Experimental Investigation into the Design, Optimization, Toxicity, and Anti-Viral Efficacy of Proliposomes Loaded with Ivermectin Against Infectious Bronchitis Virus Using an Embryonated Chicken Egg Model
Abstract
1. Introduction
2. Materials and Methods
2.1. Materials
2.2. Methods
2.2.1. Experimental Design
2.2.2. Preparation of IVM-Loaded PLs Formulations
2.2.3. Characterization of IVM-Loaded PLs Formulations
Estimation of Product Yield (PY%)
Estimation of Entrapment Efficiency (EE%)
Estimation of Particle Size (PS) and Polydispersity Index (PDI)
Zeta Potential Measurement (ZP)
Cumulative Percentage of Drug Released After 6 h (Q6h)
Kinetic Study of Drug Release
2.2.4. Optimization Technique
2.2.5. Characterization of the Selected Formulations
Scanning Electron Microscopy (SEM)
Differential Scanning Calorimetry (DSC)
Fourier Transform Infrared Spectroscopy (FTIR)
Stability Studies
2.2.6. Investigation of the Anti-Viral Activity Against IBV
Ethical Statement
Virus
Toxicity Study
Assay of Anti-Viral Activity
RNA Extraction, Reverse Transcription, and qRT-PCR
3. Results and Discussion
3.1. Preliminary Studies for Preparation of IVM-Loaded PLs
3.2. Analysis of Factorial Design
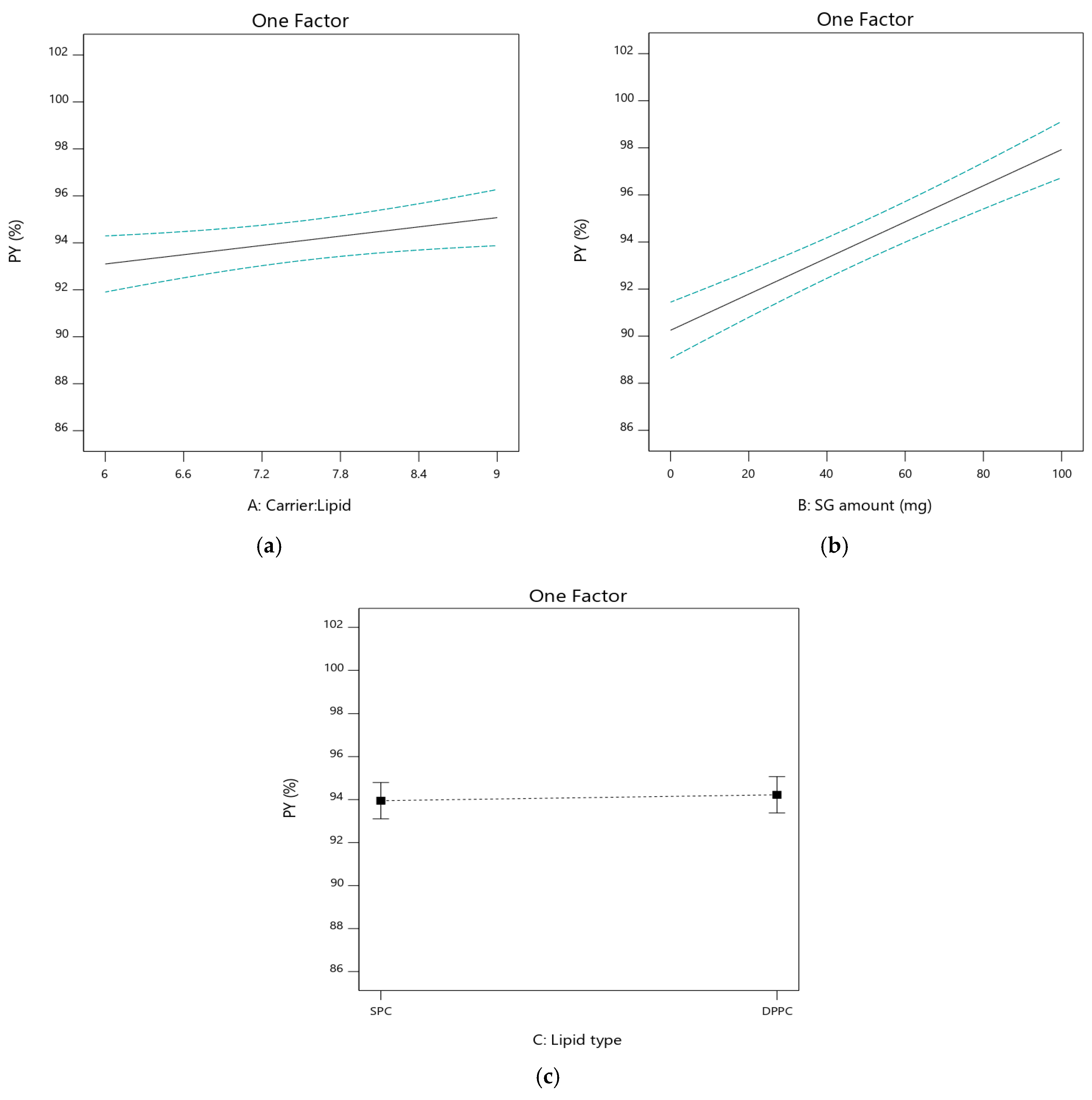
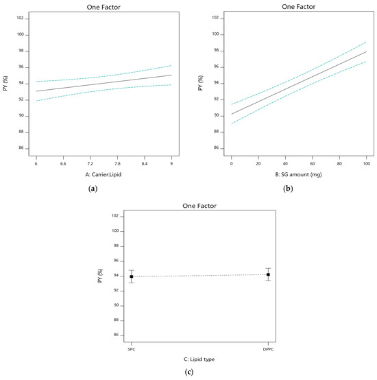
3.2.1. The Effect of Independent Variables on Product Yield (PY%; Y1)
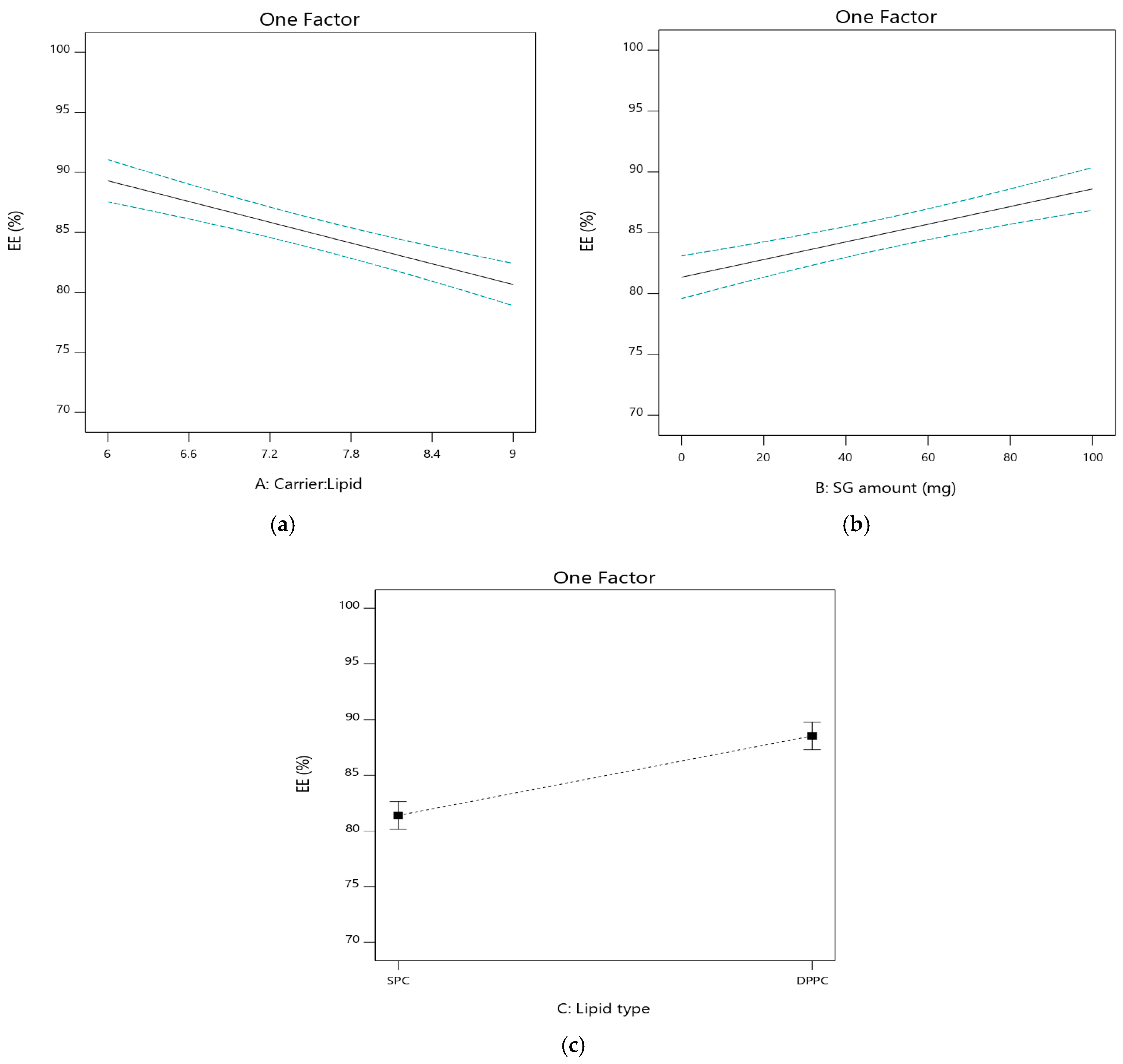
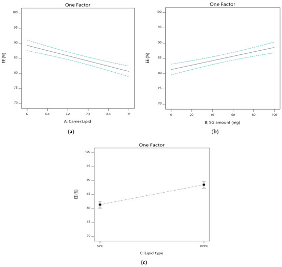
3.2.2. The Effect of Independent Variables on Entrapment Efficiency (EE%; Y2)
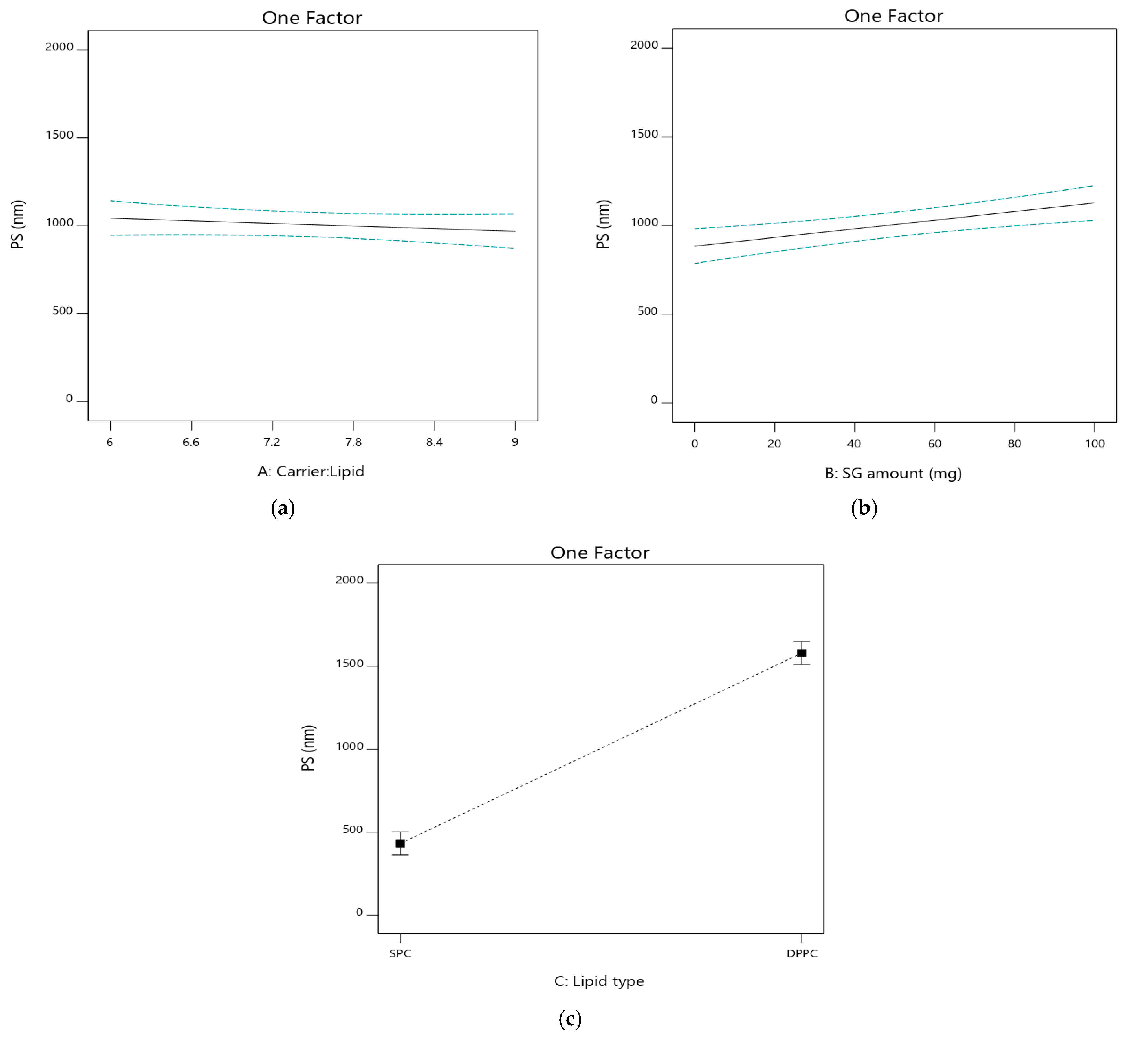
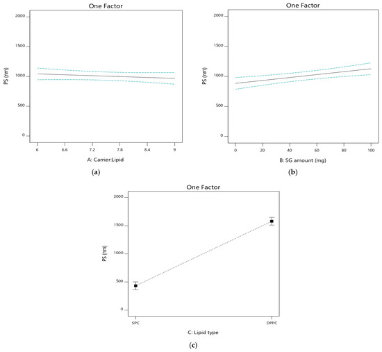
3.2.3. The Effect of Independent Variables on Particle Size (PS; Y3)
3.2.4. The Effect of Independent Variables on Polydispersity Index (PDI; Y4)
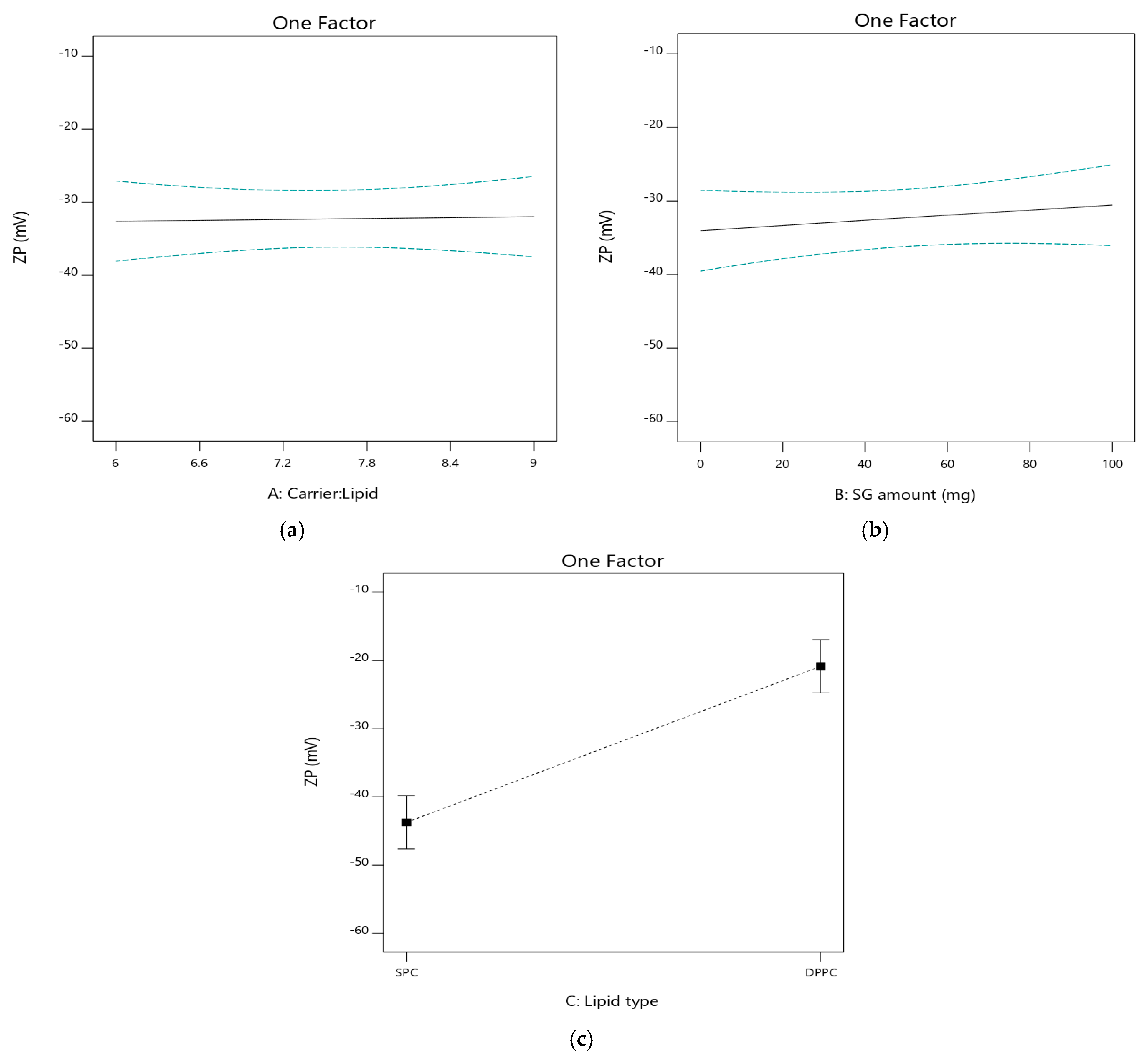
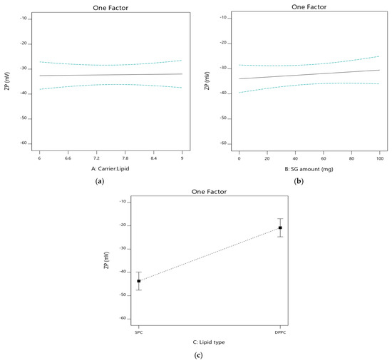
3.2.5. The Effect of Independent Variables on Zeta Potential (ZP; Y5)
3.2.6. The Effect of Independent Variables on Drug Released After 6 h (Q6h; Y6)
3.2.7. Kinetic Study of Drug Release
3.3. Optimization Technique
3.4. Characterization of the Selected IVM-Loaded PLs Formulations
3.4.1. Scanning Electron Microscopy (SEM)
3.4.2. DSC Analysis
3.4.3. FTIR
3.4.4. Stability Studies
3.5. Investigation of the Anti-Viral Activity Against IBV
3.5.1. Toxicity Study
3.5.2. Assay of Anti-Viral Activity
4. Conclusions
Supplementary Materials
Author Contributions
Funding
Institutional Review Board Statement
Informed Consent Statement
Data Availability Statement
Acknowledgments
Conflicts of Interest
References
- Cavanagh, D. Coronavirus Avian Infectious Bronchitis Virus. Vet. Res. 2007, 38, 281–297. [Google Scholar] [CrossRef] [PubMed]
- Ignjatovic, J.; Sapats, S. Avian Infectious Bronchitis Virus. Rev. Sci. Tech. 2000, 19, 493–508. [Google Scholar] [CrossRef] [PubMed]
- Bhuiyan, S.A.; Amin, Z.; Rodrigues, K.F.; Saallah, S.; Shaarani, S.; Sarker, S.; Siddiquee, S. Veterinary Sciences Infectious Bronchitis Virus (Gammacoronavirus) in Poultry Farming: Vaccination, Immune Response and Measures for Mitigation. Vet. Sci. 2021, 8, 273. [Google Scholar] [CrossRef]
- Hellwig, M.D.; Maia, A. A COVID-19 Prophylaxis? Lower Incidence Associated with Prophylactic Administration of Ivermectin. Int. J. Antimicrob. Agents 2020, 57, 106248. [Google Scholar] [CrossRef] [PubMed]
- Popp, M.; Reis, S.; Schießer, S.; Hausinger, R.I.; Stegemann, M.; Metzendorf, M.-I.; Kranke, P.; Meybohm, P.; Skoetz, N.; Weibel, S. Ivermectin for Preventing and Treating COVID-19 (Review). Cochrane Database Syst. Rev. 2022, 2022, CD015017. [Google Scholar] [CrossRef]
- Croci, R.; Bottaro, E.; Chan, K.W.K.; Watanabe, S.; Pezzullo, M.; Mastrangelo, E.; Nastruzzi, C. Liposomal Systems as Nanocarriers for the Antiviral Agent Ivermectin. Int. J. Biomater. 2016, 2016, 8043983. [Google Scholar] [CrossRef]
- Mahnashi, M.H.; Mahmoud, A.M.; Alkahtani, S.A.; El-wekil, M.M. Ivermectin Detection Using Ag@ B, S Co-Doped Reduced Graphene Oxide Nanohybrid. J. Alloys Compd. 2021, 871, 159627. [Google Scholar] [CrossRef]
- Crump, A.; Ōmura, S. Ivermectin, ‘Wonder Drug’ from Japan: The Human Use Perspective. Proc. Jpn. Acad. 2011, 87, 13–28. [Google Scholar] [CrossRef] [PubMed]
- Awad, H.; Rawas-Qalaji, M.; El Hosary, R.; Jagal, J.; Ahmed, I.S. Formulation and Optimization of Ivermectin Nanocrystals for Enhanced Topical Delivery. Int. J. Pharm. X 2023, 6, 100210. [Google Scholar] [CrossRef]
- Starkloff, W.J.; Bucalá, V.; Palma, S.D.; Vidal, N.L.G. Design and in Vitro Characterization of Ivermectin Nanocrystals Liquid Formulation Based on a Top-down Approach. Pharm. Dev. Technol. 2017, 22, 809–817. [Google Scholar] [CrossRef]
- Varghese, F.S.; Kaukinen, P.; Gläsker, S.; Bespalov, M.; Hanski, L.; Wennerberg, K.; Kümmerer, B.M.; Ahola, T. Discovery of Berberine, Abamectin and Ivermectin as Antivirals against Chikungunya and Other Alphaviruses. Antivir. Res. 2016, 126, 117–124. [Google Scholar] [CrossRef] [PubMed]
- Lv, C.; Liu, W.; Wang, B.; Dang, R.; Qiu, L.; Ren, J.; Yan, C.; Yang, Z.; Wang, X. Ivermectin Inhibits DNA Polymerase UL42 of Pseudorabies Virus Entrance into the Nucleus and Proliferation of the Virus In Vitro and Vivo. Antivir. Res. 2018, 159, 55–62. [Google Scholar] [CrossRef]
- Yang, S.N.Y.; Atkinson, S.C.; Wang, C.; Lee, A.; Bogoyevitch, M.A.; Borg, N.A.; Jans, D.A. The Broad Spectrum Antiviral Ivermectin Targets the Host Nuclear Transport Importin α/Β1 Heterodimer. Antivir. Res. 2020, 177, 104760. [Google Scholar] [CrossRef] [PubMed]
- Caly, L.; Druce, J.D.; Catton, M.G.; Jans, D.A.; Wagstaff, K.M. The FDA-Approved Drug Ivermectin Inhibits the Replication of SARS-CoV-2 In Vitro. Antivir. Res. 2020, 178, 104787. [Google Scholar] [CrossRef] [PubMed]
- Bryant, A.; Lawrie, T.A.; Dowswell, T.; Fordham, E.J.; Mitchell, S.; Hill, S.R.; Tham, T.C. Ivermectin for Prevention and Treatment of COVID-19 Infection: A Systematic Review, Meta-Analysis, and Trial Sequential Analysis to Inform Clinical Guidelines. Am. J. Ther. 2021, 28, e434–e460. [Google Scholar] [CrossRef] [PubMed]
- Formiga, F.R.; Leblanc, R.; de Souza Rebouças, J.; Farias, L.P.; de Oliveira, R.N.; Pena, L. Ivermectin: An Award-Winning Drug with Expected Antiviral Activity Against COVID-19. J. Control. Release 2021, 329, 758–761. [Google Scholar] [CrossRef] [PubMed]
- de Souza, Z.C.; Júnior, F.H.X.; Pinheiro, I.O.; de Souza Rebouças, J.; de Abreu, B.O.; Mesquita, P.R.R.; de Medeiros Rodrigues, F.; Quadros, H.C.; Mendes, T.M.F.; Nguewa, P.; et al. Ameliorating the Antiparasitic Activity of the Multifaceted Drug Ivermectin through a Polymer Nanocapsule Formulation. Int. J. Pharm. 2023, 639, 122965. [Google Scholar] [CrossRef] [PubMed]
- Ali, M.; Afzal, M.; Verma, M.; Misra-Bhattacharya, S.; Ahmad, F.J.; Dinda, A.K. Improved Antifilarial Activity of Ivermectin in Chitosan—Alginate Nanoparticles against Human Lymphatic Filarial Parasite, Brugia Malayi. Parasitol. Res. 2013, 112, 2933–2943. [Google Scholar] [CrossRef] [PubMed]
- Ahmadpour, E.; Godrati-Azar, Z.; Spotin, A.; Norouzi, R.; Hamishehkar, H.; Nami, S.; Heydarian, P.; Rajabi, S.; Mohammadi, M.; Perez-Cordon, G. Nanostructured Lipid Carriers of Ivermectin as a Novel Drug Delivery System in Hydatidosis. Parasit. Vectors 2019, 12, 469. [Google Scholar] [CrossRef]
- Chen, B.Z.; Yang, Y.; Wang, B.B.; Ashfaq, M.; Guo, X.D. Self-Implanted Tiny Needles as Alternative to Traditional Parenteral Administrations for Controlled Transdermal Drug Delivery. Int. J. Pharm. 2018, 556, 338–348. [Google Scholar] [CrossRef]
- Bailly, C.; Vergoten, G. Glycyrrhizin: An Alternative Drug for the Treatment of COVID-19 Infection and the Associated Respiratory Syndrome? Pharmacol. Ther. 2020, 214, 107618. [Google Scholar] [CrossRef]
- Gomaa, A.A.; Abdel-Wadood, Y.A. The Potential of Glycyrrhizin and Licorice Extract in Combating COVID-19 and Associated Conditions. Phytomed. Plus 2021, 1, 100043. [Google Scholar] [CrossRef] [PubMed]
- Selyutina, O.Y.; Polyakov, N.E. Glycyrrhizic Acid as a Multifunctional Drug Carrier—From Physicochemical Properties to Biomedical Applications: A Modern Insight on the Ancient Drug. Int. J. Pharm. 2019, 559, 271–279. [Google Scholar] [CrossRef]
- Asl, M.N.; Hosseinzadeh, H. Review of Pharmacological Effects of Glycyrrhiza sp. and Its Bioactive Compounds. Phyther. Res. 2008, 22, 709–724. [Google Scholar] [CrossRef]
- Gangishetty, H.; Eedara, B.B.; Bandari, S. Development of Ketoprofen Loaded Proliposomal Powders for Improved Gastric Absorption and Gastric Tolerance: In Vitro and In Situ Evaluation. Pharm. Dev. Technol. 2015, 20, 641–651. [Google Scholar] [CrossRef]
- Vanic, Z.; Planinšek, O.; Škalko-Basnet, N.; Tho, I. Tablets of Pre-Liposomes Govern in Situ Formation of Liposomes: Concept and Potential of the Novel Drug Delivery System. Eur. J. Pharm. Biopharm. 2014, 88, 443–454. [Google Scholar] [CrossRef] [PubMed]
- Abed, O.S.A.; Mulkala, S.; Sharif, I.; Abdin, A.M.; Elkordy, A.A. Lyophilization-Free Proliposomes for Sustained Release Oral Delivery of Hydrophobic Drug (Cinnarazine): A Comparative Study. Pharm. Technol. Hosp. Pharm. 2021, 6, 20210002. [Google Scholar] [CrossRef]
- Omer, H.K.; Hussein, N.R.; Ferraz, A.; Najlah, M.; Ahmed, W.; Taylor, K.M.G.; Elhissi, A.M.A. Spray-Dried Proliposome Microparticles for High-Performance Aerosol Delivery Using a Monodose Powder Inhaler. AAPS PharmSciTech 2018, 19, 2434–2448. [Google Scholar] [CrossRef]
- Singh, N.; Kushwaha, P.; Ahmad, U.; Abdullah, M. Proliposomes: An Approach for the Development of Stable Liposome. Ars. Pharm. 2019, 60, 231–240. [Google Scholar] [CrossRef]
- Muneer, S.; Masood, Z.; Butt, S.; Anjum, S.; Zainab, H.; Anwar, N.; Ahmad, N. Proliposomes as Pharmaceutical Drug Delivery System: A Brief Review. J. Nanomed. Nanotechnol. 2017, 8, 448. [Google Scholar] [CrossRef]
- Khan, I.; Yousaf, S.; Subramanian, S.; Korale, O.; Alhnan, M.A.; Ahmed, W.; Taylor, K.M.G.; Elhissi, A. Proliposome Powders Prepared Using a Slurry Method for the Generation of Beclometasone Dipropionate Liposomes. Int. J. Pharm. 2015, 496, 342–350. [Google Scholar] [CrossRef]
- Khan, I.; Lau, K.; Bnyan, R.; Houacine, C.; Roberts, M.; Isreb, A.; Elhissi, A.; Yousaf, S. A Facile and Novel Approach to Manufacture Paclitaxel-Loaded Proliposome Tablet Formulations of Micro or Nano Vesicles for Nebulization. Pharm. Res. 2020, 37, 116. [Google Scholar] [CrossRef] [PubMed]
- Byeon, J.C.; Lee, S.; Kim, T.; Ahn, J.B.; Kim, D.; Choi, J.; Park, J.-S. Design of Novel Proliposome Formulation for Antioxidant Peptide, Glutathione with Enhanced Oral Bioavailability and Stability. Drug Deliv. 2019, 26, 216–225. [Google Scholar] [CrossRef]
- Karn, P.R.; Jin, S.; Lee, B.J.; Sun, B.K.; Kim, M.; Sung, J.; Hwang, S.-J. Preparation and Evaluation of Cyclosporin A-Containing Proliposomes: A Comparison of the Supercritical Antisolvent Process with the Conventional Film Method. Int. J. Nanomed. 2014, 9, 5079–5091. [Google Scholar] [CrossRef]
- Sheshala, R.; Hong, G.C.; Yee, W.P.; Meka, V.S.; Thakur, R.R.S. In Situ Forming Phase-Inversion Implants for Sustained Ocular Delivery of Triamcinolone Acetonide. Drug Deliv. Transl. Res. 2019, 9, 534–542. [Google Scholar] [CrossRef] [PubMed]
- Abdel-Salam, F.S.; Elkheshen, S.A.; Mahmoud, A.A.; Basalious, E.B.; Amer, M.S.; Mostafa, A.A.; Elkasabgy, N.A. In-Situ Forming Chitosan Implant-Loaded with Raloxifene Hydrochloride and Bioactive Glass Nanoparticles for Treatment of Bone Injuries: Formulation and Biological Evaluation in Animal Model. Int. J. Pharm. 2020, 580, 119213. [Google Scholar] [CrossRef] [PubMed]
- Nekkanti, V.; Rueda, J.; Wang, Z.; Betageri, G.V. Design, Characterization, and In Vivo Pharmacokinetics of Tacrolimus Proliposomes. AAPS PharmSciTech 2016, 17, 1019–1029. [Google Scholar] [CrossRef] [PubMed]
- Ghoke, S.S.; Sood, R.; Kumar, N.; Pateriya, A.K.; Bhatia, S.; Mishra, A.; Dixit, R.; Singh, V.K.; Desai, D.N.; Kulkarni, D.D.; et al. Evaluation of Antiviral Activity of Ocimum sanctum and Acacia arabica Leaves Extracts Against H9N2 Virus Using Embryonated Chicken Egg Model. BMC Complement. Altern. Med. 2018, 18, 174. [Google Scholar] [CrossRef] [PubMed]
- Azeem, S.; Ashraf, M.; Rasheed, M.A.; Anjum, A.A.; Hameed, R. Evaluation of Cytotoxicity and Antiviral Activity of Ivermectin Against Newcastle Disease Virus. Pak. J. Pharm. Sci. 2015, 28, 597–602. [Google Scholar] [PubMed]
- Callison, S.A.; Hilt, D.A.; Boynton, T.O.; Sample, B.F.; Robison, R.; Swayne, D.E.; Jackwood, M.W. Development and Evaluation of a Real-Time Taqman RT-PCR Assay for the Detection of Infectious Bronchitis Virus from Infected Chickens. J. Virol. Methods 2006, 138, 60–65. [Google Scholar] [CrossRef]
- Hani, U.; Osmani, R.A.M.; Alqahtani, A.; Ghazwani, M.; Rahamathulla, M.; Almordy, S.A.; Alsaleh, H.A. 23 Full Factorial Design for Formulation and Evaluation of Floating Oral In Situ Gelling System of Piroxicam. J. Pharm. Innov. 2021, 16, 528–536. [Google Scholar] [CrossRef]
- Alyami, M.H.; Alyami, H.S.; Abdo, A.M.; Sabry, S.A.; El-Nahas, H.M.; Ayoub, M.M. Maximizing the Use of Ivermectin Transethosomal Cream in the Treatment of Scabies. Pharmaceutics 2024, 16, 1026. [Google Scholar] [CrossRef]
- Albash, R.; Abdelbary, A.A.; Refai, H.; El-Nabarawi, M.A. Use of Transethosomes for Enhancing the Transdermal Delivery of Olmesartan Medoxomil: In Vitro, Ex Vivo, and In Vivo Evaluation. Int. J. Nanomed. 2019, 14, 1953–1968. [Google Scholar] [CrossRef] [PubMed]
- Marques, S.M.; Shirodkar, R.K.; Kumar, L. Analytical ‘Quality-by-Design’ Paradigm in Development of a RP-HPLC Method for the Estimation of Cilnidipine in Nanoformulations: Forced Degradation Studies and Mathematical Modelling of In-Vitro Release Studies. Microchem. J. 2023, 193, 109124. [Google Scholar] [CrossRef]
- Eldin, N.E.; Elnahas, H.M.; Mahdy, M.A.E.; Ishida, T. Liposomal Pemetrexed: Formulation, Characterization and in Vitro Cytotoxicity Studies for Effective Management of Malignant Pleural Mesothelioma. Biol. Pharm. Bull. 2015, 38, 461–469. [Google Scholar] [CrossRef] [PubMed]
- Hussein, N.R. Spray-Dried Liposomes: A Study of the Effect of Carbohydrate Carrier and Concentrations on Liposome Size and Drug Entrapment. Zanco J. Med. Sci. 2019, 23, 345–353. [Google Scholar] [CrossRef]
- Najlah, M.; Jain, M.; Wan, K.W.; Ahmed, W.; Albed Alhnan, M.; Phoenix, D.A.; Taylor, K.M.G.; Elhissi, A. Ethanol-Based Proliposome Delivery Systems of Paclitaxel for In Vitro Application Against Brain Cancer Cells. J. Liposome Res. 2018, 28, 74–85. [Google Scholar] [CrossRef]
- Nekkanti, V.; Wang, Z.; Betageri, G.V. Pharmacokinetic Evaluation of Improved Oral Bioavailability of Valsartan: Proliposomes Versus Self-Nanoemulsifying Drug Delivery System. AAPS PharmSciTech 2016, 17, 851–862. [Google Scholar] [CrossRef] [PubMed]
- Ferrara, F.; Benedusi, M.; Cervellati, F.; Sguizzato, M.; Montesi, L.; Bondi, A.; Drechsler, M.; Pula, W.; Valacchi, G.; Esposito, E. Dimethyl Fumarate-Loaded Transethosomes: A Formulative Study and Preliminary Ex Vivo and In Vivo Evaluation. Int. J. Mol. Sci. 2022, 23, 8756. [Google Scholar] [CrossRef]
- Choudhury, D.; Tanner, M.G.; McAughtrie, S.; Yu, F.; Mills, B.; Choudhary, T.R.; Seth, S.; Craven, T.H.; Stone, J.M.; Mati, I.K.; et al. Endoscopic Sensing of Alveolar PH. Biomed. Opt. Express 2016, 8, 243–259. [Google Scholar] [CrossRef]
- Janga, K.Y.; Jukanti, R.; Velpula, A.; Sunkavalli, S.; Bandari, S.; Kandadi, P.; Veerareddy, P.R. Bioavailability Enhancement of Zaleplon via Proliposomes: Role of Surface Charge. Eur. J. Pharm. Biopharm. 2012, 80, 347–357. [Google Scholar] [CrossRef]
- Olejnik, A.; Kapuscinska, A.; Schroeder, G.; Nowak, I. Physico–Chemical Characterization of Formulations Containing Endomorphin—2 Derivatives. Amino Acids 2017, 49, 1719–1731. [Google Scholar] [CrossRef] [PubMed]
- Potluri, P.; Betageri, G.V. Mixed-Micellar Proliposomal Systems for Enhanced Oral Delivery of Progesterone. Drug Deliv. 2006, 13, 227–232. [Google Scholar] [CrossRef] [PubMed]
- Rolim, L.A.; dos Santos, F.C.M.; Chaves, L.L.; Gonçalves, M.L.C.M.; Freitas-Neto, J.L.; da Silva do Nascimento, A.L.; Soares-Sobrinho, J.L.; de Albuquerque, M.M.; do Carmo Alves de Lima, M.; Rolim-Neto, P.J. Preformulation Study of Ivermectin Raw Material. J. Therm. Anal. Calorim. 2015, 120, 807–816. [Google Scholar] [CrossRef]
- Santonocito, D.; Puglia, C.; Torrisi, C.; Giuffrida, A.; Greco, V.; Castelli, F.; Sarpietro, M.G. Calorimetric Evaluation of Glycyrrhetic Acid (Ga)- and Stearyl Glycyrrhetinate (Sg)-Loaded Solid Lipid Nanoparticle Interactions with a Model Biomembrane. Molecules 2021, 26, 4903. [Google Scholar] [CrossRef]
- Haghiralsadat, F.; Amoabediny, G.; Sheikhha, M.H.; Zandieh-Doulabi, B.; Naderinezhad, S.; Helder, M.N.; Forouzanfar, T. New Liposomal Doxorubicin Nanoformulation for Osteosarcoma: Drug Release Kinetic Study Based on Thermo and PH Sensitivity. Chem. Biol. Drug Des. 2017, 90, 368–379. [Google Scholar] [CrossRef]













| Independent Factors | Factors Symbol | Unit | Factors Type | Factors Levels | |
|---|---|---|---|---|---|
| Low (−1) | High (+1) | ||||
| Carrier/lipid phase (w/w) | A | --- | Numeric | 6:1 | 9:1 |
| Amount of SG | B | mg | Numeric | Zero | 100 |
| phospholipid type | C | --- | Categoric | SPC | DPPC |
| Dependent Responses | Response Symbol | Unit | (Goals) | ||
| Product yield | Y1 | % | Maximize | ||
| Entrapment efficiency | Y2 | % | Maximize | ||
| Particle size | Y3 | nm | Minimize | ||
| Polydispersity index | Y4 | --- | Minimize | ||
| Zeta potential | Y5 | mV | Maximize (as absolute value) | ||
| Cumulative percentage of drug release after 6 h | Y6 | % | Maximize | ||
| Formulation Code | A | B | C | PY% (Y1) | EE% (Y2) | PS (nm) (Y3) | PDI (Y4) | ZP (mV) (Y5) | Q6h (Y6) |
|---|---|---|---|---|---|---|---|---|---|
| PL1 | 9:1 | Zero | SPC | 92.7 ± 2.83 | 71.8 ± 2.01 | 330.1 ± 55.65 | 0.603 ± 0.03 | −42.4 ± 4.80 | 80.95 ± 1.36 |
| PL2 | 6:1 | Zero | SPC | 88.6 ± 2.19 | 83.4 ± 0.81 | 385.7 ± 49.18 | 0.585 ± 0.04 | −50.1 ± 1.80 | 86.59 ± 3.01 |
| PL3 | 9:1 | Zero | DPPC | 91.7 ± 1.93 | 81.2 ± 2.17 | 1358.3 ± 95.84 | 0.447 ± 0.02 | −25.4 ± 1.35 | 84.23 ± 4.56 |
| PL4 | 6:1 | Zero | DPPC | 90.2 ± 2.61 | 88.9 ± 0.94 | 1462.3 ± 28.86 | 0.327 ± 0.01 | −18.2 ± 0.60 | 82.49 ± 1.69 |
| PL5 | 9:1 | 100 | SPC | 98.5 ± 1.74 | 81.7 ± 1.32 | 490.3 ± 21.75 | 0.396 ± 0.06 | −40.1 ± 1.04 | 84.59 ± 4.19 |
| PL6 | 6:1 | 100 | SPC | 97.3 ± 0.77 | 88.7 ± 1.40 | 523.7 ± 25.86 | 0.205 ± 0.06 | −42.4 ± 1.10 | 88.79 ± 2.03 |
| PL7 | 9:1 | 100 | DPPC | 98.8 ± 0.45 | 87.9 ± 0.75 | 1695.3 ± 46.76 | 0.528 ± 0.08 | −20.1 ± 1.40 | 86.31 ± 1.45 |
| PL8 | 6:1 | 100 | DPPC | 97.1± 1.15 | 96.1 ± 0.51 | 1801.6 ± 45.61 | 0.517 ± 0.05 | −19.7 ± 0.73 | 87.02 ± 1.88 |
| Suggested Model | Y1 (%) | Y2 (%) | Y3 (nm) | Y4 | Y5 (mV) | Y6 (%) |
|---|---|---|---|---|---|---|
| Linear | Linear | Linear | 2-FI | Linear | 2-FI | |
| p-Value | p-Value | p-Value | p-Value | p-Value | p-Value | |
| Model | 0.0011 * | 0.0006 * | <0.0001 * | 0.4922 | 0.0056 * | 0.3698 |
| A | 0.0216 * | 0.0007 * | 0.2073 | 0.4408 | 0.8404 | 0.2647 |
| B | 0.0003 * | 0.0013 * | 0.0081 * | 0.4638 | 0.2842 | 0.1928 |
| C | 0.7780 | 0.0014 * | <0.0001 * | 0.9325 | 0.0012 * | 0.8599 |
| AB | --- | --- | --- | 0.8579 | --- | 0.8383 |
| AC | --- | --- | --- | 0.8282 | --- | 0.2188 |
| BC | --- | --- | --- | 0.2022 | --- | 0.8756 |
| Significant factors | A, B | A, B, C | B, C | ---- | C | ---- |
| R2 Analysis | ||||||
| R2 | 0.9762 | 0.9821 | 0.9929 | 0.9237 | 0.9451 | 0.9589 |
| Adequate precision | 16.2385 | 25.5932 | 29.4301 | 4.2675 | 9.6516 | 6.0941 |
| Adjusted R2 | 0.9584 | 0.9688 | 0.9875 | 0.4659 | 0.9039 | 0.7124 |
| Predicted R2 | 0.9049 | 0.9286 | 0.9715 | −3.8833 | 0.7803 | −1.6297 |
| Release Model | R2 | |||||||
|---|---|---|---|---|---|---|---|---|
| PL1 | PL2 | PL3 | PL4 | PL5 | PL6 | PL7 | PL8 | |
| Zero order | 0.1912 | 0.2646 | 0.2565 | 0.1951 | 0.0545 | 0.0737 | 0.0860 | 0.0536 |
| First order | 0.8923 | 0.9381 | 0.9070 | 0.9100 | 0.9019 | 0.9403 | 0.9303 | 0.9257 |
| Higuchi | 0.8727 | 0.9009 | 0.9012 | 0.8547 | 0.8131 | 0.8174 | 0.8122 | 0.8021 |
| Korsmeyer–Peppas | 0.9612 | 0.9722 | 0.9762 | 0.9363 | 0.9387 | 0.9365 | 0.9236 | 0.9246 |
| Hixson–Crowell | 0.7961 | 0.8662 | 0.8153 | 0.8312 | 0.8286 | 0.8886 | 0.8784 | 0.8710 |
| Best fit model | Korsmeyer–Peppas | Korsmeyer–Peppas | Korsmeyer–Peppas | Korsmeyer–Peppas | Korsmeyer–Peppas | First order | First order | First order |
| n-value of Korsmeyer–Peppas | 0.312 | 0.328 | 0.324 | 0.318 | 0.283 | 0.287 | 0.293 | 0.284 |
| Y1 (%) | Y2 (%) | Y3 (nm) | Y4 | Y5 (mV) | Y6 (%) | |
|---|---|---|---|---|---|---|
| Predicted values | 96.775 | 89.35 | 591.675 | 0.240 | −42.325 | 89.276 |
| Observed values | 97.3 | 88.7 | 523.7 | 0.205 | −42.4 | 88.79 |
Disclaimer/Publisher’s Note: The statements, opinions and data contained in all publications are solely those of the individual author(s) and contributor(s) and not of MDPI and/or the editor(s). MDPI and/or the editor(s) disclaim responsibility for any injury to people or property resulting from any ideas, methods, instructions or products referred to in the content. |
© 2025 by the authors. Licensee MDPI, Basel, Switzerland. This article is an open access article distributed under the terms and conditions of the Creative Commons Attribution (CC BY) license (https://creativecommons.org/licenses/by/4.0/).
Share and Cite
Alyami, M.H.; Alyami, H.S.; Abdo, A.M.; A. Sabry, S.; Mansour, S.M.G.; El-Nahas, H.M.; Ayoub, M.M. Experimental Investigation into the Design, Optimization, Toxicity, and Anti-Viral Efficacy of Proliposomes Loaded with Ivermectin Against Infectious Bronchitis Virus Using an Embryonated Chicken Egg Model. Pharmaceutics 2025, 17, 165. https://doi.org/10.3390/pharmaceutics17020165
Alyami MH, Alyami HS, Abdo AM, A. Sabry S, Mansour SMG, El-Nahas HM, Ayoub MM. Experimental Investigation into the Design, Optimization, Toxicity, and Anti-Viral Efficacy of Proliposomes Loaded with Ivermectin Against Infectious Bronchitis Virus Using an Embryonated Chicken Egg Model. Pharmaceutics. 2025; 17(2):165. https://doi.org/10.3390/pharmaceutics17020165
Chicago/Turabian StyleAlyami, Mohammad H., Hamad S. Alyami, Asmaa M. Abdo, Shereen A. Sabry, Shimaa M. G. Mansour, Hanan M. El-Nahas, and Margrit M. Ayoub. 2025. "Experimental Investigation into the Design, Optimization, Toxicity, and Anti-Viral Efficacy of Proliposomes Loaded with Ivermectin Against Infectious Bronchitis Virus Using an Embryonated Chicken Egg Model" Pharmaceutics 17, no. 2: 165. https://doi.org/10.3390/pharmaceutics17020165
APA StyleAlyami, M. H., Alyami, H. S., Abdo, A. M., A. Sabry, S., Mansour, S. M. G., El-Nahas, H. M., & Ayoub, M. M. (2025). Experimental Investigation into the Design, Optimization, Toxicity, and Anti-Viral Efficacy of Proliposomes Loaded with Ivermectin Against Infectious Bronchitis Virus Using an Embryonated Chicken Egg Model. Pharmaceutics, 17(2), 165. https://doi.org/10.3390/pharmaceutics17020165

