Preliminary Study on Different Types of Solid Dispersion Excipients for Improving the Water Solubility and Physical Stability of Celecoxib
Abstract
1. Introduction
2. Materials and Methods
2.1. Materials
2.2. Synthesis and Characterization of Carriers
2.2.1. Synthesis, Characterization, and Degradation of DMSN
2.2.2. Characterization of Commercial Excipients
2.3. Characterization of Amorphous Celecoxib (A-CEL)
2.4. Construction and Characterization of Drug-Loading Systems
2.4.1. Optimization of Drug-Loading Ratio
2.4.2. Morphology, Structure, and Loading Capacity
2.5. Evaluation of Physicochemical Properties
2.5.1. Wettability and Flowability
2.5.2. In Vitro Dissolution
2.6. Gastric Irritation Study
2.7. In Vivo Pharmacokinetics
2.8. Accelerated Stability Study
2.9. Statistical Methods
3. Results and Discussion
3.1. Comparison of Structure and Properties of DMSN and Commercial Excipients
3.1.1. Characterization and In Vitro Degradation of DMSN
3.1.2. Characterization of Commercial Excipients
3.2. Evaluation of Amorphous Celecoxib
3.3. Construction and Characterization of Drug-Loaded Systems
3.3.1. Determination of Optimal Drug Loading Ratio
3.3.2. Morphological and Structural Analysis of Drug-Loaded Systems
3.3.3. Drug Loading Capacity
3.4. Physicochemical Properties Evaluation
3.4.1. Wettability
3.4.2. Flowability
3.4.3. In Vitro Dissolution Behavior
3.5. Evaluation of Gastric Mucosal Irritation
3.6. In Vivo Pharmacokinetics
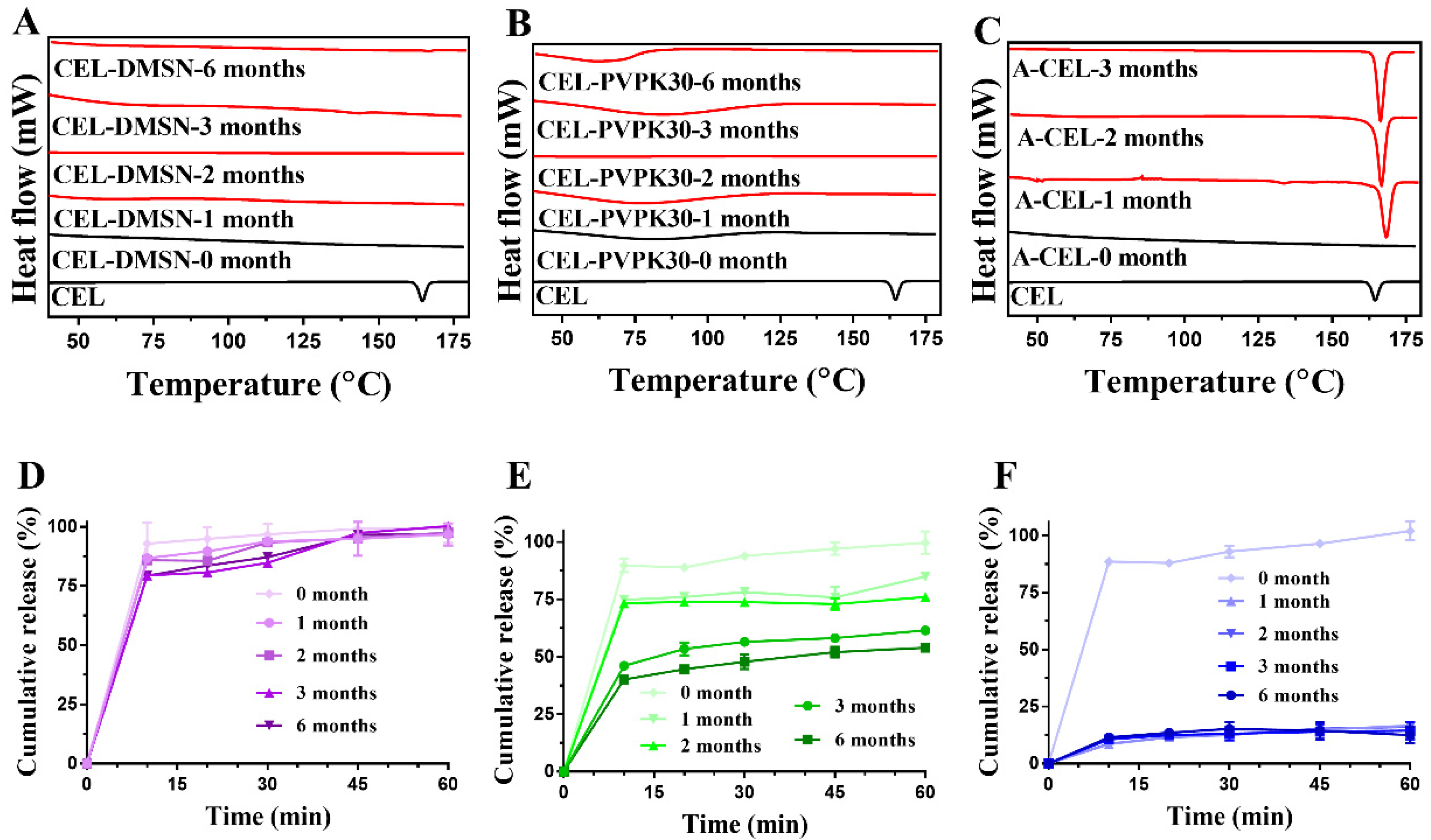
3.7. Accelerated Stability Evaluation
4. Conclusions
Supplementary Materials
Author Contributions
Funding
Institutional Review Board Statement
Informed Consent Statement
Data Availability Statement
Conflicts of Interest
References
- Karbasi, A.B.; Barfuss, J.D.; Morgan, T.C.; Collins, D.; Costenbader, D.A.; Dennis, D.G.; Hinman, A.; Ko, K.; Messina, C.; Nguyen, K.C.; et al. Sol-moiety: Discovery of a water-soluble prodrug technology for enhanced oral bioavailability of insoluble therapeutics. Nat. Commun. 2024, 15, 8487. [Google Scholar] [CrossRef] [PubMed]
- Wang, Y.; Yang, F.; Wang, B.; Xie, L.; Chen, W. New FDA drug approvals for 2024: Synthesis and clinical application. Eur. J. Med. Chem. 2025, 285, 117241. [Google Scholar] [CrossRef]
- Delon, L.; Gibson, R.J.; Prestidge, C.A.; Thierry, B. Mechanisms of uptake and transport of particulate formulations in the small intestine. J. Control. Release 2022, 343, 584–599. [Google Scholar] [CrossRef]
- Xie, B.; Liu, Y.; Li, X.; Yang, P.; He, W. Solubilization techniques used for poorly water-soluble drugs. Acta Pharm. Sin. B 2024, 14, 4683–4716. [Google Scholar] [CrossRef]
- Nunes, P.D.; Pinto, J.F.; Bauer-Brandl, A.; Brandl, M.; Henriques, J.; Paiva, A.M. In vitro dissolution/permeation tools for amorphous solid dispersions bioavailability forecasting I: Experimental design for PermeaLoop™. Eur. J. Pharm. Sci. 2023, 188, 106512. [Google Scholar] [CrossRef]
- Li, J.; Miao, X.; Chen, T.; Ouyang, D.; Zheng, Y. Preparation and characterization of pelletized solid dispersion of resveratrol with mesoporous silica microparticles to improve dissolution by fluid-bed coating techniques. Asian J. Pharm. Sci. 2016, 11, 528–535. [Google Scholar] [CrossRef][Green Version]
- Agrawal, G.; Agrawal, R. Janus Nanoparticles: Recent Advances in Their Interfacial and Biomedical Applications. ACS Appl. Nano Mater. 2019, 2, 1738–1757. [Google Scholar] [CrossRef]
- Davis, M.; Walker, G. Recent strategies in spray drying for the enhanced bioavailability of poorly water-soluble drugs. J. Control. Release 2018, 269, 110–127. [Google Scholar] [CrossRef] [PubMed]
- Ye, M.; Zhang, W.; Xu, H.; Xie, P.; Song, L.; Sun, X.; Li, Y.; Wang, S.; Zhao, Q. Fe-doped biodegradable dendritic mesoporous silica nanoparticles for starvation therapy and photothermal-enhanced cascade catalysis in tumor therapy. J. Colloid Interface Sci. 2025, 678, 378–392. [Google Scholar] [CrossRef] [PubMed]
- Xu, B.; Li, S.; Shi, R.; Liu, H. Multifunctional mesoporous silica nanoparticles for biomedical applications. Signal Transduct. Target. Ther. 2023, 8, 435. [Google Scholar] [CrossRef]
- Xie, Z.; Wu, J.; Xie, J.; Chen, H.; Wang, X.; Huang, J.; Shen, B.; Song, H.; Fu, L.; Yue, P. Mesoporous nanomaterial-based smart nanoplatforms for precise therapies of ulcerative colitis: Strategies and challenges. Theranostics 2025, 15, 7872–7901. [Google Scholar] [CrossRef] [PubMed]
- Yang, B.; Chen, Y.; Shi, J. Mesoporous silica/organosilica nanoparticles: Synthesis, biological effect and biomedical application. Mater. Sci. Eng. R Rep. 2019, 137, 66–105. [Google Scholar] [CrossRef]
- Godakhindi, V.; Yazdimamaghani, M.; Dam, S.K.; Ferdous, F.; Wang, A.Z.; Tarannum, M.; Serody, J.; Vivero-Escoto, J.L. Optimized Fabrication of Dendritic Mesoporous Silica Nanoparticles as Efficient Delivery System for Cancer Immunotherapy. Small 2024, 20, 2402802. [Google Scholar] [CrossRef] [PubMed]
- Xu, C.; Lei, C.; Wang, Y.; Yu, C. Dendritic Mesoporous Nanoparticles: Structure, Synthesis and Properties. Angew. Chem. Int. Ed. 2021, 61, e202112752. [Google Scholar] [CrossRef]
- Li, Z.; Yang, Y.; Wei, H.; Shan, X.; Wang, X.; Ou, M.; Liu, Q.; Gao, N.; Chen, H.; Mei, L.; et al. Charge-reversal biodegradable MSNs for tumor synergetic chemo/photothermal and visualized therapy. J. Control. Release 2021, 338, 719–730. [Google Scholar] [CrossRef]
- Rui, S.; Qi, W.; Liu, B.; Deng, Q.; Li, S.; Chen, J.; Feng, S.; Liu, Z.; Wang, S.; Zhao, Q. Comparison of dendritic mesoporous silica nanoparticles with commercial mesoporous excipients in improving physical stability and oral bioavailability of insoluble drugs. Colloids Surf. A Physicochem. Eng. Asp. 2025, 725, 137702. [Google Scholar] [CrossRef]
- Qi, W.; Chen, J.; Rui, S.; Li, S.; Ding, Y.; Feng, S.; Liu, Z.; Liu, Q.; Wang, S.; Zhao, Q. Variable pore size of mesoporous silica in improving physical stability and oral bioavailability of insoluble drugs. Int. J. Pharm. 2025, 674, 125394. [Google Scholar] [CrossRef]
- Nissen, S.E.; Yeomans, N.D.; Solomon, D.H.; Lüscher, T.F.; Libby, P.; Husni, M.E.; Graham, D.Y.; Borer, J.S.; Wisniewski, L.M.; Wolski, K.E.; et al. Cardiovascular Safety of Celecoxib, Naproxen, or Ibuprofen for Arthritis. N. Engl. J. Med. 2016, 375, 2519–2529. [Google Scholar] [CrossRef]
- Chalabi, M.; Fanchi, L.F.; Dijkstra, K.K.; Van den Berg, J.G.; Aalbers, A.G.; Sikorska, K.; Lopez-Yurda, M.; Grootscholten, C.; Beets, G.L.; Snaebjornsson, P.; et al. Neoadjuvant immunotherapy leads to pathological responses in MMR-proficient and MMR-deficient early-stage colon cancers. Nat. Med. 2020, 26, 566–576. [Google Scholar] [CrossRef]
- Sun, B.; Zhao, Y.; Yang, S.; Li, X.; Li, N.; Wang, Y.; Han, Q.; Liu, X.; Tu, Q.; Zheng, J.; et al. Celecoxib as a potential treatment for hepatocellular carcinoma in populations exposed to high PFAS levels. J. Hazard. Mater. 2025, 489, 137613. [Google Scholar] [CrossRef]
- Kerr, D.J.; Chamberlain, S.; Kerr, R.S. Celecoxib for Stage III Colon Cancer. JAMA 2021, 325, 1257–1258. [Google Scholar] [CrossRef]
- Malekmohammadi, S.; Mohammed, R.; Samadian, H.; Zarebkohan, A.; García-Fernández, A.; Kokil, G.; Sharifi, F.; Esmaeili, J.; Bhia, M.; Razavi, M.; et al. Nonordered dendritic mesoporous silica nanoparticles as promising platforms for advanced methods of diagnosis and therapies. Mater. Today Chem. 2022, 26, 101144. [Google Scholar] [CrossRef]
- Liu, Y.; Huang, B.; Zhu, J.; Feng, K.; Yuan, Y.; Liu, C. Dual-generation dendritic mesoporous silica nanoparticles for co-delivery and kinetically sequential drug release. RSC Adv. 2018, 8, 40598–40610. [Google Scholar] [CrossRef]
- Almaghrabi, M.; Alqurshi, A.; Jadhav, S.A.; Mazzacuva, F.; Cilibrizzi, A.; Raimi-Abraham, B.; Royall, P.G. Evaluating thermogravimetric analysis for the measurement of drug loading in mesoporous silica nanoparticles (MSNs). Thermochim. Acta 2023, 730, 179616. [Google Scholar] [CrossRef]
- Zhou, Y.; Quan, G.; Wu, Q.; Zhang, X.; Niu, B.; Wu, B.; Huang, Y.; Pan, X.; Wu, C. Mesoporous silica nanoparticles for drug and gene delivery. Acta Pharm. Sin. B 2018, 8, 165–177. [Google Scholar] [CrossRef] [PubMed]
- Liu, Z.-J.; Zhang, W.-H.; Yin, M.-J.; Ren, Y.-H.; An, Q.-F. Tailored GO nanosheets for porous framework to high CO2 adsorption. Chem. Eng. J. 2024, 498, 155127. [Google Scholar] [CrossRef]
- Martin, K.R. The chemistry of silica and its potential health benefits. J. Nutr. Health Aging 2007, 11, 94–97. [Google Scholar] [PubMed]
- Jugdaohsingh, R. Silicon and bone health. J. Nutr. Health Aging 2007, 11, 99–110. [Google Scholar] [PubMed]
- Lérida-Viso, A.; Estepa-Fernández, A.; García-Fernández, A.; Martí-Centelles, V.; Martínez-Máñez, R. Biosafety of mesoporous silica nanoparticles; towards clinical translation. Adv. Drug Deliv. Rev. 2023, 201, 115049. [Google Scholar] [CrossRef]
- Li, Y.; Champion, J.A. Self-assembling nanocarriers from engineered proteins: Design, functionalization, and application for drug delivery. Adv. Drug Deliv. Rev. 2022, 189, 114462. [Google Scholar] [CrossRef]
- Janjua, T.I.; Cao, Y.; Kleitz, F.; Linden, M.; Yu, C.; Popat, A. Silica nanoparticles: A review of their safety and current strategies to overcome biological barriers. Adv. Drug Deliv. Rev. 2023, 203, 115115. [Google Scholar] [CrossRef]
- Levine, H.; Rowe, J.J.; Grimaldi, F.S. The Molybdenum Blue Reaction and the Determination of Phosphorus in Waters Containing Arsenic, Silicon, and Germanium. Science 1954, 119, 327–328. [Google Scholar] [CrossRef] [PubMed]
- Jiao, Z.; Fan, W.; Wang, Z.; Wang, X. Synthesis of CO2-philic amphiphilic block copolymers by RAFT polymerization and its application on forming drug-loaded micelles using ScCO2 evaporation method. J. Drug Deliv. Sci. Technol. 2018, 44, 13–18. [Google Scholar] [CrossRef]
- Geng, H.; Zhao, Y.; Liu, J.; Cui, Y.; Wang, Y.; Zhao, Q.; Wang, S. Hollow mesoporous silica as a high drug loading carrier for regulation insoluble drug release. Int. J. Pharm. 2016, 510, 184–194. [Google Scholar] [CrossRef] [PubMed]
- Zhou, W.; Zhu, L. Solubilization of pyrene by anionic-nonionic mixed surfactants. J. Hazard. Mater. 2004, 109, 213–220. [Google Scholar] [CrossRef]
- Lainé, A.L.; Price, D.; Davis, J.; Roberts, D.; Hudson, R.; Back, K.; Bungay, P.; Flanagan, N. Enhanced oral delivery of celecoxib via the development of a supersaturable amorphous formulation utilising mesoporous silica and co-loaded HPMCAS. Int. J. Pharm. 2016, 512, 118–125. [Google Scholar] [CrossRef]
- Zhang, Y.; Wang, J.; Bai, X.; Jiang, T.; Zhang, Q.; Wang, S. Mesoporous silica nanoparticles for increasing the oral bioavailability and permeation of poorly water soluble drugs. Mol. Pharm. 2012, 9, 505–513. [Google Scholar] [CrossRef]
- Kenechukwu, F.C.; Dias, M.L.; Ricci-Júnior, E. Biodegradable nanoparticles from prosopisylated cellulose as a platform for enhanced oral bioavailability of poorly water-soluble drugs. Carbohydr. Polym. 2021, 256, 117492. [Google Scholar] [CrossRef]
- Shakeel, F.; Baboota, S.; Ahuja, A.; Ali, J.; Shafiq, S. Skin permeation mechanism and bioavailability enhancement of celecoxib from transdermally applied nanoemulsion. J. Nanobiotechnol. 2008, 6, 8. [Google Scholar] [CrossRef]









| Syloid® XDP3050 | Syloid® 244 FP | PVP K90 | PVP K30 | PEG6000 | PEG4000 | TPGS | DMSN | |
|---|---|---|---|---|---|---|---|---|
| Particle size (µm) | 37.82 | 6.00 | 82.15 | 81.39 | 0.238 | 0.236 | 37.59 | 0.200 |
| SBET (m2/g) | 407.80 | 428.00 | 1.43 | 0.24 | 0.15 | 0.31 | 0.074 | 649.87 |
| VP (cm3/g) | 1.70 | 1.70 | 0.0048 | 0.0004 | 0.0003 | 0.0010 | 0.0001 | 3.49 |
| WBJH (nm) | 20.00 | 17.00 | 7.67 | 8.57 | 3.61 | 4.22 | 2.61 | 21.51 |
| Samples | SBET (m2/g) | Vt (cm3/g) | Dp (nm) | Drug Loading (%) |
|---|---|---|---|---|
| Before/After Drug Loading | ||||
| CEL-DMSN | 626.08/198.14 | 3.54/1.39 | 19.58/19.61 | 39.72 ± 1.23 |
| CEL-Syloid®XDP3050 | 407.85/151.15 | 1.74/0.59 | 20.03/10.76 | 16.57 ± 0.45 |
| CEL-PVP K30 | 0.24/0.58 | 0.0048/0.0031 | 7.67/9.77 | 32.75 ± 2.67 |
| CEL-PVP K90 | 1.43/0.352 | 0.0048/0.0077 | 7.67/6.12 | 33.12 ± 1.89 |
| CEL-Syloid®244 FP | 428.00/248.35 | 1.70/1.42 | 20.02/16.12 | 19.75 ± 0.97 |
| CEL-TPGS | 0.074/0.0232 | 0.0001/0.0001 | 2.61/1.03 | 10.77 ± 2.34 |
| CEL-PEG6000 | 0.15/0.034 | 0.0003/0.0001 | 3.61/1.22 | 16.64 ± 0.56 |
| CEL-PEG4000 | 0.31/0.14 | 0.0010/0.0005 | 4.22/2.07 | 16.54 ± 1.75 |
| Samples | Angle of Repose (°) | Contact Angle (°) |
|---|---|---|
| CEL | / | 90.25 ± 0.47 |
| CEL-DMSN | 29.64 ± 1.03 | 15.33 ± 0.24 |
| CEL-Syloid®XDP3050 | 28.54 ± 0.26 | 16.14 ± 0.33 |
| CEL-PVP K30 | 23.28 ± 0.47 | 10.24 ± 0.35 |
| CEL-PVP K90 | 24.37 ± 0.56 | 9.15 ± 0.64 |
| CEL-Syloid®244 FP | 29.32 ± 0.43 | 23.41 ± 0.16 |
| CEL-TPGS | 22.42 ± 0.25 | 17.26 ± 0.59 |
| CEL-PEG6000 | 24.32 ± 0.72 | 10.34 ± 0.24 |
| Formulation | Tmax (h) | Cmax (μg/mL) | AUC0~48h (μg/mL·h) | Fr (%) |
|---|---|---|---|---|
| CEL-DMSN | 1.92 ± 0.61 | 6.16 ± 1.47 | 27.05 ± 6.77 | 128.9 |
| CEL-PVP K30 | 2.75 ± 1.08 | 3.14 ± 0.88 | 25.04 ± 2.60 | 119.4 |
| Commercial capsules | 2.20 ± 0.93 | 3.91 ± 1.25 | 20.98 ± 3.74 | / |
Disclaimer/Publisher’s Note: The statements, opinions and data contained in all publications are solely those of the individual author(s) and contributor(s) and not of MDPI and/or the editor(s). MDPI and/or the editor(s) disclaim responsibility for any injury to people or property resulting from any ideas, methods, instructions or products referred to in the content. |
© 2026 by the authors. Licensee MDPI, Basel, Switzerland. This article is an open access article distributed under the terms and conditions of the Creative Commons Attribution (CC BY) license.
Share and Cite
Liu, B.; Rui, S.; Cai, Y.; Qian, R.; Feng, S.; Liu, Z.; Zhao, Q. Preliminary Study on Different Types of Solid Dispersion Excipients for Improving the Water Solubility and Physical Stability of Celecoxib. Pharmaceutics 2026, 18, 311. https://doi.org/10.3390/pharmaceutics18030311
Liu B, Rui S, Cai Y, Qian R, Feng S, Liu Z, Zhao Q. Preliminary Study on Different Types of Solid Dispersion Excipients for Improving the Water Solubility and Physical Stability of Celecoxib. Pharmaceutics. 2026; 18(3):311. https://doi.org/10.3390/pharmaceutics18030311
Chicago/Turabian StyleLiu, Bin, Shiqiao Rui, Yupan Cai, Ruoru Qian, Shuaipeng Feng, Zhu Liu, and Qinfu Zhao. 2026. "Preliminary Study on Different Types of Solid Dispersion Excipients for Improving the Water Solubility and Physical Stability of Celecoxib" Pharmaceutics 18, no. 3: 311. https://doi.org/10.3390/pharmaceutics18030311
APA StyleLiu, B., Rui, S., Cai, Y., Qian, R., Feng, S., Liu, Z., & Zhao, Q. (2026). Preliminary Study on Different Types of Solid Dispersion Excipients for Improving the Water Solubility and Physical Stability of Celecoxib. Pharmaceutics, 18(3), 311. https://doi.org/10.3390/pharmaceutics18030311
