Abstract
The design of trajectory tracking controllers for smart driving cars still faces problems, such as uncertain parameters and it being time-consuming. To improve the tracking performance of the trajectory tracking controller and reduce the computation of the controller, this paper proposes an improved model predictive control (MPC) method based on fuzzy control and an online update algorithm. First, a vehicle dynamics model is constructed and a feedforward MPC controller is designed; second, a real-time updating method of the time domain parameters is proposed to replace the previous method of empirically selecting the time domain parameters; lastly, a fuzzy controller is proposed for the real-time adjustment of the weight coefficient matrix of the model predictive controller according to the lateral and heading errors of the vehicle, and a state matrix-based cosine similarity updating mechanism is developed for determining the updating nodes of the state matrix to reduce the controller computation caused by the continuous updating of the state matrix when the longitudinal vehicle speed changes. Finally, the controller is compared with the traditional model prediction controller through the co-simulation of CARSIM and MATLAB/Simulink, and the results show that the controller has great improvement in terms of tracking accuracy and controller computational load.
1. Introduction
Intelligent electric vehicles have been widely favored by the public in recent years because of the advantages of cleanliness, zero emissions, and low impact on the environment, while providing a safer and smoother ride. For a vehicle to provide these benefits, its control part requires appropriate systems and algorithms to optimize intelligent vehicle performance, maximize vehicle stability, minimize accident probability, improve driving comfort, and optimize transportation costs [1]. The autonomous driving system consists of the environment sensing layer, decision planning layer, path planning layer, and path tracking control layer [2]. Trajectory tracking control is one of the core technologies used to realize the above intelligent driving functions, and the accuracy of trajectory tracking will directly affect the intelligent driving effect of the vehicle. Therefore, the research on trajectory tracking control methods has far-reaching significance.
At present, trajectory tracking control methods mainly include proportional integral differential control (PID) [3], fuzzy logic control (FLC) [4], linear quadratic regulator (LQR) [5], sliding mode control (SMC) [6], and model predictive control (MPC) [7]. Among them, the MPC algorithm, as a classical control technique, has been widely used in automobile control due to its excellent performance in predictive control, and a large number of research on MPC control algorithms has been carried out both at home and abroad. Lima P et al. proposed a smooth and accurate MPC controller, which solves driving smoothness by placing it in a cost function directly, and the experimental results show that this controller has a significantly better performance in path tracking accuracy than the industrial pure tracking controller, and in terms of driving smoothness, it is significantly better than the traditional MPC [8]. Peng Hao-nan et al. proposed robust model predictive control (MPC) with a finite time range to realize coordinated path tracking and direct yaw torque control (DYC) for autonomous four-wheeled motor independently driven electric vehicles (AMIDEVs), which removes the traditional MPC constraint of conservatism over an infinite time horizon and achieves better path tracking accuracy and processing power for AMIDEVs [9]. Using the estimated road friction coefficient to update the road adhesion constraints, Lin F et al. proposed an adaptive MPC controller, which was shown to be highly adaptive to speed and road conditions [10]. Yang KM et al. proposed a linear time-varying model predictive control (LTV-MPC) method for path tracking maneuvering based on steering torque inputs, which, uses the control of the steering torque rather than steering angle to achieve path tracking, so it is beneficial to design a haptic feedback steering system for interactive lane keeping control of future co-driving smart cars [11].
To improve tracking accuracy, more and more researchers apply the intelligent method to make a design improvement in path tracking controllers. Mohammad et al. from Deakin University proposed an improved MPC controller based on neural network learning algorithms, and the results show that its control accuracy is better than the traditional MPC controller, but there is a problem with the parameter setting [12]. For the online adjustment problem of MPC weights, Tang Xianzhi et al. proposed an adaptive model predictive control system (AMPC) based on the PSO-BP neural network for weights, and offline training of the PSO-BP neural network, and the results showed that the adaptive control strategy can improve the tracking accuracy while meeting the requirements of real-time control and lateral stability of the vehicle [13]. Onieva et al. proposed a fuzzy controller that can adaptively adjust the affiliation function and fuzzy rules for the real-time updating of the coefficient matrix [14]. Wang Hengyang et al. proposed an improved MPC controller based on fuzzy adaptive weight control to solve the problem of self-driving cars during path tracking. The controller not only ensures tracking accuracy but also considers the dynamic stability of the vehicle during the tracking process, which solves the driving comfort problem caused by applying the classical MPC controller when the vehicle deviates from the target path [15]. S. Cheng et al. proposed an MPC controller with an updated weight matrix to ensure the driving comfort of the vehicle while avoiding collision effectively [16].
The above-improved design of intelligent control algorithms has the problem that control accuracy and controller computational load cannot be taken into account for the optimization of real-time and computational load of the controller, so later generations have conducted more than a large number of studies [17,18,19], but these have mainly been based on the experience of adjusting the input parameters of the MPC controller.
In addition, a physical model-based control method is proposed in the literature [20] for the problem that environmental and road conditions, as well as tire conditions, can significantly affect vehicle traction, and a model predictive control algorithm is tested under different road and tire conditions to enhance the reliability of the virtual driver concerning the dynamic limits of the tires. Aiming at solving the challenging problem of measuring kinematic parameters such as tire–road forces and vehicle sideslip angle in the literature [21], a method based on traceless Kalman filtering is proposed for the real-time estimation of these parameters, and the stability of the optimized controller is confirmed by simulation experiments.
The above summarizes some studies on path tracking for self-driving cars. This research aims to address the challenges of path tracking for self-driving cars, in particular, to improve tracking accuracy while reducing the computational load on the model predictive controller (MPC). To achieve this goal, this article proposes the following research methodology:
A feedforward controller was designed to ensure the stability of the control system.
A control method capable of updating the time domain parameters in real-time according to the longitudinal speed of the vehicle was developed.
A fuzzy controller was introduced to dynamically adjust the matrix of the weight coefficients to reduce the computational load according to the lateral and heading errors of the vehicle.
An update mechanism based on the cosine similarity of the state matrix is designed to reduce the computational load due to the change in the vehicle longitudinal speed.
Comparison with the conventional MPC through co-simulation experiments with CARSIM and MATLAB/Simulink shows that the proposed controller significantly improves tracking accuracy and computational load.
2. Mathematical Model
2.1. Vehicle Dynamics Model
Since the tire deformation generates lateral force when the vehicle is running at high speed, and for the vehicle kinematics model, it is not possible to consider this kind of motion characteristic prominently, so this paper adopts the vehicle dynamics model as the research model, as shown in Figure 1. The model concentrates the front and rear tires into the x-direction of the body coordinate system, i.e., the two-degree-of-freedom bicycle model. The definitions of the symbols in the model are shown in Table 1.
Figure 1.
Vehicle dynamics model.
Table 1.
Definition of symbols.
This is the result of applying Newton’s second law in the body coordinate system XOY, where the forces are applied when the vehicle is in translational motion:
where f denotes the drag force on the vehicle in the longitudinal direction.
Assuming that the counterclockwise direction is positive, the force on the vehicle as it rotates about the z-axis (perpendicular to the ground) can be derived from Newton’s second law:
where is the angular acceleration and Iz is the rotational inertia of the vehicle around the z-axis. Assuming that the vehicle is a rear-wheel drive vehicle and the front wheels control the corner, Fxf is regarded as zero. When the vehicle’s longitudinal speed is constant, i.e., it is assumed that ax = 0. At the same time, without taking into account the influence of air resistance, the above mathematical model is simplified to obtain the differential equations of the vehicle dynamics model as follows:
When the tire lateral deflection angle and slip rate are small, the transverse longitudinal force on the tire is proportional to the lateral deflection angle and slip rate, respectively, i.e., Fyf = Cαfαf and Fyr = Cαrαr, where Cαf, Cαr is the lateral deflection stiffness of the front and rear wheels. It is obtained by bringing in Equation (3):
From the knowledge of theoretical mechanics as well as rigid body kinematics (i.e., the vehicle as a rigid body that cannot be compressed or elongated), combined with the set of relationships in the figure, we obtain the following:
Considering that the side deflection angle and front wheel turning angle are generally small in the high-speed case of the vehicle, i.e., there are tanθ = θ and , the the above equation is simplified and organized to be brought into Equation (4), at the same time defining the state quantity as and the control quantity as , so that the state-space of the dynamics model takes the form of the following:
2.2. Error Dynamics Model
When the self-driving vehicle is tracking the planned trajectory, due to the road factor and its signal transmission delay, the car cannot travel well along the predetermined trajectory; at this time, the lateral position error and heading error generated by the vehicle constitute the lateral error. Therefore, it is necessary to design a lateral controller to reduce the impact of lateral error on the self-driving vehicle so that the vehicle can accurately travel along the desired trajectory. First of all, we define ey and eφ as the lateral error and heading error, respectively, and the definition is shown in Figure 2.
Figure 2.
Schematic diagram of error.
In the figure, and are the vehicle center of mass velocity vector and the projected velocity vector, respectively, and and are the heading angles of the vehicle at the current position and the projection point. According to the geometrical relations in the figure, the relation can be obtained as follows:
Deriving Equation (7) while multiplying both sides by yields the following:
where , . Since as . Bringing in Equation (8) yields a differential expression for the transverse error rate:
where θ = φ + β obtained by taking into Equation (9), is explained as follows:
Since the vehicle is traveling at high speed, the transverse pendulum angle and the side deflection angle are very small, so the infinitesimal amount of equivalent substitution can be applied and then combined with the geometric relationship in Figure 1; the above equation is finally simplified to the following:
Let the heading error be , and then the heading error rate is as follows
Such that the state quantity and the control quantity , the coupling Equation (6) obtains the state-space mathematical model of vehicle error dynamics as follows:
Style:
3. Results
3.1. Model Predictive Control
The MPC algorithm is a method used to implement process control, subject to certain constraints, by analyzing and predicting the vehicle model for rolling optimization to minimize the gap between the model output and the reference value. In the control time domain, the current moment is optimized, and the future moments are also considered to find the optimal control solution for the current moment to realize the optimal solution for the whole time domain.
From the previous section, the vehicle lateral control linear model, Equation (13), has been obtained since a continuous state equation is obtained, but a discrete system needs to be controlled, the design of the discrete MPC controller needs to be carried out, and the vehicle discrete error dynamics model is obtained by using the bilinear discretization as follows:
where , , and ; T is the sampling time.
To design the MPC control algorithm to track the trajectory, it is necessary to predict the future states of the car at each step. The prediction of the future states determines the size of the control inputs and the size of the matrix of these states. By first defining the prediction time domain Np, i.e., predicting the state variables within the next Np phases, and the control time domain Nc assuming that the present time is k, k > 0, the future state equations can be computed iteratively using the following equation:
Such that, and then the above equation can be written as follows:
Among them,
According to the given reference state quantity , the error of the vehicle’s current position relative to the given reference state can be found, along with online rolling optimization based on the current error, i.e., to let Y converge to quickly, and there is also a need to let the control quantity minimize to solve the current control optimal solution by way of the weighted squared approach to achieve the optimal solution, i.e., to define the cost function as follows:
where Q and R are the weight matrices of the state and control quantities, respectively, as shown in Equations (24) and (25).
and are the weight matrices of the state and control quantities for each prediction time domain, respectively, where , represent the control system’s response to the lateral error , lateral error rate , heading error , and heading error rate , respectively. represents the importance of the control system to control quantity.
Define deviation , since there is no input for the reference quantity, i.e., , then
Bringing in Equation (23) yields the following:
Cause eTQe with the control quantity is irrelevant and can be ignored, the above equation is simplified and organized as follows:
It can be written down in standard quadratic programming form as follows:
In this paper, the quadratic programming constraints mainly consider the front wheel angle, i.e.,
So far, after derivation, this paper transforms the control problem into a standard quadratic programming problem, which can be solved directly using the QUADPROG library in MATLAB to obtain the optimal control sequence, and then the first set of solutions is output to the control system as the feedback angle, and the process is repeated after entering the next cycle to realize the tracking control of the desired path.
3.2. Feedforward Control
Since the aforementioned state matrix A has two unstable eigenvalues, assuming that the feedbacker is −kx, then
where is the matrix of the feedback coefficients. It is obtained by bringing it into Equation (13):
Due to the presence of a perturbing quantity transverse pendulum angular velocity perturbing quantity, there is a steady state error in the system, and a feedforward design is required to eliminate the effect of the perturbing quantity. Therefore, the feedforward part of the system is set to be , and the system control quantity is as follows:
Bringing in (13) yields the closed-loop system state-space expression as follows:
By setting the turning radius of the vehicle running at constant speed to , then .
The laplace transformation of Equation (35) is obtained:
The steady-state error of the system is obtained from the terminal value theorem:
The matrix of the coefficients of Equations (14)–(16) can be obtained by bringing them into the above equation:
where L = a + b, i.e., vehicle wheelbase, the first and third terms of the above steady-state error denote the steady-state lateral error and steady-state heading error , respectively, and the value of the designed feedforward term can be used to make the steady-state lateral error be zero and have no effect on the steady-state heading error, which can be obtained by making the steady state lateral error be zero:
Let , then
Therefore, the ideal steady-state control quantity of the system is as follows:
When the system is close to a steady state, the linear MPC can be reduced to a finite time domain linear quadratic problem without system constraints. Thus, the finite time domain linear quadratic cost function is defined as follows:
The constant 1/2 is introduced in the equation to eliminate the coefficients to simplify the operation in the subsequent derivation and solution, where is the state vector of the system at the end moment n, S and Qt are the weight matrices of the end cost and the run cost, respectively, and Rt is the weight matrix of the cost of the system’s control quantity, all of which are diagonal matrices. Using the inverse hierarchical solution method, the cost of running the system from t = n to t = n is obtained:
is independent of the amount of control, i.e., the optimal cost of the system. Define . In the same way, the cost of getting t = n − 1 to run to t = n is obtained:
According to Equation (13), the , bringing in the above equation, gives the following:
where
To obtain the optimal control strategy, the minimum value of the cost function is sought, i.e., the derivative of the above equation for the input is zero. can be obtained by the permutation method as well as the matrix derivation formula to obtain the derivative with respect to the input as follows:
The derivation of Zn −1 with respect to the input is relatively simple and can be obtained directly from the matrix derivation formula:
The association can be obtained:
By letting the above equation be zero, the optimal solution can be solved as follows:
Let , then
The general form of the optimal solution can be obtained by mathematical induction:
Style .
In summary, to make the system be in a steady state with a steady-state lateral er-ror of eyss = 0, it is necessary to make the following:
The final feedforward control term is obtained as follows:
4. Results
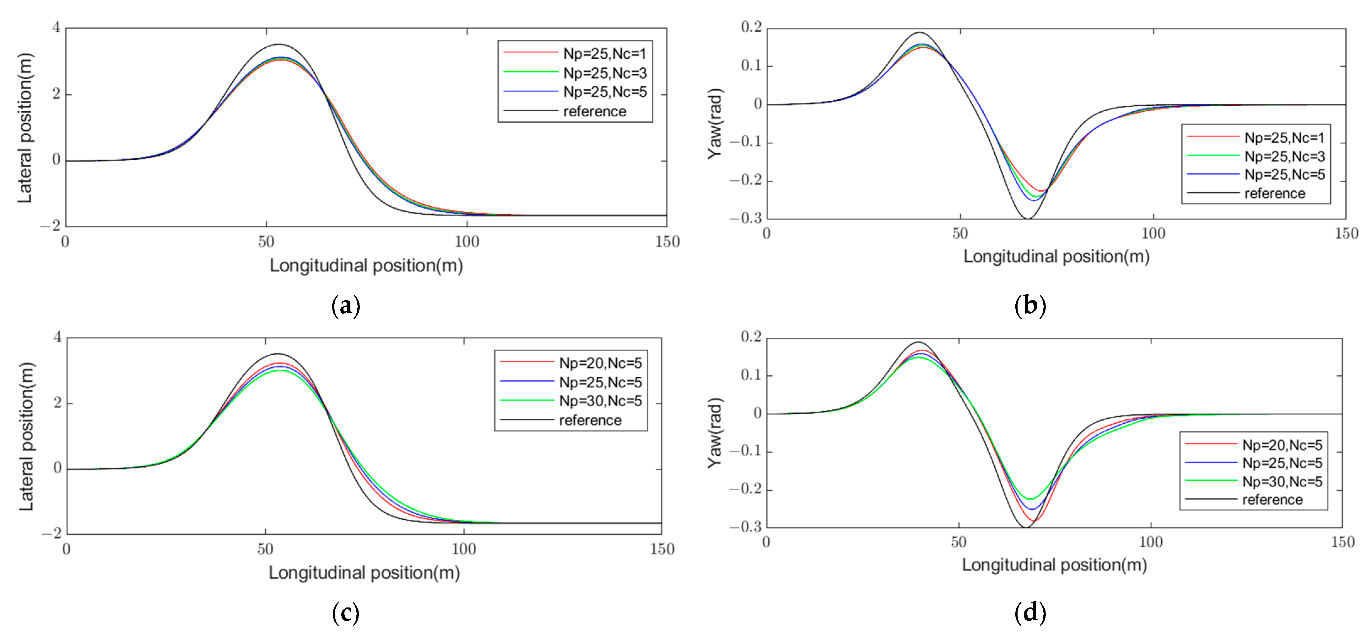
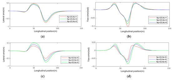
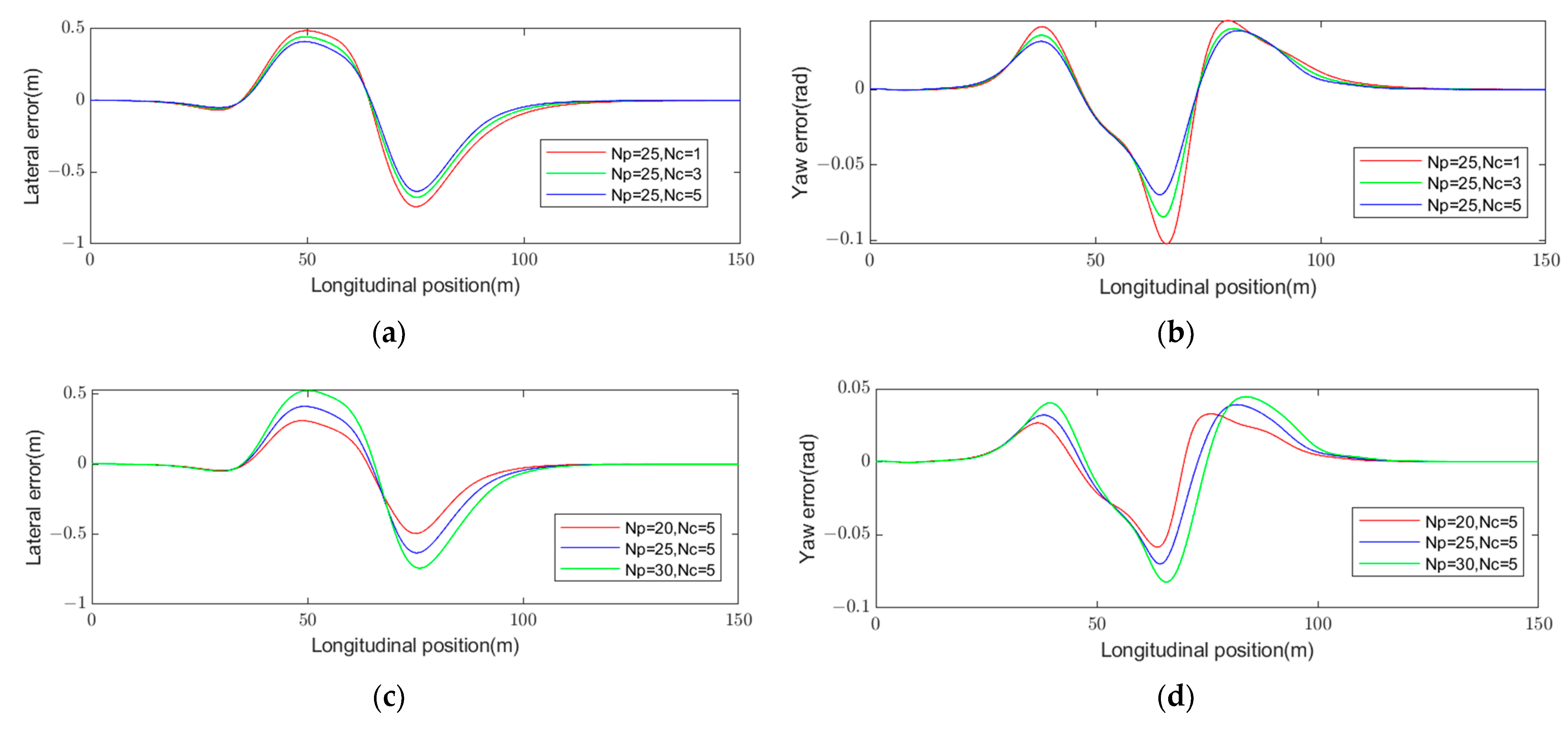
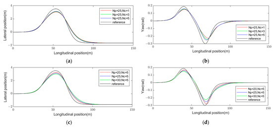
From the above analysis, it can be seen that for the model predictive controller, its input time domain parameters are adoption time T, the prediction time domain Np, and the control time domain Nc, which take different values, and the controller will produce different control effects. In this paper, three sets of values are designed to conduct simulation tests to understand the degree of influence of the values of Np and Nc on the controller. The details are as follows: the vehicle longitudinal speed is preset to 70 km/h, the reference path is selected as a double-shifted line, and joint simulation experiments are carried out using MATLAB/Simulink and CARSIM, and the results are shown in Figure 3 and Figure 4.
Figure 3.
Comparison of controller tracking effect with different input parameters. (a) path tracking effect graph; (b) tracking yaw angle; (c) path tracking effect graph; (d) tracking yaw angle.
Figure 4.
Comparison of controller tracking errors with different input parameters. (a) path tracking error; (b) yaw angle error; (c) path tracking error; (d) yaw angle error.
From Figure 3 and Figure 4, it can be seen that the prediction time domain Np and control time domain Nc have a significant effect on the predictive controller with the model; when the prediction time domain is certain, the smaller the control time domain is, the worse the tracking effect is, and the larger the tracking error is. When the control time domain is certain, the smaller the prediction time domain is, the better the tracking effect is, and the smaller the tracking error is. Therefore, it is necessary to study these two parameters. The realization principle is shown in Figure 5.
Figure 5.
Real-time optimization prediction time domain parameter control principle.
4.1. Model Predictive Control Real-Time Optimization Design of Model Predictive Controller Time Domain Parameters
The following experiments were conducted using MATLAB/Simulink and CARSIM co-simulation to analyze the effect of the values of the prediction time domain Np and the control time domain Nc on the tracking effect of the controller at different vehicle longitudinal speeds. The speed is set to be 18 to 36 km/h, with 18 as the interval, the prediction time domain Np is set to be 5 to 30, with 3 as the interval, and the control time domain Nc is set to be 1 to 5. A total of 270 groups are experimented. At the same time, in order to ensure the validity of the controller parameters, and to prevent the occurrence of the failure of the vehicle control, the time domain parameters are filtered on the basis of merit according to the following law.
- The controller is free of overshooting and oscillation and can successfully realize the effective tracking of the path;
- The controller solving time is less than the sampling time.
Finally, 129 groups of effective simulation experiments are obtained. With the evaluation criteria of the smaller lateral error and the smaller heading error, the entropy weighting method is utilized to determine the weights of the two as 0.5735 and 0.4265. In the study of path tracking for self-driving cars, lateral error and heading error are important indicators for evaluating the performance of the controller. Using the entropy weighting method to determine the weights of these two indicators ensures that the weights are determined based on the objective variability of the data rather than subjective judgment, respectively, and the optimal values of the prediction time domain Np and the control time domain Nc are obtained by using the method of the approximation of the ideal solution ordering (TOPSIS) for different speeds, as shown in Table 2. Using the TOPSIS method, the optimal values of the prediction time domain (Np) and control time domain (Nc) can be found based on these weights and simulation experiments, which helps to achieve the best path tracking performance at different speeds.
Table 2.
Values of Np and Nc at different longitudinal speeds.
The results in Table 2 indicate that a fixed value of five can be assigned for the control time domain. For the pre-time domain, we conducted three instances of spline interpolation fitting to establish the relationship of the predicted time domain with the change in longitudinal speed, as expressed in Equation (55), and the fitted curves are shown in Figure 6.
Figure 6.
Longitudinal vehicle speed versus predicted time domain Np.
4.2. Predictive Models Optimize Design in Real Time
In previous studies, the weight coefficients of the cost line function mainly rely on empirical and experimental data to determine, for different vehicle and road conditions, this fixed-value method, which often appears with vehicle traveling smoothness problems, and tracking accuracy is difficult to ensure; secondly, it will also increase the computational load of the controller. Therefore, in order to ensure the vehicle tracking accuracy and reduce the computational load of the controller, this paper designs an adjustment rule based on the lateral error and heading error of path tracking. First, the controller module calculates the steering input angle of the self-driving vehicle using the above adaptive tuning time domain parameter MPC algorithm and then uses a fuzzy controller to update the weight coefficients of the controller’s state quantities according to the vehicle’s position. Meanwhile, in order to improve the adaptive ability of the controller to different vehicle speeds and the accuracy of the model prediction, it is required that the controller can optimize the state matrix of the prediction model according to the change in the actual speed of the vehicle. Therefore, an online optimization strategy for the state matrix based on cosine similarity is proposed, i.e., the cosine similarity of the matrix is used to measure the degree of difference between the two matrices so as to determine the optimization node of the prediction model and is then combined with the adaptive adjustment of the prediction time domain parameters designed in the previous section; the prediction model that is most consistent with the current vehicle’s speed can be obtained. The specific realization principle is shown in Figure 7.
Figure 7.
Schematic diagram of real-time update model prediction control system.
4.2.1. Fuzzy Controller Design
Fuzzy logic control (FLC) can simulate the procedural knowledge of human drivers to achieve intelligent control behaviors and responses, and its process can be divided into three stages: fuzzification, fuzzy reasoning, and defuzzification [22]. In the first step, the current input values are fuzzified into linguistic or fuzzy values with a certain degree of authenticity according to the relevant affiliation function. Then, these fuzzy values are converted into fuzzy output values by certain fuzzy rules.
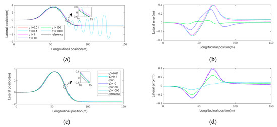
Since the lateral error and heading error indexes directly reflect the tracking effect of the controller, which is also the main research control objective of this paper, only and are designed as the adjustment rules, while weights and correspond to the lateral error rate and the heading error rate, which are set as fixed values. Considering that there are four cases of vehicle attitude of the self-driving car relative to the planned path during traveling, as shown in Figure 8, the adjustment of car steering may be the same or opposite for the lateral error and heading error.
Figure 8.
Vehicle attitude relative to desired path while traveling.(a) Lateral position deviation;(b) Heading position deviation.
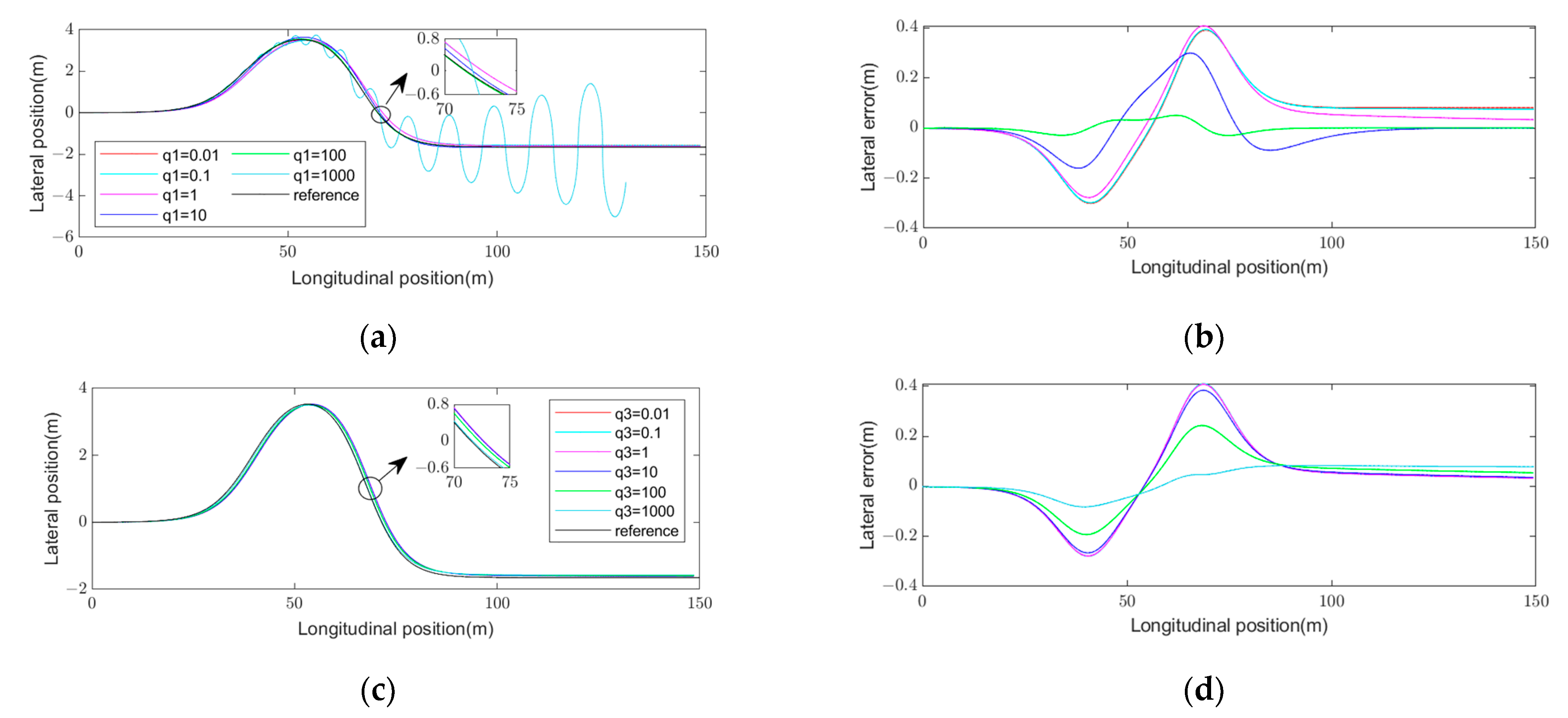
From Figure 8a, when the vehicle is tracking the desired path, adjusting the lateral error causes the heading error to become larger, while adjusting the heading error decreases the lateral error, so for this case only, q3 needs to be adjusted while making q1 a fixed value. For the case in Figure 8b, the lateral error is much larger than the heading error, and the system needs a larger amount of control to eliminate both deviations simultaneously; thus, q1 is set to increase and q3 is set to remain unchanged in this case.
and are experimented using MATLAB/Simulink and CARSIM co-simulation in different worth cases, and the results are shown in Figure 9. From Figure 9, it can be seen that by modifying q1 or q3, the tracking effect of the controller is significantly improved, but the adjustment of q1 should not be too large because, as can be seen from Figure 9a, when q1 is adjusted too large, there is an oscillation, and the controller loses its tracking function. As can be seen from Figure 9c,d, when q3 increases, the lateral error becomes smaller and the tracking effect improves. Therefore, for the vehicle attitude case in Figure 8, we can always find a set of matching weight coefficients, q1 and q3, which make the controller track the path optimally.
Figure 9.
Comparison of controller tracking effect with different weight coefficients q1 and q3. (a) path tracking effect graph; (b)path tracking error; (c) path tracking effect graph; (d)path tracking error.
According to the fuzzy variable base, the two fuzzy control inputs include transverse lateral error and heading error . Combined with adding constraints to the analysis of the case shown in Figure 8, the computational formula shown in Equation (56) is obtained. Where and are the control factors for and , respectively, the fuzzy controller inputs and outputs are associated with the affiliation function shown in Figure 10. The fuzzy rule base contains fuzzy rules that consider the correlation between inputs and outputs, and the fuzzy control rules shown in Table 3 and Table 4 are designed by considering different vehicle postures shown in Figure 8 and then combining the driving experience of human beings in tracking the predetermined paths, and at the same time, considering the tracking accuracy and ride comfort.
Figure 10.
The membership functions. (a) ey; (b) eφ; (c) τ; (d) ƞ.
Table 3.
Fuzzy rules for lateral error weights τ.
Table 4.
Fuzzy rules for lateral error weights ƞ.
Figure 11 gives the inference results of the control factors obtained under the above fuzzy rules. With the above fuzzy rule, when the vehicle is far away from the target path, in order to ensure smoothness when the vehicle is approaching the predetermined path, the controller can adjust the weights according to the control factors to meet the requirements of path tracking accuracy.
Figure 11.
Fuzzy inference results for control factors: (a) τ; (b) ƞ.
4.2.2. Design of Real-Time Optimization Update of the State Matrix
Conventional model predictive controllers are designed in such a way that the vehicle state matrix is kept constant. However, from Equation (15), it can be seen that the state matrix A of the model prediction controller is related to the predetermined longitudinal vehicle speed vx. Therefore, for different longitudinal vehicle speeds vx, the controller state matrix A is different, as shown in Figure 12.
Figure 12.
State matrixes under different longitudinal velocities: (a) ; (b) ; (c) ; (d) .
The above-designed controller for predicting controller time domain parameters based on the adaptive tuning model of longitudinal vehicle speed will inevitably reduce the accuracy of the controller if the predetermined state matrix A is still used, which will fail to satisfy the requirements of the tracking accuracy and stability of the autopilot controller. And from the above, we already know that the state matrix changes with the change in longitudinal vehicle speed; if the state matrix is updated in real time, it will inevitably increase the controller computational load. In order to reduce the controller computation time, an update mechanism based on cosine similarity is designed, i.e., the cosine similarity of the matrices is used to measure the degree of difference between the two matrices so as to determine the optimization node of the prediction model and obtain the prediction model that best meets the current vehicle speed. The cosine similarity μ can be calculated by Equation (57). The calculation of cosine similarity can be used to determine whether to update the state matrix A or not.
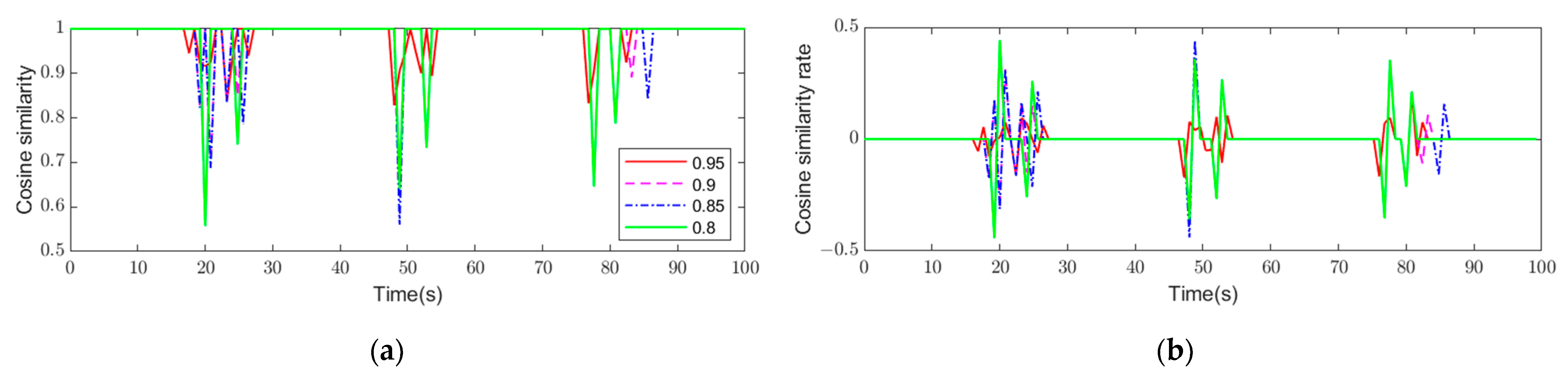
where A is the reference state matrix, denoting the last updated state matrix, and A* denotes the state matrix computed in real time. The value of cosine similarity is between 0 and 1. As the cosine similarity increases, the closer the value is to 1, the closer A* is to A. Therefore, a threshold value (TH) is set as a condition for the update. Once the cosine similarity of the two state matrices is lower than the set threshold, the state matrices in the MPC controller are replaced by the state matrices computed in real time. If it is greater than the set threshold, the previous state matrix is used. In order to better analyze the update frequency of the state matrix at different thresholds, the longitudinal velocity, as shown in Figure 13, is used as the velocity input. The updated thresholds TH of cosine similarity are set to be 0.8, 0.85, 0.9, and 0.95 for four groups, respectively, and the results are shown in Figure 14 through MATLAB/Simulink simulation experiments, and the number of updates under different thresholds is shown in Table 5.
Figure 13.
Sinusoidal input longitudinal vehicle speed.
Figure 14.
Cosine similarity and rate of change in state matrix A under sinusoidal speed inputs. (a) cosine similarity; (b) cosine similarity rate.
Table 5.
Number of updates at different thresholds.
Figure 14 and the results in Table 5 demonstrate that when the threshold is set to 0.8, the number of follow-up updates is only six. While this is favorable for the controller to save computation time, the rate of change in the cosine similarity is large, leading to inevitable controller instability. When the threshold is increased to 0.85, the cosine similarity increases, and the number of updates remains minimal at nine times. At a threshold of 0.9, the cosine similarity is higher, the rate of change is low, and the number of updates is still only nine, indicating a more stable and efficient operation. However, when the threshold is raised to 0.95, the number of updates rises to 17, and the cosine similarity does not show a significant improvement over the 0.9 threshold. This increase in updates inevitably leads to more controller computation. In summary, as the threshold value continues to increase, the number of updates incrementally rises, causing a continuous increase in controller computation, which is detrimental to controller performance. After a comprehensive evaluation, the update threshold for the state matrix is determined to be 0.9.
5. Simulation Experiments and Analysis
On the joint simulation platform of MATLAB/Simulink and CARSIM, the model shown in Figure 15 is built, while the conventional MPC simulation model is built as shown in Figure 16 as a comparison. To verify the tracking performance of the designed improved MPC controller, the double-shifted reference path is selected, as shown in Figure 17. The vehicle model parameters as well as the simulation parameters are shown in Table 6.
Figure 15.
Simulation model of the improved MPC controller.
Figure 16.
Traditional MPC simulation model.
Figure 17.
Reference path.
Table 6.
Simulation parameters.
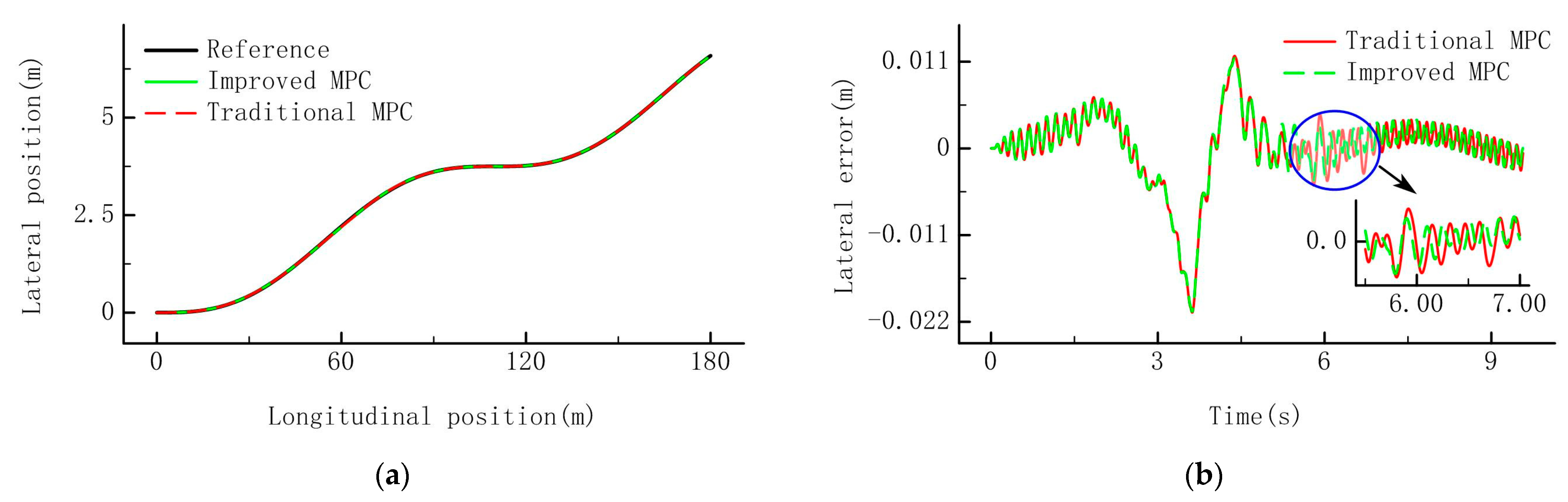
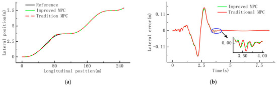
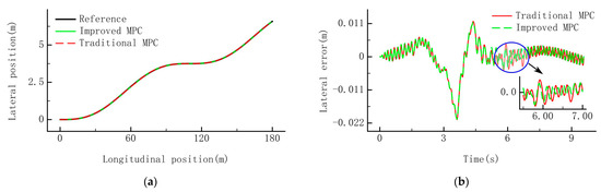
In this paper, simulation tests are carried out at longitudinal speeds of 36 km/h and 72 km/h, respectively, and compared with the traditional MPC controller to verify the effectiveness of the designed improved MPC controller. As shown in Figure 18, at a speed of 36 km/h, both the improved MPC controller and the conventional MPC controller can realize the tracking of the ideal path very well. From Figure 18b, it can be seen that the maximum lateral error is about 0.14 m, which indicates that the tracking effect is very good, and although the error has been reduced after the improvement, the reduction is not very large. Figure 19 shows the tracking effect of the improved MPC controller and the traditional MPC controller when the vehicle speed is 72 km/h. It is clear that good tracking of the desired path is also achieved by the vehicle as the speed increases. From Figure 19b, it can be seen that the maximum error is 0.17 m, but the lateral error of the improved MPC controller is obviously much smaller, and after the second curve, the improved lateral error is reduced much more, by about 20% or so. This shows that when the lateral error is large, the improved MPC controller can eliminate the error more quickly, and the reason for this is mainly that when the lateral error is large, the fuzzy controller makes the tracking effect of the MPC controller better by adjusting the weight coefficients, and driving is safer.
Figure 18.
Comparison of path tracking results between the modified MPC controller and the conventional MPC controller at 36 km/h. (a) path tracking effect graph; (b) path tracking error.
Figure 19.
Comparison of path tracking results between the modified MPC controller and the conventional MPC controller at 72 km/h. (a) path tracking effect graph; (b) path tracking error.
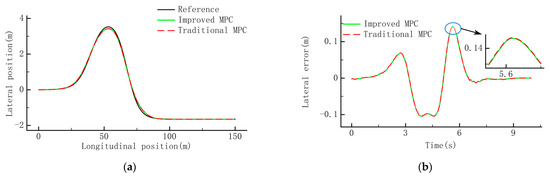
To further validate the effectiveness of the proposed method, the test is carried out under a continuous lane-changing condition, the vehicle speed is set to 108 km/h, and the lane-changing equation is as follows:
where c denotes lane width, 3.75 m; d denotes longitudinal displacement at the end of the lane change.
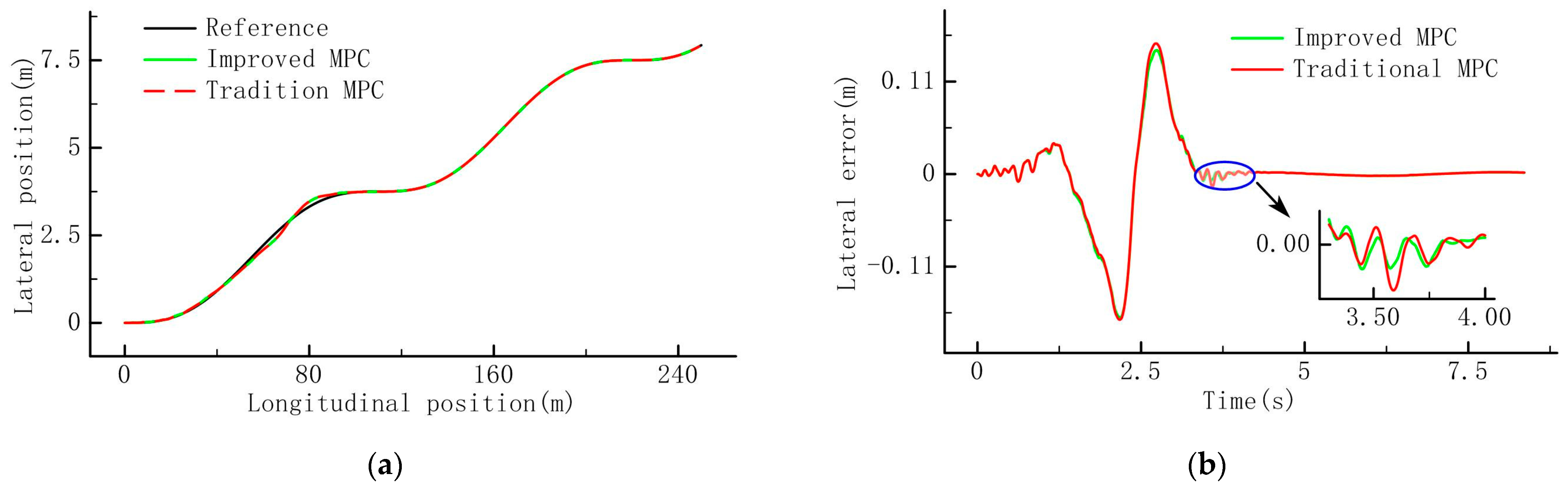
Figure 20 shows the test results for the continuous lane changing condition, and the results show that the improved MPC controller is able to control the tracking error within a small range, and also well realize the tracking of the target path, and the error where the maximum lateral error occurs has been significantly reduced by about 28%.
Figure 20.
Continuous lane change path tracking effect. (a) path tracking effect graph; (b) path tracking error.
In addition, the rain and snow environmental factors were added. Tests were conducted to evaluate the robustness of the control method in these specific environments by setting different road adhesion coefficients (0.7 for rain and 0.2 for snow) and vehicle speeds (80 km/h for rain and 60 km/h for snow). The experimental results are shown in Figure 21 and Figure 22.
Figure 21.
Path tracking effect when the road surface adhesion coefficient is 0.7. (a) path tracking effect graph; (b) path tracking error.
Figure 22.
Path tracking effect when the road surface adhesion coefficient is 0.2. (a) path tracking effect graph; (b) path tracking error.
From Figure 21, it can be seen that at the pavement attachment coefficient of 0.7, the error is 0.065, which is reduced to 0.058 after improvement, which is a reduction of 10.78%, and from Figure 22, it can be seen that in the maximum error at the pavement attachment coefficient of 0.2, the improvement in the improved control zone for the error is very small, but it can be seen in Figure 22b that after improvement, the transverse error has a significant reduction in the place so that, to some extent, it can reduce the degree of vehicle sideslip, improve the stability of vehicle traveling, and reduce the occurrence of danger.
In order to evaluate the improvement effect of the improved MPC controller on the computational load, its computation time is compared with that of the traditional MPC controller, and the results are shown in Figure 23, from which it is obvious that the computation time of the improved MPC controller at each step is significantly reduced compared to that of the traditional MPC controller. The computation time is also smaller than the traditional MPC controller computation time in places with a larger radius of curvature. Therefore, it achieves our expectation that we can optimize the controller computational load. With the above test results and data, it is verified that the tracking effect of the improved MPC controller on the desired path achieves our original design purpose. Compared with the traditional MPC controller, it can effectively improve the adaptive ability of the vehicle and optimize the tracking error of the vehicle while optimizing the computational load of the controller.
Figure 23.
Comparison of computation time between improved MPC controller and conventional MPC controller.
6. Conclusions
The improved model predictive control (MPC) algorithm proposed in this paper for the path tracking problem of self-driving cars is validated by a comprehensive series of simulation experiments. The experiments were conducted not only under standard conditions but also included the evaluation of harsh environment adaptation and complex driving scenarios:
- Path tracking accuracy: The improved MPC controller achieves the accurate tracking of the ideal path at different vehicle speeds (36 km/h and 72 km/h) and under different environmental conditions. The lateral error is effectively controlled, and the trajectory tracking accuracy is improved compared with the traditional MPC controller.
- Computational load: The improved MPC controller shows significant advantages in reducing the computational load, especially under complex road conditions, and the computational load of the controller is greatly reduced, which improves the real-time performance.
- Adaptability to harsh environments: The improved MPC controller shows good robustness by setting different road surface adhesion coefficients (0.7 on rainy days and 0.2 on snowy days) and vehicle speeds (80 km/h on rainy days and 60 km/h on snowy days) under the consideration of harsh weather conditions such as rain and snow. Under rainy day conditions, the lateral error is reduced by 10.78%; under snowy day conditions, although the overall error is not improved much, the lateral error is significantly reduced in some cases, which helps to improve the stability of vehicle driving.
- Complex driving scenarios: Under continuous lane-changing conditions, the improved MPC controller can control the tracking error within a small range and significantly reduces the maximum lateral error by about 28%, which verifies its effectiveness in dealing with complex driving scenarios.
- Safety: The introduction of the fuzzy controller makes it possible for the improved MPC controller to eliminate the error faster by adjusting the weighting coefficients in real-time when the lateral error is large, which enhances driving safety.
In summary, the improved MPC controller performs well in terms of path tracking accuracy, computational efficiency, harsh environment adaptability, and complex driving scenario processing, which lays a solid foundation for real road testing and future commercialized applications of self-driving cars.
Future Research Directions and Plans:
Multi-case validation: Control strategies will be tested under a wider range of driving conditions, including different speeds, road conditions, and traffic environments, to ensure broad applicability and robustness.
Adding virtual noise to simulation: Virtual noise is introduced to simulate real-world signal noise to evaluate the performance of the control strategy under sensor noise and data interference.
Algorithm optimization: We aim to further optimize the algorithms to reduce computation time and memory usage, improve utility in resource-constrained systems, and ensure that the algorithms can be efficiently deployed on real vehicles.
Hardware-in-the-loop testing: We aim to provide a test platform close to the real vehicle operating environment through hardware-in-the-loop testing to enhance the validation of control strategies.
Real vehicle testing: After simulation and hardware-in-the-loop testing, testing on a real vehicle is planned to evaluate the performance of the control strategy in a real traffic environment.
Integration with other sensing and decision-making systems: The control strategy can be integrated with advanced sensing and decision-making systems to realize a more comprehensive autonomous driving solution.
User research and experience: We aim to conduct user research to evaluate the acceptance and experience of control systems by human drivers and provide guidance for HCI design.
Author Contributions
Conceptualization, methodology, writing—original draft, B.L.; resources, writing—review and editing, Z.W.; validation, B.L., G.Z., and H.G.; visualization, all authors; supervision, all authors; project administration, all authors. All authors have read and agreed to the published version of the manuscript.
Funding
This research received no external funding.
Data Availability Statement
The derived data supporting the findings of this study are available from the corresponding author on request. The data are not publicly available due to [Certain research methods need to be kept confidential as subsequent related research is still in progress. insert reason].
Acknowledgments
This work was performed at the School of Mechanical and Automotive Engineering, Shanghai University of Engineering and Technology, Mechatronics and Fluid Integration Research.
Conflicts of Interest
The authors declare no conflicts of interest.
References
- Haque, T.; Rahman, M.; Islam, M.; Razzak, M.; Badal, F.; Ahamed, M.; Moyeen, S.; Das, S.; Ali, M.; Tasneem, Z.; et al. A review on driving control issues for smart electric vehicles. IEEE Access 2021, 9, 135440–135472. [Google Scholar] [CrossRef]
- Hu, C.; Gao, H.; Guo, J.; Taghavifar, H.; Qin, Y.; Na, J.; Wei, C. Rise-based integrated motion control of autonomous ground vehicles with asymptotic prescribed performance. IEEE Trans. Syst. Man Cybern. Syst. 2021, 51, 5336–5348. [Google Scholar] [CrossRef]
- Normey-Rico, J.E.; Alcalá, I.; Gómez-Ortega, J.; Camacho, E.F. Mobile robot path tracking using a robust PID controller. Control Eng. Pract. 2001, 9, 1209–1214. [Google Scholar] [CrossRef]
- Hu, C.; Chen, Y.; Wang, J. Fuzzy observer-based transitional path-tracking control for autonomous vehicles. IEEE Trans. Intell. Transp. Syst. 2021, 22, 3078–3088. [Google Scholar] [CrossRef]
- Zhang, X.; Zhu, X. Autonomous path tracking control of intelligent electric vehicles based on lane detection and optimal preview method. Expert Syst. Appl. 2019, 121, 38–48. [Google Scholar] [CrossRef]
- Hu, C.; Wang, Z.; Qin, Y.; Huang, Y.; Wang, J.; Wang, R. Lane keeping control of autonomous vehicles with prescribed performance considering the rollover prevention and input saturation. IEEE Trans. Intell. Transp. Syst. 2020, 21, 3091–3103. [Google Scholar] [CrossRef]
- Guo, N.; Lenzo, B.; Zhang, X.; Zou, Y.; Zhai, R.; Zhang, T. A real-time nonlinear model predictive controller for yaw motion optimization of distributed drive electric vehicles. IEEE Trans. Veh. Technol. 2020, 69, 4935–4946. [Google Scholar] [CrossRef]
- Lima, P.; Nilsson, M.; Trincavelli, M.; Martensson, J.; Wahlberg, B. Spatial model predictive control for smooth and accurate steering of an autonomous truck. IEEE Trans. Intell. Veh. 2017, 2, 238–248. [Google Scholar] [CrossRef]
- Peng, H.; Wang, W.; An, Q.; Xiang, C.; Li, L. Path Tracking and Direct Yaw Moment Coordinated Control Based on Robust MPC With the Finite Time Horizon for Autonomous Independent-Drive Vehicles. IEEE Trans. Veh. Technol. 2020, 69, 6053–6066. [Google Scholar] [CrossRef]
- Lin, F.; Chen, Y.; Zhao, Y.; Wang, S. Path tracking of autonomous vehicle based on adaptive model predictive control. Int. J. Adv. Robot. Syst. 2019, 16, 1–12. [Google Scholar] [CrossRef]
- Yang, K.; Liu, Y.; Liu, Y.; He, X.; Ji, X. A linear time-varying MPC method for vehicle path-following assistance based on steering torque. In Proceedings of the 43rd Annual Conference of the IEEE Industrial Electronics Society, Beijing, China, 29 October–1 November 2017; pp. 4559–4564. [Google Scholar] [CrossRef]
- Rokonuzzaman, M.; Mohajer, N.; Nahavandi, S.; Mohamed, S. Model predictive control with learned vehicle dynamics for autonomous vehicle path tracking. IEEE Access 2021, 9, 128233–128249. [Google Scholar] [CrossRef]
- Tang, X.; Shi, L.; Wang, B.; Cheng, A. Weight Adaptive Path Tracking Control for Autonomous Vehicles Based on PSO-BP Neural Network. Sensors 2023, 23, 412. [Google Scholar] [CrossRef] [PubMed]
- Onieva, E.; Naranjo, J.; Milanés, V.; Alonso, J.; Garcia, R.; Perez, J. Automatic lateral control for unmanned vehicles via genetic algorithms. Appl. Soft Comput. 2011, 11, 1303–1309. [Google Scholar] [CrossRef]
- Wang, H.; Liu, B.; Ping, X.; An, Q. Path Tracking Control for Autonomous Vehicles Based on an Improved MPC. IEEE Access 2019, 7, 161064–161073. [Google Scholar] [CrossRef]
- Cheng, S.; Li, L.; Guo, H.; Chen, Z.; Song, P. Longitudinal collision avoidance and lateral stability adaptive control system based on MPC of autonomous vehicles. IEEE Trans. Intell. Transp. Syst. 2020, 21, 2376–2385. [Google Scholar] [CrossRef]
- Zhang, B.; Zong, C.; Chen, G.; Li, G. An adaptive-prediction-horizon model prediction control for path tracking in a four-wheel independent control electric vehicle. Proc. Inst. Mech. Eng. 2019, 233, 3246–3262. [Google Scholar] [CrossRef]
- Hoffmann, N.; Andresen, M.; Fuchs, F.; Asiminoaei, L.; Thøgersen, P. Variable sampling time finite control-set model predictive current control for voltage source inverters. In Proceedings of the 2012 IEEE Energy Conversion Congress and Exposition (ECCE), Raleigh, NC, USA, 15–20 September 2012; pp. 2215–2222. [Google Scholar]
- Taherian, S.; Halder, K.; Dixit, S.; Fallah, S. Autonomous Collision Avoidance Using MPC with LQR-Based Weight Transformation. Sensors 2021, 21, 4296. [Google Scholar] [CrossRef] [PubMed]
- Sakhnevych, A.; Arricale, V.M.; Bruschetta, M.; Censi, A.; Mion, E.; Picotti, E.; Frazzoli, E. Investigation on the model-based control performance in Vehicle safety critical scenarios with varying tyre limits. Sensors 2021, 21, 5372. [Google Scholar] [CrossRef] [PubMed]
- Song, Y.; Shu, H.; Chen, X.; Luo, S. Direct-yaw-moment control of four-wheel-drive electrical vehicle based on lateral tyre–road forces and sideslip angle observer. IET Intell. Transp. Syst. 2018, 13, 303–312. [Google Scholar] [CrossRef]
- Wen, S.; Michael, Z.; Zeng, Z.; Yu, X.; Huang, T. Fuzzy control for uncertain vehicle active suspension systems via dynamic sliding mode approach. IEEE Trans. Syst. Man Cybern. Syst. 2017, 47, 24–32. [Google Scholar] [CrossRef]
Disclaimer/Publisher’s Note: The statements, opinions and data contained in all publications are solely those of the individual author(s) and contributor(s) and not of MDPI and/or the editor(s). MDPI and/or the editor(s) disclaim responsibility for any injury to people or property resulting from any ideas, methods, instructions or products referred to in the content. |
© 2024 by the authors. Licensee MDPI, Basel, Switzerland. This article is an open access article distributed under the terms and conditions of the Creative Commons Attribution (CC BY) license (https://creativecommons.org/licenses/by/4.0/).






















