Electrochemical and Thermal Analysis of Lithium-Ion Batteries Based on Variable Solid-State Diffusion Coefficient Concept
Abstract
1. Introduction
2. Materials and Methods
2.1. Electrochemical Model
- No gas is generated during the operation of the battery;
- The side reactions such as metal lithium deposition and active material loss during the cycling of lithium-ion batteries are not considered;
- The convection of ionic species in the electrolyte is ignored, and only the diffusion and electro-transport processes are analyzed.
- The gas phase reactions inside the lithium-ion battery during charging and discharging are ignored;
- The positive and negative active materials are spherical particles;
- The electrochemical reaction at the solid–liquid interface follows the Butler–Volmer equation.
2.2. Thermal Model
- (1)
- The heat generation process within the battery;
- (2)
- The process of heat conduction from the inside of the battery to the outer surface;
- (3)
- The process of heat dissipation from the battery surface to the surrounding environment.
2.3. Electrochemical–Thermal Coupling Model
2.4. Modeling Parameters
2.5. Simulation Software
3. Results and Discussion
3.1. Electrochemical–Thermal Coupling Model Based on VSSD Concept
3.1.1. Variable Solid-State Diffusion Coefficient Concept (VSSD)
3.1.2. Sine Approximation’s Fitting Results with Different Number of Terms
3.2. Verification of Electrochemical–Thermal Coupling Model Based on VSSD Concept
3.2.1. Verification of Electrochemical Model
3.2.2. Verification of Electrochemical–Thermal Coupling Model
3.3. Battery Performance at Different Electrode Thicknesses
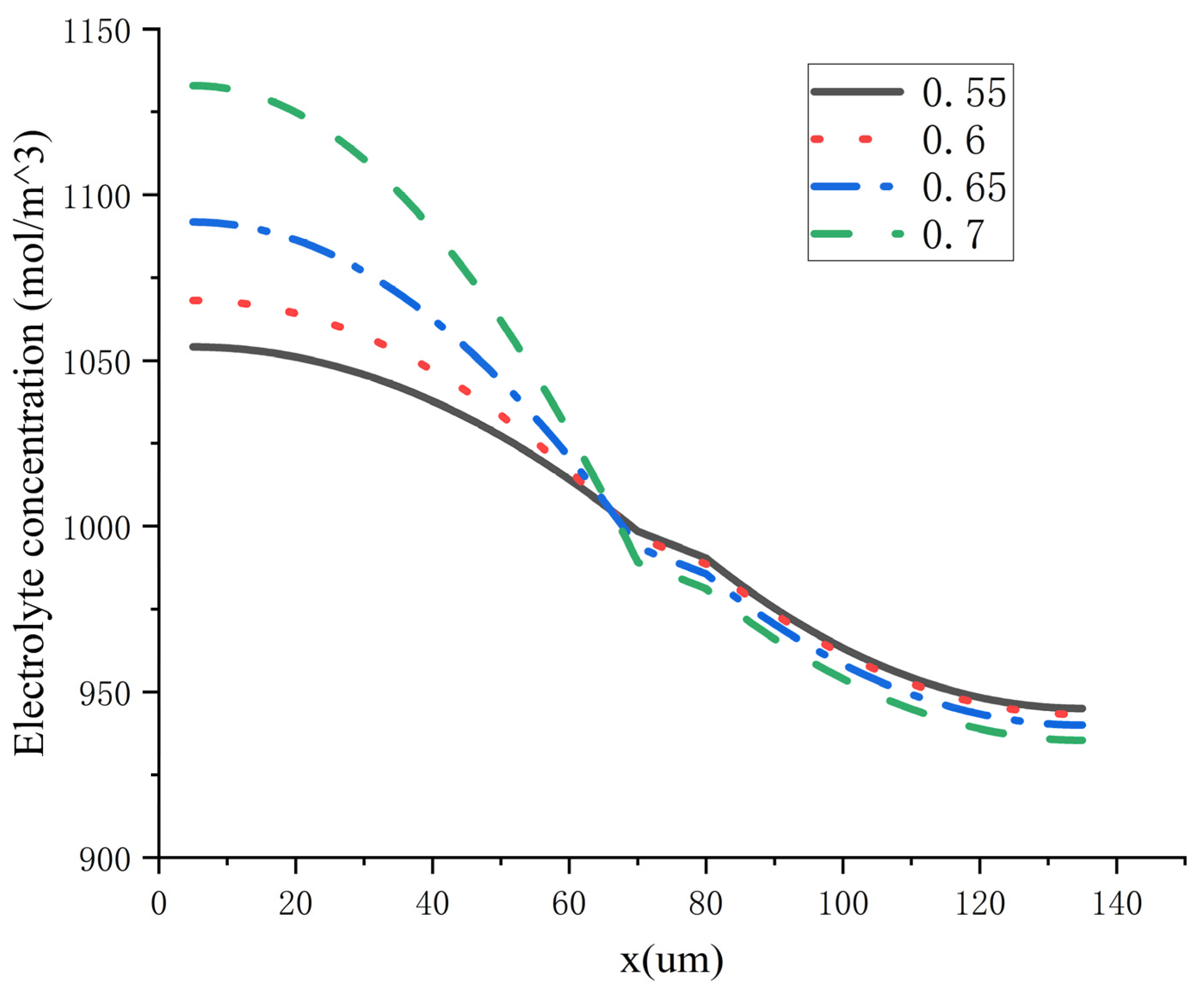
3.4. The Influence of Active-Substance Volume Fraction on Battery Performance
4. Conclusions
- (1)
- The discharge voltage’s response curves with and without the VSSD concept were fitted and compared under different operating conditions of 283/293/303 K and 0.5 C/1 C/1.5 C/2 C, verifying the effectiveness of the proposed function. Meanwhile, by comparing the discharge voltage response curves of the diffusion coefficient function composed of four, five, and six sine functions, it was determined that the diffusion coefficient function composed of six sine functions had the best fitting effect.
- (2)
- The effect of electrode thickness on battery performance was as follows: with the increase in parameters, the battery capacity increased, resulting in the increase in discharge current, which greatly promoted the polarization of the battery, especially the liquid-phase expansion. Finally, the heat production rate and temperature gradient of the battery were improved.
- (3)
- The increase in the volume fraction of the active material led to an increase in the polarization and internal resistance of the battery, especially because with the increase in the volume fraction of the active material, more lithium ions were embedded in the active particles, which ultimately led to an increase in the electrochemical performance and heat generation rate.
Author Contributions
Funding
Data Availability Statement
Conflicts of Interest
References
- Etacheri, V.; Marom, R.; Elazari, R.; Salitra, G.; Aurbach, D. Challenges in the development of advanced Li-ion batteries: A review. Energy Environ. Sci. EES 2011, 4, 3243–3262. [Google Scholar] [CrossRef]
- Deng, Y.-P.; Wu, Z.-G.; Liang, R.; Jiang, Y.; Luo, D.; Yu, A.; Chen, Z. Layer-based Heterostructured Cathodes for Lithium-ion and Sodium-ion Batteries. Adv. Funct. Mater. 2019, 29, 1808522. [Google Scholar] [CrossRef]
- Mehta, R.; Gupta, A. Mathematical modelling of electrochemical, thermal and degradation processes in lithium-ion cells—A comprehensive review. Renew. Sustain. Energy Rev. 2024, 192, 114264. [Google Scholar] [CrossRef]
- Wang, M.; Jia, P.; Wei, W.; Xie, Z.; Chen, J.; Dong, H. Research progress on electric thermal coupling model of lithium-ion batteries for energy storage. Battery Bimon. 2023, 53, 668–672. [Google Scholar]
- Alkhedher, M.; Al Tahhan, A.B.; Yousaf, J.; Ghazal, M.; Shahbazian-Yassar, R.; Ramadan, M. Electrochemical and thermal modeling of lithium-ion batteries: A review of coupled approaches for improved thermal performance and safety lithium-ion batteries. J. Energy Storage 2024, 86, 111172. [Google Scholar] [CrossRef]
- Li, H.; Saini, A.; Liu, C.; Yang, J.; Wang, Y.; Yang, T.; Pan, C.; Chen, L.; Jiang, H. Electrochemical and thermal characteristics of prismatic lithium-ion battery based on a three-dimensional electrochemical-thermal coupled model. J. Energy Storage 2021, 42, 102976. [Google Scholar] [CrossRef]
- Yu, Z.; Tian, Y.; Li, B. A simulation study of Li-ion batteries based on a modified P2D model. J. Power Sources 2024, 618, 234376. [Google Scholar] [CrossRef]
- Fang, W.; Ramadass, P.; Zhang, Z. Study of internal short in a Li-ion cell-II. Numerical investigation using a 3D electrochemical-thermal model. J. Power Sources 2014, 248, 1090–1098. [Google Scholar] [CrossRef]
- Zhang, W. Study on Electrochemical Thermal Coupling Simulation of Lithium ion Batteries. Master’s Thesis, Hunan University, Changsha, China, 2019. [Google Scholar]
- Tian, J. Research on Health Assessment and Fault Diagnosis of Energy Storage Lithium Battery System. Ph.D. Thesis, University of Science and Technology of China, Hefei, China, 2021. [Google Scholar]
- Gu, R.; Malysz, P.; Yang, H.; Emadi, A. On the Suitability of Electrochemical-Based Modeling for Lithium-Ion Batteries. IEEE Trans. Transp. Electrif. 2016, 2, 417–431. [Google Scholar] [CrossRef]
- Reniers, J.; Mulder, G.; Howey, D. Review and performance comparison of mechanical-chemical degradation models for lithium-ion batteries. J. Electrochem. Soc. 2019, 166, A3189. [Google Scholar] [CrossRef]
- Hashemzadeh, P.; Désilets, M.; Lacroix, M.; Jokar, A. Investigation of the P2D and of the modified single-particle models for predicting the nonlinear behavior of Li-ion batteries. J. Energy Storage 2022, 52 Pt B, 104909. [Google Scholar] [CrossRef]
- Lenzen, M. Life cycle energy and greenhouse gas emissions of nuclear energy: A review. Energy Convers. Manag. 2008, 49, 2178–2199. [Google Scholar] [CrossRef]
- He, T.; Zhang, T.; Wang, Z.; Cai, Q. A comprehensive numerical study on electrochemical-thermal models of a cylindrical lithium-ion battery during discharge process. Appl. Energy 2022, 313, 118797. [Google Scholar] [CrossRef]
- Zhang, X.; Li, P.; Huang, B.; Zhang, H. Numerical investigation on the thermal behavior of cylindrical lithium-ion batteries based on the electrochemical-thermal coupling model. Int. J. Heat Mass Transf. 2022, 199, 123449. [Google Scholar] [CrossRef]
- Zadeh, P.G.; Gholamalizadeh, E.; Wang, Y.; Chung, J.D. Electrochemical modeling of a thermal management system for cylindrical lithium-ion battery pack considering battery capacity fade. Case Stud. Therm. Eng. 2022, 32, 101878. [Google Scholar] [CrossRef]
- Manthiram, A. An Outlook on Lithium Ion Battery Technology. Acs Cent. Ence 2017, 3, 1063–1069. [Google Scholar] [CrossRef] [PubMed]
- Ellabban, O.; Abu-Rub, H.; Blaabjerg, F. Renewable energy resources: Current status, future prospects and their enabling technology. Renew. Sustain. Energy Rev. 2014, 39, 748–764. [Google Scholar] [CrossRef]
- Wang, J.; Meng, J.; Peng, Q.; Liu, T.; Peng, J. An electrochemical-thermal coupling model for lithium-ion battery state-of-charge estimation with improve dual particle filter framework. J. Energy Storage 2024, 87, 111473. [Google Scholar] [CrossRef]
- Dai, H.; Yu, C.; Wei, X.; Sun, Z. State of charge estimation for lithium-ion pouch batteries based on stress measurement. Energy 2017, 129, 16–27. [Google Scholar] [CrossRef]
- Gao, Y.; Liu, K.; Zhu, C.; Zhang, X.; Zhang, D. Co-Estimation of State-of-Charge and State-of- Health for Lithium-Ion Batteries Using an Enhanced Electrochemical Model. IEEE Trans. Ind. Electron. 2022, 69, 2684–2696. [Google Scholar] [CrossRef]
- Chen, S.; Zhang, Q.; Wang, F.; Wang, D.; He, Z. An electrochemical-thermal-aging effects coupled model for lithium-ion batteries performance simulation and state of health estimation. Appl. Therm. Eng. 2024, 239, 122128. [Google Scholar] [CrossRef]
- Yin, L.; Björneklett, A.; Söderlund, E.; Brandell, D. Analyzing and mitigating battery ageing by self-heating through a coupled thermal-electrochemical model of cylindrical Li-ion cells. J. Energy Storage 2021, 39, 102648. [Google Scholar] [CrossRef]
- Huang, Y.; Lai, X.; Ren, D.; Kong, X.; Han, X.; Lu, L.; Zheng, Y. Thermal and stoichiometry inhomogeneity investigation of large-format lithium-ion batteries via a three-dimensional electrochemical-thermal coupling model. Electrochim. Acta 2023, 468, 143212. [Google Scholar] [CrossRef]
- Wang, B.; Yan, M. Research on the heating effect evaluation of the electromagnetic induction heating system at low temperature based on the electrochemical-thermal coupling model. J. Energy Storage 2024, 87, 111348. [Google Scholar] [CrossRef]
- He, C.; Yue, Q.; Wu, M.; Chen, Q.; Zhao, T. A 3D electrochemical-thermal coupled model for electrochemical and thermal analysis of pouch-type lithium-ion batteries. Int. J. Heat Mass Transf. 2021, 181, 121855. [Google Scholar] [CrossRef]
- Jiang, G.; Zhuang, L.; Hu, Q.; Liu, Z.; Huang, J. An investigation of heat transfer and capacity fade in a prismatic Li-ion battery based on an electrochemical-thermal coupling model. Appl. Therm. Eng. 2020, 171, 115080. [Google Scholar] [CrossRef]
- Zhou, Z.; Cazorla, C.; Gao, B.; Luong, H.D.; Momma, T.; Tateyama, Y. First-Principles Study on the Interplay of Strain and State-of-Charge with Li-Ion Diffusion in the Battery Cathode Material LiCoO2. ACS Appl. Mater. Interfaces 2023, 15, 53614–53622. [Google Scholar] [CrossRef]
- Farag, M.; Sweity, H.; Fleckenstein, M.; Habibi, S. Combined electrochemical, heat generation, and thermal model for large prismatic lithium-ion batteries in real-time applications. J. Power Sources 2017, 360, 618–633. [Google Scholar] [CrossRef]
- Yang, Y. Electrochemical Thermal Coupling Characteristics of Lithium-Ion Batteries and Composite Thermal Management System. Ph.D. Thesis, North China Electric Power University, Beijing, China, 2022. [Google Scholar]
- Wang, Q. Research on Liquid Cooling Strategy for Soft Pack Lithium-Ion Battery Module Based on Electrochemical Thermal Coupling Model. Master’s Thesis, Hunan University, Changsha, China, 2020. [Google Scholar]
- Liu, A.; Gan, X.; He, P. Research Trends on Thermal Models of Lithium ion Batteries. J. Power Supply 2019, 17, 95–103. [Google Scholar]
- Yu, Q. Electrochemical Thermal Coupling Simulation of NCM Ternary Power Battery. Master’s Thesis, Chongqing University, Chongqing, China, 2021. [Google Scholar]
- Wang, T.; Tseng, K.J.; Zhao, J.; Wei, Z. Thermal investigation of lithium-ion battery module with different cell arrangement structures and forced air-cooling strategies. Appl. Energy 2014, 134, 229–238. [Google Scholar] [CrossRef]
- He, F.; Li, X.; Ma, L. Combined experimental and numerical study of thermal management of battery module consisting of multiple Li-ion cells. Int. J. Heat Mass Transf. 2014, 72, 622–629. [Google Scholar] [CrossRef]
- Baba, N.; Yoshida, H.; Nagaoka, M.; Okuda, C.; Kawauchi, S. Numerical simulation of thermal behavior of lithium-ion secondary batteries using the enhanced single particle model. J. Power Sources 2014, 252, 214–228. [Google Scholar] [CrossRef]
- Xu, M.; Zhang, Z.; Wang, X.; Jia, L.; Yang, L. Two-dimensional electrochemical–thermal coupled modeling of cylindrical LiFePO4 batteries. J. Power Sources 2014, 256, 233–243. [Google Scholar] [CrossRef]
- Ye, Y.; Saw, L.H.; Shi, Y.; Somasundaram, K.; Tay, A.A. Effect of thermal contact resistances on fast charging of large format lithium ion batteries. Electrochim. Acta 2014, 134, 327–337. [Google Scholar] [CrossRef]
- Zhang, L.; Wang, L.; Hinds, G.; Lyu, C.; Zheng, J.; Li, J. Multi-objective optimization of lithium-ion battery model using genetic algorithm approach. J. Power Sources 2014, 270, 367–378. [Google Scholar] [CrossRef]
- Mastali, M.; Farkhondeh, M.; Farhad, S.; Fraser, R.A.; Fowler, M. Electrochemical Modeling of Commercial LiFePO4 and Graphite Electrodes: Kinetic and Transport Properties and Their Temperature Dependence. J. Electrochem. Soc. 2016, 163, A2803–A2816. [Google Scholar] [CrossRef]
- Wang, Q.-K.; Shen, J.-N.; Ma, Z.-F.; He, Y.-J. Decoupling parameter estimation strategy based electrochemical-thermal coupled modeling method for large format lithium-ion batteries with internal temperature experimental validation. Chem. Eng. J. 2021, 424, 130308. [Google Scholar] [CrossRef]
















| Parameters | Parameter Name | Unit | Cathode | Separator | Anode |
|---|---|---|---|---|---|
| L | Length | μm | 65 | 10 | 55 |
| Radius | μm | 5 | 3.5 | ||
| Maximum lithium-ion concentration | 25,000 | 37,420 | |||
| Diffusion coefficient of lithium in solid phase | Equation (18) | ||||
| Diffusion coefficient of lithium in electrolyte | Equation (19) | Equation (19) | Equation (19) | ||
| Volume fraction of solid phase | 1 | 0.62 | 0.43 | ||
| Volume fraction of electrolyte | 1 | 0.26 | 0.54 | 0.332 | |
| Electrical conductivity of solid phase | 100 | 10 | |||
| Electrical conductivity of electrolyte | Equation (20) | Equation (20) | Equation (20) | ||
| Charge transfer coefficients | 1 | 0.5 | 0.5 | ||
| Lithium concentration in electrolyte phase | 1200 | 1200 | 1200 | ||
| Reaction rate constant | |||||
| Maximum state of charge | 1 | 0.975 | 0.98 | ||
| Minimum state of charge | 1 | 0 | 0 | ||
| Lithium transference number in electrolyte | 1 | 0.363 | |||
| F | Faraday’s constant | C/mol | 96,485 | ||
| Reference temperature | K | 293.15 |
| Parameters | Parameter Name | Unit | Values |
|---|---|---|---|
| W-cell | Cell width | mm | 142 |
| H-cell | Cell height | mm | 73 |
| L-cell | Cell thickness | mm | 12 |
| W-tab | Tab width | mm | 30 |
| H-tab | Tab height | mm | 30 |
| L-tab | Tab thickness | mm | 1 |
| p | Cell density | 2560 | |
| Heat capacity | 975 | ||
| Lengthwise thermal conductivity | 27.6 | ||
| Thicknesswise thermal conductivity | 1.12 | ||
| Heightwise thermal conductivity | 27.6 | ||
| T-amb | Ambient temperature | K | 298.15 |
| h | Convective heat transfer coefficient | 15 |
| n | |||
|---|---|---|---|
| 4 | |||
| 5 | |||
| 6 | |||
| Temperature | 0.2 C Rate | 0.5 C Rate | 1 C Rate | 2 C Rate |
|---|---|---|---|---|
| 283 K | 0.72 | 0.45 | 0.28 | 0.63 |
| 293 K | 0.79 | 0.57 | 0.34 | 0.54 |
| 303 K | 0.68 | 0.50 | 0.26 | 0.58 |
| Average | 0.73 | 0.51 | 0.29 | 0.58 |
Disclaimer/Publisher’s Note: The statements, opinions and data contained in all publications are solely those of the individual author(s) and contributor(s) and not of MDPI and/or the editor(s). MDPI and/or the editor(s) disclaim responsibility for any injury to people or property resulting from any ideas, methods, instructions or products referred to in the content. |
© 2024 by the authors. Published by MDPI on behalf of the World Electric Vehicle Association. Licensee MDPI, Basel, Switzerland. This article is an open access article distributed under the terms and conditions of the Creative Commons Attribution (CC BY) license (https://creativecommons.org/licenses/by/4.0/).
Share and Cite
Yao, P.; Liu, X. Electrochemical and Thermal Analysis of Lithium-Ion Batteries Based on Variable Solid-State Diffusion Coefficient Concept. World Electr. Veh. J. 2024, 15, 416. https://doi.org/10.3390/wevj15090416
Yao P, Liu X. Electrochemical and Thermal Analysis of Lithium-Ion Batteries Based on Variable Solid-State Diffusion Coefficient Concept. World Electric Vehicle Journal. 2024; 15(9):416. https://doi.org/10.3390/wevj15090416
Chicago/Turabian StyleYao, Ping, and Xuewen Liu. 2024. "Electrochemical and Thermal Analysis of Lithium-Ion Batteries Based on Variable Solid-State Diffusion Coefficient Concept" World Electric Vehicle Journal 15, no. 9: 416. https://doi.org/10.3390/wevj15090416
APA StyleYao, P., & Liu, X. (2024). Electrochemical and Thermal Analysis of Lithium-Ion Batteries Based on Variable Solid-State Diffusion Coefficient Concept. World Electric Vehicle Journal, 15(9), 416. https://doi.org/10.3390/wevj15090416
