Investigation of Fenbendazole Solubility Using Particle Size Reduction Methods in the Presence of Soluplus®
Abstract
1. Introduction
2. Materials and Methods
2.1. Materials
2.2. Sample Preparation
2.3. Characterization Techniques
2.3.1. DSC
2.3.2. Fourier-Transform Infrared (FT-IR) Spectroscopy
2.3.3. UV–Visible (UV–Vis) Spectroscopy
2.3.4. SEM, EDX
2.3.5. XRPD
2.3.6. DLS
3. Results
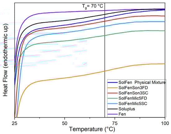
3.1. DSC
3.2. FT-IR Spectroscopy
3.3. UV–Vis Spectroscopy
3.4. SEM
3.5. EDX
3.6. XRPD
3.7. DLS
4. Discussion
5. Conclusions
Author Contributions
Funding
Institutional Review Board Statement
Informed Consent Statement
Data Availability Statement
Acknowledgments
Conflicts of Interest
References
- Nguyen, J.; Nguyen, T.Q.; Han, B.; Hoang, B.X. Oral Fenbendazole for Cancer Therapy in Humans and Animals. Anticancer Res. 2024, 44, 3725–3735. [Google Scholar] [CrossRef]
- Thakurdesai, A.; Rivera-Matos, L.; Nagra, N.; Busch, B.; Mais, D.D.; Cave, M.C. Severe Drug-Induced Liver Injury Due to Self-Administration of the Veterinary Anthelmintic Medication, Fenbendazole. ACG Case Rep. J. 2024, 11, e01354. [Google Scholar] [CrossRef]
- Duan, Q.; Liu, Y.; Rockwell, S. Fenbendazole as a Potential Anticancer Drug. Anticancer Res. 2013, 33, 355. [Google Scholar] [PubMed]
- Ding, Y.; Zhang, Z.; Ding, C.; Xu, S.; Xu, Z. Preparation and Evaluation of Fenbendazole Methyl-β-Cyclodextrin Inclusion Complexes. BMC Vet. Res. 2024, 20, 214. [Google Scholar] [CrossRef]
- Lodhi, D.S.; Panwar, A.S.; Dongre, N. Review Study on Analysis of the Solubility of Biopharmaceutical Classification System Class II Drugs in A Self-Emulsifying Drug Delivery System. Asian J. Pharm. Clin. Res. 2021, 15, 36–45. [Google Scholar] [CrossRef]
- Surov, A.O.; Vasilev, N.A.; Vener, M.V.; Parashchuk, O.D.; Churakov, A.V.; Magdysyuk, O.V.; Perlovich, G.L. Pharmaceutical Salts of Fenbendazole with Organic Counterions: Structural Analysis and Solubility Performance. Cryst. Growth Des. 2021, 21, 4516–4530. [Google Scholar] [CrossRef]
- Bezerra, G.S.N.; de Lima, T.A.d.M.; Colbert, D.M.; Geever, J.; Geever, L. Formulation and Evaluation of Fenbendazole Extended-Release Extrudes Processed by Hot-Melt Extrusion. Polymers 2022, 14, 4188. [Google Scholar] [CrossRef] [PubMed]
- Bezerra, G.S.N.; Colbert, D.M.; O’Donnell, C.; Cao, Z.; Geever, J.; Geever, L. Compatibility Study Between Fenbendazole and Poly(Ethylene Oxide) with Application in Solid Dispersion Formulations Using Hot-Melt Extrusion. J. Pharm. Innov. 2022, 18, 262–274. [Google Scholar] [CrossRef]
- Rodrigues, L.N.C.; Tavares, A.C.M.; Ferreira, B.T.; Reis, A.K.C.A.; Katiki, L.M. Inclusion Complexes and Self-Assembled Cyclodextrin Aggregates for Increasing the Solubility of Benzimidazoles. Braz. J. Pharm. Sci. 2019, 55, 1–11. [Google Scholar] [CrossRef]
- Das, O.; Ghate, V.M.; Lewis, S.A. Utility of Sulfobutyl Ether Beta-Cyclodextrin Inclusion Complexes in Drug Delivery: A Review. Indian J. Pharm. Sci. 2019, 81, 589–600. [Google Scholar] [CrossRef]
- Patel, M.; Mori, D.; Dudhat, K.; Shah, S.; Chavda, J.; Patel, A. Saturation Solubility and Dissolution Property Improvement of Albendazole by Salt Formation Approach. J. Pharm. Innov. 2022, 17, 1148–1159. [Google Scholar] [CrossRef]
- Zhang, J.; Huang, C.; Chen, J.; Xu, R. Equilibrium Solubility Determination and Modeling of Fenbendazole in Cosolvent Mixtures at (283.15–328.15) K. J. Chem. Eng. Data 2019, 64, 4095–4102. [Google Scholar] [CrossRef]
- Jiang, J.; Williams, R.O. Cosolvent and Complexation Systems. In Formulating Poorly Water Soluble Drugs; Springer: Cham, Switzerland, 2022; pp. 179–216. [Google Scholar]
- Dong, B.; Lim, L.M.; Hadinoto, K. Enhancing the Physical Stability and Supersaturation Generation of Amorphous Drug-Polyelectrolyte Nanoparticle Complex via Incorporation of Crystallization Inhibitor at the Nanoparticle Formation Step: A Case of HPMC versus PVP. Eur. J. Pharm. Sci. 2019, 138, 105035. [Google Scholar] [CrossRef]
- Jin, I.S.; Jo, M.J.; Park, C.-W.; Chung, Y.B.; Kim, J.-S.; Shin, D.H. Physicochemical, Pharmacokinetic, and Toxicity Evaluation of Soluplus® Polymeric Micelles Encapsulating Fenbendazole. Pharmaceutics 2020, 12, 1000. [Google Scholar] [CrossRef]
- Jadav, N.B.; Paradkar, A. Solid Dispersions. In Nanopharmaceuticals; Elsevier: Amsterdam, The Netherlands, 2020; pp. 91–120. [Google Scholar]
- Yang, H.; Teng, F.; Wang, P.; Tian, B.; Lin, X.; Hu, X.; Zhang, L.; Zhang, K.; Zhang, Y.; Tang, X. Investigation of a Nanosuspension Stabilized by Soluplus® to Improve Bioavailability. Int. J. Pharm. 2014, 477, 88–95. [Google Scholar] [CrossRef] [PubMed]
- Strojewski, D.; Krupa, A. Kollidon® VA 64 and Soluplus® as Modern Polymeric Carriers for Amorphous Solid Dispersions. Polym. Med. 2022, 52, 19–29. [Google Scholar] [CrossRef]
- Zi, P.; Zhang, C.; Ju, C.; Su, Z.; Bao, Y.; Gao, J.; Sun, J.; Lu, J.; Zhang, C. Solubility and Bioavailability Enhancement Study of Lopinavir Solid Dispersion Matrixed with a Polymeric Surfactant-Soluplus. Eur. J. Pharm. Sci. 2019, 134, 233–245. [Google Scholar] [CrossRef]
- Pignatello, R.; Corsaro, R. Polymeric Nanomicelles of Soluplus® as a Strategy for Enhancing the Solubility, Bioavailability and Efficacy of Poorly Soluble Active Compounds. Curr. Nanomed. 2019, 9, 184–197. [Google Scholar] [CrossRef]
- Morales, J.O.; Watts, A.B.; McConville, J.T. Mechanical Particle-Size Reduction Techniques. In Formulating Poorly Water Soluble Drugs; Springer: Cham, Switzerland, 2022; pp. 141–177. [Google Scholar]
- Khadka, P.; Ro, J.; Kim, H.; Kim, I.; Kim, J.T.; Kim, H.; Cho, J.M.; Yun, G.; Lee, J. Pharmaceutical Particle Technologies: An Approach to Improve Drug Solubility, Dissolution and Bioavailability. Asian J. Pharm. Sci. 2014, 9, 304–316. [Google Scholar] [CrossRef]
- Sandri, G.; Bonferoni, M.C.; Rossi, S.; Caramella, C.M.; Ferrari, F. Effects of Particle Size, Surface Nature and Crystal Type on Dissolution Rate. In Particles and Nanoparticles in Pharmaceutical Products: Design, Manufacturing, Behavior and Performance; Springer International Publishing: Cham, Switzerland, 2018; pp. 303–328. [Google Scholar]
- Kumar, R.; Thakur, A.K.; Kali, G.; Pitchaiah, K.C.; Arya, R.K.; Kulabhi, A. Particle Preparation of Pharmaceutical Compounds Using Supercritical Antisolvent Process: Current Status and Future Perspectives. Drug Deliv. Transl. Res. 2023, 13, 946–965. [Google Scholar] [CrossRef]
- B, I.; Babu, P.; Das, S.; Sneha, K. Application of Microfluidization in the Food Industry. Nutr. Food Process. 2023, 6, 01–03. [Google Scholar] [CrossRef]
- Khan, I.U.; Serra, C.A.; Anton, N.; Vandamme, T.F. Production of Nanoparticle Drug Delivery Systems with Microfluidics Tools. Expert Opin. Drug Deliv. 2015, 12, 547–562. [Google Scholar] [CrossRef]
- Jordens, J.; Appermont, T.; Gielen, B.; Van Gerven, T.; Braeken, L. Sonofragmentation: Effect of Ultrasound Frequency and Power on Particle Breakage. Cryst. Growth Des. 2016, 16, 6167–6177. [Google Scholar] [CrossRef]
- Ige, P.P.; Baria, R.K.; Gattani, S.G. Fabrication of Fenofibrate Nanocrystals by Probe Sonication Method for Enhancement of Dissolution Rate and Oral Bioavailability. Colloids Surf. B Biointerfaces 2013, 108, 366–373. [Google Scholar] [CrossRef]
- Prasad, R.; Dalvi, S.V. Sonocrystallization: Monitoring and Controlling Crystallization Using Ultrasound. Chem. Eng. Sci. 2020, 226, 115911. [Google Scholar] [CrossRef]
- Kim, H.N.; Suslick, K.S. The Effects of Ultrasound on Crystals: Sonocrystallization and Sonofragmentation. Crystals 2018, 8, 280. [Google Scholar] [CrossRef]
- Pereira, S.V.; Colombo, F.B.; de Freitas, L.A.P. Ultrasound Influence on the Solubility of Solid Dispersions Prepared for a Poorly Soluble Drug. Ultrason. Sonochem. 2016, 29, 461–469. [Google Scholar] [CrossRef]
- Ambrus, R.; Amirzadi, N.N.; Aigner, Z.; Szabó-Révész, P. Formulation of Poorly Water-Soluble Gemfibrozil Applying Power Ultrasound. Ultrason. Sonochem. 2012, 19, 286–291. [Google Scholar] [CrossRef]
- Hasanzadeh, H.; Mokhtari-Dizaji, M.; Zahra Bathaie, S.; Hassan, Z.M. Effect of Local Dual Frequency Sonication on Drug Distribution from Polymeric Nanomicelles. Ultrason. Sonochem. 2011, 18, 1165–1171. [Google Scholar] [CrossRef]
- Shekar, H.S.; Rajamma, A.J.; Sateesha, S.B. Application of Ultrasound to Pharmaceutical Industry: An Overview. J. Pharm. Drug Deliv. Res 2017, 6. [Google Scholar] [CrossRef]
- Partheniadis, I.; Shah, R.R.; Nikolakakis, I. Application of Ultrasonics for Nanosizing Drugs and Drug Formulations. J. Dispers. Sci. Technol. 2022, 43, 1587–1602. [Google Scholar] [CrossRef]
- Cains, P.W.; Martin, P.D.; Price, C.J. The Use of Ultrasound in Industrial Chemical Synthesis and Crystallization. 1. Applications to Synthetic Chemistry. Org. Process Res. Dev. 1998, 2, 34–48. [Google Scholar] [CrossRef]
- Chomistek, K.J.; Panagiotou, T. Large Scale Nanomaterial Production Using Microfluidizer High Shear Processing. MRS Proceedings 2009, 1209, 1209-P03-01. [Google Scholar] [CrossRef]
- Kumar, R.; Thakur, A.K.; Chaudhari, P.; Banerjee, N. Particle Size Reduction Techniques of Pharmaceutical Compounds for the Enhancement of Their Dissolution Rate and Bioavailability. J. Pharm. Innov. 2022, 17, 333–352. [Google Scholar] [CrossRef]
- Draenert, Y.; Draenert, K. Ice Crystal Damage in Freeze-Dried Articular Cartilage Studied by Scanning Electron Microscopy. Scan Electron. Microsc. 1982, Pt 4, 1799–1804. [Google Scholar] [PubMed]
- Walker, M.A. Improvement in Aqueous Solubility Achieved via Small Molecular Changes. Bioorg Med. Chem. Lett. 2017, 27, 5100–5108. [Google Scholar] [CrossRef] [PubMed]
- Koleva, I.Z.; Tzachev, C.T. Efficient Improvement of Eugenol Water Solubility by Spray Drying Encapsulation in Soluplus® and Lutrol F 127. Pharmaceuticals 2024, 17, 1156. [Google Scholar] [CrossRef] [PubMed]
- Guembe-Michel, N.; Nguewa, P.; González-Gaitano, G. Soluplus®-Based Pharmaceutical Formulations: Recent Advances in Drug Delivery and Biomedical Applications. Int. J. Mol. Sci. 2025, 26, 1499. [Google Scholar] [CrossRef] [PubMed]
- Rivai, H.; Pratama, N.; Asra, R. Recent Development and Validation of Bisacodyl Analysis Method in Tablet with Absorbance Method and Area under Curves Method in Ultraviolet Spectrophotometry. In Technological Innovation in Pharmaceutical Research; Book Publisher International (a part of SCIENCEDOMAIN International): Hooghly, India, 2021; Volume 3, pp. 59–67. [Google Scholar]
- Fenbendazole|43210-67-9. Available online: https://amp.chemicalbook.com/ChemicalProductProperty_EN_CB9154575.htm?utm_source=chatgpt.com (accessed on 17 August 2025).
- Pérez, E.; Angulo, I.; Blázquez-Blázquez, E.; Cerrada, M.L. Characteristics of the Non-Isothermal and Isothermal Crystallization for the β Polymorph in PVDF by Fast Scanning Calorimetry. Polymers 2020, 12, 2708. [Google Scholar] [CrossRef]
- Lanyi, F.J.; Wenzke, N.; Kaschta, J.; Schubert, D.W. On the Determination of the Enthalpy of Fusion of A-Crystalline Isotactic Polypropylene Using Differential Scanning Calorimetry, X-Ray Diffraction, and Fourier-Transform Infrared Spectroscopy: An Old Story Revisited. Adv. Eng. Mater. 2020, 22, 1900796. [Google Scholar] [CrossRef]
- Kong, Y.; Hay, J.N. The Enthalpy of Fusion and Degree of Crystallinity of Polymers as Measured by DSC. Eur. Polym. J. 2003, 39, 1721–1727. [Google Scholar] [CrossRef]
- Kong, Y.; Hay, J.N. The Measurement of the Crystallinity of Polymers by DSC. Polymer 2002, 43, 3873–3878. [Google Scholar] [CrossRef]
- Chen, T.; Zhang, M.; Bhandari, B.; Yang, Z. Micronization and Nanosizing of Particles for an Enhanced Quality of Food: A Review. Crit. Rev. Food Sci. Nutr. 2018, 58, 993–1001. [Google Scholar] [CrossRef]
- Ditzinger, F.; Dejoie, C.; Sisak Jung, D.; Kuentz, M. Polyelectrolytes in Hot Melt Extrusion: A Combined Solvent-Based and Interacting Additive Technique for Solid Dispersions. Pharmaceutics 2019, 11, 174. [Google Scholar] [CrossRef]
- Medarević, D.; Djuriš, J.; Barmpalexis, P.; Kachrimanis, K.; Ibrić, S. Analytical and Computational Methods for the Estimation of Drug-Polymer Solubility and Miscibility in Solid Dispersions Development. Pharmaceutics 2019, 11, 372. [Google Scholar] [CrossRef]
- Khalikov, S.S.; Khakina, E.A.; Khalikov, M.S.; Varlamova, A.I. Solid Dispersions of Fenbendazole with Polymers and Succinic Acid Obtained via Methods of Mechanochemistry: Their Chemical Stability and Anthelmintic Efficiency. Powders 2023, 2, 727–736. [Google Scholar] [CrossRef]
- Mohan, S.; Sundaraganesan, N.; Mink, J. FTIR and Raman Studies on Benzimidazole. Spectrochim. Acta A 1991, 47, 1111–1115. [Google Scholar] [CrossRef]
- Tso, T.L.; Lee, E.K.C. Role of Hydrogen Bonding Studied by the FTIR Spectroscopy of the Matrix-Isolated Molecular Complexes, Dimer of Water, Water.Carbon Dioxide, Water.Carbon Monoxide and Hydrogen Peroxide.n Carbon Monoxide in Solid Molecular Oxygen at 12–17 K. J. Phys. Chem. 1985, 89, 1612–1618. [Google Scholar] [CrossRef]
- Weidner, T.; Breen, N.F.; Drobny, G.P.; Castner, D.G. Amide or Amine: Determining the Origin of the 3300 Cm −1 NH Mode in Protein SFG Spectra Using 15 N Isotope Labels. J. Phys. Chem. B 2009, 113, 15423–15426. [Google Scholar] [CrossRef]
- Takei, K.; Takahashi, R.; Noguchi, T. Correlation between the Hydrogen-Bond Structures and the C=O Stretching Frequencies of Carboxylic Acids as Studied by Density Functional Theory Calculations: Theoretical Basis for Interpretation of Infrared Bands of Carboxylic Groups in Proteins. J. Phys. Chem. B 2008, 112, 6725–6731. [Google Scholar] [CrossRef] [PubMed]
- Mary, Y.S.; Jojo, P.J.; Panicker, C.Y.; Van Alsenoy, C.; Ataei, S.; Yildiz, I. Quantum Mechanical and Spectroscopic (FT-IR, FT-Raman, 1H NMR and UV) Investigations of 2-(Phenoxymethyl)Benzimidazole. Spectrochim. Acta A Mol. Biomol. Spectrosc. 2014, 125, 12–24. [Google Scholar] [CrossRef]
- Nie, B.; Stutzman, J.; Xie, A. A Vibrational Spectral Maker for Probing the Hydrogen-Bonding Status of Protonated Asp and Glu Residues. Biophys. J. 2005, 88, 2833–2847. [Google Scholar] [CrossRef] [PubMed]
- Melian, M.E.; Paredes, A.; Munguía, B.; Colobbio, M.; Ramos, J.C.; Teixeira, R.; Manta, E.; Palma, S.; Faccio, R.; Domínguez, L. Nanocrystals of Novel Valerolactam-Fenbendazole Hybrid with Improved in Vitro Dissolution Performance. AAPS PharmSciTech 2020, 21, 237. [Google Scholar] [CrossRef]
- Lan, Y.; Ali, S.; Langley, N. Characterization of Soluplus® by FTIR and Raman Spectroscopy; BASF Corporation, Pharma Ingredients and Services: Tarrytown, NY, USA, 2010. [Google Scholar]
- Leleux, J.; Williams, R.O. Recent Advancements in Mechanical Reduction Methods: Particulate Systems. Drug Dev. Ind. Pharm. 2014, 40, 289–300. [Google Scholar] [CrossRef]
- Csicsák, D.; Szolláth, R.; Kádár, S.; Ambrus, R.; Bartos, C.; Balogh, E.; Antal, I.; Köteles, I.; Tőzsér, P.; Bárdos, V.; et al. The Effect of the Particle Size Reduction on the Biorelevant Solubility and Dissolution of Poorly Soluble Drugs with Different Acid-Base Character. Pharmaceutics 2023, 15, 278. [Google Scholar] [CrossRef]
- Thomas, A.; Aiswarya, K.; Adithya, E.K.; Samu, J.; Ravindran, D. Pharmaceutical Particle Size Reduction Techniques: An Approach to Improve Drug Solubility, Dissolution and Bioavailability. World J. Pharm. Res. 2017, 6, 405–418. [Google Scholar] [CrossRef][Green Version]
- Udepurkar, A.P.; Mampaey, L.; Clasen, C.; Sebastián Cabeza, V.; Kuhn, S. Microfluidic Synthesis of PLGA Nanoparticles Enabled by an Ultrasonic Microreactor. React. Chem. Eng. 2024, 9, 2208–2217. [Google Scholar] [CrossRef]
- Bunaciu, A.A.; Udriştioiu, E.G.; Aboul-Enein, H.Y. X-Ray Diffraction: Instrumentation and Applications. Crit. Rev. Anal. Chem. 2015, 45, 289–299. [Google Scholar] [CrossRef]
- Khan, H.; Yerramilli, A.S.; D’Oliveira, A.; Alford, T.L.; Boffito, D.C.; Patience, G.S. Experimental Methods in Chemical Engineering: X-ray Diffraction Spectroscopy—XRD. Can. J. Chem. Eng. 2020, 98, 1255–1266. [Google Scholar] [CrossRef]
- Bezzon, V.D.N.; Pinto, R.d.S.; de Araújo, G.L.B.; de Lima, J.C.; Ferreira, F.F. Describing the Influence of Ball-Milling on the Amorphization of Flubendazole Using the PDF and RMC Methods with X-Ray Powder Diffraction Data. J. Pharm. Sci. 2022, 111, 3054–3063. [Google Scholar] [CrossRef]
- Percent Crystallinity by the XRD Integration Method|Materials Characterization Lab. Available online: https://mcl.mse.utah.edu/xrd-crystallinity-by-integration/?utm_source=chatgpt.com (accessed on 18 August 2025).
- Danaei, M.; Dehghankhold, M.; Ataei, S.; Hasanzadeh Davarani, F.; Javanmard, R.; Dokhani, A.; Khorasani, S.; Mozafari, M.R. Impact of Particle Size and Polydispersity Index on the Clinical Applications of Lipidic Nanocarrier Systems. Pharmaceutics 2018, 10, 57. [Google Scholar] [CrossRef]
- Fatahi, H.; Claverie, J.; Poncet, S. Thermal Characterization of Phase Change Materials by Differential Scanning Calorimetry: A Review. Appl. Sci. 2022, 12, 12019. [Google Scholar] [CrossRef]
- Jelić, D. Thermal Stability of Amorphous Solid Dispersions. Molecules 2021, 26, 238. [Google Scholar] [CrossRef] [PubMed]
- Al-Zoubi, N.; Odah, F.; Obeidat, W.; Al-Jaberi, A.; Partheniadis, I.; Nikolakakis, I. Evaluation of Spironolactone Solid Dispersions Prepared by Co-Spray Drying with Soluplus® and Polyvinylpyrrolidone and Influence of Tableting on Drug Release. J. Pharm. Sci. 2018, 107, 2385–2398. [Google Scholar] [CrossRef] [PubMed]
- Lakshman, J.P.; Cao, Y.; Kowalski, J.; Serajuddin, A.T.M. Application of Melt Extrusion in the Development of a Physically and Chemically Stable High-Energy Amorphous Solid Dispersion of a Poorly Water-Soluble Drug. Mol. Pharm. 2008, 5, 994–1002. [Google Scholar] [CrossRef]
- Shah, S.; Maddineni, S.; Lu, J.; Repka, M.A. Melt Extrusion with Poorly Soluble Drugs. Int. J. Pharm. 2013, 453, 233–252. [Google Scholar] [CrossRef]




















| Sample Name | Fenbendazole Content (mg) | Soluplus® Content (mg) |
|---|---|---|
| Fen | Pure | - |
| Sol | - | Pure |
| FenMic | 200 | 0 |
| FenMic5FD | 200 | 0 |
| FenMic5SC | 200 | 0 |
| FenSon | 200 | 0 |
| FenSon3FD | 200 | 0 |
| FenSon3SC | 200 | 0 |
| SolFenMic | 200 | 800 |
| SolFenMic5FD | 200 | 800 |
| SolFenMic5SC | 200 | 800 |
| SolFenSon | 200 | 800 |
| SolFenSon3FD | 200 | 800 |
| SolFenSon3SC | 200 | 800 |
| Sample Name | First Tm Tm1 (°C) | Second Tm Tm2 (°C) | Enthalpy of Fusion (ΔHf) J/g | Degree of Crystallinity (Xc) |
|---|---|---|---|---|
| Fen | 235 | - | 222.4 * | 100.00 |
| FenSon3FD | 235 | 238 | 220.6 | 99.36 |
| FenSon3SC | 230 | 236 | 193.0 | 86.93 |
| FenMic5FD | 230 | 236 | 183.5 | 82.65 |
| FenMic5SC | 235 | - | 159.1 | 77.61 |
| Microfluidization Cycles | Fen Solubility μg/mL | UV Abs. at 288 nm (Fen) | Fen-Sol Solubility μg/mL | UV Abs. at 288 nm (Fen-Sol) |
|---|---|---|---|---|
| 0 | 0.000 | 0.000 | 0.000 | 0.000 |
| 1 | 0.395 | 0.014 | 0.763 | 0.027 |
| 2 | 0.734 | 0.026 | 2.685 | 0.095 |
| 3 | 0.961 | 0.034 | 9.808 | 0.347 |
| 4 | 1.158 | 0.041 | 12.351 | 0.437 |
| 5 | 1.187 | 0.042 | 12.379 | 0.438 |
| Sonication Time min | Fen Solubility μg/mL | UV Abs. at 288 nm (Fen) | Fen–Sol Solubility μg/mL | UV Abs. at 288 nm (Fen-Sol) |
|---|---|---|---|---|
| 0 | 0.000 | 0.000 | 0.000 | 0.000 |
| 15 | 0.508 | 0.018 | 2.572 | 0.091 |
| 30 | 0.650 | 0.023 | 11.447 | 0.405 |
| 60 | 1.272 | 0.045 | 18.371 | 0.650 |
| 90 | 1.356 | 0.048 | 18.400 | 0.651 |
| Time (min) | 0 | 15 | 30 | 60 | 120 | 180 | 240 | 360 | 1440 | |
|---|---|---|---|---|---|---|---|---|---|---|
| Samples | ||||||||||
| Fen | 0.0000 | 0.0053 | 0.0093 | 0.0106 | 0.0106 | 0.0110 | 0.0110 | 0.0106 | 0.0110 | |
| FenMic5FD | 0.0000 | 0.0076 | 0.0156 | 0.0213 | 0.0227 | 0.0230 | 0.0230 | 0.0233 | 0.0253 | |
| FenMic5SC | 0.0000 | 0.0077 | 0.0143 | 0.0220 | 0.0237 | 0.0240 | 0.0240 | 0.0243 | 0.0256 | |
| FenSon3FD | 0.0000 | 0.0087 | 0.0173 | 0.0263 | 0.0266 | 0.0270 | 0.0273 | 0.0270 | 0.0270 | |
| FenSon3SC | 0.0000 | 0.0070 | 0.0143 | 0.0230 | 0.0253 | 0.0260 | 0.0266 | 0.0263 | 0.0266 | |
| SolFenMic5FD | 0.0000 | 0.0090 | 0.0176 | 0.0276 | 0.0286 | 0.0286 | 0.0283 | 0.0283 | 0.0286 | |
| SolFenMic5SC | 0.0000 | 0.0093 | 0.0203 | 0.0303 | 0.0306 | 0.0306 | 0.0306 | 0.0320 | 0.0320 | |
| SolFenSon3FD | 0.0000 | 0.0093 | 0.0180 | 0.0280 | 0.0280 | 0.0286 | 0.0290 | 0.0283 | 0.0283 | |
| SolFenSon3SC | 0.0000 | 0.0100 | 0.0190 | 0.0276 | 0.0313 | 0.0323 | 0.0316 | 0.0320 | 0.0320 | |
| Time (min) | 0 | 15 | 30 | 60 | 120 | 180 | 240 | 360 | 1440 | |
|---|---|---|---|---|---|---|---|---|---|---|
| Samples | ||||||||||
| Fen | 0.0000 | 0.150 | 0.263 | 0.299 | 0.299 | 0.311 | 0.311 | 0.299 | 0.311 | |
| FenMic5FD | 0.0000 | 0.215 | 0.441 | 0.602 | 0.641 | 0.650 | 0.650 | 0.658 | 0.715 | |
| FenMic5SC | 0.0000 | 0.218 | 0.405 | 0.622 | 0.670 | 0.678 | 0.678 | 0.687 | 0.723 | |
| FenSon3FD | 0.0000 | 0.246 | 0.489 | 0.743 | 0.752 | 0.763 | 0.772 | 0.763 | 0.763 | |
| FenSon3SC | 0.0000 | 0.198 | 0.405 | 0.650 | 0.716 | 0.734 | 0.752 | 0.743 | 0.752 | |
| SolFenMic5FD | 0.0000 | 0.254 | 0.497 | 0.782 | 0.808 | 0.808 | 0.799 | 0.799 | 0.808 | |
| SolFenMic5SC | 0.0000 | 0.263 | 0.574 | 0.856 | 0.864 | 0.864 | 0.864 | 0.904 | 0.904 | |
| SolFenSon3FD | 0.0000 | 0.263 | 0.509 | 0.791 | 0.791 | 0.808 | 0.819 | 0.799 | 0.799 | |
| SolFenSon3SC | 0.0000 | 0.283 | 0.537 | 0.780 | 0.885 | 0.913 | 0.893 | 0.904 | 0.904 | |
| Samples | Carbon % | Oxygen % | Sulfur % | Others % | Total % |
|---|---|---|---|---|---|
| FenSon3SC | 88.83 | 9.17 | 1.42 | 0.58 | 100.00 |
| FenSon3FD | 82.04 | 14.27 | 2.80 | 0.89 | 100.00 |
| FenMic5SC | 71.61 | 24.84 | 2.45 | 1.10 | 100.00 |
| FenMic5FD | 73.81 | 23.40 | 2.64 | 0.15 | 100.00 |
| SolFenSon3SC | 73.23 | 25.41 | 0.63 | 0.73 | 100.00 |
| SolFenSon3FD | 80.69 | 17.05 | 0.42 | 1.84 | 100.00 |
| SolFenMic5SC | 69.65 | 28.03 | 0.58 | 1.74 | 100.00 |
| SolFenMic5FD | 80.38 | 18.89 | 0.24 | 0.49 | 100.00 |
| Sample Name | Degree of Crystallinity (Xc) |
|---|---|
| Fen | 100.00 |
| FenSon3FD | 92.57 |
| FenSon3SC | 90.65 |
| FenMic5FD | 95.11 |
| FenMic5SC | 93.49 |
| SolFenSon3FD | 3.76 |
| SolFenSon3SC | 3.52 |
| SolFenMic5FD | 5.68 |
| SolFenMic5SC | 4.71 |
| Sample | Ave. Particle Size (d.nm) | PDI * |
|---|---|---|
| FenMic5 | 2215.64 | 0.188 |
| SolFenMic5 | 318.20 | 10.905 * |
| FenSon3 | 1820.44 | 0.632 |
| SolFenSon3 | 308.54 | 5.054 * |
| FenMic5FD | 3766.83 | 0.075 |
| FenMic5SC | 3910.75 | 0.121 |
| FenSon3FD | 3585.76 | 0.145 |
| FenSon3SC | 3864.77 | 0.143 |
| SolFenMic5FD | 2126.68 | 1.480 * |
| SolFenMic5SC | 2569.79 | 0.641 |
| SolFenSon3FD | 1531.52 | 1.076 * |
| SolFenSon3SC | 958.33 | 0.404 |
Disclaimer/Publisher’s Note: The statements, opinions and data contained in all publications are solely those of the individual author(s) and contributor(s) and not of MDPI and/or the editor(s). MDPI and/or the editor(s) disclaim responsibility for any injury to people or property resulting from any ideas, methods, instructions or products referred to in the content. |
© 2025 by the authors. Licensee MDPI, Basel, Switzerland. This article is an open access article distributed under the terms and conditions of the Creative Commons Attribution (CC BY) license (https://creativecommons.org/licenses/by/4.0/).
Share and Cite
Karimi, A.; Barea, P.; Benito-Román, Ó.; Blanco, B.; Sanz, M.T.; Higginbotham, C.L.; Lyons, J.G. Investigation of Fenbendazole Solubility Using Particle Size Reduction Methods in the Presence of Soluplus®. Pharmaceutics 2025, 17, 1163. https://doi.org/10.3390/pharmaceutics17091163
Karimi A, Barea P, Benito-Román Ó, Blanco B, Sanz MT, Higginbotham CL, Lyons JG. Investigation of Fenbendazole Solubility Using Particle Size Reduction Methods in the Presence of Soluplus®. Pharmaceutics. 2025; 17(9):1163. https://doi.org/10.3390/pharmaceutics17091163
Chicago/Turabian StyleKarimi, Amirhossein, Pedro Barea, Óscar Benito-Román, Beatriz Blanco, María Teresa Sanz, Clement L. Higginbotham, and John G. Lyons. 2025. "Investigation of Fenbendazole Solubility Using Particle Size Reduction Methods in the Presence of Soluplus®" Pharmaceutics 17, no. 9: 1163. https://doi.org/10.3390/pharmaceutics17091163
APA StyleKarimi, A., Barea, P., Benito-Román, Ó., Blanco, B., Sanz, M. T., Higginbotham, C. L., & Lyons, J. G. (2025). Investigation of Fenbendazole Solubility Using Particle Size Reduction Methods in the Presence of Soluplus®. Pharmaceutics, 17(9), 1163. https://doi.org/10.3390/pharmaceutics17091163

