Abstract
Background/Objectives: Despite their long history of clinical use, aminoglycosides remain important broad-spectrum antibiotics, exhibiting potent activity against Gram-positive, Gram-negative, and mycobacterial pathogens. However, the growing prevalence of antimicrobial resistance, along with the well-documented nephrotoxicity and ototoxicity associated with this class, underscores the urgent need for novel derivatives with enhanced pharmacological and safety profiles. Methods: In this study, we developed a synthetic approach for the synthesis of new apramycin derivatives featuring structural modifications at the 6″-position of 4-amino-4-deoxy-D-glucose residue, specifically through the introduction of aminoalkylamine and guanidinoalkylamine substituents. The synthesized compounds were evaluated for their antimicrobial activity against a broad panel of bacterial strains, including multidrug-resistant clinical isolates. Results: The obtained derivatives of apramycin demonstrated significant antibacterial activity, retaining potency against strains resistant to conventional aminoglycosides. Moreover, the new compounds exhibited the ability to circumvent aminoglycoside resistance mediated by enzymatic modification and showed reduced cytotoxicity in mammalian cell assays. Conclusions: The distinctive pharmacological properties of apramycin and its newly synthesized derivatives, particularly their resilience to common resistance mechanisms and low cytotoxicity, highlight apramycin as a valuable structural scaffold for the development of next-generation aminoglycoside antibiotics with improved efficacy and safety.
1. Introduction
The overuse and misuse of antibiotics in medicine, agriculture, and animal husbandry have fueled a global antibiotics crisis, undermining the effectiveness of life-saving drugs. This has accelerated the development of antimicrobial resistance (AMR), leading to the rise in multidrug-resistant pathogens that threaten modern healthcare. According to the World Health Organization (WHO), a 2017 report identified 12 priority pathogens exhibiting resistance to multiple classes of antibiotics [1]. By 2024, this number had increased to 15, reflecting the accelerating pace at which resistant strains are emerging [2]. A striking feature of these pathogens is that the majority are Gram-negative bacteria, which present unique challenges due to their complex cell wall structure and ability to acquire and transfer resistance genes. Many of these strains exhibit multidrug resistance (MDR), significantly limiting available treatment options. Notably, the 2024 report also documented the appearance of the first Mycobacterium tuberculosis strain resistant to rifampicin, one of the cornerstone drugs for tuberculosis (TB) therapy, signaling a critical threat to global TB control programs.
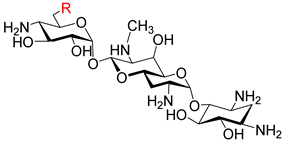
Among the earliest antibiotics to be discovered were aminoglycosides (AG, Figure 1), which remain clinically important nowadays. These compounds possess a broad spectrum of activity against Gram-positive (G+) and Gram-negative (G−) bacteria, as well as mycobacteria [3]. Their mechanism of action, which involves binding to the bacterial 30S ribosomal subunit to disturb protein synthesis, makes them particularly valuable in treating severe infections, including sepsis, endocarditis, and drug-resistant tuberculosis. Despite their clinical utility, the use of aminoglycosides over the past decades has inevitably led to the emergence of resistance, mediated through diverse mechanisms such as enzymatic modification, ribosomal target alteration, and reduced drug uptake [4].
Figure 1.
Examples of natural and semisynthetic aminoglycoside antibiotics.
The persistence of AGs in clinical practice underscores both their therapeutic importance and the challenges posed by resistance. The current situation highlights the need for new strategies, including the development of next-generation derivatives with improved pharmacological properties, combination therapies to minimize resistance development, and novel adjuvants that can restore aminoglycoside efficacy. In parallel, global stewardship initiatives, stricter regulation of antibiotic use, and investment in surveillance systems remain critical to slowing the spread of resistance and safeguarding the effectiveness of antibiotics used in clinics and veterinary settings.
Apramycin is a natural antibiotic belonging to the aminoglycoside class. Unlike most natural and semi-synthetic AGs, its structural features differ markedly, particularly through the attachment of a monosubstituted 2-deoxystreptamine to a disaccharide containing bicyclic dialdose with a displaced binding site in the 30S ribosome (Figure 1) [5]. This unique structural configuration sets it apart from the classical 4,6-substituted AGs and plays a crucial role in both its antibacterial activity and resistance profile.
Originally, apramycin was developed and widely used as a veterinary drug. However, recent evidence has prompted renewed interest in its clinical potential for human medicine. A phase I clinical trial (NCT04105205) demonstrated that apramycin was safe in humans, with full results pending publication. Another ongoing phase I trial in the United States (NCT05590728) is assessing its pharmacokinetics in lung epithelial lining fluid and serum, aiming to evaluate its potential for the treatment of respiratory infections. Apramycin has exhibited potency against multidrug-resistant Gram-negative pathogens [6,7,8] and mycobacteria, including strains resistant to conventional treatment regimens [9,10]. Although AGs are often associated with significant oto- and nephrotoxicity [11], apramycin has demonstrated a comparatively favorable safety profile [12]. In preclinical studies, renal toxicity in rat models was significantly lower compared to gentamicin [13]. Similarly, in explanted cochlear models, apramycin did not appear to induce ototoxicity, possibly due to its reduced affinity for mitochondrial and eukaryotic ribosomes.
Aminoglycoside resistance is most commonly mediated by aminoglycoside-modifying enzymes (AMEs), which inactivate drugs by chemical modification (Figure 2) [14]. Three major families of AMEs have been described: acetyltransferases (ACC), which acetylate amino groups; phosphotransferases (APH), which phosphorylate hydroxyl groups; and adenylyltransferases (ANT), which adenylylate hydroxyl groups. These enzymatic processes render most AGs inactive. Notably, chemical modification of natural aminoglycosides can yield antibiotics that are resistant to inactivation by AMEs. A striking example is plazomicin, a semisynthetic derivative of sisomicin, which remains stable against numerous AMEs produced by multidrug-resistant bacteria (Figure 2) [15]. Apramycin similarly demonstrates intrinsic resistance to many AMEs, thereby evading the most prevalent aminoglycoside resistance mechanisms [16]. Moreover, its broad-spectrum antibacterial activity further underscores the potential of apramycin as a promising candidate in the fight against antimicrobial resistance.
Figure 2.
Action of aminoglycoside-modifying enzymes on natural and semi-synthetic aminoglycosides.
Despite its clinical promise, only a limited number of chemical modifications of apramycin have been reported to date. Among them, the synthesis of apramycin 5-O-glycosides and ethers has shown improved antibacterial activity [17]. However, the rapid evolution of resistance among bacterial pathogens necessitates continued efforts to develop novel apramycin derivatives. In the present work, we describe the synthesis of apramycin derivatives modified at the 6″-position. This site was selected for several reasons: (i) it contains the only primary hydroxyl group, providing a high degree of reaction selectivity, and (ii) it does not participate directly in ribosomal binding, minimizing the risk of compromising antibacterial activity. We further evaluated the antibacterial properties of these derivatives against control strains and clinically relevant resistant pathogens, as well as cytotoxicity. Additionally, the mechanism of antibacterial action was evaluated.
2. Materials and Methods
2.1. Chemistry
Instruments, General Information, and Synthetic Procedures
Apramycin sulfate was sourced from Vostok Ltd. (Omutninsk, Russia). Unless otherwise specified, all reagents and solvents were obtained from commercial suppliers and were used without additional purification. Pyridine was dried over KOH, then over CaCl2, and distilled prior to use. Thin-layer chromatography (TLC) was performed on silica gel 60F254 plates (Merck, Darmstadt, Germany), and column chromatography was carried out using silica gel 60 (0.040–0.063 mm, Merck, Darmstadt, Germany). Visualization of apramycin and its derivatives on TLC plates was achieved using iodine vapor or 6N sulfuric acid, followed by heating; UV-active compounds were additionally detected under ultraviolet light (254 nm). All extracts were dried over anhydrous sodium sulfate and concentrated under reduced pressure at temperatures below 40 °C. Analytical high-performance liquid chromatography (HPLC) analysis was conducted on an LC-20AD system (Shimadzu, Kyoto, Japan) equipped with a UV detector and a Kromasil-100-C18, 4.6 mm × 250 mm column (Fisher Scientific, Pittsburgh, PA, USA), at a flow rate of 1 mL/min using the following mobile phase systems: System A1: A (0.2% aqueous ammonium formate, pH 4.5) and B (acetonitrile), with a linear gradient of acetonitrile from 40% to 90% over 30 min; System A2: A (water) and B (acetonitrile), with a linear gradient of acetonitrile from 80% to 95% over 30 min; and System A3: A (0.2% aqueous ammonium formate, pH 4.5) and B (acetonitrile), with a linear gradient of acetonitrile from 40% to 95% over 30 min. The purity of UV-absorbing intermediates was determined to be at least 90% by HPLC. Derivatives of apramycin were purified with reversed-phase chromatography on SepaBean machine T flash chromatograph (Santai, Jaingsu, China) on cartridge sepaflash spherical C18 (Santai, Jaingsu, China). 1H and 13C NMR spectra were recorded in DMSO-d6 or D2O solutions at 25 °C on a Bruker AV III 500 MHz spectrometer (Bruker Biospin AG, Fällanden, Switzerland), working at 500.2 MHz and 125.8 MHz, respectively. Signals were assigned using previously described methods [18,19]. High-resolution mass spectra (HRMS) were registered using electrospray ionization (ESI) on a Bruker Daltonics microOTOF-QII instrument. Elemental analysis was performed on a PerkinElmer 2400 CHN automatic microanalyzer (PerkinElmer, Inc., Waltham, MA, USA).
2,6,4′,6′,4″-(Penta-N-Cbz)-apramycin (2). To a solution of apramycin monosulfate (1, 1.50 g, 2.35 mmol) in a saturated aqueous solution of Na2CO3 (20 mL) at 0 °C, a solution of Cbz-Cl (2.0 mL, 2.4 g, 14.3 mmol) in acetone (8.5 mL) was added dropwise, maintaining the temperature at 0 °C. The reaction mixture was stirred with cooling for 2 h and then for 12 h at room temperature. Completion of the reaction was controlled by TLC. White precipitate was filtered off, then suspended in aqueous HCl (1 N, 50 mL), stirred for 30 min, and filtered off again. The crude solid was reprecipitated with H2O (50 mL) from DMSO (5 mL), the precipitate was filtered off, washed with water (3 × 10 mL), and dried under vacuum over P2O5. The yield of compound 2 was 2.45 g (86%) as a light beige solid. Rf = 0.45 (CHCl3:MeOH = 13:1), and HPLC (system A1) tR = 17.6 min. HRMS (ESI): calculated for [C61H75N6O21]+ = 1227.498 0, found [M + NH4]+ = 1227.4946. 1H NMR (DMSO-d6; δ, ppm; J, Hz): 1.39–3.41 (m, 7H), 1.70–5.21 (m, 9H), 3.00 (s, 3H), 3.18–5.17 (m, 7H), 4.97–5.23 (m, 10H), 7.10 (s, 1H), 7.15 (s, 1H), 7.21–7.41 (m, 25H), 7.28 (s, 1H), 7.32 (s, 1H). 13C NMR (DMSO-d6; δ, ppm): 29.7, 32.2, 34.5, 50.1, 50.3, 51.2, 53.6, 58.0, 61.1, 65.1, 65.3, 66.2, 66.2, 69.4, 69.5, 70.3, 72.0, 72.8, 73.9, 76.9, 82.5, 93.4, 95.2, 97.9, 127.2, 127.6, 128.2, 128.5, 128.7, 136.9, 137.1, 137.2, 137.7, 155.4, 155.7, 155.9, 155.9, 156.5. Full 1H and 13C NMR signal assignments are available in the Supporting Information.
2,6,4′,6′,4″-(Penta-N-Cbz)-6″-O-(2,4,6-triisopropylbenzosulfonyl)apramycin (3a) and 2,6,4′,6′,4″-(Penta-N-Cbz)-2″,6″-(di-O-(2,4,6-triisopropylbenzosulfonyl))apramycin (3b). To a solution of 2,6,4′,6′,4″-(penta-N-Cbz)-apramycin (2, 260 mg, 0.41 mmol) and 4-(dimethylamino)pyridine (113 mg, 0.93 mmol) in dry pyridine (3 mL) was added 2,4,6-triisopropylbenzenesulfonyl chloride (281 mg, 0.93 mmol). The reaction mixture was stirred for 6 h at room temperature, then an additional 2,4,6-triisopropylbenzenesulfonyl chloride (281 mg, 0.93 mmol) was added and stirred for 20 h. Completion of the reaction was controlled by TLC. The reaction was quenched by the addition of aqueous HCl (1 N, 10 mL) and H2O (10 mL). The product was extracted with ethyl acetate (3 × 20 mL), the extracts were combined, dried over Na2SO4, and evaporated to dryness. The crude residue was purified by column chromatography on silica gel eluting with chloroform (200 mL), bringing the gradient to a mixture of chloroform and methanol (50:1) (200 mL). Fractions containing products 3a and 3b were combined and evaporated to dryness to obtain a product mixture, which was then separated by reversed-phase chromatography (gradient from 10% to 75% over 10 CV, then from 75% to 100% over 15 CV, water–acetonitrile system); fractions containing the products were combined and evaporated to dryness.
The yield of compound 3a is 120 mg (20%) as a white solid. Rf = 0.6 (CHCl3:MeOH = 13:1), HPLC (system A2) tR = 12.9 min. HRMS (ESI): calculated for [C76H97N6O23S]+ = 1493.6320, found [M + NH4]+ = 1493.6291. 1H NMR (DMSO-d6; δ, ppm; J, Hz): 1.10–1.16 (m, 18H), 1.41–3.44 (m, 7H), 1.70–5.13 (m, 9H), 2.79 (s, 2H), 3.00 (s, 3H), 3.58–5.48 (m, 7H), 4.57 (s, 1H), 4.78–5.27 (m, 10H), 6.83 (s, 1H), 6.95 (s, 2H), 7.11–7.41 (m, 25H), 7.14 (s, 1H), 7.28 (s, 1H), 7.42 (s, 1H). 13C NMR (DMSO-d6; δ, ppm): 23.8, 24.8, 27.9, 29.9, 31.9, 33.2, 34.4, 34.5, 50.4, 50.4, 51.5, 57.2, 58.3, 65.4, 66.1, 66.2, 66.4, 67.9, 69.1, 69.6, 70.0, 70.3, 74.2, 76.7, 76.9, 82.7, 95.0, 95.6, 98.0, 123.4, 123.4, 123.5, 123.7, 123.8, 123.8, 127.2, 127.5, 127.7, 128.1, 128.3, 128.4, 128.6, 136.8, 136.9, 137.0, 137.1, 137.2, 153.8, 155.1, 155.4, 155.7, 155.8, 156.3. Full 1H and 13C NMR signal assignments are available in the Supporting Information.
The yield of compound 3b is 90 mg (15%) as a white solid. Rf = 0.7 (CHCl3:MeOH = 13:1), HPLC (system A2) tR = 28.6 min. HRMS (ESI): calculated for [C91H119N6O25S2]+ =1759.7661, found [M + NH4]+ = 1759.7694. 1H NMR (DMSO-d6; δ, ppm; J, Hz): 1.16–1.24 (m, 36H), 1.37–3.42 (m, 7H), 1.58–5.14 (m, 9H), 2.98 (s, 3H), 3.30–5.40 (m, 7H), 4.02–4.12 (m, 6H), 4.94–5.15 (m, 10H), 6.69 (s, 1H), 6.92 (s, 1H), 7.16 (s, 1H), 7.21 (s, 2H), 7.21–7.38 (m, 25H), 7.28 (s, 1H), 7.32 (s, 2H). 13C NMR (DMSO-d6; δ, ppm): 23.2, 23.2, 29.1, 29.1, 29.1, 29.1, 29.6, 31.8, 34.4, 34.4, 34.7, 50.5, 50.5, 51.2, 54.4, 58.1, 65.1, 65.4, 65.9, 66.1, 66.2, 66.2, 68.6, 69.5, 69.6,70.4, 73.9, 76.8, 77.5, 83.7, 93.2, 93.8, 98.8, 123.4, 123.4, 123.4, 123.4, 123.5, 123.8, 123.8, 123.8, 123.8, 123.9, 127.2, 127.7, 128.3, 136.8, 137.2, 137.5, 149.9, 150.4, 153.1, 153.9, 155.4, 155.8. Full 1H and 13C NMR signal assignments are available in the Supporting Information.
6″-((2-Aminoethyl-1)-amino)-2,6,4′,6′,4″-(penta-N-Cbz)-6″-deoxyapramycin (4a). Compound 3a (500 mg, 0.34 mmol) was dissolved in ethylenediamine (3 mL) and stirred at room temperature for 24 h. Completion of the reaction was controlled by TLC. The reaction mixture was diluted with H2O (50 mL), the resulting precipitate was filtered off and washed with H2O (3 × 10 mL). A crude product was further purified by reversed-phase chromatography (gradient from 5% to 40% over 15 CV, then from 40% to 50% over 8 CV, ammonium acetate pH = 5-acetonitrile system), fractions containing the product were combined and evaporated to a volume of 2–3 mL, alkalinized with an aqueous solution of NH4OH to pH = 8, the resulting precipitate was filtered and dried under vacuum at 45 °C and then under vacuum over P2O5. The yield of compound 4a is 150 mg (35%) as a white solid. Rf = 0.37 (CHCl3:MeOH:HCOOH 13:5:0.1), HPLC (system A3) tR = 11.3 min. HRMS (ESI): calculated for [C63H78N7O20]+ = 1252.5296, found [M + H]+ = 1252.5286. 1H NMR (DMSO-d6; δ, ppm; J, Hz): 1.38–3.41 (m, 7H), 1.69–5.19 (m, 9H), 2.44 (s, 2H), 2.49 (s, 2H), 2.52–5.16 (m, 7H), 3.03 (s, 3H), 4.70–5.27 (m, 10H), 7.09 (s, 1H), 7.13 (s, 1H), 7.20–7.40 (m, 25H), 7.25 (s, 1H), 7.27 (s, 1H). 13C NMR (DMSO-d6; δ, ppm): 29.7, 32.2, 34.5, 41.2, 50.1, 50.3, 50.3, 51.2, 52.3, 54.9, 58.0, 65.0, 65.1, 65.2, 66.2, 66.3, 69.5, 69.5, 70.3, 71.6, 72.0, 73.9, 76.9, 82.5, 93.6, 95.2, 97.9, 127.2, 127.5, 127.6, 128.1, 128.2, 137.0, 137.1, 137.2, 137.7, 155.4, 155.5, 155.7, 155.9, 156.3. Full 1H and 13C NMR signal assignments are available in the Supporting Information.
6″-((3-Aminopropyl-1)amino)-2,6,4′,6′,4″-(penta-N-Cbz)-6″-deoxyapramicyn (4b). Compound 4b was prepared from 3a and propan-1,3-diamine as described for 4a. White powder, yield 52%. Rf = 0.35 (CHCl3:MeOH:HCOOH 13:5:0.1), HPLC (system A3) tR = 8.7 min HRMS (ESI): calculated for [C64H80N7O20]+ = 1266.5453, found [M + H]+ = 1266.5399. 1H NMR (DMSO-d6; δ, ppm; J, Hz): 1.39–3.41 (m, 7H), 1.69–5.19 (m, 9H), 2.46 (s, 2H), 2.52 (s, 2H), 2.52–5.16 (m, 7H), 2.55 (s, 2H), 3.03 (s, 3H), 4.88–5.24 (m, 10H), 7.08–7.40 (m, 25H), 7.10 (s, 1H), 7.14 (s, 1H), 7.26 (s, 1H), 7.26 (s, 1H). 13C NMR (DMSO-d6; δ, ppm): 29.7, 32.2, 34.5, 39.6, 47.4, 50.1, 50.3, 50.3, 50.7, 51.2, 55.0, 58.0, 65.1, 65.2, 66.2, 66.3, 69.5, 69.5, 70.3, 71.6, 72.0, 73.9, 76.9, 82.5, 93.6, 95.2, 97.9, 127.2, 127.5, 127.6, 128.2, 137.1, 137.2, 137.7, 155.4, 155.7, 155.9, 156.3. Full 1H and 13C NMR signal assignments are available in the Supporting Information.
6″-((2-Aminoethyl-1)-amino)-6″-deoxyapramycin acetate (5a). 6″-(2-Aminoethyamino)-2,6,4′,6′,4″-(penta-N-Cbz)-6″-deoxyapramycin (4a, 50 mg, 0.04 mmol) was dissolved in methanol (2 mL), and Pd on carbon (5 mass. %, 70 mg) was added to the solution. Acetic acid was added to the mixture until pH = 3 was reached, and the mixture was vigorously stirred at H2 flow (22 psi) for 4 h at room temperature. Completion of the reaction was controlled by TLC. The catalyst was filtered off via celite pad; the filter cake was washed with methanol (5 mL) and H2O (5 mL), and the combined filtrate was concentrated under vacuum. The target compound was precipitated with a mixture of isopropyl alcohol (5 mL) and acetone (20 mL), filtered off, and dried under vacuum over P2O5. The yield of compound 5a was 21 mg (60%) as a white solid. Rf = 0.38 (NH4OH:iPrOH 10:7). HRMS (ESI): calculated for [C23H48N7O10]+ = 582.3457, found [M + H]+ = 582.3447. 1H NMR (DMSO-d6; δ, ppm; J, Hz): 1.94–3.65 (m, 7H), 1.97 (s, 15H), 2.03–5.57 (m, 9H), 2.71 (s, 3H), 2.88–5.51 (m, 7H), 3.03 (s, 2H), 3.20 (s, 2H). 13C NMR (DMSO-d6; δ, ppm): 26.2, 30.9, 33.6, 34.3, 41.0, 48.7, 51.2, 51.6, 52.2, 53.2, 56.9, 63.1, 66.6, 69.2, 72.7, 73.4, 73.8, 74.1, 76.3, 78.2, 86.2, 96.7, 97.3, 99.5, 184.2. Elem. anal.: calculated for [C23H47N7O10 × 5AcOH × 3H2O]: C, 42.35; H, 7.86; N, 10.48. Found: C, 42.68; H, 8.18; N, 10.13. Full 1H and 13C NMR signal assignments are available in the Supporting Information.
6″-((3-Aminopropyl-1)-amino)-6″-deoxyapramycin acetate (5b). Compound 5b was prepared from 4b as described for 5a. White solid, yield 40%. Rf = 0.37 (NH4OH:iPrOH 10:7). HRMS (ESI): calculated for [C24H50N7O10]+ = 596.3614, found [M + H]+ = 596.3674. 1H NMR (DMSO-d6; δ, ppm; J, Hz): 1.64–3.64 (m, 7H), 1.97 (s, 15H), 2.02–5.58 (m, 9H), 2.11 (s, 2H), 2.71 (s, 3H,), 2.75–5.46 (m, 7H), 3.10 (s, 2H), 3.13 (s, 2H). 13C NMR (DMSO-d6; δ, ppm): 26.1, 27.1, 30.8, 33.7, 34.2, 40.9, 48.1, 51.2, 51.6, 51.9, 53.2, 57.3, 63.2, 66.5, 69.1, 72.8, 73.1, 73.4, 74.5, 76.3, 78.2, 86.1, 97.3, 97.3, 99.4, 184.3. Elem. anal.: calculated for [C24H49N7O10 × 5AcOH × 3H2O]: C, 42.99; H, 7.96; N, 10.32. Found: C, 43.35; H, 8.22; N, 10.03. Full 1H and 13C NMR signal assignments are available in the Supporting Information.
6″-((2-Aminoethyl-1)-amino)-2,6,4′,6′,4″-(penta-N-Cbz)-2″-O-(2,4,6-triisopropylbenzosulfonyl)-6″-deoxyapramycin (6). Compound 3b (160 mg, 0.03 mmol) was dissolved in ethylenediamine (1.0 mL) and stirred at room temperature for 24 h. Completion of the reaction was controlled by TLC. The reaction mixture was diluted with H2O (50 mL), the forming precipitate was filtered off, washed with H2O (3 × 10 mL), and dried under vacuum at 45 °C and then under vacuum over P2O5. The yield of compound 6 was 110 mg (79%) as a white solid. Rf = 0.45 (CHCl3:MeOH:HCOOH 13:5:0.1). HRMS (ESI): calculated for [C78H100N7O22S]+ = 1518.6637, found [M + H]+ = 1518.6676. 1H NMR (DMSO-d6; δ, ppm; J, Hz): 1.12–1.27 (m, 18H), 1.39–3.43 (m, 7H), 1.59–5.18 (m, 9H), 2.56 (s, 2H), 2.58–5.44 (m, 7H), 2.62 (s, 2H), 2.93 (s, 2H), 3.04 (s, 3H), 4.13 (s, 1H), 4.96–5.08 (m, 10H), 6.95 (s, 1H), 7.16 (s, 1H), 7.22–7.36 (m, 25H), 7.30 (s, 2H), 7.34 (s, 1H), 7.41 (s, 1H). 13C NMR (DMSO-d6; δ, ppm): 23.4, 24.4, 27.7, 29.2, 29.9, 32.3, 33.2, 34.6, 40.6, 49.5, 50.5, 50.6, 50.6, 51.5, 55.7, 58.3, 65.1, 65.2, 66.1, 66.2, 66.2, 66.9, 69.7, 70.5, 71.5, 74.1, 76.8, 78.2, 83.9, 92.9, 94.2, 98.8, 123.4, 123.4, 123.4, 123.8, 123.8, 127.2, 127.6, 127.7, 128.3, 136.9, 137.0, 137.2, 137.5, 153.0, 155.4, 155.7. Full 1H and 13C NMR signal assignments are available in the Supporting Information.
2,6,4′,6′,4″-(Penta-N-Cbz)-6″-(2-guanidinoethyl-1-)amino)-6″-deoxyapramycin (7a). To a mixture of 6″-(2-aminoethylamino)-2,6,4′,6′,4″-(penta-N-Cbz)-6″-deoxyapramycin (4a, 100 mg, 0.08 mmol) and 1H-pyrazole-1-carboximidamide hydrochloride (18 mg, 0.16 mmol) in DMF (1 mL) was added diisopropylethylamine (DIPEA, 42 μL, 0.24 mmol). The reaction mixture was stirred at room temperature for 24 h. Completion of the reaction was controlled by TLC. Water (50 mL) was added to the reaction mixture. The forming precipitate was filtered off, washed with H2O (3 × 10 mL), and dried under vacuum over P2O5. The yield of compound 7a was 70 mg (68%) as a white solid. Rf = 0.32 (CHCl3:MeOH:HCOOH = 5:1:0.3), HPLC (system A3) tR = 9.8 min. HRMS (ESI): calculated for [C64H80N9O20]+ = 1294.5514, found [M + H]+ = 1294.5528. 1H NMR (DMSO-d6; δ, ppm; J, Hz): 1.38–3.41 (m, 7H), 1.69–5.19 (m, 9H), 2.52–5.16 (m, 7H), 2.53 (s, 2H), 2.56 (s, 2H), 3.10 (s, 3H), 4.70–5.27 (m, 10H), 7.05 (s, 1H), 7.10 (s, 1H), 7.20–7.40 (m, 25H), 7.21 (s, 1H), 7.23 (s, 1H). 13C NMR (DMSO-d6; δ, ppm): 29.7, 32.2, 34.5, 41.2, 50.1, 50.3, 50.3, 51.2, 52.3, 54.9, 58.0, 65.0, 65.1, 65.2, 66.2, 66.3, 69.5, 69.5, 70.3, 71.6, 72.0, 73.9, 76.9, 82.5, 93.6, 95.2, 97.9, 127.2, 127.5, 127.6, 128.1, 128.2, 137.0, 137.1, 137.2, 137.7, 155.4, 155.5, 155.7, 155.9, 156.3, 161.9.
2,6,4′,6′,4″-(Penta-N-Cbz)-6″-((3-guanidinopropyl-1)-amino)-6″-deoxyapramycin (7b). Compound 7b was prepared from 4b as described for 7a. The yield of compound 7b was 75% as a white solid. Rf = 0.30 (CHCl3:MeOH:HCOOH = 5:1:0.3), HPLC (system A3) tR = 9.2 min. HRMS (ESI): calculated for [C65H82N9O20]+ = 1308.5671, found [M + H]+ = 1308.5710. 1H NMR (DMSO-d6; δ, ppm; J, Hz): 1.39–3.41 (m, 7H), 1.69–5.19 (m, 9H), 2.68 (s, 2H), 2.70 (s, 2H), 2.52–5.16 (m, 7H), 2.72 (s, 2H), 3.03 (s, 3H), 4.88–5.24 (m, 10H), 7.08–7.40 (m, 25H), 7.13 (s, 1H), 7.16 (s, 1H), 7.28 (s, 1H), 7.28 (s, 1H). 13C NMR (DMSO-d6; δ, ppm): 29.7, 32.2, 34.5, 39.6, 47.4, 50.1, 50.3, 50.3, 50.7, 51.2, 55.0, 58.0, 65.1, 65.2, 66.2, 66.3, 69.5, 69.5, 70.3, 71.6, 72.0, 73.9, 76.9, 82.5, 93.6, 95.2, 97.9, 127.2, 127.5, 127.6, 128.2, 137.1, 137.2, 137.7, 155.4, 155.7, 155.9, 156.3, 162.3.
6″-((2-Guanidinoethyl-1)-amino)-6″-deoxyapramycin acetate (8a). Compound 8a was prepared from 7a as described for 5a. The yield of compound 8a was 76% as a white solid. Rf = 0.35 (NH4OH:iPrOH 10:7). HRMS (ESI): calculated for [C24H50N9O10]+ = 624.3675, found [M + H]+ = 624.3617. 1H NMR (DMSO-d6; δ, ppm; J, Hz): 1.58–3.60 (m, 7H), 1.92 (s, 15H), 1.98–5.51 (m, 9H), 2.63 (s, 3H), 2.76–5.46 (m, 7H), 3.02 (s, 2H), 3.44 (s, 2H). 13C NMR (DMSO-d6; δ, ppm): 26.1, 31.2, 33.8, 33.8, 34.5, 42.3, 49.9, 51.3, 51.6, 52.2, 53.3, 57.2, 63.2, 66.8, 69.2, 72.7, 73.3, 73.4, 74.3, 76.2, 78.2, 86.4, 97.3, 99.7, 159.9, 184.4. Elem. anal.: calculated for [C24H49N9O10 × 5AcOH × 1H2O]: C, 43.35; H, 7.60; N, 13.38. Found: C, 43.89; H, 7.86; N, 13.07. Full 1H and 13C NMR signal assignments are available in the Supporting Information.
6″-((3-Guanidinopropyl-1)-amino)-6″-deoxyapramycin acetate (8b). Compound 8b was prepared from 7b as described for 5a. The yield of compound 8b was 71% as a white solid. Rf = 0.33 (NH4OH:iPrOH 10:7). HRMS (ESI): calculated for [C25H52N9O10]+ = 638.3832, found [M + H]+ = 638.3859. 1H NMR (DMSO-d6; δ, ppm; J, Hz): 1.57–3.63 (m, 7H), 1.93–5.46 (m, 9H), 1.97 (s, 15H), 2.02 (s, 2H), 2.53 (s, 3H), 2.70–5.49 (m, 7H), 3.36 (s, 2H), 3.10 (s, 2H). 13C NMR (DMSO-d6; δ, ppm): 26.1, 28.3, 32.1, 34.4, 35.0, 41.3, 48.4, 51.4, 51.7, 51.9, 53.3, 57.4, 63.8, 67.6, 69.4, 72.4, 72.9, 73.4, 74.9, 76.8, 78.3, 87.2, 97.3, 98.0, 100.7, 159.7, 184.3. Elem. anal.: calculated for [C25H51N9O10 × 5AcOH × 1H2O]: C, 43.97; H, 7.70; N, 13.19. Found: C, 44.21; H, 7.94; N, 12.85. Full 1H and 13C NMR signal assignments are available in the Supporting Information.
2.2. Microorganisms and the Minimum Inhibitory Concentration Evaluation
The microbial strains used in this study were obtained from the collection of the Gause Institute of New Antibiotics. The control strains included in the analysis were S. aureus ATCC 29213, E. coli ATCC 25922, P. aeruginosa ATCC 27853, M. smegmatis ATCC 607. Clinical isolates E. coli MAR17-1350, K. pneumoniae APEX-5, K. pneumoniae MAR14-3395, and K. pneumoniae MAR18-1752 with multidrug resistance, including resistance to aminoglycosides were kindly provided by the Research Institute of Antimicrobial Chemotherapy (RIAC) of the Smolensk State Medical University, Smolensk. The microbial cultures were stored at −75 °C in trypticase soy broth (Becton, Dickinson, France) containing 10–15% glycerol. Storage was carried out in accordance with CLSI guidelines [20]. Prior to experimentation, the bacterial strains were revived from cryopreservation by inoculating them onto trypticase soy agar (Becton, Dickinson, France) and incubating at (36 ± 1) °C for 16–24 h. Individual morphologically homogeneous colonies were then suspended in sterile physiological saline, and the turbidity of the suspension was adjusted to 0.5 McFarland units using a DEN-1 spectrophotometer (Biosan, Riga, Latvia), which corresponds to a concentration of 1.5 × 108 CFU/mL.
2.2.1. Sample Preparation
The samples were dissolved in sterile distilled water, depending on the physicochemical properties of the compounds under investigation, to a concentration of 10,000 µg/mL. Working solutions were then prepared by serial dilution, resulting in concentrations ranging from 64 µg/mL to 0.125 µg/mL.
2.2.2. Assay Setting
Activity was evaluated by determining the minimum inhibitory concentration (MIC) values using the microdilution method in Mueller–Hinton Broth (Beckton and Dickinson, Le Pont-de-Claix, France), in accordance with the standard procedure for assessing the antimicrobial susceptibility of microorganisms [21].
The analysis was conducted in 96-well microtiter plates (Medpolymer, Saint Petersburg, Russia). The bacterial inoculum was introduced within 15 min of preparation. MIC values were determined after incubation for 15–18 h at (36 ± 1) °C. Microbial growth in the presence of the tested compounds was compared to the growth control (without exposure to the test samples). The MIC was defined as the lowest concentration at which visible microbial growth was inhibited.
To ensure the accuracy of the results, the control antibiotics kanamycin A, gentamycin, and tobramycin (Abcr GmbH, Karlsruhe, Germany) were included, along with standard reference strains: E. coli ATCC 25922. The MIC values for kanamycin A were determined as follows: E. coli ATCC 25922—1–4 µg/mL [22]. For gentamycin, the MIC values were E. coli ATCC 25922–0.25–1 µg/mL [23]. For tobramycin, the MIC values were E. coli ATCC 25922–0.25–1 µg/mL [23]. The MIC values of the reference strains were required to fall within the acceptable ranges specified in [24], provided that standard assay conditions were maintained.
2.3. Determination of the Minimum Inhibitory Concentration Against Aminoglycoside-Resistant Mutants of E. coli
The determination of the MIC values was performed on five strains from the working collection of MSU. E. coli JW5503 [25], which lacked a kanamycin resistance cassette that had been removed as per the method outlined in [26], and a strain derived from this strain through in vitro selection with kanamycin. The latter strain was found to harbor P610T substitutions in the fusA gene. Strains containing AG-modifying enzymes were obtained through the transformation of E. coli JW5503 with plasmids that carried cassettes of resistance, namely pCRISPomyces-2–AAC(3)-IV (Addgene #61737), pdualrep2–APH(3′)-II [27] and pt67–ANT(3″) [28]. The MIC determination was performed as described for JW5503 in [19].
2.4. Cell-Free Translation Inhibition Assay
The inhibitory effects of the compounds under investigation on in vitro firefly luciferase synthesis were evaluated using the E. coli S30 Extract System for Linear Templates (Promega, Madison, WI, USA), as previously described [29]. The working concentration for all tested compounds in the in vitro translation reaction was 0.4 μM. As all compounds were diluted in water, it was used as the negative control.
2.5. Determination of Translation Accuracy Using Reporters
To evaluate translation accuracy in the presence of antibiotics, E. coli JW5503 (kanamycin resistance cassette removed as per [26]) was transformed with pJC27 plasmids. These plasmids encode the β-galactosidase gene containing a mutation (E537: GAA → GAC/GGG) in its active site, alongside a control plasmid that does not contain this mutation. The synthesis of active β-galactosidase depends on translation errors occurring (when codons GAC and GGG are read as GAA). Petri dishes (9 cm) containing 20 mL of solid LB agar (1.5%), supplemented with chloramphenicol (11.3 μg/mL) and X-Gal (80 μg/mL), were prepared. A secondary soft-agar layer comprising 3.5 mL of LB agar (0.6%) supplemented with 11.3 μg/mL chloramphenicol and 0.5 mL of liquid culture (A600~1.0) was added and allowed to solidify. Antibiotics were applied to the plates in 0.1 μL aliquots at a concentration of 50 mg/mL for tobramycin, streptomycin, kanamycin, and apramycin, and for 5a, 5b, 8a, and 8b. The plates were then incubated at 37 °C for 18 h. The presence of blue-indigo staining at the periphery of the inhibition zones, which is a product of X-Gal substrate degradation by β-galactosidase, indicated that the antibiotic had induced translation errors. The results were documented using a Samsung Galaxy Tab A71 camera.
2.6. Cytotoxicity Assay
The MTT test [20] was performed in order to evaluate the effect of the compounds on eukaryotic cells’ survivability. Compounds 5a,b, 8a,b, and apramycin, as the reference drug, were tested on HEK293T human embryonic kidney cell line (ATCC). Compounds 5a,b, 8a,b, and apramycin were prepared as water solutions with a 50 mg/mL concentration. The HEK293T cell line was cultivated in DMEM/F-12 medium (Paneco LLC, Moscow, Russia) containing 10% FBS, 50 µg/mL penicillin, and 50 µg/mL streptomycin (Thermo Fisher Scientific, USA) at 37 °C in 5% CO2. Triplicates on 96-well plates were used, and 2500 HEK293T cells were seeded in 140 µL of DMEM/F-12 medium in each well during day one. The next day, compounds in twofold successive dilutions were added to these plates (concentrations in wells ranged between 2 and 250 µg/mL for 5a, 5b, and 8a, 8b). Plates were incubated for 72 h at 37 °C in 5% CO2. Afterwards, 0.5 mg/mL of the MTT reagent (Paneco LLC, Moscow, Russia) was added to each well. After 2 h of incubation, the media with MTT was replaced with 140 µL of DMSO, and all plates were placed on a shaker for 10 min for formazan to dissolve. Finally, the absorbance at a 555 nm wavelength was measured on all plates via the plate reader Victor X5 (PerkinElmer, Waltham, MA, USA). The data were then normalized, and dose–response curves and IC50 were calculated by means of GraphPad Prism version 8.0.2. (GraphPad Software, Inc., San Diego, CA, USA).
3. Results and Discussion
3.1. Chemistry
The synthesis of apramycin derivatives was performed in four steps, following a previously established strategy for the modification of the 6″-primary hydroxyl group in 4,6-disubstituted aminoglycosides. This approach has been successfully applied in the preparation of 6″-deoxy derivatives of kanamycin A and tobramycin [18,19]. The primary amino groups of apramycin were selectively protected to prevent undesired side reactions. The second step involved the selective conversion of the 6ʺ-primary hydroxyl group of the 4-amino-4-deoxy-D-glucose residue into a readily cleavable leaving group. This leaving group was substituted with a diamine residue, enabling an additional transformation of the side amino group for the introduction of structural diversity in the apramycin scaffold. Finally, the protecting groups on the amino functionalities were removed, affording the desired apramycin derivatives.
The benzyloxycarbonyl (Cbz) group was chosen as the protecting group for the primary amino functionalities of apramycin (1). Carbamoylation was carried out in a mixture of acetone and saturated aqueous Na2CO3, affording the crude protected product. Purification via precipitation from DMSO with water yielded derivative 2 in 86% yield. The key step of the modification sequence involved the selective introduction of an activation group at the 6″-position of apramycin to transform the 6″-hydroxyl into a good leaving group. Following our experience with modification of tobramycin and kanamycin A [18,19], triisopropylsulfonyl chloride (TIBSCl) was employed as a selective reagent for sulfonylation. In contrast to tobramycin and kanamycin A derivatives, sulfonylation of 2 with TIBSCl resulted in a mixture of mono- and di-sulfonylated derivatives, respectively, in almost equal quantities in the crude reaction mixture. This mixture was separated by preparative HPLC to provide the desired mono-sulfonylated product 3a in 20% yield and the di-sulfonylated by-product 3b in 15% yield (Scheme 1). The position of the second TIBSO-group in the apramycin derivative 3b was defined by analysis of NMR spectroscopy data, which clearly showed sulfonylation occurs at the 2″-position of the 4-amino-4-deoxy-D-glucose residue.
Scheme 1.
Carbamoylation and further sulfonylation reaction of apramycin (1).
The 6″-TIBSO group of 3a was substituted with ethylenediamine and 1,3-diaminopropane, affording derivatives 4a and 4b (Scheme 2) in moderate yields (35% and 52%, respectively). Literature reports suggest that the introduction of such pharmacophore moieties enhances both antibacterial activity and aqueous solubility [30]. In the final step, the benzyloxycarbonyl protecting groups were removed via hydrogenolysis on Pd/C in a MeOH–AcOH mixture. This deprotection furnished the target compounds 5a and 5b as water-soluble acetate salts, obtained in moderate yields of 60% and 40%, respectively.
Scheme 2.
Synthesis of 6″-(aminoalkylamino)-6″-deoxyapramycin derivatives 5a,b.
Next, we evaluated the possibility of double modification by nucleophilic substitution of two sulfonyloxy groups in 3b with the above-mentioned diamines. Several attempts to replace both 2″,6″-TIBSO groups in derivative 3b with ethylenediamine were made. Treatment of 3b with ethylenediamine at room temperature for 24 h, accompanied by substitution of the primary 6″-TIBSO fragment, led to the derivative 6 with a good yield of 79% (Scheme 3). An increase in the reaction temperature up to 100 °C resulted in slow degradation of the antibiotic core of 6, while replacement of the secondary and more sterically hindered 2″-TIBSO group under these conditions was not observed.
Scheme 3.
Synthesis of 6″-(aminoethylamino)-2″-TIBSO- apramycin derivative 6.
Guanidine groups are attractive for potentiating the activity of different classes, including AGs [31], as they have a positive charge at physiological pH, enabling stronger electrostatic and hydrogen-bonding interactions with nucleic acids. In addition, their incorporation can improve bacterial cell penetration and uptake of antibiotics into bacterial cells, enhance their aqueous solubility, and reduce susceptibility to AGEs, thereby strengthening antibacterial efficacy against resistant strains. Notably, streptomycin, one of the earliest AGs, contains a guanidine group, which contributes to its strong interactions with the bacterial ribosome and serves as a precedent for this design strategy. The alkylamino derivatives 4a,b were subsequently subjected to a guanidination reaction with 1H-pyrazole-1-carboximidamide, affording compounds 7a and 7b in good yields (Scheme 4). Further deprotection of the amino groups in 7a and 7b provided the target compounds 8a and 8b, isolated as the acetate salts in good yields.
Scheme 4.
Synthesis of 6″-((guanidinoalkyl)amino)-6″-deoxyapramycin derivatives 8a,b.
The structures of the synthesized compounds were confirmed and unambiguously assigned based on detailed analysis of their NMR (1H, 13C, and 2D experiments, Figures S21–S28) and HRMS, all of which were in full agreement with the proposed structures. The composition of the final compounds 5a,b, and 8a,b was also confirmed by elemental analysis data.
3.2. In Vitro Antibacterial Activity Studies
To estimate the antibacterial potency of new apramycin derivatives 5a,b, and 8a,b, several Gram-negative and Gram-positive bacterial strains were used, including Staphylococcus aureus ATCC 29213 (G+), Escherichia coli ATCC 25922 (G−), Pseudomonas aeruginosa ATCC 27853 (G−), and Mycobacterium smegmatis ATCC 607, using apramycin (1) as a reference. As summarized in Table 1, introduction of an alkyldiamine substituent at the position 6″ (compounds 5a–b) resulted in antibacterial activity that was either retained or only slightly reduced compared to the parent compound against S. aureus ATCC 29213, E. coli ATCC 25922, and M. smegmatis ATCC 607. Guanidation of the terminal amine group (derivatives 8a,b) also did not affect the antibacterial efficacy against the tested strains S. aureus ATCC 29213, E. coli ATCC 25922, and M. smegmatis ATCC 607. However, the antibacterial activity of all obtained derivatives 5a,b, 8a,b against P. aeruginosa ATCC 27853 strain was 4–8 times weaker than that of apramycin (1).
Table 1.
Antibacterial potency (MIC, µg/mL) of the new apramycin derivatives 5a,b, 8a,b, and the reference drug apramycin.
Further evaluation of the antibacterial activity of 5a,b, and 8a,b was conducted towards MDR-positive clinical isolates, including strains resistant to conventional aminoglycosides (Table 2). These experiments were carried out to assess the potential of the novel apramycin derivatives to overcome existing AG resistance mechanisms and expand therapeutic options against multidrug-resistant pathogens. Apramycin and its derivatives demonstrated potent activity, with minimum inhibitory concentrations (MIC) ranging from 1 to 8 μg/mL, whereas tobramycin, gentamicin, and kanamycin A were markedly less effective, displaying MIC values of 32 to >128 μg/mL. Among the synthesized compounds, the alkylamino derivatives 5a,b exhibited moderate activity (4–8 μg/mL), while the corresponding alkylamino-guanidine derivatives 8a,b were more potent, with MICs in the range of 1–4 μg/mL. These results confirmed the prospect of apramycin as the natural scaffold for the development of next-generation AMR-circumventing aminoglycosides.
Table 2.
Antibacterial potency (MIC, µg/mL) of new apramycin derivatives 5a,b, 8a,b, and reference AGs against MDR clinical isolates.
A comparative evaluation of the new derivatives 5a,b, 8a,b, and paternal apramycin (1) was conducted on the E. coli strain (JW5503 EF-G P610T) with mutations in the fusA gene, which encodes the elongation factor G (Table 3). This mutation has been shown to confer resistance to different AGs [19,32,33]. The parent strain E. coli JW5503 kanS exhibited a slightly reduced sensitivity to compounds 5a,b, and 8b in comparison to apramycin (1). However, the MIC value for 8a did not differ from that of the parent antibiotic. It is noteworthy that derivatives 5a and 8b with a shorter side chain at the 6″-position exhibit higher activity in comparison with their analogs that contain three methylene groups, 5b and 8b. It is also important to note that guanidinoalkylamine derivatives demonstrated higher activity than derivatives with aminoalkyl substituents. These data are consistent with the results obtained for other pathogens (Table 1 and Table 2). Concurrently, with regard to the resistant strain with a mutation in EF-G, the modified antibiotics demonstrated equivalent activity to the original apramycin. In addition, new compounds were tested on a panel of strains carrying AGEs on plasmids: APH(3′)-II, ANT(3″), and AAC(3)-IV [14]. The new antibiotics 5a,b, 8a,b, like the parent apramycin (1), were able to suppress the growth of strains carrying streptomycin- and kanamycin-inactivating proteins (Table 3). In contrast, modification of the 6″-position had no effect on the activity of the apramycin-inactivating enzyme, which was predictable since AAC(3)-IV acetylates the 3-amino position in the deoxystreptamine ring [14].
Table 3.
The antibacterial activity (MIC, µg/mL) of new apramycin derivatives 5a,b, 8a,b, and reference AGs against resistant E. coli JW5503 EF-G mutant P610T and transformants, carrying AG-modifying enzymes on plasmids (KanR–APH(3′)-II, SmR–ANT(3″), ApmR–AAC(3)-IV), resistant to kanamycin A, streptomycin, and apramycin, respectively.
3.3. Mechanism of Action
To determine whether the antibacterial activity of the new apramycin derivatives arises from an effect on translation, as in the case of the parent compound [34], or from alternative mechanisms, their action was examined using a cell-free translation system. As shown in Figure 3, all tested derivatives (5a, 5b, 8a, and 8b) inhibited protein synthesis in vitro, confirming that they retain the ability to interfere with the translational machinery. However, their inhibitory effects at equivalent concentrations were approximately one order of magnitude weaker than that of paternal apramycin (1). This finding is particularly interesting, given that the MIC data revealed no corresponding loss of antibacterial potency. One possible explanation is that the modified compounds penetrate into bacterial cells more efficiently or that their efflux is less pronounced, thereby compensating for their reduced intrinsic inhibition of translation. Alternatively, partial metabolic conversion of the derivatives to apramycin in the culture medium or within bacterial cells could account for the observed activity; however, the bioorthogonal nature of the chemical linkage makes this hypothesis unlikely (Figure S37). Beyond their primary action on the ribosome, aminoglycosides also induce alternative cellular effects such as heptosyltransferase I inhibition, membrane-voltage dysregulation, and oxidative stress, which contribute to bacterial killing [35,36,37]. These auxiliary mechanisms may help explain why antibacterial activity can be maintained even when translation inhibition is reduced, as the compound may exploit non-ribosomal processes to exert bactericidal effects.
Figure 3.
Inhibition of protein synthesis in vitro in the presence of new apramycin derivatives (5a, 5b, and 8a, 8b), apramycin, and water (as a control). All compounds were tested at a final concentration of 0.4 μM. The relative maximum accumulation rates of firefly luciferase (Fluc) are shown. The errors correspond to the standard deviation (n = 3).
Notably, derivatives 5a and 8a, which contain shorter side chains, exhibited stronger translational inhibition than their analogs bearing longer three-methylene substituents, suggesting that increased steric bulk at the 6″-position may hinder binding to the 16S ribosomal RNA target site. Overall, the observed trends in translation inhibition in vitro are consistent with the antibacterial properties of these compounds (see Table 1, Table 2 and Table 3), since for most strains, the MIC for compounds 5b and 8b was greater than the MIC for analogs a. This finding aligns with previous data on similar modifications at position 6″ in tobramycin and kanamycin A derivatives [18,19].
It is known that apramycin disturbs protein biosynthesis by blocking translocation and inducing translation errors [34]. We tested whether the new aminoglycoside derivatives (5a, 5b, 8a, and 8b) retain this ability. This assay uses an E. coli strain with a plasmid construct that encodes β-galactosidase in such a way that the functional protein is synthesized only in the presence of translation errors. This is due to the presence of the E537D or E537G substitution in the enzyme’s active site. Correct translation results in the synthesis of non-functional β-galactosidase, which is incapable of cleaving X-gal. However, only if there is an error is the functional enzyme produced, resulting in an indigo stain along the edge of the inhibition zone. Consequently, if the antibiotic causes translation errors, blue staining is observed at the edge of the inhibition zone. As can be seen in Figure 4, the compounds 5a, 5b, 8a, and 8b caused blue staining of the bacterial lawn in the same way as the parent antibiotic 1, indicating that they also cause translation errors in the target cells. In this regard, introducing aminoalkylamino or guanidinoalkylamino residues at the 6″-position of apramycin preserves the original antibacterial mechanism of aminoglycosides, affecting the fidelity of protein synthesis. These observations also confirm our previous findings that 6″-derivatives of kanamycin and tobramycin retain the ability to induce translation errors [18,19].
Figure 4.
Apramycin and its new derivatives (5a,b, and 8a,b) increase the misreading of codon 537 of the β-galactosidase reporter gene in E. coli. Figure (A) shows the construct with the native codon GAA. Figures (B,C) show the replacement with GGG and GAC, respectively. The test results are shown for compounds 5a,b, 8a,b, as well as for streptomycin (Str), tobramycin (Tobra), kanamycin A (Kan), and apramycin (Apra). The concentration of all antibiotics is 50 mg/mL. The volume of each antibiotic is 0.1 μL.
3.4. Cytotoxicity Assessment
The new apramycin derivatives 5a,b, and 8a,b exhibited antibacterial activity comparable to that of the parent compound 1, prompting an evaluation of their cytotoxicity to mammalian cells. Cytotoxic effects were assessed using the standard MTT assay [20] on human embryonic kidney (HEK293T) cells to determine potential off-target toxicity. As shown in Figure 5, derivatives 5b, 8a, 8b, and apramycin itself demonstrated no measurable cytotoxicity up to the highest tested concentration (IC50 > 250 µg/mL), indicating a favorable safety profile. Only compound 5a exhibited a detectable but still low level of cytotoxicity, with an IC50 value of 243 ± 7 µg/mL. These results indicate that chemical modification at the 6″-position of apramycin does not significantly increase its toxicity toward eukaryotic cells. The maintenance of low cytotoxicity across all tested derivatives supports the conclusion that the introduced structural changes do not adversely affect the compound’s selectivity for bacterial targets.
Figure 5.
Viability curves (MTT test, 72 h) of HEK293T cell line treated with apramycin, 5a, 5b, and 8a, 8b.
4. Conclusions
In this study, we synthesized and structurally confirmed a series of novel apramycin derivatives modified at the 6″-position of the 4-amino-4-deoxy-D-glucose residue. A key finding was the distinct behavior of N-protected apramycin derivatives in the sulfonylation reaction: unlike tobramycin and kanamycin A, which undergo selective modification exclusively at the 6″-hydroxyl, apramycin was functionalized at both the 6″- and 2″-positions, yielding comparable amounts of mono- and di-sulfonylated products. Subsequent introduction of aminoalkylamino and guanidinoalkylamino substituents generated derivatives that preserved antibacterial activity and retained the ribosomal mechanism of action. Among these, guanidine-containing analogs 8a and 8b exhibited enhanced potency against multidrug-resistant G− clinical isolates relative to their aminoalkylamino counterparts, confirming the guanidino group as a valuable pharmacophore. Importantly, all derivatives as well as paternal apramycin demonstrated low cytotoxicity in mammalian cells, supporting their therapeutic potential.
Despite these promising findings, the modifications did not achieve substantial or consistent improvements over parent apramycin, particularly against the apramycin-resistant E. coli strain. Nevertheless, apramycin’s favorable activity profile and its ability to evade common AG resistance mechanisms underscore its value as a privileged scaffold for next-in-class drug design. Future research should prioritize systematic structure–activity relationship studies, advanced chemical optimization, and evaluation in relevant infection models to unlock the full potential of apramycin-based antibiotics in addressing the global challenge of antimicrobial resistance.
Supplementary Materials
The following supporting information can be downloaded at: https://www.mdpi.com/article/10.3390/pharmaceutics17121583/s1, Tables S1–S3: Assignments of the signals in 1H and 13C NMR spectra of apramycin derivatives; Figures S1–S36: 1H, 13C, COSY, and HSQC NMR spectra of the apramycin derivatives; Figure S37: 1H NMR spectrum of compound 5a. The top spectrum was recorded 3 months after the bottom one.
Author Contributions
Conceptualization, A.E.S. and A.S.T.; methodology, K.S.S. and A.S.T.; investigation, K.S.S., E.A.R., N.D.D., G.V.Z., and N.E.G.; resources, A.E.S., A.S.T., and D.A.L.; data curation, K.S.S., A.S.T., and D.A.L.; writing—original draft preparation, K.S.S., E.A.R., and N.D.D.; writing—review and editing, K.S.S., A.S.T., and D.A.L.; supervision, A.S.T. and D.A.L.; project administration, A.E.S. All authors have read and agreed to the published version of the manuscript.
Funding
This work was supported by the Ministry of Science and Higher Education of the Russian Federation [agreement No. 075-00483-25-03].
Institutional Review Board Statement
Not applicable.
Informed Consent Statement
Not applicable.
Data Availability Statement
Data are contained within the article and in the Supporting Information file.
Acknowledgments
We are thankful to S.E. Solov’eva, N.M. Malyutina, and D.A. Mitrokhov (Gause Institute of New Antibiotics) for HPLC and HRMS studies. We are also grateful to D.V. Shvedov (Vostok Ltd., Omutnisk, Russia) for the substance of apramycin provided for chemical transformation and biological studies and M.V. Edelstein (Smolensk State Medical Academy) for providing E. coli and K. pneumonia resistant strains.
Conflicts of Interest
The authors declare no conflicts of interest.
Abbreviations
The following abbreviations are used in this manuscript:
| AG | Aminoglycoside |
| AME | aminoglycoside-modifying enzyme |
| AMR | antimicrobial resistance |
| Cbz | Benzyloxycarbonyl |
| DMSO | Dimethylsulfoxide |
| IC50 | the amount of a drug that causes the inhibition of the growth of 50% of cells |
| HPLC | high-performance liquid chromatography |
| HRMS (ESI) | high-resolution mass spectrometry with electrospray ionization |
| MDR | multidrug resistance |
| MIC | minimum inhibitory concentration |
| NMR | nuclear magnetic resonance |
| TIBS | 2,4,6-triisopropylbenzenesulfonyl |
| TLC | thin layer chromatography |
| WHO | World Health Organization |
References
- Pontefract, B.A.; Ho, H.T.; Crain, A.; Kharel, M.K.; Nybo, S.E. Drugs for Gram-Negative Bugs from 2010–2019: A Decade in Review. Open Forum Infect. Dis. 2020, 7, ofaa276. [Google Scholar] [CrossRef]
- Jesudason, T. WHO publishes updated list of bacterial priority pathogens. Lancet Microbe 2024, 5, 100940. [Google Scholar] [CrossRef]
- Krause, K.M.; Serio, A.W.; Kane, T.R.; Connolly, L.E. Aminoglycosides: An overview. Cold Spring Harb. Perspect. Med. 2016, 6, a027029. [Google Scholar] [CrossRef]
- Garneau-Tsodikova, S.; Labby, K.J. Mechanisms of resistance to aminoglycoside antibiotics: Overview and perspectives. Medchemcomm 2016, 7, 11–27. [Google Scholar] [CrossRef] [PubMed]
- Ryden, R.; Moore, B.J. The in vitro activity of apramycin, a new aminocyditol antibiotic. J. Antimicrob. Chemother. 1977, 3, 609–613. [Google Scholar] [CrossRef] [PubMed]
- Hao, M.; Shi, X.; Lv, J.; Niu, S.; Cheng, S.; Du, H.; Yu, F.; Tang, Y.W.; Kreiswirth, B.N.; Zhang, H.; et al. In vitro activity of apramycin against carbapenem-resistant and hypervirulent Klebsiella pneumoniae isolates. Front. Microbiol. 2020, 11, 425. [Google Scholar] [CrossRef] [PubMed]
- Kang, A.D.; Smith, K.P.; Eliopoulos, G.M.; Berg, A.H.; McCoy, C.; Kirby, J.E. In vitro apramycin activity against multidrug-resistant Acinetobacter baumannii and Pseudomonas aeruginosa. Diagn. Microbiol. Infect. Dis. 2017, 88, 188–191. [Google Scholar] [CrossRef]
- Hu, Y.; Liu, L.; Zhang, X.; Feng, Y.; Zong, Z. In vitro activity of neomycin, streptomycin, paromomycin and apramycin against carbapenem-resistant Enterobacteriaceae clinical strains. Front. Microbiol. 2017, 8, 2275. [Google Scholar] [CrossRef]
- Sun, Q.; Yan, J.; Long, S.; Shi, Y.; Jiang, G.; Li, H.; Huang, H.; Wang, G. Apramycin has high in vitro activity against Mycobacterium tuberculosis. J. Med. Microbiol. 2024, 73, 001854. [Google Scholar] [CrossRef]
- Huang, Y.; Truelson, K.A.; Stewart, I.A.; O’Doherty, G.A.; Kirby, J.E. Enhanced Activity of Apramycin and Apramycin-Based Combinations Against Mycobacteroides abscessus. bioRxiv 2025, dkaf433. [Google Scholar] [CrossRef]
- Matt, T.; Ng, C.L.; Lang, K.; Sha, S.H.; Akbergenov, R.; Shcherbakov, D.; Meyer, M.; Duscha, S.; Xie, J.; Dubbaka, S.R.; et al. Dissociation of antibacterial activity and aminoglycoside ototoxicity in the 4-monosubstituted 2-deoxystreptamine apramycin. Proc. Natl. Acad. Sci. USA 2012, 109, 10984–10989. [Google Scholar] [CrossRef]
- Juhas, M.; Widlake, E.; Teo, J.; Huseby, D.L.; Tyrrell, J.M.; Polikanov, Y.S.; Ercan, O.; Petersson, A.; Cao, S.; Aboklaish, A.F.; et al. In vitro activity of apramycin against multidrug-, carbapenem-and aminoglycoside-resistant Enterobacteriaceae and Acinetobacter baumannii. J. Antimicrob. Chemother. 2019, 74, 944–952. [Google Scholar] [CrossRef]
- Becker, K.; Cao, S.; Nilsson, A.; Erlandsson, M.; Hotop, S.K.; Kuka, J.; Hansen, J.; Haldimann, K.; Grinberga, S.; Berruga-Fernández, T.; et al. Antibacterial activity of apramycin at acidic pH warrants wide therapeutic window in the treatment of complicated urinary tract infections and acute pyelonephritis. EBioMedicine 2021, 73, 103652. [Google Scholar] [CrossRef]
- Ramirez, M.S.; Tolmasky, M.E. Aminoglycoside modifying enzymes. Drug Resist. Updat. 2010, 13, 151–171. [Google Scholar] [CrossRef] [PubMed]
- Alfieri, A.; Franco, S.D.; Donatiello, V.; Maffei, V.; Fittipaldi, C.; Fiore, M.; Coppolino, F.; Sansone, P.; Pace, M.C.; Passavanti, M.B. Plazomicin against multidrug-resistant bacteria: A scoping review. Life 2022, 12, 1949. [Google Scholar] [CrossRef] [PubMed]
- Bordeleau, E.; Stogios, P.J.; Evdokimova, E.; Koteva, K.; Savchenko, A.; Wright, G.D. ApmA is a unique aminoglycoside antibiotic acetyltransferase that inactivates apramycin. MBio 2021, 12. [Google Scholar] [CrossRef] [PubMed]
- Quirke, J.C.K.; Rajasekaran, P.; Sarpe, V.A.; Sonousi, A.; Osinnii, I.; Gysin, M.; Haldimann, K.; Fang, Q.J.; Shcherbakov, D.; Hobbie, S.N.; et al. Apralogs: Apramycin 5-O-glycosides and ethers with improved antibacterial activity and ribosomal selectivity and reduced susceptibility to the aminoacyltransferase (3)-IV resistance determinant. J. Am. Chem. Soc. 2019, 142, 530–544. [Google Scholar] [CrossRef]
- Shapovalova, K.; Zatonsky, G.; Grammatikova, N.; Osterman, I.; Razumova, E.; Shchekotikhin, A.; Tevyashova, A. Synthesis of 6 ″-modified kanamycin A derivatives and evaluation of their antibacterial properties. Pharmaceutics 2023, 15, 1177. [Google Scholar] [CrossRef]
- Shapovalova, K.S.; Zatonsky, G.V.; Razumova, E.A.; Ipatova, D.A.; Lukianov, D.A.; Sergiev, P.V.; Grammatikova, N.E.; Tikhomirov, A.S.; Shchekotikhin, A.E. Synthesis and Antibacterial Activity of New 6 ″-Modified Tobramycin Derivatives. Antibiotics 2024, 13, 1191. [Google Scholar] [CrossRef]
- Mosmann, T. Rapid colorimetric assay for cellular growth and survival: Application to proliferation and cytotoxicity assays. J. Immunol. Methods 1983, 65, 55–63. [Google Scholar] [CrossRef]
- CLSI M07; Clinical and Laboratory Standards Institute (CLSI) 2015 (M07-A10). Methods for Dilution Antimicrobial Susceptibility Tests For bacteria that Grow Aerobically. Approved Standard, 10th ed.; Clinical and Laboratory Standards Institute: Berwyn, PA, USA, 2015.
- Clinical and Laboratory Standarts Institute M100 Performance Standards for Antimicrobial Susceptibility Testing. 2020. Available online: https://clsi.org/standards/products/microbiology/documents/m100/ (accessed on 23 March 2021).
- The European Committee on Antimicrobial Susceptibility Testing. Routine and Extended Internal Quality Control for MIC Determination and Disk Diffusion as Recommended by EUCAST; 2023, Version 13.0; The European Committee on Antimicrobial Susceptibility Testing: Växjö, Sweden, 2023; Available online: http://www.eucast.org (accessed on 23 March 2023).
- Hadidi, K.; Wexselblatt, E.; Esko, J.D.; Tor, Y. Cellular uptake of modified aminoglycosides. J. Antibiot. 2018, 71, 142–145. [Google Scholar] [CrossRef]
- Baba, T.; Ara, T.; Hasegawa, M.; Takai, Y.; Okumura, Y.; Baba, M.; Datsenko, K.A.; Tomita, M.; Wanner, B.L.; Mori, H. Construction of Escherichia coli K-12 in-frame, single-gene knockout mutants: The Keio collection. Mol. Syst. Biol. 2006, 2, 2006.0008. [Google Scholar] [CrossRef]
- Datsenko, K.A.; Wanner, B.L. One-step inactivation of chromosomal genes in Escherichia coli K-12 using PCR products. Proc. Natl. Acad. Sci. USA 2000, 97, 6640–6645. [Google Scholar] [CrossRef]
- Osterman, I.A.; Komarova, E.S.; Shiryaev, D.I.; Korniltsev, I.A.; Khven, I.M.; Lukyanov, D.A.; Tashlitsky, V.N.; Serebryakova, M.V.; Efremenkova, O.V.; Ivanenkov, Y.A.; et al. Sorting out antibiotics’ mechanisms of action: A double fluorescent protein reporter for high-throughput screening of ribosome and DNA biosynthesis inhibitors. Antimicrob. Agents Chemother. 2016, 60, 7481–7489. [Google Scholar] [CrossRef] [PubMed]
- Zaporojets, D.; French, S.; Squires, C.L. Products transcribed from rearranged rrn genes of Escherichia coli can assemble to form functional ribosomes. J. Bacteriol. 2003, 185, 6921–6927. [Google Scholar] [CrossRef] [PubMed]
- Lukianov, D.A.; Buev, V.S.; Ivanenkov, Y.A.; Kartsev, V.G.; Skvortsov, D.A.; Osterman, I.A.; Sergiev, P.V. Imidazole Derivative As a Novel Translation Inhibitor. Acta Naturae. 2022, 14, 71. [Google Scholar] [CrossRef] [PubMed]
- Fair, R.J.; Hensler, M.E.; Thienphrapa, W.; Dam, Q.N.; Nizet, V.; Tor, Y. Selectively guanidinylated aminoglycosides as antibiotics. ChemMedChem 2012, 7, 1237–1244. [Google Scholar] [CrossRef]
- Olsufyeva, E.N.; Shchekotikhin, A.E. Key areas of antibiotic research conducted at the Gause Institute of New Antibiotics. Russ. Chem. Bull. 2024, 73, 3523–3566. [Google Scholar] [CrossRef]
- Mogre, A.; Veetil, R.T.; Seshasayee, A.S.N. Modulation of global transcriptional regulatory networks as a strategy for increasing kanamycin resistance of the translational elongation factor-G mutants in Escherichia coli. G3 2017, 7, 3955–3966. [Google Scholar] [CrossRef]
- Mogre, A.; Sengupta, T.; Veetil, R.T.; Ravi, P.; Seshasayee, A. Genomic analysis reveals distinct concentration-dependent evolutionary trajectories for antibiotic resistance in Escherichia coli. DNA Res. 2014, 21, 711–726. [Google Scholar] [CrossRef]
- Perzynski, S.; Cannon, M.; Cundliffe, E.; Chahwala, S.B.; Davies, J. Effects of apramycin, a novel aminoglycoside antibiotic on bacterial protein synthesis. Eur. J. Biochem. 1979, 99, 623–628. [Google Scholar] [CrossRef]
- Milicaj, J.; Hassan, B.A.; Cote, J.M.; Ramirez-Mondragon, C.A.; Jaunbocus, N.; Rafalowski, A.; Patel, K.R.; Castro, C.D.; Muthyala, R.; Sham, Y.Y.; et al. Discovery of first-in-class nanomolar inhibitors of heptosyltransferase I reveals a new aminoglycoside target and potential alternative mechanism of action. Sci. Rep. 2022, 12, 7302. [Google Scholar] [CrossRef]
- Bruni, G.N.; Kralj, J.M. Membrane voltage dysregulation driven by metabolic dysfunction underlies bactericidal activity of aminoglycosides. Elife 2020, 9, e58706. [Google Scholar] [CrossRef]
- Kohanski, M.A.; Dwyer, D.J.; Wierzbowski, J.; Cottarel, G.; Collins, J.J. Mistranslation of membrane proteins and two-component system activation trigger antibiotic-mediated cell death. Cell 2008, 135, 679–690. [Google Scholar] [CrossRef]
Disclaimer/Publisher’s Note: The statements, opinions and data contained in all publications are solely those of the individual author(s) and contributor(s) and not of MDPI and/or the editor(s). MDPI and/or the editor(s) disclaim responsibility for any injury to people or property resulting from any ideas, methods, instructions or products referred to in the content. |
© 2025 by the authors. Licensee MDPI, Basel, Switzerland. This article is an open access article distributed under the terms and conditions of the Creative Commons Attribution (CC BY) license (https://creativecommons.org/licenses/by/4.0/).














