Sign in to use this feature.

Years

Between: -

Subjects

remove_circle_outline
remove_circle_outline
remove_circle_outline
remove_circle_outline
remove_circle_outline
remove_circle_outline
remove_circle_outline
remove_circle_outline
remove_circle_outline

Journals

remove_circle_outline
remove_circle_outline
remove_circle_outline
remove_circle_outline
remove_circle_outline
remove_circle_outline
remove_circle_outline
remove_circle_outline
remove_circle_outline
remove_circle_outline
remove_circle_outline
remove_circle_outline
remove_circle_outline
remove_circle_outline
remove_circle_outline
remove_circle_outline
remove_circle_outline

Article Types

Countries / Regions

remove_circle_outline
remove_circle_outline
remove_circle_outline
remove_circle_outline
remove_circle_outline
remove_circle_outline
remove_circle_outline
remove_circle_outline

Search Results (2,087)

Search Parameters:
Keywords = electrochemical model

Order results
Result details
Results per page
Select all
Export citation of selected articles as:
19 pages, 4837 KB  
Article
Experimental Study of Pouch-Type Battery Cell Thermal Characteristics Operated at High C-Rates
by Marius Vasylius, Deivydas Šapalas, Benas Dumbrauskas, Valentinas Kartašovas, Audrius Senulis, Artūras Tadžijevas, Pranas Mažeika, Rimantas Didžiokas, Ernestas Šimkutis and Lukas Januta
Batteries 2026, 12(1), 14; https://doi.org/10.3390/batteries12010014 (registering DOI) - 28 Dec 2025
Abstract
This paper investigates pouch-type lithium-ion battery cells with a nominal voltage of 3.7 V and a nominal capacity of 57 Ah. A numerical model of the cell was developed and implemented using the NTGK method, which accurately predicts electrochemical and thermal processes. The [...] Read more.
This paper investigates pouch-type lithium-ion battery cells with a nominal voltage of 3.7 V and a nominal capacity of 57 Ah. A numerical model of the cell was developed and implemented using the NTGK method, which accurately predicts electrochemical and thermal processes. The results of numerical modeling matched with the experimental results of battery cell temperature measurements—the average deviation was about 4.5%; therefore, it can be considered reliable for further engineering research and construction of battery modules. In the experimental part of the paper, the battery cell was loaded in various C-rates (from 0.5 to 2 C), using heat flux sensors, thermocouples, and a thermal imaging camera. The studies revealed that the highest temperature is in the tabs area of cells. The temperature on the face of the cell surface exceeds 35 °C already from a load of 1.35 C, which accelerates cell degradation and reduces the number of cycles. Thermal imaging revealed uneven temperature distribution, whereby the top of the cell heats up more than the bottom of the cell and the temperature gradient can reach 2–4 °C. It was observed that during faster charge/discharge modes, the temperature rises from the tabs of the cell, and during slower ones, more in the middle face surface of the cell. The studies highlight the need to apply additional cooling solutions, especially cooling of the upper cell face, to ensure durability and uniform heat distribution. Full article
Show Figures

Figure 1

11 pages, 1863 KB  
Article
Design and Structural Characterization of Ferrocenyl Bithiophene Thioketone-Based Iron Complexes
by Ibrahim Basma, Hassan Abul-Futouh, Alessia Cinci, Sara J. Abaalkhail, Abdulmajeed Abdullah Alayyaf, Phil Köhler and Wolfgang Weigand
Inorganics 2026, 14(1), 14; https://doi.org/10.3390/inorganics14010014 (registering DOI) - 28 Dec 2025
Abstract
The exceptional catalytic efficiency of [FeFe]-hydrogenases has driven intense efforts to reproduce their structure and function in synthetic models. A key structural feature governing the behavior of synthetic H-cluster analogs lies in the identity of the bridging dithiolato ligands that link the iron [...] Read more.
The exceptional catalytic efficiency of [FeFe]-hydrogenases has driven intense efforts to reproduce their structure and function in synthetic models. A key structural feature governing the behavior of synthetic H-cluster analogs lies in the identity of the bridging dithiolato ligands that link the iron centers. These ligands play a pivotal role in tuning the electron density of the metal core, thereby dictating the complex’s redox characteristics and catalytic reactivity. In this context, we herein describe the synthesis and application of ferrocenyl bithiophene-2,2′-yl thioketone (1) as a proligand for assembling biomimetic models of the [FeFe]-hydrogenase active site. The obtained complexes were thoroughly examined using a suite of analytical methods, including NMR and IR spectroscopy, elemental analysis, and a single-crystal X-ray diffraction, affording comprehensive structural and chemical characterization. Furthermore, their electrochemical behavior toward proton reduction and hydrogen evolution was evaluated via cyclic voltammetry, enabling direct comparison with structurally related analogs. Full article
(This article belongs to the Special Issue Iron Complexes as Models of [FeFe] Hydrogenases)
Show Figures

Graphical abstract

22 pages, 2984 KB  
Article
Electrochemical Removal of Cephalosporin Antibiotic—Cefuroxime Axetil from Aquatic Media Using Boron-Doped Diamond Electrodes: Process Optimization, Degradation Studies and Transformation Products Characterization
by Michał Wroński, Jakub Trawiński and Robert Skibiński
Molecules 2026, 31(1), 106; https://doi.org/10.3390/molecules31010106 (registering DOI) - 26 Dec 2025
Abstract
Growing environmental concern over pharmaceutical contaminants in water, combined with the limited effectiveness of conventional treatment methods in removing persistent antibiotics, creates a need for advanced remediation technologies. This study investigates the degradation of the cephalosporin antibiotic cefuroxime axetil using an electrochemical advanced [...] Read more.
Growing environmental concern over pharmaceutical contaminants in water, combined with the limited effectiveness of conventional treatment methods in removing persistent antibiotics, creates a need for advanced remediation technologies. This study investigates the degradation of the cephalosporin antibiotic cefuroxime axetil using an electrochemical advanced oxidation process with a boron-doped diamond (BDD) anode. Experiments were conducted under varying pH levels and in natural water matrices, specifically river and lake water, to evaluate the process efficiency under realistic conditions. Significant differences were observed between matrices, with the best result obtained in river water, enabling complete degradation of cefuroxime axetil within 30 min. To clarify the factors influencing process efficiency, additional experiments examined the effects of dissolved organic matter (DOM) and chlorides. Cefuroxime axetil proved highly susceptible to electrooxidation, generally following pseudo-first-order kinetics, and chloride significantly accelerated its degradation. Using high-resolution mass spectrometry, ten transformation products were identified, including six not previously reported in the literature, representing a key novelty of this work. Their potential aquatic toxicity was subsequently evaluated in silico using fish and algae models. Finally, energy consumption analysis was conducted to evaluate the impact of various factors on the process’s economic efficiency. Full article
(This article belongs to the Special Issue Advances in Remediation Methods of Pharmaceutical Pollutants in Water)
Show Figures

Graphical abstract

23 pages, 7975 KB  
Article
Coupled Design of Cathode GC and GDL Microporous Structure for Enhanced Mass Transport and Electrochemical Efficiency in PEMFCs
by Zhe Li, Runyuan Zheng, Chengyan Wang, Lin Li, Jiafeng Wu, Yuanshen Xie and Dapeng Tan
Appl. Sci. 2026, 16(1), 246; https://doi.org/10.3390/app16010246 - 25 Dec 2025
Viewed by 103
Abstract
Proton exchange membrane fuel cells (PEMFCs) represent a new generation of clean and efficient energy conversion devices, demonstrating broad application prospects in transportation, distributed power generation, and other fields. The geometric configuration of the cathode gas channel (GC) and the surface microstructure of [...] Read more.
Proton exchange membrane fuel cells (PEMFCs) represent a new generation of clean and efficient energy conversion devices, demonstrating broad application prospects in transportation, distributed power generation, and other fields. The geometric configuration of the cathode gas channel (GC) and the surface microstructure of the gas diffusion layer (GDL) are core factors influencing the efficiency of reactant gas transport and water management performance. However, conventional rectangular flow channels suffer from insufficient convective enhancement and restricted oxygen supply beneath the fins. Furthermore, homogeneous GDLs exhibit limited diffusion and drainage capabilities, often leading to oxygen depletion and flooding downstream of the cathode, significantly limiting overall cell performance. To address these challenges, this study designs a novel centrally positioned fin-type barrier block. A three-dimensional multiphysics numerical model integrating GDL surface microporosity with the internal barrier block flow channels is constructed to systematically investigate the synergistic mechanisms of microporous topology and flow channel structure on two-phase flow distribution, oxygen mass transfer, and electrochemical performance. The results demonstrate that this model accurately captures the dynamic evolution of flow fields within the GDL. Compared to conventional structures, significant coupling effects exist between the GDL microporous structure and the novel barrier block. Their synergistic interaction forms multi-scale mass transfer enhancement and dewatering pathways, providing quantifiable optimization pathways and structural parameter references for high-power-density PEMFC cathode design. Full article
Show Figures

Figure 1

15 pages, 1468 KB  
Article
AI-Assisted Impedance Biosensing of Yeast Cell Concentration
by Amir A. AlMarzooqi, Mahmoud Al Ahmad, Jisha Chalissery and Ahmed H. Hassan
Biosensors 2026, 16(1), 18; https://doi.org/10.3390/bios16010018 - 25 Dec 2025
Viewed by 119
Abstract
Quantifying microbial growth with high temporal resolution remains essential yet challenging due to limitations of optical, manual, and biochemical methods. Here, we introduce an AI-enhanced electrochemical impedance spectroscopy platform for real-time, label-free monitoring of Saccharomyces cerevisiae growth. Broadband impedance measurements (1 Hz–100 kHz) [...] Read more.
Quantifying microbial growth with high temporal resolution remains essential yet challenging due to limitations of optical, manual, and biochemical methods. Here, we introduce an AI-enhanced electrochemical impedance spectroscopy platform for real-time, label-free monitoring of Saccharomyces cerevisiae growth. Broadband impedance measurements (1 Hz–100 kHz) were collected from yeast cultures across log-phase development. Engineered features—derived from impedance magnitude and phase—captured dielectric and conductive shifts associated with cell proliferation, membrane polarization, and ionic redistribution. A Gaussian Process Regression model trained on these features predicted optical density (OD600) with high precision (RMSE = 0.79 min; R2 = 0.9996; r = 0.9998), and achieved 100% classification accuracy when discretized into 15-min growth intervals. The system operated with sub-millisecond latency and minimal memory footprint, enabling embedded deployment. Benchmarking against conventional methods revealed superior throughput, automation potential, and independence from labeling or turbidity-based optics. This AI-driven platform forms the core of a real-time digital twin for yeast culture monitoring, capable of predictive tracking and adaptive control. By fusing electrochemical biosensing with machine learning, our method offers a scalable and robust solution for intelligent fermentation and bioprocess optimization. Full article
(This article belongs to the Section Biosensor and Bioelectronic Devices)
Show Figures

Graphical abstract

24 pages, 3207 KB  
Article
Research on Two-Stage Parameter Identification for Various Lithium-Ion Battery Models Using Bio-Inspired Optimization Algorithms
by Shun-Chung Wang and Yi-Hua Liu
Appl. Sci. 2026, 16(1), 202; https://doi.org/10.3390/app16010202 - 24 Dec 2025
Viewed by 93
Abstract
Lithium-ion batteries (LIBs) are vital components in electric vehicles (EVs) and battery energy storage systems (BESS). Accurate estimation of the state of charge (SOC) and state of health (SOH) depends heavily on precise battery modeling. This paper examines six commonly used equivalent circuit [...] Read more.
Lithium-ion batteries (LIBs) are vital components in electric vehicles (EVs) and battery energy storage systems (BESS). Accurate estimation of the state of charge (SOC) and state of health (SOH) depends heavily on precise battery modeling. This paper examines six commonly used equivalent circuit models (ECMs) by deriving their impedance transfer functions and comparing them with measured electrochemical impedance spectroscopy (EIS) data. The particle swarm optimization (PSO) algorithm is first utilized to identify the ECM with the best EIS fit. Then, thirteen bio-inspired optimization algorithms (BIOAs) are employed for parameter identification and comparison. Results show that the fractional-order R(RQ)(RQ) model with a mean absolute percentage error (MAPE) of 10.797% achieves the lowest total model fitting error and possesses the highest matching accuracy. In model parameter identification using BIOAs, the marine predators algorithm (MPA) reaches the lowest estimated MAPE of 10.694%, surpassing other algorithms in this study. The Friedman ranking test further confirms MPA as the most effective method. When combined with an Internet-of-Things-based online battery monitoring system, the proposed approach provides a low-cost, high-precision platform for rapid modeling and parameter identification, supporting advanced SOC and SOH estimation technologies. Full article
(This article belongs to the Section Electrical, Electronics and Communications Engineering)
Show Figures

Figure 1

20 pages, 3510 KB  
Article
Numerical Analysis of the Relationship Between Vanadium Flow Rate, State of Charge, and Vanadium Ion Uniformity
by Tianyu Shen, Xiaoyin Xie, Chongyang Xu and Sheng Wu
Symmetry 2026, 18(1), 24; https://doi.org/10.3390/sym18010024 - 23 Dec 2025
Viewed by 140
Abstract
Vanadium redox flow batteries, as a key technology for energy storage systems, have gained application in recent years. Investigating the thermal behavior and performance of these batteries is crucial. This study establishes a three-dimensional model of a vanadium redox flow battery featuring a [...] Read more.
Vanadium redox flow batteries, as a key technology for energy storage systems, have gained application in recent years. Investigating the thermal behavior and performance of these batteries is crucial. This study establishes a three-dimensional model of a vanadium redox flow battery featuring a serpentine flow channel design. By adjusting key battery parameters, changes in ion concentration and uniformity are examined. The model integrates electrochemical, fluid dynamics, and Physico-Chemical Kinetics phenomena. Electrolyte flow velocity and current density are critical parameters. Results indicate that increasing the electrolyte inlet flow velocity leads to convergence in the battery’s charge/discharge cell voltage, VO2+/VO2+, V2+/V3+ and concentration distribution across the carbon felt and flow channels. Coincidently, the uniformity of vanadium ions across all oxidation states improves. Furthermore, the observed ion uniformity and battery cell voltage are shown to be significantly modulated by the system’s State of Charge, which sets the baseline electrochemical environment for flow rate effects. Full article
(This article belongs to the Section Engineering and Materials)
Show Figures

Figure 1

10 pages, 1360 KB  
Article
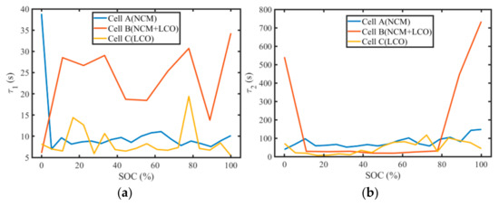
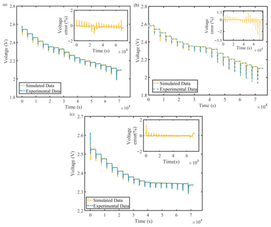
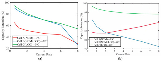
An Experimental and Modeling Study on Commercial Lithium Titanate Batteries with Different Cathode Materials
by Hao Li
Batteries 2026, 12(1), 3; https://doi.org/10.3390/batteries12010003 - 22 Dec 2025
Viewed by 126
Abstract
This study presents a comparative analysis of the performance and modeling differences among lithium titanate oxide (LTO) batteries with three different cathode materials. An evaluation was conducted by performing performance tests over −20 °C to 25 °C at various current rates. Differences in [...] Read more.
This study presents a comparative analysis of the performance and modeling differences among lithium titanate oxide (LTO) batteries with three different cathode materials. An evaluation was conducted by performing performance tests over −20 °C to 25 °C at various current rates. Differences in open-circuit voltage curves, as well as charge and discharge capacities under different temperatures and C-rates, were systematically compared. At 25 °C, the NCM cathode enabled superior rate capability, retaining over 90% of its capacity at 8 C discharge, whereas the LCO-based cells exhibited significant capacity fade. Conversely, at −20 °C, the LCO cathode demonstrated better low-temperature performance, delivering almost 80% of its room-temperature capacity at 4 C, compared to less than 5% for the NCM cathode. The batteries were modeled using a second-order equivalent circuit model, and variations in model parameters were analyzed from the perspectives of internal resistance and electrode kinetics. The second-order equivalent circuit model revealed that the NCM-based cells had lower ohmic resistance and faster electrode kinetics. By correlating battery performance with cathode materials, this study evaluates the suitability of LTO batteries with different cathodes for various application scenarios, providing valuable insights for battery application and management. Full article
(This article belongs to the Special Issue Batteries: 10th Anniversary)
Show Figures

Figure 1

15 pages, 2715 KB  
Article
Mutagenicity and Repair of Acrolein Adduct to Cytosine
by Małgorzata Dylewska, Sławomir Kasperowicz, Beata Sokołowska and Agnieszka M. Maciejewska
Int. J. Mol. Sci. 2026, 27(1), 71; https://doi.org/10.3390/ijms27010071 - 21 Dec 2025
Viewed by 129
Abstract
Acrolein, a ubiquitous environmental pollutant, is also formed endogenously as a metabolite under oxidative stress conditions. Its adduct to cytosine, 3,N4-α-hydroxypropanocytosine (HPC), has recently been shown to be an in vitro substrate for the AlkB dioxygenase. Using a set of indicator [...] Read more.
Acrolein, a ubiquitous environmental pollutant, is also formed endogenously as a metabolite under oxidative stress conditions. Its adduct to cytosine, 3,N4-α-hydroxypropanocytosine (HPC), has recently been shown to be an in vitro substrate for the AlkB dioxygenase. Using a set of indicator plasmids modified with acrolein, we provide evidence that HPC is a mutagenic non-instructional lesion that predominantly induces C→A transversion, and to a lesser extent C→T and C→G base substitutions. HPC is efficiently repaired in vivo by AlkB, even without induction of the adaptive response. However, the mutation frequency did not differ between the wild-type and AlkA-deficient strains, and AlkA glycosylase fails to excise in vitro the acrolein-modified cytosine from the T22(HPC)3 oligodeoxynucleotide, both indicating that HPC is not a substrate for AlkA. Based on molecular modeling, we further examined the potential differences in the hydrolytic suspensibility of a known AlkA substrate, the acrolein adduct to adenine (HPA), and the cytosine adduct (HPC) at the glycosylase active site. Analysis of both structural and electrochemical properties indicates that, despite an identical type of modification within an equivalent chemical context, including comparable geometry and topology, the glycosidic bond in HPC is considerably less susceptible to hydrolysis than that in HPA. Full article
(This article belongs to the Section Molecular Biology)
Show Figures

Graphical abstract

40 pages, 5487 KB  
Communication
Physics-Informed Temperature Prediction of Lithium-Ion Batteries Using Decomposition-Enhanced LSTM and BiLSTM Models
by Seyed Saeed Madani, Yasmin Shabeer, Michael Fowler, Satyam Panchal, Carlos Ziebert, Hicham Chaoui and François Allard
World Electr. Veh. J. 2026, 17(1), 2; https://doi.org/10.3390/wevj17010002 - 19 Dec 2025
Viewed by 312
Abstract
Accurately forecasting the operating temperature of lithium-ion batteries (LIBs) is essential for preventing thermal runaway, extending service life, and ensuring the safe operation of electric vehicles and stationary energy-storage systems. This work introduces a unified, physics-informed, and data-driven temperature-prediction framework that integrates mathematically [...] Read more.
Accurately forecasting the operating temperature of lithium-ion batteries (LIBs) is essential for preventing thermal runaway, extending service life, and ensuring the safe operation of electric vehicles and stationary energy-storage systems. This work introduces a unified, physics-informed, and data-driven temperature-prediction framework that integrates mathematically governed preprocessing, electrothermal decomposition, and sequential deep learning architectures. The methodology systematically applies the governing relations to convert raw temperature measurements into trend, seasonal, and residual components, thereby isolating long-term thermal accumulation, reversible entropy-driven oscillations, and irreversible resistive heating. These physically interpretable signatures serve as structured inputs to machine learning and deep learning models trained on temporally segmented temperature sequences. Among all evaluated predictors, the Bidirectional Long Short-Term Memory (BiLSTM) network achieved the highest prediction fidelity, yielding an RMSE of 0.018 °C, a 35.7% improvement over the conventional Long Short-Term Memory (LSTM) (RMSE = 0.028 °C) due to its ability to simultaneously encode forward and backward temporal dependencies inherent in cyclic electrochemical operation. While CatBoost exhibited the strongest performance among classical regressors (RMSE = 0.022 °C), outperforming Random Forest, Gradient Boosting, Support Vector Regression, XGBoost, and LightGBM, it remained inferior to BiLSTM because it lacks the capacity to represent bidirectional electrothermal dynamics. This performance hierarchy confirms that LIB thermal evolution is not dictated solely by historical load sequences; it also depends on forthcoming cycling patterns and entropic interactions, which unidirectional and memoryless models cannot capture. The resulting hybrid physics-data-driven framework provides a reliable surrogate for real-time LIB thermal estimation and can be directly embedded within BMS to enable proactive intervention strategies such as predictive cooling activation, current derating, and early detection of hazardous thermal conditions. By coupling physics-based decomposition with deep sequential learning, this study establishes a validated foundation for next-generation LIB thermal-management platforms and identifies a clear trajectory for future work extending the methodology to module- and pack-level systems suitable for industrial deployment. Full article
(This article belongs to the Section Vehicle Management)
Show Figures

Figure 1

38 pages, 1295 KB  
Review
Secondary Use of Retired Lithium-Ion Traction Batteries: A Review of Health Assessment, Interface Technology, and Supply Chain Management
by Wen Gao, Ai Chin Thoo, Moniruzzaman Sarker, Noven Lee, Xiaojun Deng and Yun Yang
Batteries 2026, 12(1), 1; https://doi.org/10.3390/batteries12010001 - 19 Dec 2025
Viewed by 355
Abstract
Lithium-ion batteries (LIBs) dominate energy storage for electric vehicles (EVs) due to their high energy density, long cycle life, and low self-discharge. However, high costs, complex manufacturing, and the requirement for advanced battery management systems (BMSs) constrain their broader deployment. Therefore, extending the [...] Read more.
Lithium-ion batteries (LIBs) dominate energy storage for electric vehicles (EVs) due to their high energy density, long cycle life, and low self-discharge. However, high costs, complex manufacturing, and the requirement for advanced battery management systems (BMSs) constrain their broader deployment. Therefore, extending the utility of LIBs through reuse is essential for economic and environmental sustainability. Retired EV batteries with 70–80% state-of-health (SOH) can be repurposed in battery energy storage systems (BESSs) to support power grids. Effective reuse depends on accurate and rapid assessment of SOH and state-of-safety (SOS), which relies on precise state-of-charge (SOC) detection, particularly for aged LIBs with elevated thermal and electrochemical risks. This review systematically surveys SOC, SOH, and SOS detection methods for second-life LIBs, covering model-based, data-driven, and hybrid approaches, and highlights strategies for a fast and reliable evaluation. It further examines power electronics topologies and control strategies for integrating second-life LIBs into power grids, focusing on safety, efficiency, and operational performance. Finally, it analyzes key factors within the closed-loop supply chain, particularly reverse logistics, and provides guidance on enhancing adoption and supporting the establishment of circular battery ecosystems. This review serves as a comprehensive resource for researchers, industry stakeholders, and policymakers aiming to optimize second-life utilization of traction LIBs. Full article
(This article belongs to the Special Issue Industrialization of Second-Life Batteries)
Show Figures

Figure 1

20 pages, 2412 KB  
Article
Synergistic Temperature–Pressure Optimization in PEM Water Electrolysis: A 3D CFD Analysis for Efficient Green Ammonia Production
by Dexue Yang, Xiaomeng Zhang, Jianpeng Li, Fengwei Rong, Jiang Zhu, Guidong Li, Xu Ji and Ge He
Energies 2026, 19(1), 2; https://doi.org/10.3390/en19010002 - 19 Dec 2025
Viewed by 229
Abstract
To address the fluctuation and instability of renewable power generation and the steady-state demands of chemical processes, a single-channel, non-isothermal computational fluid dynamics 3D model was developed. This model explicitly incorporates the coupling effects of electrochemical reactions, two-phase flow, and heat transfer. Subsequently, [...] Read more.
To address the fluctuation and instability of renewable power generation and the steady-state demands of chemical processes, a single-channel, non-isothermal computational fluid dynamics 3D model was developed. This model explicitly incorporates the coupling effects of electrochemical reactions, two-phase flow, and heat transfer. Subsequently, the influence of key operating parameters on proton exchange membrane water electrolyzer (PEMWE) system performance was investigated. The model accurately predicts the current–voltage polarization curve and has been validated against experimental data. Furthermore, the CFD model was employed to investigate the coupled effects of several key parameters—including operating temperature, cathode pressure, membrane thickness, porosity of the porous transport layer, and water inlet rate—on the overall electrolysis performance. Based on the numerical simulation results, the evolution of the ohmic polarization curve under temperature gradient, the block effect of bubble transport under high pressure, and the influence mechanism of the microstructure of the multi-space transport layer on gas–liquid, two-phase flow distribution are mainly discussed. Operational strategy analysis indicates that the high-efficiency mode (4.3–4.5 kWh/Nm3) is suitable for renewable energy consumption scenarios, while the economy mode (4.7 kWh/Nm3) reduces compression energy consumption by 23% through pressure–temperature synergistic optimization, achieving energy consumption alignment with green ammonia synthesis processes. This provides theoretical support for the optimization design and dynamic regulation of proton exchange membrane water electrolyzers. Full article
(This article belongs to the Special Issue Advances in Green Hydrogen Production Technologies)
Show Figures

Figure 1

18 pages, 2500 KB  
Proceeding Paper
Interface Engineering in Hybrid Energy Systems: A Case Study of Enhance the Efficiency of PEM Fuel Cell and Gas Turbine Integration
by Abdullatif Musa, Gadri Al-Glale and Magdi Hassn Mussa
Eng. Proc. 2025, 117(1), 15; https://doi.org/10.3390/engproc2025117015 - 18 Dec 2025
Viewed by 311
Abstract
Integrating electrochemical fuel cells and internal combustion engines can enhance the total efficiency and sustainability of power systems. This study presents a promising solution by integrating a Proton Exchange Membrane Fuel Cell (PEMFC) with a mini gas turbine, forming a hybrid system called [...] Read more.
Integrating electrochemical fuel cells and internal combustion engines can enhance the total efficiency and sustainability of power systems. This study presents a promising solution by integrating a Proton Exchange Membrane Fuel Cell (PEMFC) with a mini gas turbine, forming a hybrid system called the “Oya System.” This approach aims to mitigate the efficiency losses of gas turbines during high ambient temperatures. The hybrid model was designed using Aspen Plus for modelling and the EES simulation program for solving mathematical equations. The primary objective of this research is to enhance the efficiency of gas turbine systems, particularly under elevated ambient temperatures. The results demonstrate a notable increase in efficiency, rising from 37.97% to 43.06% at 10 °C (winter) and from 31.98% to 40.33% at 40 °C (summer). This improvement, ranging from 5.09% in winter to 8.35% in summer, represents a significant achievement aligned with the goals of the Oya System. Furthermore, integrating PEMFC contributes to environmental sustainability by utilising hydrogen, a clean energy source, and reducing greenhouse gas emissions. The system also enhances efficiency through waste heat recovery, further optimising performance and reducing energy losses. This research highlights the critical role of interface engineering in the hybrid system, particularly the interaction between the PEMFC and the gas turbine. Integrating these two systems involves complex interfaces that facilitate the transfer of electrochemistry, energy, and materials, optimising the overall performance. This aligns with the conference session’s focus on green technologies and resource efficiency. The Oya System exemplifies how innovative hybrid systems can enhance performance while promoting environmentally friendly processes. Full article
Show Figures

Figure 1

22 pages, 8029 KB  
Article
Early-Stage Fault Diagnosis for Batteries Based on Expansion Force Prediction
by Liye Wang, Yong Li, Yuxin Tian, Jinlong Wu, Chunxiao Ma, Lifang Wang and Chenglin Liao
Energies 2025, 18(24), 6619; https://doi.org/10.3390/en18246619 - 18 Dec 2025
Viewed by 212
Abstract
With the continuous expansion of the electric vehicle market, lithium-ion batteries have also been rapidly developed, but this has brought about concerns over the safety of lithium-ion batteries. Research on the correlation mechanism between the expansion and safety of lithium-ion batteries is a [...] Read more.
With the continuous expansion of the electric vehicle market, lithium-ion batteries have also been rapidly developed, but this has brought about concerns over the safety of lithium-ion batteries. Research on the correlation mechanism between the expansion and safety of lithium-ion batteries is a key step in the construction of a battery life cycle safety evaluation system. In this paper, the physicochemical mechanism of early safety faults in batteries was analyzed from three dimensions of electricity, heat, and force. The interactions of electrochemical side reactions, thermal runaway chain reactions, and mechanical fault mechanisms were analyzed, and the core induction of early safety risk was explored. A battery coupling model based on electrical, thermal, and mechanical dimensions was built, and the accuracy of the coupling model was verified by a variety of test conditions. Based on the coupling model, the stress distribution of the battery under different safety boundary conditions was simulated, and then the average expansion force of the battery surface was calculated through the stress distribution results. Through this process, a multi-parameter database based on the test and simulation data was obtained. According to the data of battery parameters at different times, an early safety classification method based on the battery expansion force was proposed, and a classification model between battery dimension data and safety level was proposed based on the nonlinear dynamic sparse regression method, and the classification accuracy was validated. From the perspective of fault warning, by establishing a multi-physical coupling model of electrical, thermal, and mechanical fields, the space-time evolution law of battery expansion under different working conditions can be dynamically monitored, and the fault criterion based on the expansion force can be established accordingly to provide quantitative indicators for safety risk classification warnings, and improve the battery’s reliability and durability. Full article
Show Figures

Figure 1

22 pages, 2280 KB  
Article
Control Analysis of Renewable Energy System with Hydrogen Storage to Match Energy Community Demand: A Whole-System Perspective
by Adriano Valle, Gabriele G. Gagliardi, Domenico Borello and Paolo Venturini
Energies 2025, 18(24), 6617; https://doi.org/10.3390/en18246617 - 18 Dec 2025
Viewed by 271
Abstract
This paper proposes an analysis of different logics (heuristic and linear) of managing renewables scenarios including two different operating conditions and their relative degradation: fixed and variable point. The synergy between two storage technologies, such as Li-ion batteries and the hydrogen power-to-power solution [...] Read more.
This paper proposes an analysis of different logics (heuristic and linear) of managing renewables scenarios including two different operating conditions and their relative degradation: fixed and variable point. The synergy between two storage technologies, such as Li-ion batteries and the hydrogen power-to-power solution (electrolyzer, H2 tank, and fuel cells), is evaluated to ensure the balance of the power grid. This paper presents a numerical model of the smart grid developed in MATLAB/Simulink. A detailed performance evaluation of each component was performed to meet an electrical load (30 kW-peak) of a smart renewable energy community. From the optimization process, a fuel cell of 6 kW, an electrolyzer of 18 kW, a tank of 40 m3 at 200 bars, as well as a battery of 75 kWh were selected. The fuel cell operates during autumn and winter due to the lack of photovoltaic power generation, while its contribution is reduced during the summer period. In the heuristic logic, the minimum and maximum hydrogen levels are 18% and 60% of the tank volume (40 m3), respectively, while in the linear logic, they are 33% and 65%. The average value of the state of charge (SOC) of the battery is similar in both logics (0.51 vs. 0.53). Regarding hydrogen produced from the electrolyzer, the linear logic allows it to produce a quantity 7% higher than the heuristic one; therefore, the linear logic allows it to properly manage the electrochemical systems. The dynamic operation results in more significant degradation of hydrogen systems, making them less suitable; thus, to preserve the devices (up to 25% of lifetime more), a fixed-point operation is recommended. The cost comparison does not show relevant differences between the two scenarios, while a steep increase in the costs is shown when the fuel cell is operated in dynamic mode. Finally, the total emissions associated with renewable microgrids are 30 times lower than the traditional grid scenario, demonstrating the potential of renewable energy communities. Full article
(This article belongs to the Section A1: Smart Grids and Microgrids)
Show Figures

Figure 1

Back to TopTop