Improvement of Corrosion Resistance and Electrical Conductivity of Stainless Steel 316L Bipolar Plate by Pickling and Passivation
Abstract
:1. Introduction
2. Materials and Methods
2.1. Material and Surface Modification
2.2. Electrochemical and ICR Tests
2.3. Microstructure Characterization
3. Results and Discussions
3.1. Electrochemical Tests
3.2. ICR Tests
3.3. SEM Characterization
3.4. AFM Characterization
3.5. XPS Characterization
4. Conclusions
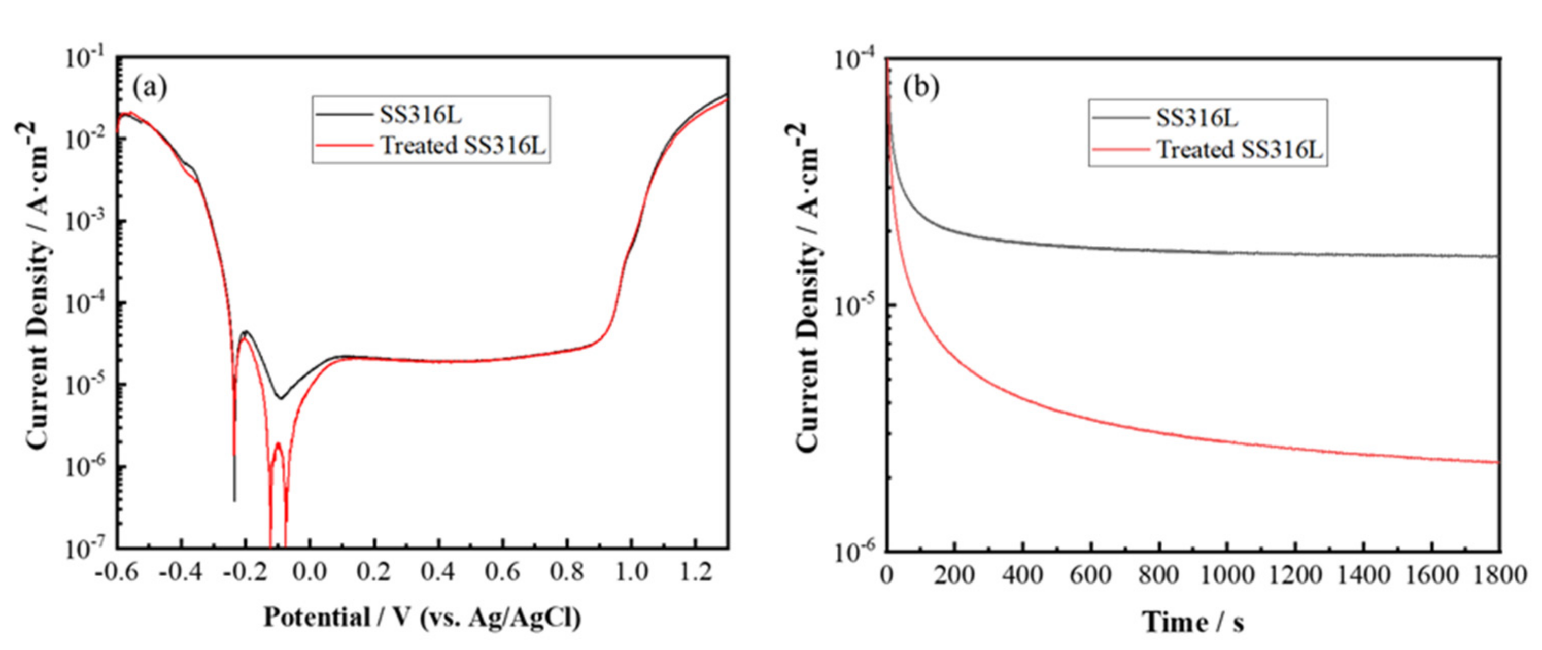
- The corrosion resistance of the pickling and passivation treated SS316L can be increased in both simulated anodic and cathodic environments. For the treated SS316L under potentiostatic tests at 0.6 V for 0.5 h, the corrosion current density is 1.84 μA·cm−2, which is about one order of magnitude lower than the original SS316L.
- When treated by the pickling and passivation method discussed in the present paper, the ICR of SS316L would be decreased from 286.7 to 11.3 mΩ·cm2 at the compression pressure of 140 N·cm−2, which is approaching the 2020 DOE target of 10 mΩ·cm2 at the same compression pressure.
- The surface of SS316L becomes a little rougher but more uniform while more precipitates with higher conductivity generate after pickling and passivation. In the meanwhile, the ratio of Cr:Fe increases with lower oxygen content. They are the main reasons for the improvement of corrosion resistance and interfacial conductivity of SS316L by pickling and passivation.
- The ICR of the treated SS316L increases to 29.5 mΩ·cm2 while ICR of the original SS316L decreases to 38.6mΩ·cm2 at the compression pressure of 140 N·cm−2 after potentiodynamic tests. Intergranular corrosion and pitting are the main corrosion mechanism for both treated and original SS316L.
- The results also indicate that the passive film formed by pickling and passivation may be unstable in the solution of 0.5 M H2SO4 and 2 ppm HF, especially at the potentials higher than 0.9 V (vs. Ag/AgCl). Further efforts are needed to improve the performance and enhance the stability of the passive film in future research.
Author Contributions
Funding
Data Availability Statement
Acknowledgments
Conflicts of Interest
References
- Leng, Y.; Ming, P.W.; Yang, D.J.; Zhang, C.M. Stainless steel bipolar plates for proton exchange membrane fuel cells: Materials, flow channel design and forming processes. J. Power Sources 2020, 451, 227783. [Google Scholar] [CrossRef]
- Xu, Z.T.; Qiu, D.K.; Yi, P.Y.; Lai, X.M. Towards mass applications: A review on the challenges and developments in metallic bipolar plates for PEMFC. Prog. Nat. Sci. Mater. 2020, 30, 815–824. [Google Scholar] [CrossRef]
- Karimi, S.; Fraser, N.; Roberts, B.; Foulkes, F.R. A review of metallic bipolar plates for proton exchange membrane fuel cells: Materials and fabrication methods. Adv. Mater. Sci. Eng. 2012, 2012, 1–22. [Google Scholar] [CrossRef] [Green Version]
- Antunes, R.A.; Oliveira MC, L.; Ett, G.; Ett, V. Corrosion of metal bipolar plates for PEM fuel cells: A review. Int. J. Hydrog. Energy 2010, 35, 3632–3647. [Google Scholar] [CrossRef]
- Borup, R.; Mukundan, R.; Lanl, T.R.; Brady, M.; Ornl, J.T.; Papadias, D.D. (Metal) Bipolar Plate Testing. In DOE 2017 Bipolar Plates Workshop; Los Alamos National Laboratory: Los Alamos, NM, USA, 2017. [Google Scholar]
- Wilberforce, T.; Ijaodola, O.; Ogungbemi, E.; Khatib, F.N.; Leslie, T.; El-Hassan, Z.; Thomposon, J.; Olabi, A.G. Technical evaluation of proton exchange membrane (PEM) fuel cell performance–A review of the effects of bipolar plates coating. Renew. Sustain. Energy Rev. 2019, 113, 109286. [Google Scholar] [CrossRef]
- Brady, M.; Wang, H.; Turner, J.; Meyer, H.; More, K.; Tortorelli, P.; McCarthy, B. Pre-oxidized and nitrided stainless steel alloy foil for proton exchange membrane fuel cell bipolar plates: Part 1. Corrosion, interfacial contact resistance, and surface structure. J. Power Sources 2010, 195, 5610–5618. [Google Scholar] [CrossRef]
- Zhang, D.; Huang, K. Fe–Ni–Cr alloy as bipolar plate of PEMFC by multi-steps surface modification. Int. J. Hydrog. Energy 2015, 40, 13538–13548. [Google Scholar] [CrossRef]
- Kim, K.M.; Kim, J.H.; Kim, K.Y. Effect of Chemical Treatment on Interfacial Contact Resistance of Ferritic Stainless Steel as Bipolar Plate for PEMFC. ECS Trans. 2011, 41, 1861. [Google Scholar] [CrossRef]
- Ishigami, O.; Kondo, T.; Ogawa, Y. Method for Passivating Stainless Steel Product and Method for Producing Stainless Steel Separator for Fuel Cell. U.S. Patent 7,785,425, 31 August 2010. [Google Scholar]
- Jeon, Y.T.; Jeong, Y.S. Stainless Steel Separator for Fuel Cell and the Manufacturing Method Thereof. U.S. Patent 8,828,258, 9 September 2014. [Google Scholar]
- Ishii, T.; Ishikawa, S.; Ujiro, T. Ferritic Stainless Steel Excellent in Corrosion Resistance and Conductivity and Method for Manufacturing the Same, Separator of Proton-Exchange Membrane Fuel Cell and Proton-Exchange Membrane Fuel Cell. U.S. Patent 9,587,297, 7 March 2017. [Google Scholar]
- Kim, J.; Jo, K.; Kim, Y.; Lee, J.; Lee, Y.; Kim, J.; Seok, J.M. Stainless Steel for Polymer Fuel Cell Separator and Method for Preparing Same. U.S. Patent 9,290,845, 22 March 2016. [Google Scholar]
- Yang, G.; Yu, S.; Mo, J.; Kang, Z.; Dohrmann, Y.; List, F.A., III; Green, J.B., Jr.; Babu, S.S.; Zhang, F.Y. Bipolar plate development with additive manufacturing and protective coating for durable and high-efficiency hydrogen production. J. Power Sources 2018, 396, 590–598. [Google Scholar] [CrossRef]
- Rajasekar, S.; Chetty, R.; Neelakantan, L. Low-nickel austenitic stainless steel as an alternative to 316L bipolar plate for proton exchange membrane fuel cells. Int. J. Hydrog. Energy 2015, 40, 12413–12423. [Google Scholar] [CrossRef]
- Abdallah, M. Corrosion behaviour of 304 stainless steel in sulphuric acid solutions and its inhibition by some substituted pyrazolones. Mater. Chem. Phys. 2003, 82, 786–792. [Google Scholar] [CrossRef]






Publisher’s Note: MDPI stays neutral with regard to jurisdictional claims in published maps and institutional affiliations. |
© 2021 by the authors. Licensee MDPI, Basel, Switzerland. This article is an open access article distributed under the terms and conditions of the Creative Commons Attribution (CC BY) license (https://creativecommons.org/licenses/by/4.0/).
Share and Cite
Leng, Y.; Yang, D.; Ming, P.; Li, B.; Zhang, C. Improvement of Corrosion Resistance and Electrical Conductivity of Stainless Steel 316L Bipolar Plate by Pickling and Passivation. World Electr. Veh. J. 2021, 12, 101. https://doi.org/10.3390/wevj12030101
Leng Y, Yang D, Ming P, Li B, Zhang C. Improvement of Corrosion Resistance and Electrical Conductivity of Stainless Steel 316L Bipolar Plate by Pickling and Passivation. World Electric Vehicle Journal. 2021; 12(3):101. https://doi.org/10.3390/wevj12030101
Chicago/Turabian StyleLeng, Yu, Daijun Yang, Pingwen Ming, Bing Li, and Cunman Zhang. 2021. "Improvement of Corrosion Resistance and Electrical Conductivity of Stainless Steel 316L Bipolar Plate by Pickling and Passivation" World Electric Vehicle Journal 12, no. 3: 101. https://doi.org/10.3390/wevj12030101
APA StyleLeng, Y., Yang, D., Ming, P., Li, B., & Zhang, C. (2021). Improvement of Corrosion Resistance and Electrical Conductivity of Stainless Steel 316L Bipolar Plate by Pickling and Passivation. World Electric Vehicle Journal, 12(3), 101. https://doi.org/10.3390/wevj12030101

