Interest
References
- Zhang, L.; Sun, C.; Liu, S. State of Health Prediction of Lithium-Ion Batteries Based on Multi-Kernel Relevance Vector Machine and Error Compensation. World Electr. Veh. J. 2024, 15, 248. [Google Scholar] [CrossRef]
- Hong, H.; Li, H.; d’Apolito, L.; Ye, Y.; Xin, Q. Lithium battery sorting method for high-rate operating conditions. Proc. Inst. Mech. Eng. Part D J. Automob. Eng. 2024, 238, 3372–3385. [Google Scholar] [CrossRef]
- Zhang, C.; Xu, X.; Li, Y.; Huang, J.; Li, C.; Sun, W. Research on SOC Estimation Method for Lithium-Ion Batteries Based on Neural Network. World Electr. Veh. J. 2023, 14, 275. [Google Scholar] [CrossRef]
- Lee, Y.L.; Lin, C.H.; Farooqui, S.A.; Liu, H.D.; Ahmad, J. Validation of a balancing model based on master-slave battery management system architecture. Electr. Power Syst. Res. 2023, 214, 108835. [Google Scholar] [CrossRef]
- Bai, X.; Tan, J.; Wang, X.; Wang, L.; Liu, C.; Shi, L.; Sun, W. Study on distributed lithium-ion power battery grouping scheme for efficiency and consistency improvement. J. Clean. Prod. 2019, 233, 429–445. [Google Scholar] [CrossRef]
- Khan, H.; Tanveer, M.; Nguyen, D.D.; Ullah, A.; Shin, M.C.; Kwak, M.K.; Park, C.W.; Kim, G.M. Efficient stacking of glucose/oxygen microfluidic biofuel cells using a single-streamflow channel. Energy Convers. Manag. 2022, 271, 116270. [Google Scholar] [CrossRef]
- Panchal, S.; Mathew, M.; Dincer, I.; Agelin-Chaab, M.; Fraser, R.; Fowler, M. Thermal and electrical performance assessments of lithium-ion battery modules for an electric vehicle under actual drive cycles. Electr. Power Syst. Res. 2018, 163, 18–27. [Google Scholar] [CrossRef]
- Feng, X.; Xu, C.; He, X.; Wang, L.; Zhang, G.; Ouyang, M. Mechanisms for the evolution of cell variations within a LiNixCoyMnzO2/graphite lithium-ion battery pack caused by temperature non-uniformity. J. Clean. Prod. 2018, 205, 447–462. [Google Scholar] [CrossRef]
- Beck, D.; Dechent, P.; Junker, M.; Sauer, D.U.; Dubarry, M. Inhomogeneities and cell-to-cell variations in lithium-ion batteries, a review. Energies 2021, 14, 3276. [Google Scholar] [CrossRef]
- BU-803a: Cell Matching and Balancing. Available online: https://batteryuniversity.com/article/bu-803a-cell-matching-and-balancing (accessed on 25 April 2022).
- Kong, X.; Zheng, Y.; Ouyang, M.; Lu, L.; Li, J.; Zhang, Z. Fault diagnosis and quantitative analysis of micro-short circuits for lithium-ion batteries in battery packs. J. Power Sources 2018, 395, 358–368. [Google Scholar] [CrossRef]
- Tian, Y.; Huang, Z.; Li, X.; Tian, J. Parallel-connected battery module modeling based on physical characteristics in multiple domains and heterogeneous characteristic analysis. Energy 2022, 239, 122181. [Google Scholar] [CrossRef]
- Gong, X.; Xiong, R.; Mi, C.C. Study of the characteristics of battery packs in electric vehicles with parallel-connected lithium-ion battery cells. IEEE Trans. Ind. Appl. 2014, 51, 1872–1879. [Google Scholar] [CrossRef]
- Miyatake, S.; Susuki, Y.; Hikihara, T.; Itoh, S.; Tanaka, K. Discharge characteristics of multicell lithium-ion battery with nonuniform cells. J. Power Sources 2013, 241, 736–743. [Google Scholar] [CrossRef]
- Gogoana, R.; Pinson, M.B.; Bazant, M.Z.; Sarma, S.E. Internal resistance matching for parallel-connected lithium-ion cells and impacts on battery pack cycle life. J. Power Sources 2014, 252, 8–13. [Google Scholar] [CrossRef]
- Huang, J.; Chen, D.; Yang, Y.; Gao, M. Battery grouping based on improved K-means with curve fitting. In Proceedings of the 2018 13th IEEE Conference on Industrial Electronics and Applications (ICIEA), Wuhan, China, 31 May–2 June 2018; IEEE: New York, NY, USA, 2018; pp. 1966–1971. [Google Scholar]
- Liu, X.; Tang, Q.; Feng, Y.; Lin, M.; Meng, J.; Wu, J. Fast sorting method of retired batteries based on multi-feature extraction from partial charging segment. Appl. Energy 2023, 351, 121930. [Google Scholar] [CrossRef]
- Zhou, Z.; Ran, A.; Chen, S.; Zhang, X.; Wei, G.; Li, B.; Kang, F.; Zhou, X.; Sun, H. A fast screening framework for second-life batteries based on an improved bisecting K-means algorithm combined with fast pulse test. J. Energy Storage 2020, 31, 101739. [Google Scholar] [CrossRef]
- Liao, Q.; Mu, M.; Zhao, S.; Zhang, L.; Jiang, T.; Ye, J.; Shen, X.; Zhao, G. Performance assessment and classification of retired lithium-ion battery from electric vehicles for energy storage. Int. J. Hydrog. Energy 2017, 42, 18817–18823. [Google Scholar] [CrossRef]
- Garg, A.; Yun, L.; Gao, L.; Putungan, D.B. Development of recycling strategy for large stacked systems: Experimental and machine learning approach to form reuse battery packs for secondary applications. J. Clean. Prod. 2020, 275, 124152. [Google Scholar] [CrossRef]
- Xia, J.; Shi, Q.; Li, H.; Zhou, M.; Jiang, K.; Wang, K. A novel sorting method for liquid metal batteries based on deep learning and sequential features. J. Energy Storage 2023, 64, 107093. [Google Scholar] [CrossRef]
- Lai, X.; Qiao, D.; Zheng, Y.; Yi, W. A novel screening method based on a partially discharging curve using a genetic algorithm and back-propagation model for the cascade utilization of retired lithium-ion batteries. Electronics 2018, 7, 399. [Google Scholar] [CrossRef]
- Zhou, Z.; Duan, B.; Kang, Y.; Shang, Y.; Zhang, Q.; Zhang, C. Health feature extraction and efficient sorting of second-life lithium-ion batteries. IEEE Trans. Energy Convers. 2023, 39, 1373–1382. [Google Scholar] [CrossRef]
- Jiang, T.; Sun, J.; Wang, T.; Tang, Y.; Chen, S.; Qiu, S.; Liu, X.; Lu, S.; Wu, X. Sorting and grouping optimization method for second-use batteries considering aging mechanism. J. Energy Storage 2021, 44, 103264. [Google Scholar] [CrossRef]
- Wang, Y.; Tan, J.; Liu, Z.; Ditta, A. Lithium-ion Battery Screening by K-means with DBSCAN for Denoising. CMC-Comput. Mater. Cont. 2020, 65, 2111–2122. [Google Scholar] [CrossRef]
- Yin, H.; Li, Y.; Kang, Y.; Zhang, C. A two-stage sorting method combining static and dynamic characteristics for retired lithium-ion battery echelon utilization. J. Energy Storage 2023, 64, 107178. [Google Scholar] [CrossRef]
- Plett, G.L. Extended Kalman filtering for battery management systems of LiPB-based HEV battery packs: Part 1. Background. J. Power Sources 2004, 134, 252–261. [Google Scholar] [CrossRef]
- Chen, H.; Chahbaz, A.; Yang, S.; Zhang, W.; Sauer, D.U.; Li, W. Thermodynamic and kinetic degradation of LTO batteries: Impact of different SOC intervals and discharge voltages in electric train applications. eTransportation 2024, 21, 100340. [Google Scholar] [CrossRef]
- Jiang, Y.; Wang, Y.; Zhang, C.; Su, G.; Liu, J. Research on group methods of second-use Li-ion batteries based on k-means clustering model. In Proceedings of the 2014 IEEE Conference and Expo Transportation Electrification Asia-Pacific (ITEC Asia-Pacific), Beijing, China, 31 August–3 September 2014; IEEE: New York, NY, USA, 2014; pp. 1–6. [Google Scholar]
- Chen, L.; Lü, Z.; Lin, W.; Li, J.; Pan, H. A new state-of-health estimation method for lithium-ion batteries through the intrinsic relationship between ohmic internal resistance and capacity. Measurement 2018, 116, 586–595. [Google Scholar] [CrossRef]
- Pan, R.; Xiao, X.; Fan, J.; Tan, M.; Luo, X.; Tian, J.; Yang, D.; Xu, J. Multi-stage deep sorting strategy for retired batteries based on the clustering of static and dynamic features. J. Energy Storage 2024, 99, 113387. [Google Scholar] [CrossRef]
- Yu, X.; Cai, S.; Luo, X.; Tu, Z. Barrel effect in an air-cooled proton exchange membrane fuel cell stack. Energy 2024, 286, 129668. [Google Scholar] [CrossRef]
- Xia, B.; Yang, Y.; Zhou, J.; Chen, G.; Liu, Y.; Wang, H.; Wang, M.; Lai, Y. Using self organizing maps to achieve lithium-ion battery cells multi-parameter sorting based on principle components analysis. Energies 2019, 12, 2980. [Google Scholar] [CrossRef]
- Anowar, F.; Sadaoui, S.; Selim, B. Conceptual and empirical comparison of dimensionality reduction algorithms (pca, kpca, lda, mds, svd, lle, isomap, le, ica, t-sne). Comput. Sci. Rev. 2021, 40, 100378. [Google Scholar] [CrossRef]
- Lee, P.Y.; Kwon, S.; Kang, D.; Cho, I.; Kim, J. Principle component analysis-based optimized feature extraction merged with nonlinear regression model for improved state-of-health prediction. J. Energy Storage 2022, 48, 104026. [Google Scholar] [CrossRef]
- Niu, T.; Huang, W.; Zhang, C.; Zeng, T.; Chen, J.; Li, Y.; Liu, Y. Study of degradation of fuel cell stack based on the collected high-dimensional data and clustering algorithms calculations. Energy AI 2022, 10, 100184. [Google Scholar] [CrossRef]
- Zhou, Z.; Duan, B.; Kang, Y.; Shang, Y.; Cui, N.; Chang, L.; Zhang, C. An efficient screening method for retired lithium-ion batteries based on support vector machine. J. Clean. Prod. 2020, 267, 121882. [Google Scholar] [CrossRef]


















| Parameter | Setting/Material |
|---|---|
| Nominal capacity | 8 Ah |
| Nominal voltage | 3.2 V |
| Anode material | Graphite |
| Cathode material | Lithium iron phosphate |
| Separator material | Polypropylene coated with alumina |
| Battery model | HW 38120HP |
| Charge cut-off voltage | 3.65 ± 0.05 V |
| Discharge cut-off voltage | 2.5 ± 0.05 V |
| Maximum continuous discharge rate | 15 C |
| Cycle life | ≥2000 |
| Attribute | Single-Parameter Sorting | Multi-Parameter Sorting | Dynamic Characteristic Sorting |
|---|---|---|---|
| Speed | High | Medium | Low |
| Accuracy | Low | Medium | High |
| Feasibility | Simple | Complex | Complex |
| Temporal effect | Short-term consistency | Short-term consistency | Long-term consistency |
| Parameter | Setting/Value |
|---|---|
| Clustering parameters | Principal components 1, 2 and 3 |
| Dimensions | Topological height: 2; topological width: 2 |
| Training cycles | 1000 |
| Neighborhood radius | 1 |
| Initial learning rate | 0.1 |
| Algorithm | Number of Categories | SSE | DB |
|---|---|---|---|
| SOM | 4 | 32.6043 | 1.2521 |
| FCM | 4 | 30.4681 | 1.221 |
| DBSCAN + SOM | 4 | 15.1325 | 1.0926 |
| Cycle index (n) | 1st | 30th | 60th | 90th | 120th | 150th | Degradation (Ah) | ||
|---|---|---|---|---|---|---|---|---|---|
| Capacity (Ah) | |||||||||
| Scheme | |||||||||
| Scheme A | 31.126 | 30.577 | 29.998 | 29.584 | 29.130 | 28.869 | 2.257 | ||
| Scheme B | 29.683 | 28.234 | 26.717 | 25.747 | 24.747 | 24.268 | 5.415 | ||
| Scheme C | 29.053 | 27.391 | 25.160 | 23.951 | 23.088 | 22.842 | 6.211 | ||
| Scheme D | 28.710 | 27.591 | 26.382 | 25.632 | 24.987 | 24.760 | 3.950 | ||
Disclaimer/Publisher’s Note: The statements, opinions and data contained in all publications are solely those of the individual author(s) and contributor(s) and not of MDPI and/or the editor(s). MDPI and/or the editor(s) disclaim responsibility for any injury to people or property resulting from any ideas, methods, instructions or products referred to in the content. |
© 2025 by the authors. Published by MDPI on behalf of the World Electric Vehicle Association. Licensee MDPI, Basel, Switzerland. This article is an open access article distributed under the terms and conditions of the Creative Commons Attribution (CC BY) license (https://creativecommons.org/licenses/by/4.0/).
Share and Cite
Hong, H.; Chen, X.; d’Apolito, L.; Ye, Y.; Shen, S. A Two-Stage Multi-Parameter-Based Sorting Method for Ensuring Consistency Between Parallel-Connected Lithium-Ion Batteries. World Electr. Veh. J. 2025, 16, 125. https://doi.org/10.3390/wevj16030125
Hong H, Chen X, d’Apolito L, Ye Y, Shen S. A Two-Stage Multi-Parameter-Based Sorting Method for Ensuring Consistency Between Parallel-Connected Lithium-Ion Batteries. World Electric Vehicle Journal. 2025; 16(3):125. https://doi.org/10.3390/wevj16030125
Chicago/Turabian StyleHong, Hanchi, Xiangxin Chen, Luigi d’Apolito, Yangqi Ye, and Shuiwen Shen. 2025. "A Two-Stage Multi-Parameter-Based Sorting Method for Ensuring Consistency Between Parallel-Connected Lithium-Ion Batteries" World Electric Vehicle Journal 16, no. 3: 125. https://doi.org/10.3390/wevj16030125
APA StyleHong, H., Chen, X., d’Apolito, L., Ye, Y., & Shen, S. (2025). A Two-Stage Multi-Parameter-Based Sorting Method for Ensuring Consistency Between Parallel-Connected Lithium-Ion Batteries. World Electric Vehicle Journal, 16(3), 125. https://doi.org/10.3390/wevj16030125

