Next Article in Journal
Empowering User-Centric Selection of Electric Vehicles Charging Stations: A Hybrid Approach Using the Best–Worst Method and Grey Relational Analysis
Next Article in Special Issue
Are We Testing Vehicles the Right Way? Challenges of Electrified and Connected Vehicles for Standard Drive Cycles and On-Road Testing
Previous Article in Journal
NMPC-Based Path Tracking Control Through Cascaded Discretization Method Considering Handling Stability for 4WS Autonomous Vehicles Under Extreme Conditions
Previous Article in Special Issue
Optimization Research on Energy Management Strategies and Powertrain Parameters for Plug-In Hybrid Electric Buses
 
 
Font Type:
Arial Georgia Verdana
Font Size:
Aa Aa Aa
Line Spacing:
Column Width:
Background:
Article

Research on the Structure, Design, and Control of a Variable Transmission Ratio for Active Steering Systems in Commercial Vehicles

School of Mechanical and Electrical Engineering, Zhengzhou University of Light Industry, Zhengzhou 450002, China
*
Author to whom correspondence should be addressed.
World Electr. Veh. J. 2024, 15(12), 574; https://doi.org/10.3390/wevj15120574
Submission received: 18 November 2024 / Revised: 2 December 2024 / Accepted: 10 December 2024 / Published: 13 December 2024

Abstract

In this paper, a variable gear ratio for active steering systems with a double planetary gear configuration is presented to optimize the steering performance of commercial vehicles. First, a variable transmission ratio system with a dual-row planetary gear mechanism is developed in ADAMS/Car, where the steering mechanism’s transmission ratio can be adjusted according to different driving conditions, thereby improving the vehicle’s stability and sensitivity. Second, a new type of dual-inverter permanent magnet synchronous motor (DPMSM) has been designed to solve the power limitation problem in the electric drive steering of commercial vehicles. Finally, the step steering and lane change driving scenarios are chosen for co-simulation using ADAMS/Car and MATLAB to evaluate the proposed method’s effectiveness. The co-simulation results show that the proposed variable transmission ratio and control strategy can effectively improve the steering sensitivity and stability of commercial vehicles.

1. Introduction

Autonomous driving technology is a frontier technology and an inevitable developmental trend in the international intelligent vehicle field [1]. As the level of vehicle intelligence is advancing toward the L4 stage of highly autonomous driving, intelligent steering is one of the key technologies to be solved urgently [2]. The electric drive intelligent steering system boasts several key advantages, including eco-friendliness, high energy efficiency, and excellent steering performance, positioning it as the future direction for intelligent steering development [3]. The power limitations imposed by the 12 V battery systems in passenger cars and 24 V systems in commercial vehicles restrict the performance of steering motors. As a result, most research on electric drive intelligent steering systems has concentrated on passenger vehicles with lower forward loads. However, the development of such systems for commercial vehicles, which require handling larger forward loads, remains an unsolved issue.
Currently, electrohydraulic coupled power steering systems are commonly used in commercial vehicles [4,5,6,7], integrating both electrical and hydraulic technologies to enhance the steering performance of these vehicles. Therefore, drivers of commercial vehicles can easily perceive changes in road conditions and vehicle dynamics, and thus improve the driving experience. However, achieving a balance between the ease of steering at low speeds and stability at high speeds remains a challenge for the electrohydraulic coupled power steering systems in commercial vehicles. In view of this situation, an electric drive intelligent steering variable transmission ratio system with a dual row planetary gear mechanism was designed [8,9,10,11,12,13], in which the variable transmission ratio steering mechanism employs the force generated by the steering mechanism motor to operate the dual-stage planetary gear mechanism, which in turn alters the transmission ratio of the commercial vehicle’s steering mechanism. In addition, variable transmission ratios can adjust the sensitivity and responsiveness of steering according to the driver’s needs and driving conditions, thereby improving the sensitivity and stability of vehicle steering. When driving at low speeds, using a larger transmission ratio can increase steering force, making it easier for drivers to perform flexible steering operations on crowded city roads. When driving at high speeds, using a smaller transmission ratio can reduce the steering force and improve the steering stability of commercial vehicles [14,15].
With the development of electrification and intelligence in commercial vehicles, the steering system has also gone through the development processes of power-assisted steering, active steering, wire-controlled steering, and intelligent steering [16]. The electric drive intelligent steering system with integrated active steering is easier to communicate and integrate with other active safety control subsystems, providing a good hardware foundation for achieving intelligent steering in commercial vehicles; it is thus considered one of the key technologies for achieving L4 level intelligent driving [17]. In addition, the current 12 V/24 V voltage system has brought about the problem of power limitation of the steering motor, which has led to research on electrically driven intelligent steering systems focusing mainly on passenger cars with low steering resistance [18]. As the pure electric drive mode gains more popularity, the dual-source electrical system, consisting of a high-voltage power battery and a 24 V low-voltage battery, has become a vital component of commercial vehicle electrical systems [19]. The high-voltage power battery serves as the primary energy source for powering the L4 autonomous driving intelligent steering system in commercial vehicles. Meanwhile, the high reliability redundancy issue brought about by highly automated L4 driving makes L4 dual-power intelligent steering an ideal solution [20,21]. Under typical operating conditions like low-speed driving, parking, and inclines in urban areas, the inverter can link to the low-voltage battery to provide torque compensation, thereby lowering the steering motor’s current draw and energy consumption. When a high-voltage fault occurs in the steering motor, a low-voltage 24 V battery can be used to maintain steering capability. Therefore, in order to overcome the main technical bottlenecks of power limitation and reliability, this paper proposes a research approach for a new intelligent steering system driven by DPMSM under the dual-power supply of a high-voltage energy storage battery and a 24 V low-voltage battery [22].
The key contributions of this paper are as follows: (1) This article designs an active adjustable steering transmission ratio system with a dual-row planetary gear mechanism, which can adjust the transmission ratio in the steering mechanism according to road and driving conditions, thereby improving steering sensitivity at low speeds and steering stability at high speeds. By increasing the angular transmission ratio of the steering system during low-speed driving or parking, the sensitivity of the car’s steering can be improved. Meanwhile, when turning at high velocities, the stability of the vehicle’s steering is improved by reducing the angle ratio in the steering system. (2) On the other hand, to resolve the power limitation problem of the active steering drive motor, a new DPMSM-driven dual-row planetary gear mechanism active steering system was designed. When the high-voltage power battery cannot meet the power demand of the steering motor, a 24 V low-voltage battery can provide power compensation.
The structure of this paper is as follows: In Section 2, the detailed working principle of the double planetary gear mechanism is introduced. Then, the feasibility of using a variable transmission ratio in the dual-row planetary transmission mechanism is verified through ADAMS/Car modeling in Section 3. Section 4 introduces the torque control strategy of a dual-inverter permanent magnet synchronous motor. Co-simulation using ADAMS/Car and MATLAB is conducted to validate the proposed steering system’s performance in Section 5, and the conclusion follows in Section 6.
Although the simulation theoretically verifies the influence of the modifiable transmission ratio of double-row planetary gears on the steering performance of commercial vehicles at both low and high speeds, the actual simulation still has some limitations: (1) Although ADAMS/Car and MATLAB co-simulation were used, the simulation results may not fully reflect all the complex situations in the real driving environment. (2) In the study, some simplified assumptions were made for the two-stage planetary gear mechanism, ignoring the complex behavior of the mechanism under high loads or extreme working conditions, which may lead to a certain deviation between the simulation results and the actual performance.

2. Double-Row Planetary Gear Mechanism

2.1. Transmission Configuration of the Dual Planetary Gear Mechanism

The powertrain structure of the dual-stage planetary gear mechanism shown in Figure 1 is designed on the basis of retaining the mechanical components of the traditional steering system. It should be pointed out that a double-row planetary gear mechanism and a novel electrical DPMSM motor are added to the link connecting the steering wheel with the steering gear to provide a superimposed angle for the front wheel.
As can be seen in Figure 1, the front solar wheel transmits external power to the dual-row planetary gear mechanism. The front planetary wheel mainly transmits the torque generated by the input shaft and distributes the speed and torque. The front gear ring mainly transmits the torque originating from the input shaft and distributes the speed and torque. The planet carrier mainly plays the role of supporting and positioning the planetary wheel, controlling the rotation direction of the planetary gear, and coordinating the power transmission. The rear gear ring is connected to the drive motor, providing power transmission, adjusting speed ratio, and distributing load. The rear planetary wheel mainly transmits the torque of the input shaft and distributes the speed and torque. The rear sun wheel outputs the power transmitted from the dual-row planetary gear system to external loads. The main function of the worm is to transmit power, control the steering angle, and achieve precise adjustment. The worm gear inputs the power of the driving motor as torque into the dual-row planetary gear mechanism.
At the same time, the front and rear planetary gear mechanisms share a planetary carrier transmission. The mathematical relationship between the front solar wheel, the planetary wheel, and the planetary frame can be obtained as follows:
n 1 + α n 3 ( 1 + α ) n H = 0
α = z 3 / z 1
where n 1 is the rotational velocity of the front sun gear, n 3 represents the rotational speed of the front planetary gear. Z 1 , Z 3 represent the tooth count of the front sun gear and the front gear ring, respectively. The front ring teeth are fixed, n 3 equals 0, and the speed at which the planetary carrier rotates is:
n H = n 1 ( 1 + α )
The back ring gear (see Figure 1) is connected to the worm gear drive motor, and when the motor works, it turns the rear gear ring, leading to changes in the back planetary wheel speed, although the planet carrier rotating speed is constant. The mathematical relationship between the sun wheel, planetary wheel, and planetary frame in the back row is as follows:
n 9 + α n 7 ( 1 + α ) n H = 0
n 7 = α n m / i w
where n 7 indicates the velocity of the rear gear ring, n 9 refers to the angular velocity of the rear sun wheel, n m is the motor speed, and i w represents the gear ratio of the worm gear. The ratio of the number of teeth between the rear tooth ring and the rear sun wheel is also α .
Considering the bidirectional rotation characteristics of the motor, and taking Equations (3) and (5) into (4), the mathematical relationship between the output shaft, input shaft, and drive motor of the double row planetary gear is obtained:
n 9 = n 1 ± α n m / i w
According to the above derivation, the transmission efficiency of the double planetary gear mechanism is ( 1 + α 2 ) times that of the single planetary gear mechanism.
The above analysis shows that the dual-row gear train mechanism changes the transmission ratio by changing the speed of the input shaft and the output shaft. From the mathematical model of the double-row planetary gear mechanism, it can be determined that the transmission efficiency ratio of the double-row planetary gear is greater than that of a single-row planetary gear.

2.2. The Working Principle of a New Steering System

By analyzing the working principle of the double-row planetary gear structure diagram in Figure 1, the transmission ratio of the double-row planetary gear mechanism is variable. The schematic diagram of the double-row planetary gear mechanism structure installed into the steering system is shown in Figure 2 below.
The red part in Figure 2 is the schematic diagram of the double-row planetary gear mechanism, composed of the front gear ring, the rear tooth ring, and the planetary frame. The double-inverter drive motor meshes with the rear tooth ring. When the driver inputs rotational force and angle to the steering device during the driving process, the ECU collects the angle of rotation of the steering wheel as well as the torque and the velocity of the vehicle signals through the sensor, and transmits the collected signals to the controller of the driving motor. The PI controller is used to adjust the current of the input double inverter to obtain the torque we need. The double-inverter permanent magnet synchronous motor uses the output torque to drive the rotation of the rear tooth ring of the double planetary gear set to change the transmission ratio of the steering mechanism, and then changes the output angle of the front wheel of the steering mechanism.

3. Verification of Variable Transmission Ratio Steering System

The user interface features of ADAMS/Car 2020 software make it easy for designers to use the corresponding modules for efficient development. ADAMS/Car software includes a Vehicle Dynamics software package, a Suspension Design software package, and a conceptual suspension design module (CSM), providing great convenience for the establishment of various subsystems and vehicle 3D models. The 3D model of the double-row planetary gear mechanism is established in SolidWorks software 2022, and the 3D model is imported into ADAMS/Car software, as shown in Figure 3.
Based on Figure 3, the changeable transmission ratio of the three-dimensional model of the two-row planetary gear arrangement is verified. The green axis is the input axis, and the blue axis is the output axis. First, the input shaft rotates at 90 r/min, and torque is applied to the rear gear ring in the same direction as the input shaft rotates. As shown in Figure 4, the simulation results show that the speed of the output axis is greater than that of the input axis. Meanwhile, torque opposite to the rate of rotation of the input shaft is applied to the rear gear ring without changing the input shaft velocity. The simulation results are shown in Figure 5, where the speed of the output axis is less than that of the input axis.
According to the above analysis, when the speed of the input shaft is constant, the speed of the output shaft of the double-row planetary gear is fixed. When the input shaft speed is given and different rotational torques are applied to the rear teeth in different directions, the output shaft speed is variable, leading to the conclusion that the steering system’s transmission ratio can vary. The three-dimensional model of the double-row planetary gear mechanism is assembled into the steering system of ADAMS/Car, as shown in Figure 6, which provides a possibility for the late co-simulation of ADAMS/Cal and MATLAB.

4. Dual-Inverter-Driven PMSM and Current Characteristic Curve

4.1. Mathematical Model of PMSM in a Two-Phase Stationary Coordinate System

The voltage equation of a PMSM model in a three-phase stationary coordinate system is expressed as follows:
u a u b u c = R S 0 0 0 R S 0 0 0 R S i a i b i c + d d t ψ a ψ b ψ c
where u a ,   u b   and   u c represent the three-phase voltages, i a ,   i b   and   i c represent the three-phase currents, ψ a ,   ψ b   and   ψ c represent the three-phase flux linkages, and R S represents the armature winding resistance.
The flux equation of a permanent magnet synchronous motor model in a three-phase stationary coordinate system is defined as follows:
u a u b u c = L a a M a b M a c M b a L b b M b c M c a M c b L c c i a i b i c + ψ f cos θ cos ( θ 2 π 3 ) cos ( θ + 2 π 3 )
where L a a ,   L b b   and   L cc represent self-inductances, M ab ,   M a c ,   M b a ,   M c a   and   M c b represent mutual inductances, ψ f represents rotor flux linkage, and θ represents the rotor magnetic pole position.
After the Clark transformation, the equations of the permanent magnet synchronous motor in the α-β axis coordinate system can be obtained as follows:
The voltage equation:
u α = R s i α + L s d i α / d t ω r ψ f sin θ u β = R s i β + L s d i β / d t + ω r ψ f sin θ
The flux linkage equation:
ψ α = ( u α R s i α ) d t ψ β = ( u β R s i β ) d t
The torque equation:
T e = 3 2 N P ( ψ α i β ψ β i α )
where u α   and   u β represent the components of stator voltage and current on the α-β axis, respectively, L s represents the stator winding inductance of the dual-source permanent magnet synchronous motor, ω r represents the rotor angular velocity, and n p represents the number of pole pairs.

4.2. Mathematical Model of PMSM in a Two-Phase Rotating Coordinate System

The transformation from the stationary coordinate system to the rotating frame of reference is called the Park transformation. Figure 7 shows the phase relationship of the two coordinate systems (the α-β axis and the d-q axis) in space, and the conversion formula of the two coordinate systems can be written as follows:
i α i β = cos θ sin θ sin θ cos θ i d i q
where θ is the angle between the α axis in the coordinate system α-β axis and the d axis in the coordinate system α-β axis and ω 1 is the angular velocity of the d-q axis coordinate system relative to the α-β axis coordinate system.
i d i q = cos θ sin θ sin θ cos θ i α i β
Through the a-b rotation coordinate system, the voltage equation, flux equation, and torque equation are obtained as follows:
The voltage equation:
u d = R s i d + d ψ d d t ω r ψ q u q = R s i q + d ψ q d t + ω r ψ d
The flux linkage equation:
ψ d = L d i d + ψ f ψ q = L q i q
The torque equation:
T e = 3 2 p ( ψ d i q ψ q i d ) = 3 2 p [ ψ f i q + ( L d L q ) i d i q ]
where ω e denotes the actual stator angular velocity of the motor, L q ,   L d   and   u d ,   u q represent the stator d axis and q axis inductance and voltage, respectively, i q   and   i d represent the currents of the rotor d axis and q axis, respectively, ψ d   and   ψ q represent the stator d axis and q axis inductance and voltage, respectively, i q   and   i d represent the currents of the rotor d axis and q axis, respectively, ψ d   and   ψ q represent the stator d axis and q axis magnetic flux linkage, respectively, and ω ,   n p ,   T L   and   J represent the angular velocity, pole pairs, load torque, and moment of inertia, respectively.
In general, the inductance of the d axis and q axis in a surface-mounted permanent magnet synchronous motor is the same. Therefore, the electromagnetic torque formula can be simplified to T e = 3 p ψ f i q / 2 . Therefore, when adjusting the motor’s torque, only the current component of the stator d q axis needs to be adjusted.

4.3. Control Strategy for the Dual-Inverter-Driven PMSM

For the co-simulation, the vector control method is adopted for the dual-inverter-driven PMSM. The d -axis acts as the excitation axis, and the size of the excitation field can be adjusted by controlling the current through this axis. It is typically used for controlling the maximum torque-to-current ratio and can also serve as a weak magnetic control to enable speeds beyond the rated value. The q -axis functions as the torque axis, and by adjusting the current through this axis, the torque magnitude can be varied. In simpler terms, the motor’s output torque is directly proportional to both the current in the q axis and the magnetic field generated by the d axis. Therefore, feedback control is implemented to determine the actual current of the d q axis. For speed control of the outer loop, under the control strategy of id = 0, the PID controller calculates the transverse axis current target value.
Building on the fundamental principles of classical vector control outlined above, the control block diagram for the DPMSM presented in this paper is illustrated in Figure 8. The control strategy for the DPMSM system is composed of two feedback loops: an outer loop using PID control for speed regulation to follow the desired speed, and an inner loop responsible for current control to maintain the target current. The stator current control is implemented using two digital PI controllers. Afterward, the space vector pulse width modulation (SVPWM) approach is utilized to determine the PWM duty cycle, which in turn generates the drive pulses for the two inverters.
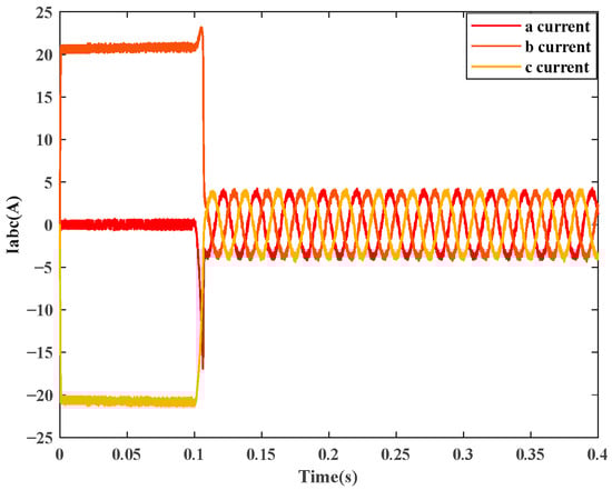
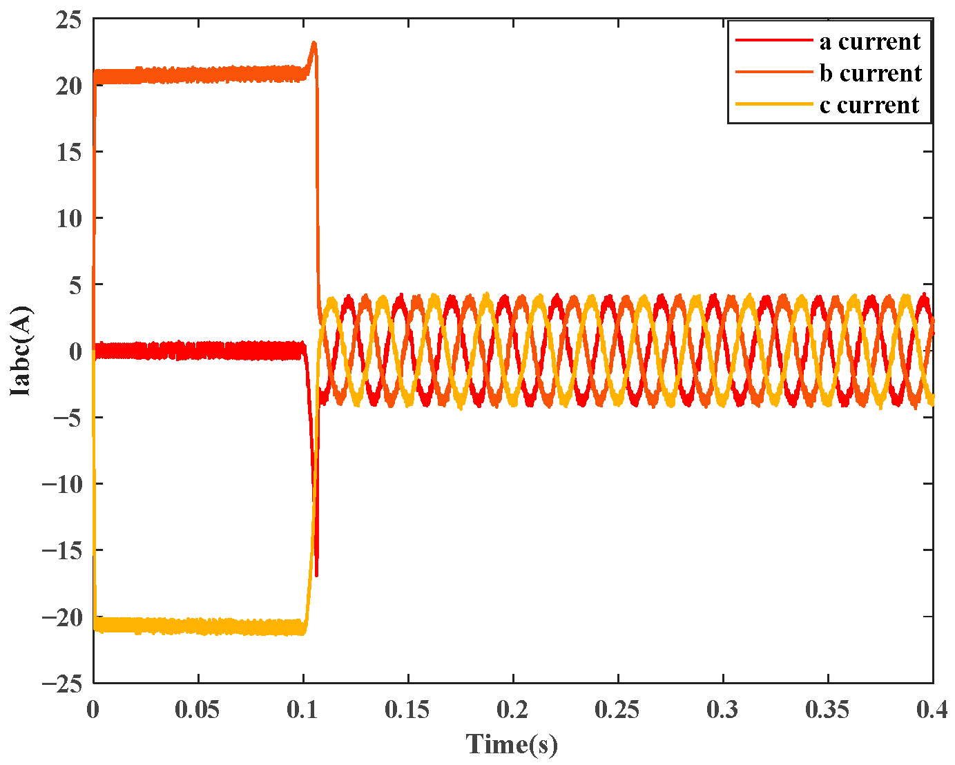
In Figure 8, the simulation parameters are defined as follows: the DC link voltage for the dual inverters is set to 500 V for one and 24 V for the other, and the motor speed is 800 r/min. Load torque TL = 0 Nm at the initial moment, and load torque TL = 10 Nm at t = 0.1 s. The simulation results related to torque, speed, and three-phase current are shown in Figure 9, Figure 10 and Figure 11, respectively:
As observed, once the load torque is applied, the motor quickly accelerates to the desired speed and maintains stable operation thereafter. When the motor experiences load torque, the three-phase current associated with the torque exhibits rapid fluctuations. This demonstrates the effectiveness of the proposed synthetic SVPWM algorithm in controlling the DPMSM motor.

4.4. Design of the Current Characteristic Curve

The current characteristic curve is the key to connecting ADAMS/Car and MATLAB. The linear current characteristic curve forms a straight line, characterized by a constant proportional relationship of assistive current to steering wheel input torque within the same speed range. The expression of the current characteristic curve function is as follows:
I =   0   , 0 T W   T W 0   K ( v ) ( T W T W 0 ) , T W 0 T W , T W max   I M max     , T W T W max
where I represents the target current of the driving motor, I max represents the maximum current that the motor can withstand, T W is the torque input by the steering wheel, and T W 0 represents the initial torque applied to the steering wheel. K ( v ) is the vehicle pace sensitivity factor.
When the steering-wheel force reaches a value of T W max , the motor will provide its maximum current. K ( v ) is the vehicle space sensitivity factor, which is related to the vehicle speed. The following polynomial can be used to express the vehicle speed sensitivity coefficient:
K ( v ) = K max e 0.0097 v
Using the cftool command in MATLAB to fit Equation (8), the fitting coefficient K ( v ) is calculated as 1.9026. The corresponding speed induction coefficient K ( v ) can be obtained under different vehicle speeds. Input different steering wheel torques at different vehicle speeds to obtain corresponding target currents, and then obtain a two-dimensional graph of current characteristics. Import the data of target current, vehicle speed, and torque from the two-dimensional graph into the 2-D Lookup Table module in MATLAB to establish a three-dimensional graph of current characteristics.
According to Figure 12 and Figure 13, when the vehicle speed is relatively slow, the torque applied to the steering wheel and target current are comparatively high. For the purpose of maintaining lightness of steering, the dual-source permanent magnet synchronous motor is required to provide larger torque. At high vehicle speeds, both the steering torque and the target current decrease accordingly. To enhance the road feel for the driver, reducing the power output torque to an appropriate level is crucial.
Based on an analysis of Figure 14, the desired target current I a is obtained from the power-assisted characteristic diagram. Take the difference Δ I between the output motor current I m and I a as the input of the PI controller, and the signal is processed by the controller and the motor providing power, and the driving torque T n of the input ADAMS/Car can finally be obtained.
In summary, according to Equations (17) and (18), two-dimensional and three-dimensional graphs of the current characteristic curves are obtained. As can be seen in Figure 12 and Figure 13, the connection between the steering system’s target current and both speed and torque is a complex dynamic process. When operating at a low speed, the target current is larger and the torque increases, thus raising the double-row planetary gear’s transmission ratio. At high speeds, the target current is smaller and the torque output is correspondingly reduced to ensure driving stability and accuracy. By precisely regulating the relationship between speed, torque, and target current, the double-stage planetary gear variable ratio mechanism can flexibly adjust the steering ratio under different driving conditions, thereby optimizing vehicle handling, stability, and comfort.

5. Co-Simulation Analysis

5.1. Co-Simulation Between ADAMS and MATLAB

Based on the detailed analysis of the vehicle model, dual-inverter permanent magnet synchronous motor model, and current characteristic curve, this part focuses on the principle of ADAMS and MATLAB co-simulation. The speed and steering wheel torque signals are obtained in ADAMS/Car as outputs from the vehicle model, and this system is imported into MATLAB through the control module. Figure 15 shows a representation of the vehicle model in MATLAB.
After the vehicle model was imported into MATLAB, the two models were connected by fitting the current characteristic curve to get the co-simulation block diagram, as shown in Figure 16. The speed and steering wheel torque are output through the ADAMS sub-module, and the PI controller adjusts the current input of the dual inverter to track the target current obtained from the current characteristic curve so that the DPMSM outputs the required torque.

5.2. Angular Step Simulation Experiment

To better describe the steering stability and responsiveness of commercial vehicles, the steering ratio of the car is used to indicate the stability and sensitivity of the car when steering. The steering ratio of a car is defined as the proportion between the steering wheel angle and the front wheel angle. A low value of the steering ratio means that the steering wheel rotates relatively less, the front wheel steering angle is larger, the steering response of the vehicle is faster, and the driver needs less operation to complete the steering. Cars with a low steering ratio usually exhibit higher agility and are suitable for driving scenarios that require quick responses. When the steering ratio is high, the steering wheel rotates more, while the front wheels turn less. The slower steering response of the vehicle is suitable for driving scenarios that require a large steering angle (such as cruising at high speeds, or driving long distances), thereby reducing oversteering and driver fatigue.
First, an angular step simulation experiment of the commercial vehicle model was carried out. The experimental working conditions were set to a speed of 40 km/h with a steering wheel angle of 100 degrees and a high speed of 100 km/h with a steering wheel angle of 40 degrees. The simulation results of the output front wheel angle and front wheel steering angular velocity curve at these times are shown in Figure 17, Figure 18, Figure 19 and Figure 20.
The simulation curves in Figure 17 and Figure 18 under the condition of the angular step experiment show that at a vehicle velocity of 40 km/h, the angle of the front tires and the front wheel steering angular speed of the active steering system equipped with double planetary gear mechanism are greater than those of the traditional automobile steering system, which indicates that the vehicle’s steering sensitivity at low speeds is improved and operation is more flexible. The simulation curves in Figure 19 and Figure 20 show that at a vehicle speed of 100 km/h, the front wheel steering angle and front wheel steering angular speed of the active steering equipped with a double row planetary gear mechanism are lower than those of the traditional automotive steering system, which indicates an enhancement of the vehicle’s stability and makes driving safer when the vehicle turns at high speed. The above simulation analysis well verifies that the variable transmission ratio steering system designed in this paper can improve the sensitivity and speed of the vehicle at low speeds, when stopping or turning, and can also improve the stability of the vehicle when steering at high speeds.

5.3. Single-Line Shift Simulation Experiment

The single-line motion simulation experiment refers to driving the car through the S-curve road within a specified time to simulate the lane change action of the car. The working conditions of the simulation experiment are the same as those of the angular step vehicle simulation, and the results of the simulation are displayed in Figure 21, Figure 22, Figure 23 and Figure 24.
Under the simulation condition of a single-displacement line, the simulation curves in Figure 21 and Figure 22 show that when the vehicle speed is 40 km/h, the steering angle and the vehicle’s angular velocity equipped with the active steering system of the double planetary gear mechanism become larger, and the low-speed steering sensitivity of the car is enhanced. The simulation curves in Figure 23 and Figure 24 show that, when the vehicle speed is 100 km/h, the front steering angle and front wheel steering angular velocity of the vehicle with the active steering mechanism equipped with the double planetary gear mechanism are smaller than those of the traditional steering system, which enhances the stability of the car when it turns at high speed.

6. Conclusions

A variable-ratio active steering system based on a double planetary gear structure is designed in this paper. Through ADAMS/Car and MATLAB co-simulation, it is verified that the double-row planetary gear mechanism can significantly improve the steering sensitivity and stability of commercial vehicles. A steering system equipped with a double-row planetary gear variable ratio mechanism can not only enhance handling and reduce driving fatigue, but also improve safety and comfort and have a positive impact on traffic flow, energy efficiency, reduction of emissions, and accident reduction. In a busy city traffic environment, the system is capable of substantially improving the driving experience, and the popularity of self-driving technology lays a foundation for the future. At present, the new steering system is still in the simulation research stage, and the actual hardware verification research will be carried out under the conditions allowed by the experimental equipment.

Author Contributions

Conceptualization, Z.F.; methodology, D.Z.; software, Y.M.; validation, Y.M.; formal analysis, Y.M.; investigation, Y.M. and X.Z. All authors have read and agreed to the published version of the manuscript.

Funding

This research was funded by National Natural Science Foundation of China (NSFC) 62073298, Henan Center for Outstanding Overseas Scientists GZS2023011, Science and Technology Development Plan Projects of Henan Province in 2024 No 242102241049, Key Research and Development Projects of Henan Province, in 2022, under Grant 221111240200, and Major Science and Technology Projects in Henan Province under Grant 241100240300.

Data Availability Statement

The original contributions presented in the study are included in the article, further inquiries can be directed to the corresponding author.

Conflicts of Interest

The authors declare no conflict of interest.

References

  1. Kim, S.H.; Mokhtarian, P.L.; Circella, G. How, and for whom, will activity patterns be modified by self-driving cars? Expectations from the state of Georgia. Transp. Res. Part F Traffic Psychol. Behav. 2020, 70, 68–80. [Google Scholar] [CrossRef]
  2. Badue, C.; Guidolini, R.; Carneiro, R.V.; Azevedo, P.; Cardoso, V.B.; Forechi, A.; Jesus, L.; Berriel, R.; Paixao, T.M.; Mutz, F.; et al. Self-driving cars: A Survey. Robotics 2021, 165, 113816. [Google Scholar] [CrossRef]
  3. Haque, T.H.; Rahman, M.H.; Islam, M.R.; Razzak, M.A.; Badal, F.R.; Ahamed, M.H. A review on driving control issues for smart electric vehicles. IEEE Access 2021, 9, 135440–135472. [Google Scholar] [CrossRef]
  4. Cui, T.W.; Zhao, W.Z.; Tai, K. Optimal design of electro-hydraulic active steering system for intelligent transportation environment. Energy 2021, 214, 118911. [Google Scholar] [CrossRef]
  5. Guo, Z.Q.; Wu, H.X.; Zhao, W.Z.; Wang, C.Y. Coordinated control strategy for vehicle electro-hydraulic compound steering system. Proc. Inst. Mech. Eng. Part D J. Automob. Eng. 2021, 235, 32–743. [Google Scholar] [CrossRef]
  6. Park, J.I.; Jeon, K.; Yi, K. An investigation on the energy-saving effect of a hybrid electric-power steering system for commercial vehicles. Proc. Inst. Mech. Eng. Part D J. Automob. Eng. 2019, 233, 1623–1648. [Google Scholar] [CrossRef]
  7. Sulistyo, M.E.; Sulistyo, R.; Kaleg, S.; Kaleg, A.; Muharam, A.; Budiman, A.C.; Jaelani, A.Q. A comparison of hydraulic and electro-hydraulic power steering control systems for increasing energy efficiency. Evergreen 2023, 10, 1951–1960. [Google Scholar] [CrossRef]
  8. Liu, J.; Li, X.B.; Xia, M. A dynamic model for the planetary bearings in a double planetary gear set. Mech. Syst. Signal Process 2023, 194, 110257. [Google Scholar] [CrossRef]
  9. Hao, X.H.; Yuan, X.; Bai, J.L.; Li, F.G.; Qin, J. Analysis of factor affecting frequency coupling of double planetary gear system. J. Mech. Transm 2024, 44, 110–117. [Google Scholar]
  10. Li, X.Y.; Xu, Y.J.; Liu, J.; Wu, W. Vibration Analysis of the Double Row Planetary Gear System for an Electromechanical Energy Conversion System. Lubricants 2024, 12, 211. [Google Scholar] [CrossRef]
  11. Mortazavizadeh, S.A.; Ghaderi, A.; Ebrahimi, M.; Hajian, M. Recent developments in the vehicle steer-by-wire system. IEEE Trans. Transp. Electr. 2020, 6, 1226–1235. [Google Scholar] [CrossRef]
  12. Liu, Z.Y.; Xu, X.; Xie, J.; Wang, F.; Su, P.W. Variable transmission ratio design of a steer-by-wire system for intelligent vehicles. Proc. Inst. Mech. Eng. Part C J. Mech. Eng. Sci. 2022, 236, 9341–9353. [Google Scholar] [CrossRef]
  13. Wu, X.D.; Li, W.Q. Variable steering ratio control of steer-by-wire vehicle to improve handling performance. Proc. Inst. Mech. Eng. Part D J. Automob. Eng. 2020, 234, 774–782. [Google Scholar] [CrossRef]
  14. Li, Y.Y.; Yao, S.Z.; Chen, X.B.; Feng, J.B.; Ran, Q.F. Analysis of Steering Performance for Wheel-Track Composite Vehicle Based on New Differential Steering Mechanism. Int. J. Automot. Technol. 2024, 25, 789–801. [Google Scholar] [CrossRef]
  15. Li, S.T.; Liu, H.; Zhao, D.; Li, Q.Y.; Tian, Y.T.; Wang, D.J.; Yu, D.L. Adaptive Sliding Mode Control of Lateral Stability of Four Wheel Hub Electric Vehicles. Int. J. Automot. Technol. 2020, 21, 739–747. [Google Scholar] [CrossRef]
  16. Zhao, W.Z. Active Steering System. In Vehicle Steer-by-Wire System and Chassis Integration; Springer: Berlin/Heidelberg, Germany, 2022; pp. 1–59. [Google Scholar] [CrossRef]
  17. Zhang, J.; Wang, H.; Ma, M.Y.; Yu, M.; Yazdani, A.; Chen, L. Active Front Steering-Based Electronic Stability Control for Steer-by-Wire Vehicles via Terminal Sliding Mode and Extreme Learning Machine. IEEE Trans. Veh. Technol. 2020, 69, 14713–14726. [Google Scholar] [CrossRef]
  18. Li, A.J.; Yuan, W.C.; Li, S.H.; Wang, X.B.; Qiu, X.Y.; Xu, L. Design and implementation of controller for EHPS of intelligent electric bus. IEEE Access 2019, 7, 89400–89411. [Google Scholar] [CrossRef]
  19. Yang, Y.; He, Q.; Fu, C.Y.; Liao, S.P.; Tan, P. Efficiency improvement of permanent magnet synchronous motor for electric vehicles. Energy 2020, 213, 118859. [Google Scholar] [CrossRef]
  20. Wang, W.; Lu, Z.X.; Hua, W.; Wang, Z.; Cheng, M. A Hybrid Dual-Mode Control for Permanent-Magnet Synchronous Motor Drives. IEEE Access 2020, 8, 105864–105873. [Google Scholar] [CrossRef]
  21. Zhang, C.; Gan, C.; Ni, K.; Wang, S.H.; Yu, Z.Y.; Shi, H.C.; Qu, R.H. Compatible phase current reconstruction scheme for fault-tolerant five-leg dual-inverter fed open-winding permanent magnet synchronous motor. IEEE Trans. Power Electron. 2023, 38, 10073–10084. [Google Scholar] [CrossRef]
  22. Li, Y.H.; Feng, Q.L.; Zhang, Y.S.; Nan, Y.F. Dual-Motor Full-Weight Electric Power Steering System for Commercial Vehicle. Int. J. Automot. Technol. 2019, 20, 477–486. [Google Scholar] [CrossRef]
Figure 1. Double-row planetary gear structure diagram.
Figure 1. Double-row planetary gear structure diagram.
Wevj 15 00574 g001
Figure 2. Variable Gear Ratio Steering System Operational Diagram.
Figure 2. Variable Gear Ratio Steering System Operational Diagram.
Wevj 15 00574 g002
Figure 3. 3D diagram of a dual-row planetary gear.
Figure 3. 3D diagram of a dual-row planetary gear.
Wevj 15 00574 g003
Figure 4. The ring gear rotates in the same direction as the input shaft.
Figure 4. The ring gear rotates in the same direction as the input shaft.
Wevj 15 00574 g004
Figure 5. The ring gear rotates in the opposite direction to the input shaft.
Figure 5. The ring gear rotates in the opposite direction to the input shaft.
Wevj 15 00574 g005
Figure 6. Variable transmission ratio steering system vehicle model.
Figure 6. Variable transmission ratio steering system vehicle model.
Wevj 15 00574 g006
Figure 7. Diagram of the coordinate transformation 2s/2r.
Figure 7. Diagram of the coordinate transformation 2s/2r.
Wevj 15 00574 g007
Figure 8. DPMSM control block diagram.
Figure 8. DPMSM control block diagram.
Wevj 15 00574 g008
Figure 9. Torque.
Figure 9. Torque.
Wevj 15 00574 g009
Figure 10. Speed.
Figure 10. Speed.
Wevj 15 00574 g010
Figure 11. Three-phase current.
Figure 11. Three-phase current.
Wevj 15 00574 g011
Figure 12. Characteristic curve 2D graph.
Figure 12. Characteristic curve 2D graph.
Wevj 15 00574 g012
Figure 13. Characteristic curve 3D graph.
Figure 13. Characteristic curve 3D graph.
Wevj 15 00574 g013
Figure 14. Control structure diagram.
Figure 14. Control structure diagram.
Wevj 15 00574 g014
Figure 15. The representation of the entire vehicle model in MATLAB.
Figure 15. The representation of the entire vehicle model in MATLAB.
Wevj 15 00574 g015
Figure 16. Co-simulation model.
Figure 16. Co-simulation model.
Wevj 15 00574 g016
Figure 17. Front wheel steering angle at 40 km/h.
Figure 17. Front wheel steering angle at 40 km/h.
Wevj 15 00574 g017
Figure 18. Front wheel steering angular velocity at 40 km/h.
Figure 18. Front wheel steering angular velocity at 40 km/h.
Wevj 15 00574 g018
Figure 19. Front wheel steering angle at 100 km.
Figure 19. Front wheel steering angle at 100 km.
Wevj 15 00574 g019
Figure 20. Front wheel steering angular velocity at 100 km/h.
Figure 20. Front wheel steering angular velocity at 100 km/h.
Wevj 15 00574 g020
Figure 21. Steering angle of the front wheels at 40 km/h.
Figure 21. Steering angle of the front wheels at 40 km/h.
Wevj 15 00574 g021
Figure 22. Steering angular velocity of the front wheels at 40 km/h.
Figure 22. Steering angular velocity of the front wheels at 40 km/h.
Wevj 15 00574 g022
Figure 23. Steering angle of the front wheels at 100 km/h.
Figure 23. Steering angle of the front wheels at 100 km/h.
Wevj 15 00574 g023
Figure 24. Steering angular velocity of the front wheels at 100 km/h.
Figure 24. Steering angular velocity of the front wheels at 100 km/h.
Wevj 15 00574 g024
Disclaimer/Publisher’s Note: The statements, opinions and data contained in all publications are solely those of the individual author(s) and contributor(s) and not of MDPI and/or the editor(s). MDPI and/or the editor(s) disclaim responsibility for any injury to people or property resulting from any ideas, methods, instructions or products referred to in the content.

Share and Cite

MDPI and ACS Style

Ma, Y.; Fu, Z.; Zhang, X.; Zhao, D. Research on the Structure, Design, and Control of a Variable Transmission Ratio for Active Steering Systems in Commercial Vehicles. World Electr. Veh. J. 2024, 15, 574. https://doi.org/10.3390/wevj15120574

AMA Style

Ma Y, Fu Z, Zhang X, Zhao D. Research on the Structure, Design, and Control of a Variable Transmission Ratio for Active Steering Systems in Commercial Vehicles. World Electric Vehicle Journal. 2024; 15(12):574. https://doi.org/10.3390/wevj15120574

Chicago/Turabian Style

Ma, Yingkai, Zhijun Fu, Xiang Zhang, and Dengfeng Zhao. 2024. "Research on the Structure, Design, and Control of a Variable Transmission Ratio for Active Steering Systems in Commercial Vehicles" World Electric Vehicle Journal 15, no. 12: 574. https://doi.org/10.3390/wevj15120574

APA Style

Ma, Y., Fu, Z., Zhang, X., & Zhao, D. (2024). Research on the Structure, Design, and Control of a Variable Transmission Ratio for Active Steering Systems in Commercial Vehicles. World Electric Vehicle Journal, 15(12), 574. https://doi.org/10.3390/wevj15120574

Article Metrics

Back to TopTop