Plugging-In Caledonia: Location and Utilisation of Public Electric Vehicle Chargers in Scotland
Abstract
1. Introduction
- Where are Scotland’s public EV chargers currently located?
- When are Scotland’s public EV chargers typically used?
- What impact does the introduction of tariffs have on Scottish public EV charger usage?
- What characteristics do the most utilised public EV chargers in Scotland have?
2. Background
2.1. Public Charging Utilisation and Behaviour
2.2. Public EV Charging in Scotland and Socioeconomic Context

2.2.1. ChargePlace Scotland Charging Tariffs
2.2.2. Charger Technology
2.2.3. Socioeconomic Indicators in Scotland
3. Methodology
3.1. Dataset Development
3.2. Dataset Analysis
3.2.1. Public EV Charger Locations
3.2.2. Public EV Charging-Session Times
3.2.3. Public EV-Charging Tariffs
3.2.4. Characteristics of the Most Utilised Public EV Chargers
3.3. Limitations
4. Results and Discussion
4.1. Dataset Overview
4.2. Public EV Charger Location
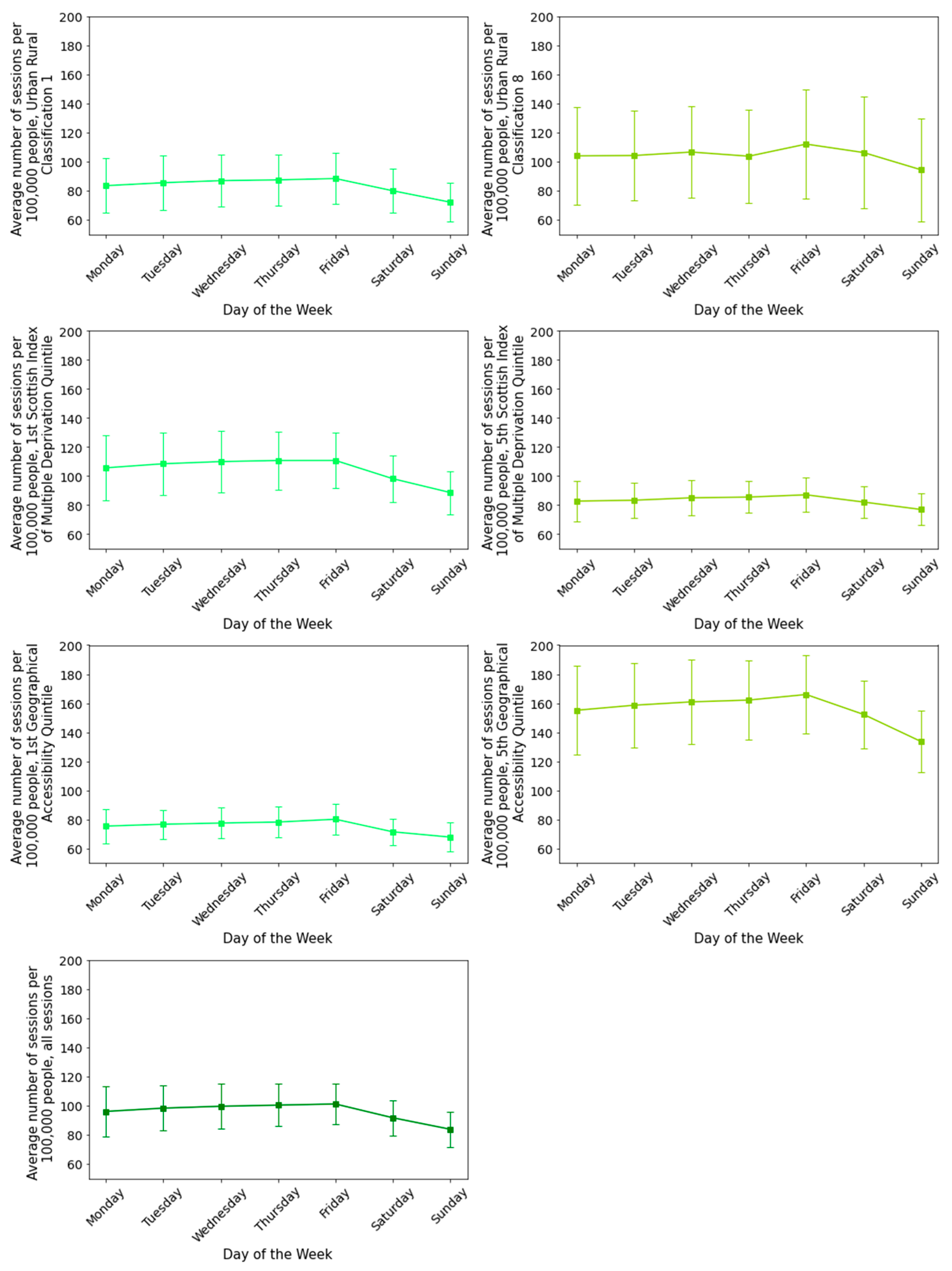
4.3. Public EV Charging-Session Times
4.4. Impact of Public EV-Charging Tariffs on Utilisation
| Local Authority (Tariff Introduced) | Average Number of Daily Sessions per 100,000 People (Sessions/100,000 People) | Average Daily Energy Consumed per 100,000 People (kWh/100,000 People) | ||||
|---|---|---|---|---|---|---|
| Pre-Tariff | Post-Tariff | Percentage Change (%) | Pre-Tariff | Post-Tariff | Percentage Change (%) | |
| Clackmannanshire (1 July 2023) [70] | 242.2 | 54.0 | −77.7 | 5369.1 | 1261.9 | −76.5 |
| East Dunbartonshire (2 October 2023) [71] | 85.4 | 38.6 | −54.8 | 1999.3 | 895.8 | −55.2 |
| East Renfrewshire (1 October 2023) [72] | 96.1 | 37.6 | −60.9 | 2380.7 | 903.8 | −62.0 |
| Glasgow City (11 April 2023) [73] | 108.4 | 49.5 | −54.3 | 2390.0 | 963.7 | −59.7 |
| North Lanarkshire (4 January 2023) [74] | 216.9 | 78.8 | −63.7 | 4851.8 | 1699.8 | −65.0 |
| Perth and Kinross (1 January 2023) [75] | 256.1 | 125.7 | −50.9 | 5260.8 | 2426.0 | −53.9 |
| Renfrewshire (1 April 2023) [76] | 198.0 | 95.0 | −52.0 | 4010.3 | 1831.9 | −54.3 |
| Shetland Islands (11 April 2023) [77] | 193.0 | 74.4 | −61.4 | 3232.9 | 1519.4 | −53.0 |
| South Lanarkshire (1 November 2022) [78] | 90.0 | 70.0 | −22.2 | 1894.6 | 1586.9 | −16.2 |
| Stirling (1 February 2023) [79] | 481.6 | 276.5 | −42.6 | 10,074.1 | 5692.9 | −43.5 |
| West Dunbartonshire (1 June 2023) [80] | 90.1 | 72.6 | −19.5 | 1542.7 | 1512.9 | −1.9 |
| West Lothian (1 February 2023) [81] | 159.5 | 71.8 | −55.0 | 3412.9 | 1397.2 | −59.1 |
4.5. Characteristics of the Most Utilised Chargers
4.5.1. Top 5% Most Utilised AC Chargers
4.5.2. Top 5% Most Utilised Rapid Chargers
4.5.3. Overview of the Most Utilised Chargers
4.6. Results Summary
5. Implications for Policy, Transport Planning, and Future Work
6. Conclusions
Author Contributions
Funding
Data Availability Statement
Acknowledgments
Conflicts of Interest
Appendix A


References
- Scottish Government. Scottish Greenhouse Gas Statistics 2022. 18 June 2024. Available online: https://www.gov.scot/publications/scottish-greenhouse-gas-statistics-2022/pages/section-b--results/ (accessed on 3 September 2024).
- Davies, K.; Hart, E.; Galloway, S. Quantifying impacts of sustainable transport interventions in Scotland: A system dynamics approach. Transp. Res. Part D Transp. Environ. 2024, 133, 104311. [Google Scholar] [CrossRef]
- Scottish Government. Stepping Up Action to Net Zero. 18 April 2024. Available online: https://www.gov.scot/news/stepping-up-action-to-net-zero/ (accessed on 19 July 2024).
- Zapmap. Zap-Map Releases Most Comprehensive Survey of EV Drivers in the UK. 19 December 2022. Available online: https://www.zap-map.com/news/zap-map-releases-ev-charging-survey (accessed on 3 September 2024).
- Hardman, S.; Fleming, K.L.; Khare, E.; Ramadan, M.M. A perspective on equity in the transition to electric vehicle. MIT Sci. Policy Rev. 2021, 2, 46–54. [Google Scholar] [CrossRef]
- Li, H.; Yu, L.; Chen, Y.; Tu, H.; Zhang, J. Uncertainty of available range in explaining the charging choice behavior of BEV users. Transp. Res. Part A Policy Pract. 2023, 170, 103624. [Google Scholar] [CrossRef]
- Hoen, F.S.; Diez-Gutierrez, M.; Babri, S.; Hess, S.; Torset, T. Charging electric vehicles on long trips and the willingness to pay to reduce waiting for charging. Stated preference survey in Norway. Transp. Res. Part A Policy Pract. 2023, 175, 103774. [Google Scholar] [CrossRef]
- Khan, H.A.U.; Price, S.; Avraam, C.; Dvorkin, Y. Inequitable access to EV charging infrastructure. Electr. J. 2022, 35, 107096. [Google Scholar] [CrossRef]
- Schulz, F.; Rode, J. Public charging infrastructure and electric vehicles in Norway. Energy Policy 2022, 160, 112660. [Google Scholar] [CrossRef]
- Wolbertus, R.; Kroesen, M.; Hoed, R.V.D.; Chorus, C.G. Policy effects on charging behaviour of electric vehicle owners and on purchase intentions of prospective owners: Natural and stated choice experiments. Transp. Res. Part D Transp. Environ. 2018, 62, 283–297. [Google Scholar] [CrossRef]
- Mortimer, B.J.; Hecht, C.; Goldbeck, R.; Sauer, D.U.; Doncker, R.W.D. Electric Vehicle Public Charging Infrastructure Planning Using Real-World Charging Data. World Electr. Veh. J. 2022, 13, 94. [Google Scholar] [CrossRef]
- Liu, X.; Sun, X.; Zheng, H.; Huang, D. Do policy incentives drive electric vehicle adoption? Evidence from China. Transp. Res. Part A Policy Pract. 2021, 150, 49–62. [Google Scholar] [CrossRef]
- Zhao, X.; Li, X.L.; Zhao, Z.; Luo, T. Media attention and electric vehicle adoption: Evidence from 275 cities in China. Transp. Res. Part A Policy Pract. 2024, 190, 104269. [Google Scholar] [CrossRef]
- Hunter, L.; Sims, R.; Galloway, S. Open Data to Accelerate the Electric Mobility Revolution: Deploying Journey Electric Vehicle Chargers in Rural Scotland. IEEE Power Energy Mag. 2023, 21, 56–67. [Google Scholar] [CrossRef]
- Makwana, B. RAC Foundation Electric Vehicle Charging in Scotland. February 2015. Available online: https://www.racfoundation.org/assets/rac_foundation/content/downloadables/Scotland_EV_Network_Final_Makwana_Feb_2015.pdf (accessed on 4 September 2024).
- Makwana, B. RAC Foundation Electric Vehicle Charge Point Usage in Scotland—August 2015 and 2016 Update. November 2016. Available online: https://www.racfoundation.org/wp-content/uploads/2017/11/Scotland_EV_Network_Makwana_Nov_16.pdf (accessed on 28 November 2024).
- Bayram, S.I.; Saad, A.; Sims, R.; Babu, A.; Edmunds, C.; Galloway, S. Statistical Characterisation of Public AC EV Chargers in the UK. IEEE Access 2016, 11, 70274–70287. [Google Scholar] [CrossRef]
- Almaghrebi, A.; Shom, S.; Juheshi, F.A.; James, K.; Alahmad, M. Analysis of user charging behavior at public charging stations. In Proceedings of the IEEE Transportation Electrification Conference and Expo (ITEC), Detroit, MI, USA, 19–21 June 2019. [Google Scholar]
- Borlaug, B.; Yang, F.; Pritchard, E.; Wood, E.; Gonder, J. Public electric vehicle charging station utilisation in the United States. Transp. Res. Part D Transp. Environ. 2023, 114, 103564. [Google Scholar] [CrossRef]
- Francfort, J. What Use Patterns Were Observed for Plug-In Electric Vehicle Drivers at Publicly Accessible Alternating Current Level 2 Electric Vehicle Supply Equipment Sites? Idaho National Laboratory: Idaho Falls, ID, USA, 2015. [Google Scholar]
- Mortimer, B.J.; Bach, A.D.; Hecht, C.; Sauer, D.U.; Doncker, R.W.D. Public Charging Infrastructure in Germany—A Utilization and Profitability Analysis. J. Mod. Power Syst. Clean Energy 2022, 10, 1750–1760. [Google Scholar] [CrossRef]
- Wolbertus, R.; Hoed, R.V.D.; Maase, S. Benchmarking Charging Infrastructure Utilization. World Electr. Veh. J. 2016, 8, 754–771. [Google Scholar] [CrossRef]
- Wolbertus, R.; Kroesen, M.; Hoed, R.V.D.; Chorus, C. Fully charged: An empirical study into the factors that influence connection times at EV-charging stations. Energy Policy 2018, 123, 1–7. [Google Scholar] [CrossRef]
- Weldon, M.; O’Mahony, M. Future standard and fast charging infrastructure planning: An analysis of electric vehicle charging behaviour. Energy Policy 2016, 89, 257–270. [Google Scholar] [CrossRef]
- Akil, M.; Kilic, E.; Bayindir, R.; Sebati, A.; Malek, R. Uncoordinated Charging Profile of EVs Based on An Actual Charging Session Data. In Proceedings of the 10th IEEE International Conference on Renewable Energy Research and Applications, Istanbul, Turkey, 26–29 September 2021. [Google Scholar] [CrossRef]
- Ma, T.-Y.; Faye, S. Multistep electric vehicle charging station occupancy prediction using hybrid LSTM neural networks. Energy 2022, 244, 123217. [Google Scholar] [CrossRef]
- Orzechowski, A.; Lugosch, L.; Shu, H.; Yang, R.; Li, W. A data-driven framework for medium-term electric vehicle charging demand forecasting. Energy AI 2023, 14, 100267. [Google Scholar] [CrossRef]
- Golsefidi, A.H.; Hüttel, F.B.; Peled, I.; Samaranayake, S.; Pereira, F.C. A joint machine learning and optimization approach for incremental expansion of electric vehicle charging infrastructure. Transp. Res. Part A Policy Pract. 2023, 178, 103863. [Google Scholar] [CrossRef]
- UK Government. Vehicle Licensing Statistics Data Tables. Driver and Vehicle Licensing Agency, 24 May 2022. Available online: https://www.gov.uk/government/statistical-data-sets/vehicle-licensing-statistics-data-tables (accessed on 18 August 2023).
- ChargePlace Scotland. Monthly Charge Point Performance. 2024. Available online: https://chargeplacescotland.org/monthly-charge-point-performance/ (accessed on 27 September 2024).
- LaMonaca, S.; Ryan, L. The state of play in electric vehicle charging services—A review of infrastructure provision, players, and policies. Renew. Sustain. Energy Rev. 2022, 154, 111733. [Google Scholar] [CrossRef]
- International Energy Agency. Global EV Outlook 2024: Trends in Electric Vehicle Charging. April 2024. Available online: https://www.iea.org/reports/global-ev-outlook-2024/trends-in-electric-vehicle-charging (accessed on 28 November 2024).
- GridX. European EV Charging Report 2024. 2024. Available online: https://www.gridx.ai/resources/european-ev-charging-report-2024 (accessed on 28 November 2024).
- International Energy Agency. Global EV Outlook 2021: Trends and Developments in Electric Vehicle Markets. April 2021. Available online: https://www.iea.org/reports/global-ev-outlook-2021/trends-and-developments-in-electric-vehicle-markets (accessed on 28 November 2024).
- ChargePlace Scotland. ChargePlace Scotland. Transport Scotland. 2022. Available online: https://chargeplacescotland.org/ (accessed on 27 September 2022).
- Edwards, J. EV Charging Statistics 2024. Zapmap, 4 July 2024. Available online: https://www.zap-map.com/ev-stats/how-many-charging-points (accessed on 19 July 2024).
- Scottish Futures Trust. Public EV Charging in Scotland: Insight Report on Tariffs. November 2022. Available online: https://www.scottishfuturestrust.org.uk/storage/uploads/publicevcharginginscotlandinsightreportontariffsnovember2022.pdf (accessed on 19 July 2024).
- Scotland’s Census. Scotland’s Census 2022—Rounded Population Estimates—Data. National Statistics, 14 September 2023. Available online: https://www.scotlandscensus.gov.uk/2022-results/scotland-s-census-2022-rounded-population-estimates/ (accessed on 4 September 2024).
- GADM. Browse Maps by Country. 2021. Available online: https://gadm.org/maps.html (accessed on 16 December 2021).
- East Ayrshire Council. Electric Vehicle Charging Tariffs to be Introduced in East Ayrshire from 1 April. 1 February 2024. Available online: https://newsroom.east-ayrshire.gov.uk/news/electric-vehicle-charging-tariffs-to-be-introduced-in-east-ayrshire-from-1-april (accessed on 11 September 2024).
- South Ayrshire Council. Ayrshire’s New Public EV Charging Tariff. 2024. Available online: https://www.south-ayrshire.gov.uk/article/61111/Ayrshire-s-new-public-EV-charging-tariff (accessed on 11 September 2024).
- East Lothian Council. New Off-Peak Charge Tariffs for EVs. 15 February 2023. Available online: https://www.eastlothian.gov.uk/news/article/13999/drivers_encouraged_to_charge_off-peak (accessed on 14 August 2024).
- Improvement Service Spatial Hub. Local Authority Boundaries – Scotland. 2023. Available online: https://data.spatialhub.scot/dataset/local_authority_boundaries-is (accessed on 9 December 2024).
- eDF. Electric Car Charging Points. 2021. Available online: https://www.edfenergy.com/electric-cars/charging-points (accessed on 12 October 2021).
- Cenex and Innovate UK. EV Charging in Car Parks. 2 April 2019. Available online: https://www.cenex.co.uk/app/uploads/2019/11/IUK-Car-Park-Study-V2.0-FINAL-marketing-version.pdf (accessed on 11 September 2024).
- Cenex. Operating and Charging. 2024. Available online: https://bett.cenex.co.uk/guidance/costs (accessed on 11 September 2024).
- Scottish Government. Scottish Index of Multiple Deprivation 2020. Scottish Government & Ordnance Survey. 2020. Available online: https://simd.scot/#/simd2020/BTTTFTT/12.740929652757556/-4.1798/55.8498/ (accessed on 26 July 2024).
- Scottish Government. Scottish Government Urban Rural Classification 2020. 31 May 2022. Available online: https://www.gov.scot/publications/scottish-government-urban-rural-classification-2020/pages/2/ (accessed on 31 July 2024).
- Office for National Statistics. SIMD 2020 Technical Notes. 2020. Available online: https://www.gov.scot/binaries/content/documents/govscot/publications/statistics/2020/09/simd-2020-technical-notes/documents/simd-2020-technical-notes/simd-2020-technical-notes/govscot%3Adocument/SIMD%2B2020%2Btechnical%2Bnotes.pdf (accessed on 31 July 2024).
- Philip, L.; Wilson, R.; Duffy, P. Rurality, islandness and public policy in Scotland. Scott. Geogr. J. 2024, 140, 113–135. [Google Scholar] [CrossRef]
- Transport Scotland. Transport and Travel in Scotland 2022. 28 February 2024. Available online: https://www.transport.gov.scot/publication/transport-and-travel-in-scotland-2022/ (accessed on 31 July 2024).
- Electric Vehicle Database. Useable Battery Capacity of Electric Vehicles. 2024. Available online: https://ev-database.org/uk/cheatsheet/useable-battery-capacity-electric-car (accessed on 9 September 2024).
- ChargePlace Scotland. Charge Point Tariffs. 2024. Available online: https://chargeplacescotland.org/charge-point-tariffs/ (accessed on 9 September 2024).
- Scottish Government. Urban Rural Classification—Scotland. 31 May 2022. Available online: https://spatialdata.gov.scot/geonetwork/srv/api/records/564db46c-3153-423c-ac84-90d41ec2652c (accessed on 12 October 2024).
- Scottish Government. Scottish Index of Multiple Deprivation (SIMD) 2020. 4 October 2021. Available online: https://spatialdata.gov.scot/geonetwork/srv/api/records/02866b0b-66e5-46ab-9b1c-d433dc3c2fae (accessed on 12 October 2024).
- Esri. Resources for ArcMap. 2024. Available online: https://www.esri.com/en-us/arcgis/products/arcgis-desktop/resources (accessed on 28 October 2024).
- Esri. Spatial Join (Analysis). 2024. Available online: https://pro.arcgis.com/en/pro-app/latest/tool-reference/analysis/spatial-join.htm (accessed on 10 October 2024).
- Scottish Government. SIMD Rank to Quintile, Decile, and Vigintile. 28 February 2020. Available online: https://www.gov.scot/publications/simd-rank-to-quintile-decile-and-vigintile/ (accessed on 10 September 2024).
- Dodge, Y. Kolmogorov–Smirnov Test. In The Concise Encyclopedia of Statistics; Springer: New York, NY, USA, 2008. [Google Scholar] [CrossRef]
- Esri. Geoplan Postcode Data. ArcGIS. Available online: https://hub.arcgis.com/pages/fdf7e193eb5043efb7d3d6bba8535f28 (accessed on 31 July 2024).
- Office for National Statistics. Postal Geographies. 3 January 2023. Available online: https://www.ons.gov.uk/methodology/geography/ukgeographies/postalgeography (accessed on 31 July 2024).
- Scottish Government. Scottish Index of Multiple Deprivation 2020: Introduction; How Can I Use SIMD? 28 January 2020. Available online: https://www.gov.scot/publications/scottish-index-multiple-deprivation-2020/pages/4/ (accessed on 10 September 2024).
- Scottish Government. Scottish Index of Multiple Deprivation 2020. National Statistics, 28 January 2020. Available online: https://www.gov.scot/news/scottish-index-of-multiple-deprivation-2020/ (accessed on 10 September 2024).
- Fischbacher, C.M. “Identifying Deprived Individuals”: Are There Better Alternatives to the Scottish Index of Multiple Deprivation (SIMD) for Socioeconomic Targeting in Individually Based Programmes Addressing Health Inequalities in Scotland? Available online: https://www.scotpho.org.uk/media/1166/scotpho140109-simd-identifyingdeprivedindividuals.pdf (accessed on 10 September 2024).
- Thomson, J. SIMD Rural deprivation: Evidence Summary. November 2016. Available online: https://www.gov.scot/binaries/content/documents/govscot/publications/research-and-analysis/2017/02/scottish-index-of-multiple-deprivation-rural-deprivation-evidence-and-case-studies/documents/rural-deprivation-an-evidence-review/rural-deprivation-an-evide (accessed on 10 September 2024).
- National Records of Scotland. Population Estimates by Urban Rural Classification (2011 Data Zone Based). 1 September 2022. Available online: https://www.nrscotland.gov.uk/publications/population-estimates-by-urban-rural-classification-2011-data-zone-based/ (accessed on 9 December 2024).
- National Records of Scotland. Table 9: Land Area and Population Density by Administrative Area, Mid-2017. 30 June 2017. Available online: https://web.archive.org/web/20190608025833/https://www.nrscotland.gov.uk/files/statistics/population-estimates/mid-17/tables/mid-year-pop-est-17-tab-9.pdf (accessed on 26 September 2024).
- UK Government. Seasonal Variations in Electricity Demand; March 2014. Available online: https://assets.publishing.service.gov.uk/media/5a7ba36540f0b645ba3c59b2/Seasonal_variations_in_electricity_demand.pdf (accessed on 8 August 2024).
- Thingvad, A.; Andersen, B.; Unterluggauer, T.; Træholt, C.; Marinelli, M. Electrification of personal vehicle travels in cities—Quantifying the public charging demand. eTransportation 2021, 9, 100125. [Google Scholar] [CrossRef]
- ChargePlace Scotland. Clackmannanshire Council. 2023. Available online: https://chargeplacescotland.org/clackmannanshire-council/ (accessed on 5 October 2024).
- East Dunbartonshire Council. Electronic Vehicle Charging—Tariffs to be Introduced in East Dunbartonshire. 14 September 2023. Available online: https://www.eastdunbarton.gov.uk/news/2023/september-2023/electronic-vehicle-charging-tariffs-to-be-introduced-in-east-dunbartonshire/ (accessed on 9 December 2024).
- East Renfrewshire Council. Electric Vehicle Charging Tariffs to be Introduced in East Renfrewshire. 1 September 2023. Available online: https://www.eastrenfrewshire.gov.uk/article/6101/Electric-vehicle-charging-tariffs-to-be-introduced-in-East-Renfrewshire (accessed on 5 October 2024).
- Glasgow City Council. Electric Vehicle Charging. 2023. Available online: https://www.glasgow.gov.uk/article/2393/Electric-Vehicle-Charging (accessed on 5 October 2024).
- North Lanarkshire Council. Tariffs to be Introduced for Public EV Chargers. 10 November 2022. Available online: https://www.northlanarkshire.gov.uk/news/tariffs-be-introduced-public-ev-chargers (accessed on 5 October 2024).
- Perth and Kinross Council. Introduction of Charging for Electric Vehicles. 24 August 2022. Available online: https://perth-and-kinross.cmis.uk.com/perth-and-kinross/Document.ashx?czJKcaeAi5tUFL1DTL2UE4zNRBcoShgo=mr85pgBMoOLby2wgRtez3mA65lzmRvdZA%2FL4Vmk%2FlOWt4bw%2BF6hywA%3D%3D&rUzwRPf%2BZ3zd4E7Ikn8Lyw%3D%3D=pwRE6AGJFLDNlh225F5QMaQWCtPHwdhUfCZ%2FLUQzgA2uL5jNRG4jdQ%3D%3D&mCTIbCubSFfXsDGW9IXnlg%3D%3D=hFflUdN3100%3D&kCx1AnS9%2FpWZQ40DXFvdEw%3D%3D=hFflUdN3100%3D&uJovDxwdjMPoYv%2BAJvYtyA%3D%3D=ctNJFf55vVA%3D&FgPlIEJYlotS%2BYGoBi5olA%3D%3D=NHdURQburHA%3D&d9Qjj0ag1Pd993jsyOJqFvmyB7X0CSQK=ctNJFf55vVA%3D&WGewmoAfeNR9xqBux0r1Q8Za60lavYmz=ctNJFf55vVA%3D&WGewmoAfeNQ16B2MHuCpMRKZMwaG1PaO=ctNJFf55vVA%3D (accessed on 9 December 2024).
- ChargePlace Scotland. 1st April Tariff Update. 17 March 2023. Available online: https://chargeplacescotland.org/tariff/1st-april-tariff-update/ (accessed on 5 October 2024).
- Shetland Islands Council. Electric Vehicle Charging Tariffs from 11th April 2023. 5 April 2023. Available online: https://www.shetland.gov.uk/news/article/2496/electric-vehicle-charging-tariffs-from-11th-april-2023 (accessed on 5 October 2024).
- South Lanarkshire Council. Electric Vehicle Charging. 2024. Available online: https://www.southlanarkshire.gov.uk/info/200229/parking_and_car_parks/2003/electric_vehicle_charging/2 (accessed on 5 October 2024).
- Stirling Council. Electric Vehicle Charging Tariff to be Introduced to Support Demand. 27 January 2023. Available online: https://www.stirling.gov.uk/news/electric-vehicle-charging-tariff-to-be-introduced-to-support-demand/ (accessed on 5 October 2024).
- West Dunbartonshire Council. New Electric Charging Tariff to be Introduced in West Dunbartonshire. 10 May 2023. Available online: https://www.west-dunbarton.gov.uk/council/newsroom/news/2023/may/electric-charging-tariff/ (accessed on 5 October 2024).
- West Lothian Council. New Electric Car Vehicle Charging Tariffs Now in Place. 1 February 2023. Available online: https://www.westlothian.gov.uk/article/77133/New-electric-car-vehicle-charging-tariffs-now-in-place (accessed on 5 October 2024).
- Transport Scotland. A Route Map to Achieve a 20 per Cent Reduction in Car Kilometres by 2030; Transport Scotland: Edinburgh, UK, 2022. [Google Scholar]
- de Haas, M.; Terwindt, M.; Witte, J.-J. Pricing Tools: Better as a Package? How Pricing and Other Tools Influence the Choice for Public Transport; Netherlands Institute for Transport Policy Analysis KiM and Ministry of Infrastructure and Water Management: The Hague, The Netherlands, 2023. [Google Scholar]




























| Type of Charging Sessions | Number of Charging Sessions | Number of Unique Chargers |
|---|---|---|
| All sessions before data cleansing | 3,120,526 | 3543 |
| All sessions after data cleansing | 2,705,585 | 2786 |
| Urban–Rural Classification 1 sessions | 885,965 | 809 |
| Urban–Rural Classification 8 sessions | 81,323 | 201 |
| Scottish Index of Multiple Deprivation 1st quintile sessions | 567,517 | 525 |
| Scottish Index of Multiple Deprivation 5th quintile sessions | 485,238 | 377 |
| Geographical Accessibility Index 1st quintile sessions | 430,052 | 621 |
| Geographical Accessibility Index 5th quintile sessions | 870,716 | 794 |
| Paid for sessions | 1,514,981 | 2426 |
Disclaimer/Publisher’s Note: The statements, opinions and data contained in all publications are solely those of the individual author(s) and contributor(s) and not of MDPI and/or the editor(s). MDPI and/or the editor(s) disclaim responsibility for any injury to people or property resulting from any ideas, methods, instructions or products referred to in the content. |
© 2024 by the authors. Published by MDPI on behalf of the World Electric Vehicle Association. Licensee MDPI, Basel, Switzerland. This article is an open access article distributed under the terms and conditions of the Creative Commons Attribution (CC BY) license (https://creativecommons.org/licenses/by/4.0/).
Share and Cite
Davies, K.; Hart, E.; Galloway, S. Plugging-In Caledonia: Location and Utilisation of Public Electric Vehicle Chargers in Scotland. World Electr. Veh. J. 2024, 15, 570. https://doi.org/10.3390/wevj15120570
Davies K, Hart E, Galloway S. Plugging-In Caledonia: Location and Utilisation of Public Electric Vehicle Chargers in Scotland. World Electric Vehicle Journal. 2024; 15(12):570. https://doi.org/10.3390/wevj15120570
Chicago/Turabian StyleDavies, Kathleen, Edward Hart, and Stuart Galloway. 2024. "Plugging-In Caledonia: Location and Utilisation of Public Electric Vehicle Chargers in Scotland" World Electric Vehicle Journal 15, no. 12: 570. https://doi.org/10.3390/wevj15120570
APA StyleDavies, K., Hart, E., & Galloway, S. (2024). Plugging-In Caledonia: Location and Utilisation of Public Electric Vehicle Chargers in Scotland. World Electric Vehicle Journal, 15(12), 570. https://doi.org/10.3390/wevj15120570

