Next Article in Journal
Analysis of the Thermal Runaway Mitigation Performances of Dielectric Fluids During Overcharge Abuse Tests of Lithium-Ion Cells with Lithium Titanate Oxide Anodes
Next Article in Special Issue
Plugging-In Caledonia: Location and Utilisation of Public Electric Vehicle Chargers in Scotland
Previous Article in Journal
Transitioning to Electric UTVs: Implications for Assembly Tooling
Previous Article in Special Issue
An Activity Network Design and Charging Facility Planning Model Considering the Influence of Uncertain Activities in a Game Framework
 
 
Font Type:
Arial Georgia Verdana
Font Size:
Aa Aa Aa
Line Spacing:
Column Width:
Background:
Article

Determining Volt/Var Characteristics of Electric Vehicle Charging Station Inverters for Voltage Regulation in Distribution Networks

1
Mining Industry Digital Transformation Lab, Kuzbass State Technical University named after T.F. Gorbachev, 650000 Kemerovo, Russia
2
Microgrid Management Department, LLC “RTSoft—SG”, 105264 Moscow, Russia
3
Department of Research on the Relationship between Energy and the Economy, Energy Research Institute of the Russian Academy of Sciences, 117186 Moscow, Russia
*
Author to whom correspondence should be addressed.
World Electr. Veh. J. 2024, 15(12), 553; https://doi.org/10.3390/wevj15120553
Submission received: 27 October 2024 / Revised: 18 November 2024 / Accepted: 25 November 2024 / Published: 27 November 2024

Abstract

In this paper, a method for determining the parameters of the Volt/Var characteristics of inverters of electric vehicle charging stations to regulate voltage in distribution networks is proposed, which differs from the existing ones by taking into account the possibility of the joint control of active and reactive power and the impedance of the power distribution line. The method proposed in this paper allows researchers to determine the slope and width of the dead band of the Volt/Var characteristics according to the criterion of limiting the maximum voltage deviations to an acceptable value or maximizing the reactive power of the inverter upon reaching a specified voltage. To test this method, a quasi-dynamic modeling of the distribution network with electric vehicle charging stations regulating voltage using the Volt/Var characteristics was performed. Based on the modeling results, it is shown that fast electric vehicle charging stations can be used to regulate voltage in the distribution network with relatively minor constraints on the charging active power.

1. Introduction

The most important condition for ensuring reliability is the balance and controllability of the power system operating mode for reactive power in all circuit-mode situations. According to the methodological guidelines for the application of the main technical solutions for the operation, reconstruction, and new construction of electric grid facilities in PJSC “Rosseti Moscow Region”, it is necessary to equip electric networks with reactive power compensation (RPC) devices, including those controlled on the basis of converter technology of new types of controlled reactive power compensation and voltage regulation devices using power electronics. This solution can improve the controllability of 0.4–20 kV distribution networks, improve the power quality and reduce power losses. However, at present, RPC in urban and suburban distribution networks is relatively rare. Meanwhile, a large number of studies show the potential of this technical solution.
For example, in [1], a “deep” RPC at the level of 0.4 kV in urban and suburban distribution networks was considered, with the RPC devices located at the ends of 0.4 kV feeders. The authors showed that with a full RPC, an economic effect of more than 130,000 dollars can be achieved.
In [2], the problem of optimal placement of the RPC devices in a low-voltage distribution network with photovoltaic power plants was addressed. It was shown that with optimal RPC, annual energy losses can be reduced by 38.5%.
Paper [3] highlighted the potential of implementing a reactive power compensation system in the distribution networks of PJSC “Rosseti Lenenergo” to reduce active power losses, minimize voltage fluctuations, and relieve network elements. Paper [4] presented a brief report on the implementation of R&D “Reactive Power Compensation in the Distribution Network” (PJSC “MOESK”). As a result of the R&D, 63 reactive power compensation devices of 0.4 kV and 6–10 kV were installed, with a total capacity of 10.2 Mvar. The authors noted the high efficiency of the reactive power compensation system in distribution networks; for individual transformer substations, the maximum expected technical effect of loss reduction reached approximately 408.3 MWh per year.
In [5], the problem of RPC in urban distribution networks was considered. The authors noted that the regulatory documents governing the procedure for determining the estimated loads of urban electricity consumers over the past decades have not been updated and do not reflect actual electricity consumption. Based on experimental studies conducted by the authors, it was shown that the reactive power factor of multi-storey residential buildings can exceed the standardized values by 1.5–3 times. Based on their analysis, the authors proposed to include recommendations for implementing the reactive power factor in the current regulatory documents for designing urban electrical networks.
In [6], an analysis of reactive power factor values for several 6–10 kV connections in the distribution network was conducted. As a result of the analysis, it was found that tg φ exceeds the standard values for 60% of the feeders considered. The authors noted the issue of consumers neglecting the requirements for reactive power consumption.
At the same time, there is currently an active expansion of the electric vehicle (EV) charging infrastructure. The operation of electric vehicle charging stations (EVCSs) can negatively impact power quality in urban distribution networks due to the relatively high power of fast EVCSs, which can reach several hundred kilowatts per charging port.
A considerable number of studies are devoted to examining the impact of EV charging station operation on the power quality in distribution networks. For example, in [7], based on the modeling results, it was shown that the presence of EVCSs significantly increases the probability of unacceptable voltage deviations in the 10 kV distribution network. In [8], it was concluded that with charging stations at 60% of consumers of the low-voltage distribution network, voltage deviations can average approximately −9%, briefly reaching values of −20% or more. In [9], it was shown that the simultaneous charging of six EVs at a fast EVCS leads to an unacceptable decrease in voltage at the most remote substation in the distribution network. In [10], it was noted that when EV penetration approaches 50% with uncontrolled charging, maximum voltage deviations and electricity losses in the distribution network can increase by 30% and 25%, respectively.
At the same time, an EVCS represents a controllable load. EVCS inverters allow the flexible regulation of both active and reactive power (if an active front end is available). In this case, active power control can be implemented without harm to the EV owners by using the EV downtime after charging is complete, and the reactive power control of a fast EVCS can be implemented even in the absence of EVs [11], turning the EVCS into a full-fledged RPC device.
For example, paper [12] considered the use of medium- and heavy-duty EVs for RPC. To limit voltage deviations and reduce power losses in the electric grid, the authors proposed using up to 20% of the nominal power of the EVCS inverters to generate reactive power during the charging of the EV. According to the calculation results, it was found that RPC using a charging hub with an installed capacity of 1.2 MW can reduce voltage deviations by 15.13% and power losses by 11.73%.
In [9], a charging hub with a common DC bus for six charging ports was simulated in the Matlab/Simulink environment. The results of simulating the simultaneous charging of six EVs with and without RPC with the charging hub inverter were presented. It was shown that by controlling the reactive power of the inverter, it is possible to maintain a specified voltage level at the connection point of the charging hub during the entire EV charging process.
In [13], an algorithm for controlling active and reactive power when using home DC charging stations with active bidirectional converters was presented. The authors noted that the proposed approach will allow distribution system operators to reduce the costs of installing voltage and reactive power control devices in distribution networks by using the capabilities of controllable DC charging station converters.
It is also important to note that regulating the reactive power of the EV charging station does not negatively impact EV batteries [14], unlike V2G technology, which involves discharging EV batteries to inject active power into the network. As noted in [15], V2G technology significantly affects EV battery wear.
The need to develop new approaches to analyze and manage the operating modes of electrical networks with the widespread penetration of active consumers (including EV charging stations), energy storage systems, and distributed generation has been highlighted by many authors, for example, in works [16,17,18,19], which is due to the significant influence of these elements on the power quality and the reliability of electrical networks.
The purpose of this work is to assess the potential of using EVCS inverters to control voltage and reactive power to improve the power quality in urban distribution networks, as well as to develop an approach for determining the optimal parameters of the EVCS reactive power control system.

2. Problem Statement

According to IEEE 1547–2018, smart inverters of distributed energy resources (DERs) must be able to participate in distribution grid voltage control. Voltage control by inverters is possible in five modes: maintaining a specified power factor; maintaining a specified reactive power; Watt/Var regulation; Volt/Var regulation; and Volt/Watt regulation. The minimum reactive power injection and absorption capability of the inverter must be 44% for the overexcitation mode and between 25% and 44% in the underexcitation mode of the inverter nameplate apparent power for DER categories A and B, respectively. Additionally, to ensure the minimum required level of reactive power, the limitation of the active power of the inverter is allowed.
The control modes with a constant power factor and Watt/Var regulation can be implemented only during EV charging (while consuming active power) and will lead to a limitation of the charging power regardless of the actual voltage level in the network and the actual need for voltage regulation. In the Volt/Watt regulation mode, the actual voltage at the point of connection of the inverter is taken into account; however, since the only control action is the limitation of the active power, this control method can also lead to excessively long limitations of the charging power of the EVCS. In this regard, the method of voltage regulation using the Volt/Var characteristic is of particular interest, since, in this case, the actual voltage level at the point of connection of the inverter is taken into account, regulation is possible both during EV charging and during EVCS downtime, and active power limitations can be avoided.
The Volt/Var characteristic is the dependence of the reactive power of the inverter on the voltage level at the connection point. In fact, the inverter operates in a mode similar to the STATCOM operating mode [20]. The Volt/Var characteristic can be defined by the coordinates of four points in the QU-plane (U1U4, Q1Q4) or by the slope (m) and the width of the deadband (d) (Figure 1).
IEEE 1547-2018 provides standard Volt/Var characteristics for category A and B inverters (Figure 1); however, it does not provide a methodology for calculating the parameters of this characteristic. Standard Volt/Var characteristics are also introduced in national standards of different countries. In [21], it is shown that Volt/Var characteristics from the standards of Denmark, Australia, Austria, Italy, and Germany significantly differ from each other: the minimum required reactive power of the inverter varies from 25% to 50% of the rated apparent power, and the deadband width of the characteristic varies from 0% to 15%.
The use of Volt/Var characteristics for voltage regulation has been widely discussed in the literature. However, the majority of works are devoted to the study of methods for regulating the voltage of residential photovoltaic power plants (PV). In a number of such works, the authors compare several variants of Volt/Var characteristics with different slopes and deadband widths. For example, in [22], 360 variants of Volt/Var characteristics of PV were compared for five different models of low-voltage distribution networks. It was shown that the number of variants of Volt/Var characteristics that provide satisfactory voltage regulation depends on the parameters of the distribution network and the total connected capacity of the PV [23]. The authors noted that the Volt/Var characteristics obtained in the work provide more efficient regulation of voltage and reactive power compared to the standard characteristic.
In many works, the coordinates of the Volt/Var characteristics are determined as a result of optimization. For example, in [24], a genetic algorithm was used to adjust the Volt/Var characteristics of photovoltaic power plants. The Volt/Var characteristics were determined by minimizing voltage deviations, power losses, and maximum reactive power. Moreover, the best effect was obtained when using the same weights for the specified factors. The authors also noted the need to update the Volt/Var characteristics at least four times per year.
In [25], the Slime Mould Algorithm optimization method was used to adjust the Volt/Var characteristics of the PV. It was shown that the optimization of the Volt/Var characteristics allows the hosting capacity of the PV to be increased by 103.58% and voltage deviations to be reduced by 72.26% compared to using the standard Volt/Var characteristic according to IEEE 1547-2018.
In [26], the optimization of the Volt/Var characteristics of the solar power plant was considered using the Sparrow Search Algorithm optimization method according to the criterion of minimizing voltage deviations, negative and zero sequence voltage unbalance factors, and the number of on-load tap changer (OLTC) switching operations of the power transformer at the power center. As a result of the optimization of the Volt/Var characteristics of photovoltaic power plants, it was possible to reduce the maximum voltage deviations from 2.83% to 2.47%, the voltage unbalance factors for the negative and zero sequences from 3.32% to 2.47% and from 3.16% to 2.52%, respectively, and the number of OLTC switching operations from 122 to 16.
An analytical study of the factors influencing the Volt/Var characteristics of the PV, as well as the formulation of methods for calculating the Volt/Var characteristics, has been considered in a relatively small number of works. For example, in [27], it was shown that when assessing the influence of the PV on the operating mode of the distribution network, the short-circuit power and the X/R ratio at the point of connection of the PV should be taken into account. The lower the short-circuit power and the X/R ratio, the greater the influence of the PV on voltage deviations in the distribution network.
In [28], depending on the complexity and volume of available information about the distribution network, three methods were proposed for adjusting the reactive power control algorithms of the PV inverters. In the absence of information about the distribution network, the standard Volt/Var characteristic according to IEEE 1547 should be used (the first method). The second method involves adjusting the characteristic depending on the actual range of voltage change at the point of connection of the PV. According to the third method, simulation modeling methods should be used to determine the parameters of the Volt/Var characteristic.
In [29], a calculation method was proposed to determine the Volt/Var parameters of the PV characteristics. The deadband width of the characteristic was determined by the change in voltage at the point of connection of the inverter when the PV operates with maximum active power, and to determine the slope of the characteristic, the voltage deviation at the point of connection of the inverter when the PV operates with maximum reactive power was used.
Currently, the use of Volt/Var characteristics for voltage regulation is considered in sufficient detail using the example of photovoltaic power plants, and the parameters of the characteristics are mainly determined in the optimization process. Determining the optimal parameters of Volt/Var characteristics is the most accurate approach; however, it is too complicated for practical use, and the existing calculation methods for determining the parameters of Volt/Var characteristics of PV do not take into account the specifics of the operation of EVCS, which necessitates their revision.
The voltage control potential is significantly affected by the type of EV charging station (slow or fast). Voltage control using AC home EVCSs in extended suburban electric networks may be more effective than using fast EVCSs. This is due to the widespread problem of voltage deviation in extended branched 0.4 kV networks, as well as a fairly high voltage sensitivity of such network nodes to changes in reactive power. However, as a rule, AC home EVCSs do not have the technical capability to regulate reactive power. The converter is located on the EV board (on-board charger) and is often not equipped with an active front end required to control reactive power. In addition, the converter is connected to the electric grid only when the EV is connected to the EVCS, which excludes voltage regulation during EV downtime. However, it should be noted that there are bidirectional home DC charging stations (for example, Wallbox Quasar [30]) that have their own active rectifier, which can be used to control the active and reactive power of the EVCS. However, these charging stations are not widely used and are more expensive than standard AC home charging stations.
The converter of fast DC charging stations is constantly connected to the electric grid, which allows for regulation even in the absence of the EV. However, as shown in [11], in typical configurations of DC charging stations up to 350 kW, passive rectifiers are usually used, which limits the possibilities of their use for providing services for managing the operating modes of distribution networks.
Thus, at present, there are technical limitations for the participation of fast and slow type EVCSs in the control of distribution network operating modes. Equipping EVCSs with an active front end will allow not only to control reactive power, but also to operate in the mode of an energy storage system, frequency control, harmonics filtering, and load balancing [11]. The use of modern active front-end rectifiers in EV charging stations can enhance grid management capabilities while simultaneously increasing the efficiency of EV charging, as highlighted in [31].
The existing algorithms for the analytical determination of the Volt/Var characteristics parameters have been developed for low-power PVs connected to branched low-voltage distribution networks and cannot be fully used for organizing voltage regulation by fast EVCSs since they do not take into account a number of important features, namely, the limitation of the inverter active power when determining the required reactive power value and the impedance of the inverter supply cable. Fast EVCSs can be very energy-intensive consumers and when regulating voltage together with reactive power injection, it may also be necessary to limit the active power, which must be taken into account when determining the Volt/Var characteristic parameters. In addition, fast EVCSs are usually connected to the point of common coupling via a supply cable, the impedance of which must be taken into account when it is necessary to regulate the voltage at the point of common coupling. Taking into account the listed features requires conducting a scientific study in order to adjust the existing algorithm for determining the Volt/Var characteristics parameters, as well as to determine the effect of EVCS voltage control on EV charging congestions.

3. Materials and Methods

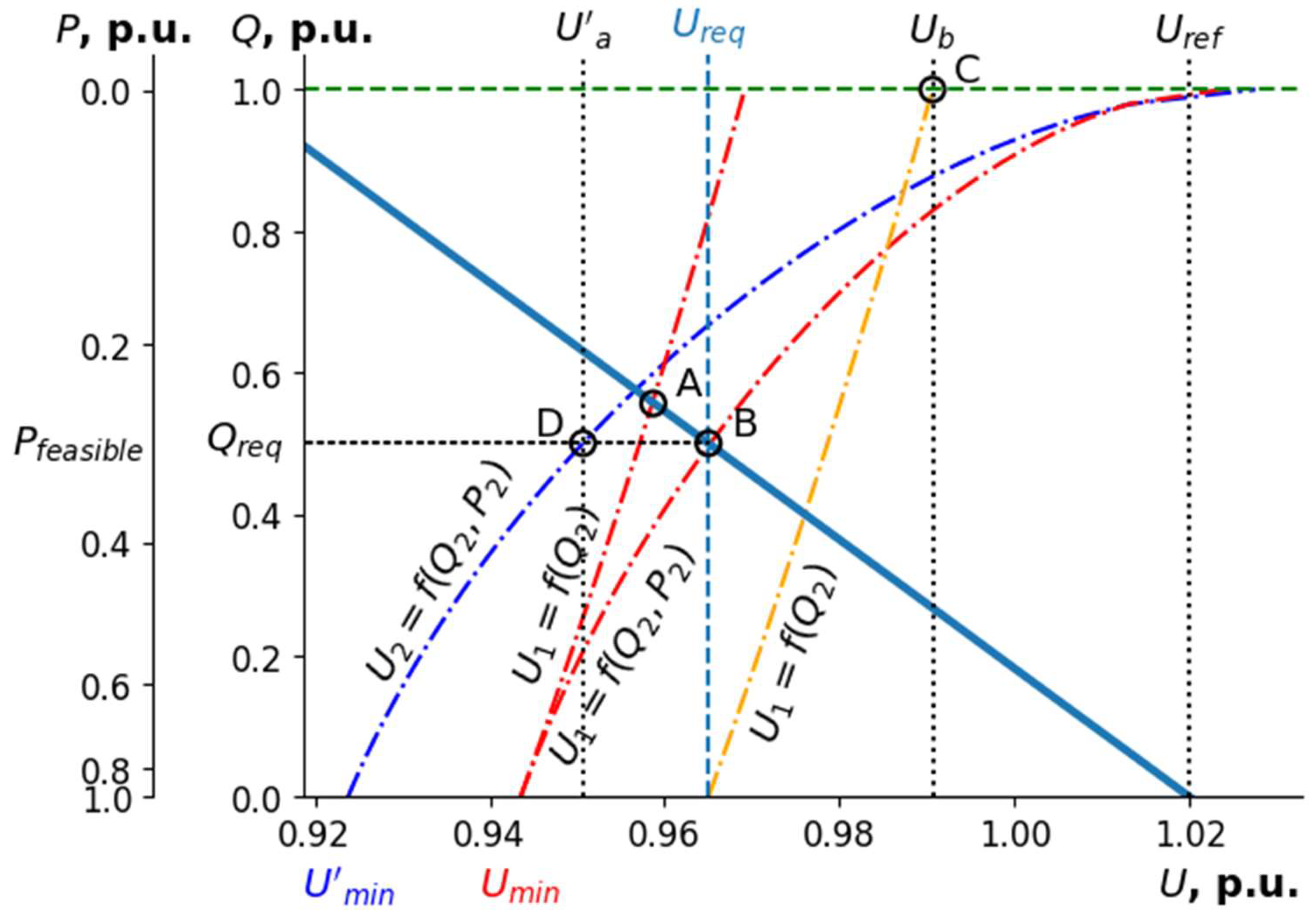
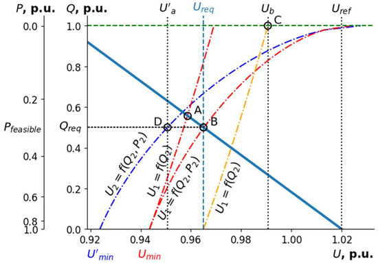
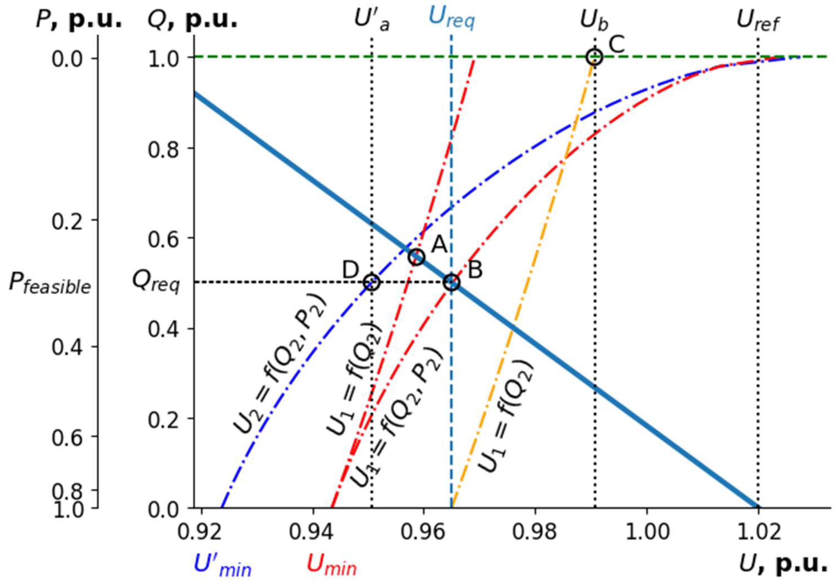
A graphical interpretation of voltage regulation using the Volt/Var characteristic is shown in Figure 2. The position of the operating point of the reactive power regulator on the Volt/Var characteristic is determined by the intersection of the Volt/Var characteristic with the nonlinear function U = f(Q) of the electrical network (point A, Figure 2). The slope of the function U = f(Q) depends on the short-circuit power and the ratio X/R of the supply electrical network relative to the inverter connection point: the greater the short-circuit power and the lower the ratio X/R, the steeper the slope of the function U = f(Q).
Since the EVCS consumes active power to charge the EV battery, the consumption/generation of reactive power by the inverter in accordance with the Volt/Var characteristic may lead to its overload (exceeding the rated apparent power). Then, it will be necessary to limit the active or reactive power of the inverter. Accordingly, two voltage regulation modes can be distinguished—with the priority of active power and with the priority of reactive power.
When working with the priority of reactive power for voltage regulation, both the reactive and active power of the inverter can be changed. Then, the position of the operating point of the regulator on the Volt/Var characteristic will be determined by the intersection of the Volt/Var characteristic with the nonlinear function U = f(P,Q) of the electric network (point B in Figure 2), which, due to the simultaneous increase in reactive power and decrease in the active power of the inverter, will have a smaller slope than the function U = f(Q), providing a larger range of voltage regulation.
Nonlinear functions U = f(Q) and U = f(P,Q) can be obtained using an iterative calculation of the steady-state mode by changing the active and reactive power of the inverter. Another way to obtain these functions is to use the node voltage sensitivity indexes for active and reactive power. The voltage sensitivity indexes of the nodes can be obtained from the inverse Jacobian matrix after the power flow calculation:
J 1 = δ P U P δ Q U Q ,
where ∂U/∂Q and ∂U/∂P are the matrices of the node’s voltage sensitivity indexes for active and reactive power, respectively. Using these indexes, one can get an idea of the functions U = f(Q) and U = f(P,Q) in the considered node of the electric network. However, it is necessary to take into account that these indexes are linearized and will sufficiently correspond to the actual nonlinear functions U = f(Q) and U = f(P,Q) only in modes sufficiently distant from the static stability limit.
Then, we can formulate two basic algorithms for determining the parameters of the Volt/Var characteristic of the inverter of the EVCS:
  • Based on the criterion of limiting voltage deviations to a given value;
  • Based on the criterion of maximizing reactive power upon reaching a given voltage value.
When using criterion (a), the Volt/Var characteristic must pass through the intersection point of the function U = f(P, Q), constructed relative to the minimum voltage, with the vertical line constructed relative to the permissible voltage (point B, Figure 2). This algorithm assumes that the minimum voltage will be observed when the EVCS operates with the rated active power. The found intersection point shows what value of reactive power Qreq will be required to increase the voltage from Umin to Ureq, as well as the volume of active power limitations of the EVCS in the operating mode of the regulator with the reactive power priority. When the regulator operates with the active power priority, the operating point of the Volt/Var characteristic will move along the trajectory Uref-B-Umin, and Qreq will determine the maximum reactive power that the EVCS inverter can provide. When the active power consumption is higher than Pfeasible, the reactive power will be limited and the operating point will move from the Volt/Var characteristic to the B-Umin curve. Thus, an increase in voltage from Umin to Ureq will be possible only in the operating mode with the reactive power priority.
To determine the coordinates of point B, the required reactive power of the inverter Qreq can be expressed from the following equation:
U r e q = U m i n + S n . i n v sin φ · U Q + 1 cos φ U P .
After mathematical transformations, we can write expressions for Qreq:
φ = 2 · a r c t a n U Q 2 S n . i n v 2 2 U P S n . i n v U m i n + 2 U P S n . i n v U r e q U m i n 2 + 2 U m i n U r e q U r e q 2 U Q S n . i n v U m i n U r e q + 2 U P S n . i n v ,
Q r e q = S n . i n v sin φ ,
where Ureq is the minimum permissible voltage in the controlled node; Umin is the minimum voltage in the maximum load mode in the controlled node (taking into account the operation of the EVCS); Sn.inv is the rated apparent power of the inverter; ∂U/∂Q and ∂U/∂P are the voltage sensitivity indexes of the controlled node to reactive and active power, respectively; and Qreq is the reactive power of the inverter required to increase the voltage in the controlled node from Umin to Ureq.
If the inverter control range is insufficient (i.e., function U = f(P,Q) does not intersect with the straight line Ureq), then the parameters of the Volt/Var characteristic can be determined using criterion (b). In this case, the Volt/Var characteristic must pass through the intersection point of the function U = f(Q), constructed relative to the permissible voltage with the horizontal straight line of the maximum reactive power of the inverter (point C, Figure 2). When using this criterion for determining the parameters of the Volt/Var characteristic, the regulator must operate in the active power priority mode to eliminate excessive limitations of the EVs charge. Then, the coordinates of point C can be determined by the expression:
U b = U r e q + Q m a x U Q .
This algorithm (criterion (b)) for determining the parameters of the Volt/Var characteristic is similar to that proposed in [29] for PV inverters.
In practice, the EVCS is connected to the buses on which voltage regulation is required through the impedance of the cable line. In this case, the voltages at the point of connection of the inverter and in the controlled node will be different. To take these differences into account, it is necessary to construct two nonlinear functions, namely, U1 = f(P2,Q2) from the minimum voltage in the controlled node Umin, and U2 = f(P2,Q2), from the minimum voltage in the inverter connection node U’min, where U1 and U2 are the voltages in the controlled node and in the inverter connection node, respectively, and P2 and Q2 are the active and reactive power of the inverter. The required reactive power of the inverter Qreq is determined by the intersection of the function U1 = f(P2,Q2) with the vertical straight line of the permissible voltage Ureq. The Volt/Var characteristic must pass through the point of intersection of the function U2 = f(P2,Q2) with the horizontal line Qreq (point D, Figure 2).
The calculation of Qreq can be performed using Expressions (3) and (4), but using the non-diagonal elements of the inverse Jacobi matrix ∂U1/∂P2 and ∂U1/∂Q2, which characterize the voltage sensitivity indexes of the controlled node 1 to a change in power at the inverter connection node 2. The voltage value at the inverter connection node at reactive power Qreq can be determined using the expression:
U a = U m i n + Q r e q U 2 Q 2 + S n . i n v S n . i n v 2 Q r e q 2 U 2 P 2 .
In a similar way, the coordinates of the point of passage of the Volt/Var characteristic can be adjusted according to criterion (b).
Thus, depending on the selected criterion, the coordinates of the point of passage of the Volt/Var characteristic (Uctrl, Qreq) in the QU-plane can be determined (Ureq, Ua, Ub can be used as Uctrl). According to these coordinates, the main parameters of the Volt/Var characteristic can be determined—the slope and width of the deadband. It is also necessary to specify the voltage Uref, at which the Volt/Var characteristic intersects the voltage axis (in the absence of a deadband). It is advisable to take the no-load voltage of a given electrical network as Uref. Then, the slope of the Volt/Var characteristic with a deadband width d can be determined by the formula:
m = Q r e q U r e f d / 2 U c t r l .
When the regulator operates in the reactive power priority mode, it is advisable to maximize the deadband to reduce the limitations of the inverter active power. The maximum width of the deadband will depend on the permissible slope of the characteristic, which, in turn, is determined by the conditions of the voltage regulator stability. As shown in [26,32,33], there is a possibility of undamped oscillations in the reactive power of inverters with a large slope of the Volt/Var characteristic. As a condition for the stability of the inverter operation in the Volt/Var regulation mode, the following criterion is formulated:
m < 1 U / Q .
It should be noted that with the joint control of the active and reactive power of the inverter in this condition, it is necessary to use the slope of the function U = f(P,Q), which will have a smaller value compared to U = f(Q), which imposes greater restrictions on the permissible slope of the Volt/Var characteristic. This criterion is valid for voltage regulation with a delay, when the change in the reactive power of the inverter occurs periodically. With continuous regulation, a greater steepness of the Volt/Var characteristic is allowed [32].
Then, the width of the deadband for a given slope of the Volt/Var characteristic m and Uref can be determined by the expression:
d = 2 U r e f U c t r l Q r e q m .
Given the known slope and width of the deadband, the coordinates of the Volt/Var characteristic can be determined using the expressions [25]:
U 1 = 2 m U r e f d · m 2 Q m a x 2 m ,
U 2 = 2 U r e f d 2 ,
U 3 = 2 U r e f + d 2 ,
U 4 = 2 m U r e f + d · m + 2 Q m a x 2 m ,
where Qmax is the maximum reactive power of the inverter.
This analysis is performed based on the assumption that the maximum reactive power of the inverter is equal to its rated apparent power.
The flow chart for the proposed algorithm for calculating the Volt/Var characteristic parameters is shown in Figure 3.
An important nuance when selecting the parameters of the Volt/Var characteristic is taking into account the protection settings of inverters. Inverters have low thermal inertia, which imposes restrictions on their overload capability in all operating modes, usually up to 1.3–1.5 of rated current [34,35]. This leads to the risk of tripping the EVCS inverter overcurrent protection during prolonged negative voltage deviations of large magnitude due to forcing the reactive power, which must be taken into account when selecting and setting up reactive power control algorithms, as well as determining the maximum reactive power of the EVCS inverters.
It is also important to ensure that the settings of the relay protection and automation devices (PR) of the adjacent network are coordinated with the inverter protection. In the case of voltage dips caused by external short circuits, the inverter overcurrent protection may also trip the EVCS due to their overload if the time delays of the upstream PR exceed the time delay of the inverter protection. The situation is aggravated by the possibility of subsequent automatic starting of the electric motor load and, accordingly, an increase in the duration of the voltage dip when connecting the inverter near industrial load nodes. As shown in [36], the duration of voltage dips caused by three-phase short circuits can be 2 times longer than the longest short circuit due to automatic starting of electric motors. In this regard, the participation of the EVCS in managing the operating modes of distribution networks may require the improvement of traditional PR systems [37,38].
When using the EVCS for RPC, one should also take into account the increase in inverter wear and the decrease in its reliability and service life due to the increase in the average temperature of the IGBT transistors. In [39], an analysis of this problem was performed using the example of PV inverters involved in reactive power control. According to the simulation results, it was shown that RPC significantly reduces the expected service life of inverters (on average by 62%).
The testing of the proposed algorithm for determining the Volt/Var characteristics of the inverters of the EVCS was carried out on the basis of modeling electrical modes using the pandapower library in the Python programming language.
In order to determine the potential for voltage regulation using fast EVCSs, as well as to estimate the error in using the nodes voltage sensitivity indexes for active and reactive power to determine the parameters of Volt/Var characteristics, a series of calculations of the electrical modes of a 10/0.4 kV transformer substation, to the low-voltage buses of which a fast EVCS was connected, was performed. The calculation was performed for a number of rated powers of transformers of 250–2500 kVA and a fast EVCS power of 60, 120, 240, and 360 kVA. The power of other consumers of the transformer substation was taken in such a way that in the maximum load mode (when the maximum loads of other consumers and the EVCS coincided), the substation load factor did not exceed 0.7. The power factor of other consumers was taken to be equal to 0.8. The short-circuit power at the point of connection of the transformer substation was determined based on the condition of ensuring voltage on the low-voltage buses of the substation in the maximum load mode of 0.95 p.u. with an X/R ratio equal to 3.3. The fast EVCS was connected to the transformer substation via a cable line, 300 m long (Figure 4). For the EVCS with a rated power of 120 kW and more, a supply cable with a cross-section of 120 mm2 was used (with R = 0.258 Ohm/km, X = 0.081 Ohm/km). When increasing the rated power of EVCS, a parallel connection of several cables with a cross-section of 120 mm2 was used. When calculating the parameters of the Volt/Var characteristics, the permissible voltage was taken to be Ureq = 1 p.u.
To test the reactive power controller operation under load variation conditions, quasi-dynamic modeling of the electrical mode was additionally performed with a 1 min step for 240 h for one of the combinations of transformer substation and EVCS powers described above (630 kVA transformer, 240 kW EVCS). During the simulation, it is assumed that the change in voltage at the inverter terminals when the load changes occurs slow enough for the reactive power controller to implement the necessary control action at each simulation step. The EVCS model used is described in [40] and takes into account the parameters of the most common EV models, the stochastic behavior of EV owners, and the dependence of the charging power on the EV battery state of charge. The load profile of other consumers was formed using the open dataset “The Individual Household Electric Power Consumption” (IHEPC) from the UCI Machine Learning Repository [41,42].

4. Results

Table 1 shows the calculated values of the reactive power of the EVCS, at which the voltage on the low-voltage buses of the transformer substation in the maximum load mode will increase to Ureq, expressed as a percentage of the rated power of the EVCS. Relative values of the maximum volume of the active power constraints of the EVCS are indicated after a fraction. Dashes in Table 1 indicate options for which the reactive power of the EVCS is insufficient to limit voltage deviations to a specified value. Dashes also indicate unconsidered combinations of the EVCS and transformer powers according to the loading condition of the power transformer.
The required inverter reactive power of the EVCS to change the voltage on the substation buses from Umin to Ureq is determined by the voltage sensitivity index, which in turn depends on the short-circuit power and the X/R ratio at the point of connection of the inverter. The greater the rated power of the transformer, the lower its impedance and the greater the short-circuit power. This leads to a decrease in the voltage sensitivity index. Then, to increase the voltage on the substation buses from Umin to Ureq, a larger value of the inverter reactive power will be required. Based on these data, it can also be concluded that the higher the power of the EVCS and the lower the power of the transformer, the greater the voltage regulation range of the EVCS.
When using node voltage sensitivity indexes for active and reactive power obtained from the inverse Jacobian matrix, the error in determining the slope of the Volt/Var characteristic was on average 11.6% when calculating the sensitivity indexes in the no-load mode of the network, and 4.6% when calculating the sensitivity indexes in the maximum load mode.
When using the criterion of maximizing the reactive power of the inverter (criterion (b)) to determine the slope of the Volt/Var characteristic, the average error was 3.9 and 5.5% for the idle mode and maximum load, respectively.
The results of the quasi-dynamic modeling of the operation of a 240 kW EVCS with voltage regulation on the low-voltage buses of a 630 kVA transformer substation in the active and reactive power priority mode are shown in Figure 5, Figure 6, Figure 7 and Figure 8.
The operating points in Figure 8 are plotted based on the voltage in the controlled node. Since the inverter is connected to the controlled node via the cable line impedance, the voltage at the inverter terminals differs from the voltage in the controlled node. This causes the operating points to deviate from the Volt/Var characteristic. In addition, in the active power priority mode, the operating points deviate from the Volt/Var characteristic due to the limitation of the inverter’s reactive power during active power consumption (EV battery charging).
The main results of the load profile simulation for the operation of the charging station in the voltage regulation mode are presented in Table 2: minimum voltage on the low-voltage buses of the transformer substation (Umin); relative duration of voltage deviations below the permissible value (TU<1); maximum value of active power constraints, total volume of electricity constraints for the simulation interval, and relative number of charging sessions subject to constraints (Pconstr.max, Wconstr, Nconstr); maximum reactive power of the inverter and total reactive electricity output to the grid (Qmax, WQ); relative electricity losses in the distribution network (∆W); and maximum transformer load factor LFmax). In rows 2 and 4 of Table 2, the parameters of the Volt/Var characteristic are determined using the nonlinear function U = f(P,Q), and in rows 3 and 5, they are determined approximately through the node voltage sensitivity indexes (determined in the maximum load mode). The slope of the Volt/Var characteristic m is taken to be equal to the slope of the function U = f(P,Q) at the point of connection of the inverter, taking into account the reliability factor of 0.9 to ensure the stability of the reactive power controller; the width of the deadband d is determined by Expression (9).

5. Discussion

As follows from the obtained results, a fast EVCS can be used to regulate the voltage on the low-voltage buses of transformer substations. The width of the EVCS voltage regulation range depends on the EVCS power and the node voltage sensitivity indexes. In the considered example, the required width of the voltage regulation range was 5% (with a voltage increase from 0.95 to 1.0 p.u.). For approximately half of the variants of the considered combinations of transformer and EVCS powers (Table 1), the width of the EVCS regulation range was sufficient to limit voltage deviations to the permissible value Ureq. For the remaining variants, the Volt/Var characteristic parameters can be determined by the criterion of maximizing reactive power upon reaching the specified voltage (criterion (b)).
The calculated parameters of the Volt/Var characteristics depend to a large extent on the parameters of the electrical network at the connection point of the inverter. The calculated slope of the Volt/Var characteristic in Table 1 varied from 0.47 to 3.35, which indicates that the use of one standard version of the Volt/Var characteristic is not acceptable and when using the EVCS in voltage regulation, it is necessary to calculate the parameters of the Volt/Var characteristic for each specific case.
As follows from the results of modeling the electric load profiles (Figure 5, Figure 6, Figure 7 and Figure 8, Table 2), the 240 kW EVCS (two ports of 120 kW) coped with the task of voltage regulation, raising the voltage in the maximum load mode from 0.957 to 1.065 p.u. The excess of the specified value of Ureq is due to taking into account the most severe mode with a minimum voltage of 0.95 p.u. when determining the parameters of the Volt/Var characteristic. In this case, the maximum reactive power of the inverter was about 165.1 kvar (69% of the rated power).
The operation of the controller in the active power priority mode does not affect the minimum voltage level, but it allows the duration of unacceptable voltage deviations to be reduced from 3.59% to 1.72% of the modeling interval.
Voltage regulation in the reactive power priority mode can lead to quite significant constraints of the inverter active power (up to 83%, according to Table 1), which must be taken into account when selecting the Volt/Var characteristic parameters and the operating mode of the voltage regulator of the EVCS. A relatively small volume of limitations can be obtained with a sufficiently high power of the EVCS compared to the power of the power transformer.
In practice, the EV charging stations usually operates at below-rated power. This is due to the fact that the charging power is determined not only by the EVCS parameters, but also by the EV. A number of EV models may have a maximum fast charging power lower than the rated power of the EVCS charging port. In addition, the charging power value depends on the EV battery state of charge, reaching a maximum at approximately 5–25% of the battery charge. In this regard, in some cases, it is possible for the inverter to generate reactive power during EV charging without constraints or with a smaller volume of constraints on the charging active power. As follows from Table 2, due to voltage regulation in the reactive power priority mode, charging constraints affected approximately 23.68% of the charging sessions during the simulation interval. The maximum constraint was 31.23 kW.
It is also necessary to take into account the possibility of reducing power losses in the distribution network due to its partial unloading from reactive power when regulating voltage. As follows from Table 2, when regulating voltage, power losses were reduced by 14–15%, and the maximum transformer load factor was reduced by 14.4% (in the reactive power priority mode).
The use of the node voltage sensitivity indexes to determine the Volt/Var characteristic does not introduce a significant error in voltage regulation. The difference in average voltages in the controlled node is less than 1%, and in the total output of reactive energy, it is 3.5%.
It should also be noted that the use of standard Volt/Var characteristics of IEEE 1547-2018 will not be able to provide the required voltage level in the controlled node, since this requires taking into account the parameters of the electrical network at the point of connection of the EVCS, the power of the EVCS, and the range of voltage changes, as shown above. The deviation of the slope of the standard Volt/Var characteristic for category B inverters from the calculated one reaches 40.9%, and for category A ones, it reaches 76.4%.
It is also important to take into account the variability of the distribution network parameters at the point of connection of the EVCS, since this directly affects the efficiency of voltage regulation. This is especially important when the controller operates in the Q-priority mode, since in this mode the volume of congestions on the active power of the EV charge will depend on the value of the reactive power of the inverter. In this regard, it is advisable to periodically recalculate and update the parameters of the Volt/Var characteristics of the inverter. For example, in [25], it was recommended to update the Volt/Var characteristics of PV inverters four times a year.
Another important issue is to stimulate manufacturers and owners of EV charging stations, as well as distribution system operators, to use the voltage regulation capabilities of EVCSs. The following options for the participation of EVCSs in voltage and reactive power regulation can be distinguished:
(1) A public EVCS connected directly to the electrical network of an electricity distribution company (EDC) may receive profit directly from the EDC when concluding a contract for the provision of services for regulating voltage and reactive power, for example, in the form of a discount on the tariff for the transmission of electrical energy. However, at present, in Russia, there is no such model of interaction between consumers and EDCs.
A number of publications have considered the possibility of introducing a mechanism of discounts and penalties to the tariff to stimulate consumer participation in distribution grid mode control. For example, the authors of [43] proposed determining the amount of the penalties taking into account the profitability of the project for installing RPC devices. The discount amount is calculated taking into account the total additional income of the EDC from the use of penalties in such a way that the income of the EDC taking into account the use of the incentive tariff is equal to the income from the use of an economically justified tariff. In [44], the authors proposed a method for calculating the incentive part of the tariff, which includes calculating the tariff for consumed reactive energy, ensuring the profitability of the investment project for installing RPC devices.
(2) The voltage regulation functions of EVCS inverters may become a mandatory requirement for connecting EVCSs to the distribution network. Thus, according to report [45], in Germany, Austria, Italy, and Japan, distributed energy resource facilities connected to distribution networks must have the ability to control reactive power. Usually, these requirements apply to generating units; however, further growth in the number of EVs and EVCSs may require the extension of these requirements to EVCSs to maintain the power quality in distribution networks.
When introducing mandatory requirements for EVCS reactive power control, a number of regulatory and technical issues will need to be addressed. It is necessary to formulate requirements for reactive power controllers in terms of control algorithms, methods for determining control algorithm parameters, minimum reactive power injection, and the absorption capability of the inverter, taking into account the parameters of the distribution network at the EVCS connection point, power quality indicators, and the permissible duration of EV charging congestions [46,47,48]. In addition, the introduction of this requirement will require the use of an active front end in fast EVCSs, which may lead to an increase in their cost [49,50].
(3) EVCSs connected to the consumer’s power supply system are not bound by administrative barriers and can freely supply reactive power to the internal power supply system of the consumer. In this case, the consumer is interested in voltage control in its own distribution network [51]. In this case, the benefit can be obtained by reducing power losses in the consumer’s network, limiting voltage deviations, and eliminating or reducing the costs of installing RPC devices if their installation is necessary to ensure the standard reactive power factor at the point of common coupling. However, it should be taken into account that RPC using the EV charging station may be less effective compared to the use of special compensating devices, since connecting the EVCS near the main consumers of reactive power may be impossible.

6. Conclusions

In this paper, an algorithm is proposed for determining the Volt/Var characteristics parameters of fast EVCS inverters for voltage and reactive power control in distribution networks, which differs from known ones by taking into account the change in both the reactive and active power of the inverter, as well as taking into account the impedance of the EVCS supply cable line.
The calculation results show that fast EVCSs can be used to control the voltage on low-voltage buses of transformer substations. When using a 240 kW EVCS to control the voltage on the low-voltage buses of a 630 kVA power transformer, 165 kvar of reactive power of the inverter is required to provide the specified voltage in the maximum load mode. In the reactive power priority mode, 23.68% of charging sessions will experience charging power limitations of up to 31.23 kW. Voltage regulation using the Volt/Var characteristic allows unacceptable voltage deviations to be completely eliminated and power losses in the network to be reduced by 14–15%.
According to the authors, it is advisable to consider the issue of including requirements for the reactive power management of EVCS inverters during their technological connection to the power grid, depending on the operating conditions at the connection point in order to improve the power quality, and also to work out issues of stimulating the participation of EVCS owners in the distribution network mode management.
The obtained results can be used in developing solutions for managing the distribution network modes during the widespread introduction of electric vehicle charging infrastructure.

Author Contributions

Conceptualization, V.V., F.N., and P.I.; methodology, V.V.; software, V.V.; validation, V.V.; formal analysis, V.V.; investigation, V.V.; resources, F.N.; data curation, P.I.; writing—original draft preparation, V.V., F.N., and P.I.; writing—review and editing, V.V., F.N., and P.I.; visualization, V.V.; supervision, F.N. and P.I.; project administration, F.N. and P.I.; funding acquisition, F.N. All authors have read and agreed to the published version of the manuscript.

Funding

This research was supported by the state assignment of the Ministry of Science and Higher Education of the Russian Federation, grant number 075-03-2024-082/2.

Data Availability Statement

The original contributions presented in the study are included in the article, further inquiries can be directed to the corresponding author.

Conflicts of Interest

Fedor Nepsha is an employee of Microgrid Management Department, LLC “RTSoft—SG”. The paper reflects the views of the scientists, and not the company.

References

  1. Nazarychev, S.A.; Akhmetshin, A.R.; Gaponenko, S.O. Full Compensation of Reactive Power in Electric Networks 0.4–10 kV. J. Phys. Conf. Ser. 2020, 1588, 012036. [Google Scholar] [CrossRef]
  2. Mohiyodin, S.S.; Patil, R.M.; Nagaraj, D.M. Northern Goshawk Optimization for Optimal Reactive Power Compensation in Photovoltaic Low-Voltage Radial Distribution Networks. Sustain. Oper. Comput. 2024, 5, 206–215. [Google Scholar] [CrossRef]
  3. Vaskov, M.; Tulsky, V.N. Research into the Issue of Reactive Power Compensation in the electrical Networks of Rosseti Lenenergo. ELECTRIC POWER Transm. Distrib. 2019, S3, 28–33. Available online: https://elibrary.ru/item.asp?id=40102395&ysclid=m3y2wq4zek791671514 (accessed on 14 September 2024).
  4. Dogadkin, D.; Skupov, D.; Gubardina, O. Reactive Power Compensation in the Distribution Network of PJSC MOESK. ELECTRIC POWER Transm. Distrib. 2016, 6, 60–62. Available online: https://elibrary.ru/item.asp?id=27531294&ysclid=m3y32ldo6j635805315 (accessed on 16 September 2024).
  5. Zavalov, A.A.; Kuzmin, S.V.; Kuzmin, R.S.; Menshikov, V.A. Reactive Power Compensation in Electrical Networks of 0.4–10 kV in Cities of Northern Regions. Glob. Energy 2023, 29, 57–73. [Google Scholar] [CrossRef]
  6. Andreenkov, E.S.; Skorubskiy, V.E.; Shunaev, S.A. The Problem of Monitoring Compliance with the Reactive Power Level at Consumer Connections in Electrical Distribution Networks. Int. Tech. J. 2023, 1, 57–71. Available online: https://mmegapolis.ru/2023-3/341-vypusk-123.html?ysclid=m3y38jwt3p968543123 (accessed on 17 September 2024).
  7. Shkitina, N.; Akimov, D. Analysis of the Impact of Electric Vehicle Stochastic Load on the Distribution Network. ELECTRIC POWER. Transm. Distrib. 2021, S1, 40–45. Available online: https://elibrary.ru/item.asp?id=44741619&ysclid=m3y3ixcdmh527883943 (accessed on 14 September 2024).
  8. Ahmed, S.I.; Salehfar, H.; Selvaraj, D.F. Impact of Electric Vehicle Charging on the Performance of Distribution Grid. In Proceedings of the 2021 IEEE 12th International Symposium on Power Electronics for Distributed Generation Systems (PEDG), Virtual Conference, 28 June–1 July 2021; pp. 1–8. [Google Scholar]
  9. Yong, J.Y.; Ramachandaramurthy, V.K.; Tan, K.M.; Mithulananthan, N. Bi-Directional Electric Vehicle Fast Charging Station with Novel Reactive Power Compensation for Voltage Regulation. Int. J. Electr. Power Energy Syst. 2015, 64, 300–310. [Google Scholar] [CrossRef]
  10. Huang, L.; Li, H.; Lai, C.S.; Zobaa, A.F.; Zhong, B.; Zhao, Z.; Lai, L.L. Electric Vehicle Cluster Scheduling Model for Distribution Systems Considering Reactive-Power Compensation of Charging Piles. Energies 2024, 17, 2541. [Google Scholar] [CrossRef]
  11. Rivera, S.; Goetz, S.M.; Kouro, S.; Lehn, P.W.; Pathmanathan, M.; Bauer, P.; Mastromauro, R.A. Charging Infrastructure and Grid Integration for Electromobility. Proc. IEEE 2023, 111, 371–396. [Google Scholar] [CrossRef]
  12. Zhang, C.; Sedghisigarchi, K.; Sheinberg, R.; Narayana Gowda, S.; Gadh, R. Optimizing Voltage Stability in Distribution Networks via Metaheuristic Algorithm-Driven Reactive Power Compensation from MDHD EVs. World Electr. Veh. J. 2023, 14, 310. [Google Scholar] [CrossRef]
  13. El-Bayeh, C.Z.; Alzaareer, K.; Brahmi, B.; Zellagui, M. A Novel Algorithm for Controlling Active and Reactive Power Flows of Electric Vehicles in Buildings and Its Impact on the Distribution Network. World Electr. Veh. J. 2020, 11, 43. [Google Scholar] [CrossRef]
  14. Lenka, R.K.; Panda, A.K.; Dash, A.R.; Venkataramana, N.N.; Tiwary, N. Reactive Power Compensation Using Vehicle-to-Grid Enabled Bidirectional Off-Board EV Battery Charger. In Proceedings of the 2021 1st International Conference on Power Electronics and Energy (ICPEE), Bhubaneswar, India, 2–3 January 2021; pp. 1–6. [Google Scholar]
  15. Shamarova, N.; Suslov, K.; Ilyushin, P.; Shushpanov, I. Review of Battery Energy Storage Systems Modeling in Microgrids with Renewables Considering Battery Degradation. Energies 2022, 15, 6967. [Google Scholar] [CrossRef]
  16. Domyshev, A.V. Optimization of Steady-State Modes of Electric Power Systems with Renewable Energy Sources and Active Load. Relay Prot. Autom. 2021, 4, 34–39. Available online: https://elibrary.ru/sdaskm?ysclid=m3y3orypmo933412097 (accessed on 18 September 2024).
  17. Suslov, K.; Shushpanov, I.; Buryanina, N.; Ilyushin, P. Flexible power distribution networks: New opportunities and applications. In Proceedings of the 9th International Conference on Smart Cities and Green ICT Systems (SMARTGREENS), Prague, Czech Republic, 2–4 May 2020; Volume 1, pp. 57–64. [Google Scholar] [CrossRef]
  18. Krupenev, D.S. Steady States Analysis of Power Supply Systems with RES and ESS in Assessment of Their Reliability Based on Higher Order Sensitivity Models. Relay Prot. Autom. 2021, 4, 47–53. Available online: https://elibrary.ru/item.asp?id=47270703&ysclid=m3y3q5iibv250728368 (accessed on 21 September 2024).
  19. Ilyushin, P.; Filippov, S.; Kulikov, A.; Suslov, K.; Karamov, D. Intelligent Control of the Energy Storage System for Reliable Operation of Gas-Fired Reciprocating Engine Plants in Systems of Power Supply to Industrial Facilities. Energies 2022, 15, 6333. [Google Scholar] [CrossRef]
  20. Azbe, V.; Mihalic, R. STATCOM Control Strategies in Energy-Function-Based Methods for the Globally Optimal Control of Renewable Sources during Transients. Int. J. Electr. Power Energy Syst. 2022, 141, 108145. [Google Scholar] [CrossRef]
  21. Haghighat, M.; Niroomand, M.; Tafti, H.D.; Townsend, C.D.; Fernando, T. A Review of State-of-the-Art Flexible Power Point Tracking Algorithms in Photovoltaic Systems for Grid Support: Classification and Application. J. Mod. Power Syst. Clean Energy 2024, 12, 1–21. [Google Scholar] [CrossRef]
  22. Iioka, D.; Kusano, K.; Matsuura, T.; Hamada, H.; Miyazaki, T. Appropriate Volt–Var Curve Settings for PV Inverters Based on Distribution Network Characteristics Using Match Rate of Operating Point. Energies 2022, 15, 1375. [Google Scholar] [CrossRef]
  23. Ilyushin, P.V.; Pazderin, A.V.; Seit, R.I. Photovoltaic power plants participation in frequency and voltage regulation. In Proceedings of the 17th International Ural Conf. on AC Electric Drives (ACED 2018), Ekaterinburg, Russia, 26–30 March 2018. [Google Scholar] [CrossRef]
  24. Lee, H.; Kim, J.-C.; Cho, S.-M. Optimal Volt–Var Curve Setting of a Smart Inverter for Improving Its Performance in a Distribution System. IEEE Access 2020, 8, 157931–157945. [Google Scholar] [CrossRef]
  25. Gush, T.; Kim, C.-H.; Admasie, S.; Kim, J.-S.; Song, J.-S. Optimal Smart Inverter Control for PV and BESS to Improve PV Hosting Capacity of Distribution Networks Using Slime Mould Algorithm. IEEE Access 2021, 9, 52164–52176. [Google Scholar] [CrossRef]
  26. Lee, Y.-D.; Lin, W.-C.; Jiang, J.-L.; Cai, J.-H.; Huang, W.-T.; Yao, K.-C. Optimal Individual Phase Voltage Regulation Strategies in Active Distribution Networks with High PV Penetration Using the Sparrow Search Algorithm. Energies 2021, 14, 8370. [Google Scholar] [CrossRef]
  27. EPRI Tools, Methods, and Modeling for Dynamic Distribution Systems, Power Factor Guidelines: Power Control with Distributed Energy Resources. Available online: https://www.epri.com/research/products/3002001275 (accessed on 2 August 2024).
  28. Rylander, M.; Reno, M.J.; Quiroz, J.E.; Ding, F.; Li, H.; Broderick, R.J.; Mather, B.; Smith, J. Methods to Determine Recommended Feeder-Wide Advanced Inverter Settings for Improving Distribution System Performance. In Proceedings of the 2016 IEEE 43rd Photovoltaic Specialists Conference (PVSC), Portland, OR, USA, 5–10 June 2016; pp. 1393–1398. [Google Scholar]
  29. Yoshizawa, S.; Yanagiya, Y.; Ishii, H.; Hayashi, Y.; Matsuura, T.; Hamada, H.; Mori, K. Voltage-Sensitivity-Based Volt-VAR-Watt Settings of Smart Inverters for Mitigating Voltage Rise in Distribution Systems. IEEE Open Access J. Power Energy 2021, 8, 584–595. [Google Scholar] [CrossRef]
  30. Bidirectional EV Chargers Review. Available online: https://www.cleanenergyreviews.info/blog/bidirectional-ev-chargers-review (accessed on 25 July 2024).
  31. Correia, A.F.M.; Moura, P.; de Almeida, A.T. Technical and Economic Assessment of Battery Storage and Vehicle-to-Grid Systems in Building Microgrids. Energies 2022, 15, 8905. [Google Scholar] [CrossRef]
  32. Wang, W.; Shi, X.; Brewster, C.; Huque, A. Oscillation Mechanism and Setting Guideline for Inverter Volt-Var Control. In Proceedings of the 2020 47th IEEE Photovoltaic Specialists Conference (PVSC), Virtual Meeting, 15 June–21 August 2020; pp. 2032–2039. [Google Scholar]
  33. Gwon, D.; Choi, Y.; Sim, J. Development of Voltage Control Algorithm for Improving System Stability in Korean Distribution Grids. Electronics 2022, 11, 3661. [Google Scholar] [CrossRef]
  34. Yao, D.; Choi, S.S.; Tseng, K.J.; Lie, T.T. Frequency Control Ancillary Service Provided by a Wind Farm: Dual-BESS Scheme. J. Mod. Power Syst. Clean Energy 2014, 2, 93–103. [Google Scholar] [CrossRef]
  35. Huang, L.; Wu, C.; Zhou, D.; Blaabjerg, F. A Power-Angle-Based Adaptive Overcurrent Protection Scheme for Grid-Forming Inverter Under Large Grid Disturbances. IEEE Trans. Ind. Electron. 2023, 70, 5927–5936. [Google Scholar] [CrossRef]
  36. Ilyushin, P.V.; Shepovalova, O.V.; Filippov, S.P.; Nekrasov, A.A. The Effect of Complex Load on the Reliable Operation of Solar Photovoltaic and Wind Power Stations Integrated into Energy Systems and into Off-Grid Energy Areas. Energy Rep. 2022, 8, 1515–1529. [Google Scholar] [CrossRef]
  37. Ilyushin, P.; Volnyi, V.; Suslov, K.; Filippov, S. Review of Methods for Addressing Challenging Issues in the Operation of Protection Devices in Microgrids with Voltages of up to 1 kV That Integrates Distributed Energy Resources. Energies 2022, 15, 9186. [Google Scholar] [CrossRef]
  38. Saxena, V.; Manna, S.; Rajput, S.K.; Kumar, P.; Sharma, B.; Alsharif, M.H.; Kim, M.-K. Navigating the Complexities of Distributed Generation: Integration, Challenges, and Solutions. Energy Rep. 2024, 12, 3302–3322. [Google Scholar] [CrossRef]
  39. Zhang, B.; Gao, Y. IGBT Reliability Analysis of Photovoltaic Inverter with Reactive Power Output Capability. Microelectron. Reliab. 2023, 147, 115073. [Google Scholar] [CrossRef]
  40. Voronin, V.A.; Nepsha, F.S.; Anushenko, S.Y. The Use of Energy Storage Systems for Electric Vehicle Charging Stations in Conditions of Restrictions on Technological Connection. ELECTRIC POWER Transm. Distrib. 2024, 5, 80–90. Available online: https://elibrary.ru/item.asp?id=72707477 (accessed on 21 September 2024).
  41. Xia, Z.; Zhang, R.; Ma, H.; Saha, T.K. Day-Ahead Electricity Consumption Prediction of Individual Household–Capturing Peak Consumption Pattern. IEEE Trans. Smart Grid 2024, 15, 2971–2984. [Google Scholar] [CrossRef]
  42. Nguyen, N.D.; Nguyen, D.V.; Dao, K.T.; Than, T.T.; Nguyen, D.D. Income and electricity consumption issue: Evidence from European households. J. Int. Econ. Manag. 2024, 24, 61–73. [Google Scholar] [CrossRef]
  43. Kuznetsov, A.V.; Chikin, V.V.; Rebrovskaya, D.A. Model of formation of incentive tariff for control of reactive power flows and quality of electric power. ELECTRIC POWER Transm. Distrib. 2021, 1, 88–95. Available online: https://elibrary.ru/item.asp?id=44765518 (accessed on 25 September 2024).
  44. Kuznetsov, A.V.; Rebrovskaya, D.A.; Chikin, V.V. Model of Differentiated Tariff for Control of Reactive Power Consumption. Smart Electr. Eng. 2021, 31–52. [Google Scholar] [CrossRef]
  45. Altayara, A.; Mende, D.; Bucher, C.; Ogasawara, Y.; Omine, E.; Ueda, Y.; Bründliger, R.; Adinolfi, G.; Graditi, G.; Stock, D.S.; et al. Reactive Power Management with Distributed Energy Resources-IEA-PVPS; IEA Photovoltaic Power System Programme: Paris, France, 2024. [Google Scholar] [CrossRef]
  46. Zhang, Y.; Li, T.; Sun, Y.; Yang, C. Active-reactive power coordinated optimization of distribution network considering reactive power compensation of EV charging station. J. Phys. Conf. Ser. 2024, 2849, 012077. [Google Scholar] [CrossRef]
  47. Li, J.; Guo, D.; Liu, C.; Gu, Y.; Duan, Y.; Li, Y. Collaborative Control of Reactive Power and Voltage in a Coupled System Considering the Available Reactive Power Margin. Sustainability 2024, 16, 2627. [Google Scholar] [CrossRef]
  48. Pinto, J.; Baptista, J. Analysis of the impact of Fast Electric Vehicle Charging Stations on Power Quality in Distribution Networks. Renew. Energ. Environ. Power Qual. J. 2024, 2, 60–67. [Google Scholar] [CrossRef]
  49. Li, Y.; He, S.; Li, Y.; Ge, L.; Lou, S.; Zeng, Z. Probabilistic Charging Power Forecast of EVCS: Reinforcement Learning Assisted Deep Learning Approach. IEEE Trans. Intell. Veh. 2023, 8, 344–357. [Google Scholar] [CrossRef]
  50. Gabbar, H.A. Requirement Analysis of Fast-Charging Stations. In Fast Charging and Resilient Transportation Infrastructures in Smart Cities; Springer: New York, NY, USA, 2022. [Google Scholar] [CrossRef]
  51. Rajamand, S. Feedback-based control structure for frequency/voltage regulation using the state of electrical vehicle charge station and point estimation method. Sustain. Energy Technol. Assess 2022, 51, 101922. [Google Scholar] [CrossRef]
Figure 1. Standard Volt/Var characteristics according to IEEE 1547-2018 [21].
Figure 1. Standard Volt/Var characteristics according to IEEE 1547-2018 [21].
Wevj 15 00553 g001
Figure 2. Graphic visualization of the algorithm for determining the parameters of Volt/Var characteristics: A—the position of the operating point on the Volt/Var characteristic when controlling the reactive power of the inverter; B—the position of the operating point on the Volt/Var characteristic when controlling the reactive and active power of the inverter; C—the point for determining the position of the Volt/Var characteristic according to the criterion of maximizing reactive power upon reaching a given voltage value; D—the point for determining the position of the Volt/Var characteristic according to the criterion of limiting voltage deviations to a given value, taking into account the impedance of the cable line.
Figure 2. Graphic visualization of the algorithm for determining the parameters of Volt/Var characteristics: A—the position of the operating point on the Volt/Var characteristic when controlling the reactive power of the inverter; B—the position of the operating point on the Volt/Var characteristic when controlling the reactive and active power of the inverter; C—the point for determining the position of the Volt/Var characteristic according to the criterion of maximizing reactive power upon reaching a given voltage value; D—the point for determining the position of the Volt/Var characteristic according to the criterion of limiting voltage deviations to a given value, taking into account the impedance of the cable line.
Wevj 15 00553 g002
Figure 3. Proposed algorithm flow chart.
Figure 3. Proposed algorithm flow chart.
Wevj 15 00553 g003
Figure 4. Single-line diagram of the distribution network.
Figure 4. Single-line diagram of the distribution network.
Wevj 15 00553 g004
Figure 5. The voltage versus time graph at low-voltage buses of the transformer substation under different voltage regulation modes of the EVCS.
Figure 5. The voltage versus time graph at low-voltage buses of the transformer substation under different voltage regulation modes of the EVCS.
Wevj 15 00553 g005
Figure 6. The EVCS active power versus time graph under different voltage regulation modes of the EVCS.
Figure 6. The EVCS active power versus time graph under different voltage regulation modes of the EVCS.
Wevj 15 00553 g006
Figure 7. The EVCS reactive power versus time graph under different voltage regulation modes of the EVCS.
Figure 7. The EVCS reactive power versus time graph under different voltage regulation modes of the EVCS.
Wevj 15 00553 g007
Figure 8. EVCS Volt/Var characteristic.
Figure 8. EVCS Volt/Var characteristic.
Wevj 15 00553 g008
Table 1. Required inverter reactive power (%) and maximum active power constraints (%) for voltage regulation.
Table 1. Required inverter reactive power (%) and maximum active power constraints (%) for voltage regulation.
PEVCS/Sn.trafo2504006301000125016002500
6091.67/60.03------
12070.83/29.41 *87.5/51.5995.83/71.43----
240-60.42/20.31 *70.83/29.4191.67/60.0395.83/71.43--
360--52.78/15.0673.61/32.3180.56/40.7587.5/51.5998.61/83.39
* The required slope of the Volt/Var characteristic exceeds the slope of the function U = f(P,Q) at the EVCS connection point.
Table 2. Simulation results.
Table 2. Simulation results.
NoControl ModeUmin,
p.u.
TU<1,
%
Pconstr.max, kWWconstr,
kWh
Nconstr,
%
Qmax,
kvar
WQ,
kvarh
W,
p.u.
LFmax,
p.u.
1No control0.9573.590.000.000.000.000.006.950.662
2Q-priority1.0030.0031.232.8923.68165.1013.545.900.564
31.0020.0030.622.7923.68163.8813.065.920.566
4P-priority0.9571.720.000.000.00164.5213.016.010.662
50.9571.720.000.000.00162.5212.546.030.662
Disclaimer/Publisher’s Note: The statements, opinions and data contained in all publications are solely those of the individual author(s) and contributor(s) and not of MDPI and/or the editor(s). MDPI and/or the editor(s) disclaim responsibility for any injury to people or property resulting from any ideas, methods, instructions or products referred to in the content.

Share and Cite

MDPI and ACS Style

Voronin, V.; Nepsha, F.; Ilyushin, P. Determining Volt/Var Characteristics of Electric Vehicle Charging Station Inverters for Voltage Regulation in Distribution Networks. World Electr. Veh. J. 2024, 15, 553. https://doi.org/10.3390/wevj15120553

AMA Style

Voronin V, Nepsha F, Ilyushin P. Determining Volt/Var Characteristics of Electric Vehicle Charging Station Inverters for Voltage Regulation in Distribution Networks. World Electric Vehicle Journal. 2024; 15(12):553. https://doi.org/10.3390/wevj15120553

Chicago/Turabian Style

Voronin, Vyacheslav, Fedor Nepsha, and Pavel Ilyushin. 2024. "Determining Volt/Var Characteristics of Electric Vehicle Charging Station Inverters for Voltage Regulation in Distribution Networks" World Electric Vehicle Journal 15, no. 12: 553. https://doi.org/10.3390/wevj15120553

APA Style

Voronin, V., Nepsha, F., & Ilyushin, P. (2024). Determining Volt/Var Characteristics of Electric Vehicle Charging Station Inverters for Voltage Regulation in Distribution Networks. World Electric Vehicle Journal, 15(12), 553. https://doi.org/10.3390/wevj15120553

Article Metrics

Back to TopTop