Applicability of MDR1 Overexpressing Abcb1KO-MDCKII Cell Lines for Investigating In Vitro Species Differences and Brain Penetration Prediction
Abstract
1. Introduction
2. Materials and Methods
2.1. Materials
2.2. Cell Line Generation and Culture Conditions
2.3. Bidirectional Transport Assays
2.4. Analytical Measurements
2.5. Quantitative Targeted Absolute Proteomics (QTAP)
2.6. Data Analysis
- (a)
- Bidirectional transport assays
- (b)
- Predictive Performance Metrics
- (c)
- Calculations of predicted unbound brain-to-plasma partition coefficient (Kp,uu,brain)
- Predicted Kp,uu,brain based on hMDR1 ER was calculated as follows:
- 2.
- Predicted Kp,uu,brain calculated from total ER is as follows:
- 3.
- Predicted Kp,uu,brain calculated from total ER corrected with relative expression levels of MDR1 and BCRP is as follows:
- 4.
- Kp,uu,brain calculated with α and β scaling factors, with a modification of Equation (8), is as follows:
- (d)
- Estimation of α and β scaling factors for Kp,uu,brain prediction
3. Results
3.1. Substrate Screen
3.1.1. Comparing the Functional Activity of hMDR1, rMDR1, mMDR1 and cyMDR1 Cell Lines
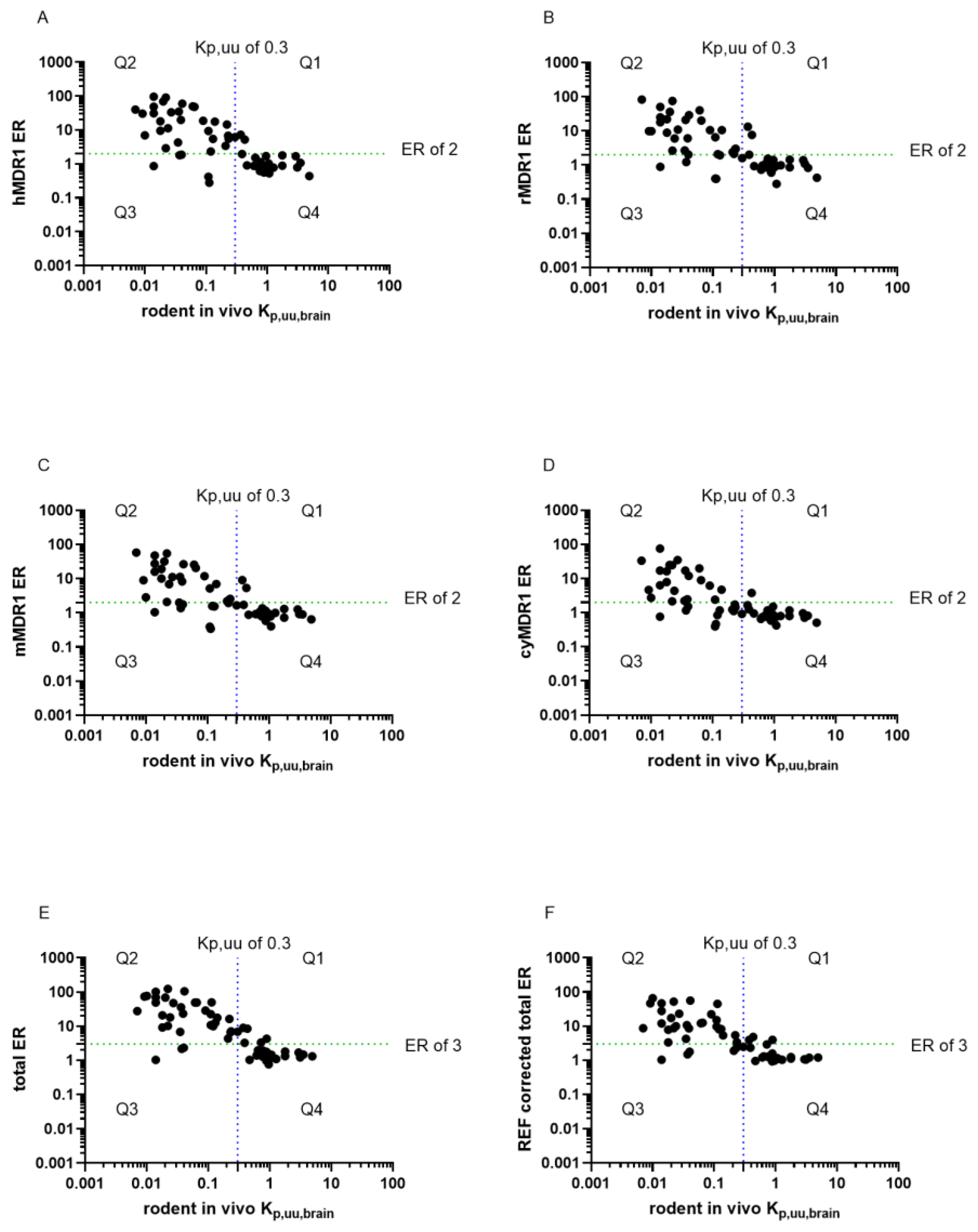
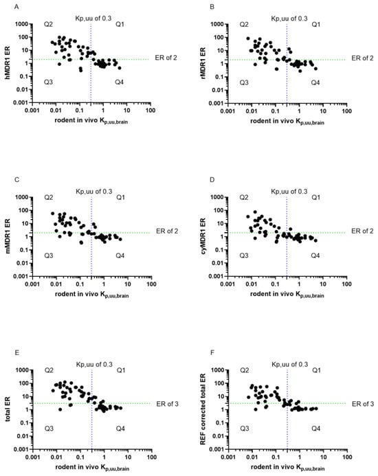
3.1.2. Brain Permeability Classification Based on In Vitro ER
3.1.3. Comparison of In Vitro Predicted Kp,uu,brain and In Vivo Rodent Kp,uu,brain
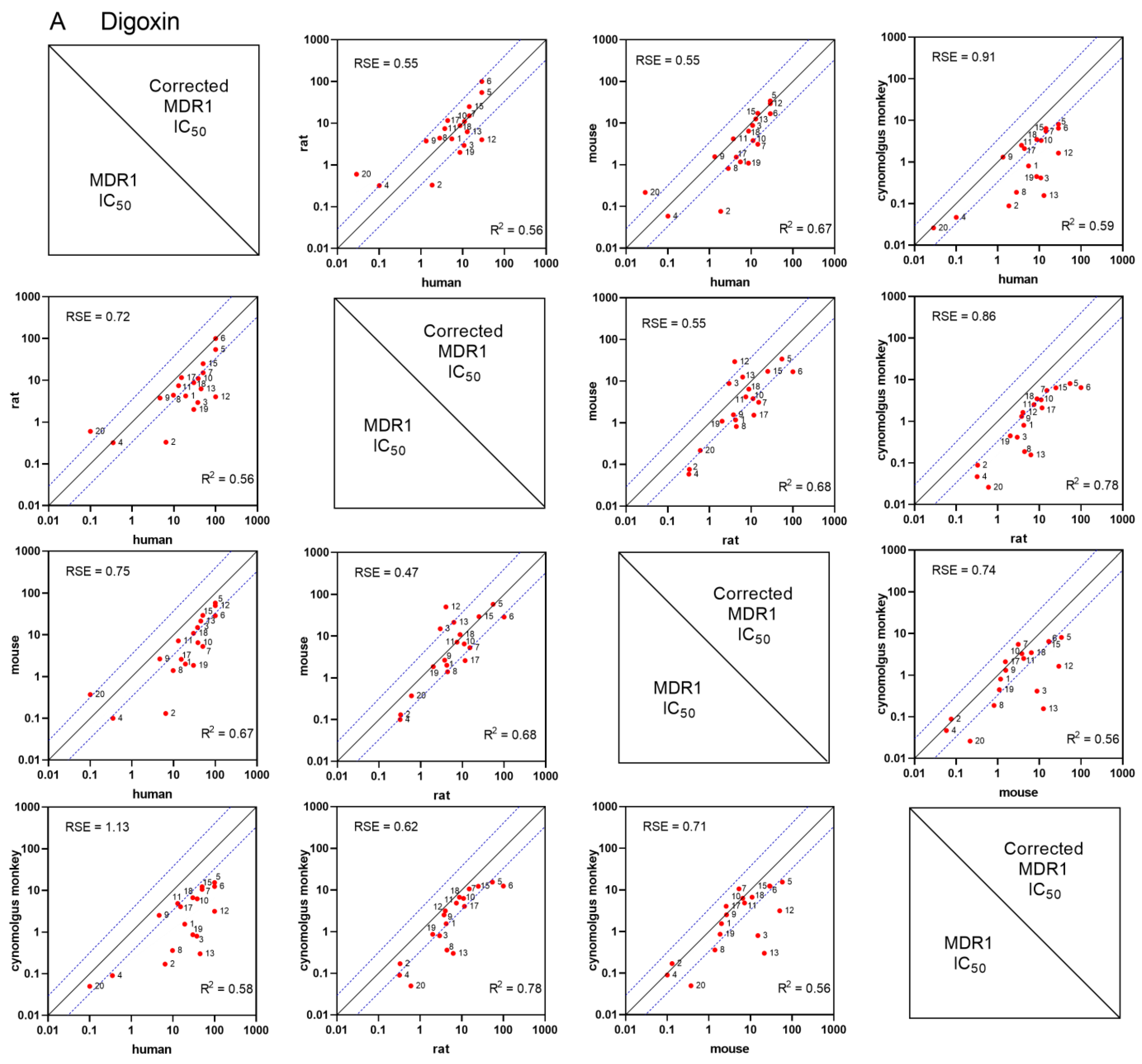
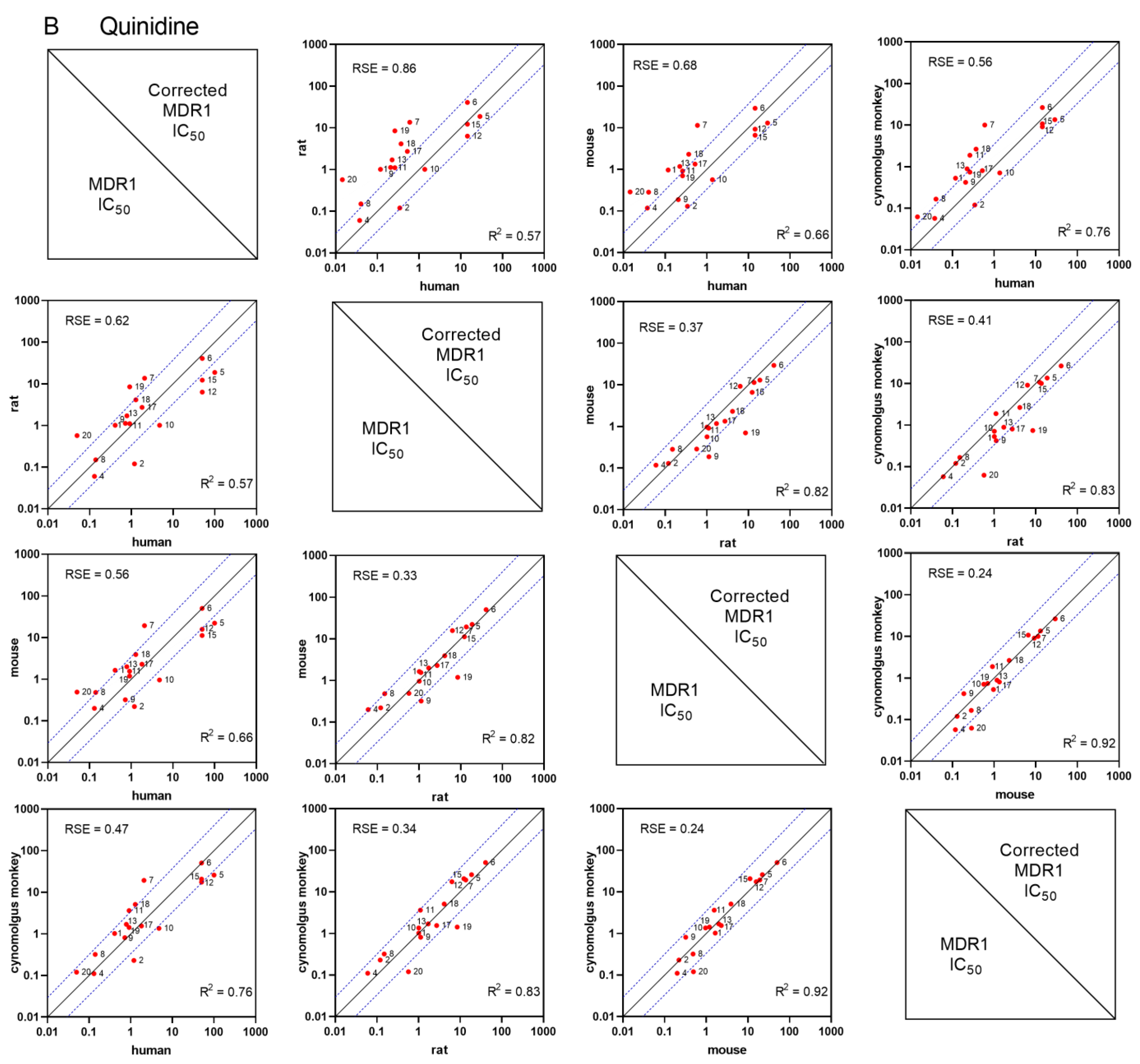
3.1.4. Species- and Substrate-Specific Differences in IC50 Values
4. Discussion
Supplementary Materials
Author Contributions
Funding
Institutional Review Board Statement
Informed Consent Statement
Data Availability Statement
Acknowledgments
Conflicts of Interest
References
- Murata, Y.; Neuhoff, S.; Rostami-Hodjegan, A.; Takita, H.; Al-Majdoub, Z.M.; Ogungbenro, K. In Vitro to In Vivo Extrapolation Linked to Physiologically Based Pharmacokinetic Models for Assessing the Brain Drug Disposition. AAPS J. 2022, 24, 28. [Google Scholar] [CrossRef]
- Jagtiani, E.; Yeolekar, M.; Naik, S.; Patravale, V. In vitro blood brain barrier models: An overview. J. Control. Release 2022, 343, 13–30. [Google Scholar] [CrossRef]
- Kamiie, J.; Ohtsuki, S.; Iwase, R.; Ohmine, K.; Katsukura, Y.; Yanai, K.; Sekine, Y.; Uchida, Y.; Ito, S.; Terasaki, T. Quantitative atlas of membrane transporter proteins: Development and application of a highly sensitive simultaneous LC/MS/MS method combined with novel in-silico peptide selection criteria. Pharm. Res. 2008, 25, 1469–1483. [Google Scholar] [CrossRef] [PubMed]
- Uchida, Y.; Ohtsuki, S.; Katsukura, Y.; Ikeda, C.; Suzuki, T.; Kamiie, J.; Terasaki, T. Quantitative targeted absolute proteomics of human blood-brain barrier transporters and receptors. J. Neurochem. 2011, 117, 333–345. [Google Scholar] [CrossRef]
- Ito, K.; Uchida, Y.; Ohtsuki, S.; Aizawa, S.; Kawakami, H.; Katsukura, Y.; Kamiie, J.; Terasaki, T. Quantitative membrane protein expression at the blood-brain barrier of adult and younger cynomolgus monkeys. J. Pharm. Sci. 2011, 100, 3939–3950. [Google Scholar] [CrossRef]
- Hoshi, Y.; Uchida, Y.; Tachikawa, M.; Inoue, T.; Ohtsuki, S.; Terasaki, T. Quantitative atlas of blood-brain barrier transporters, receptors, and tight junction proteins in rats and common marmoset. J. Pharm. Sci. 2013, 102, 3343–3355. [Google Scholar] [CrossRef]
- Shawahna, R.; Uchida, Y.; Declèves, X.; Ohtsuki, S.; Yousif, S.; Dauchy, S.; Jacob, A.; Chassoux, F.; Daumas-Duport, C.; Couraud, P.-O.; et al. Transcriptomic and quantitative proteomic analysis of transporters and drug metabolizing enzymes in freshly isolated human brain microvessels. Mol. Pharm. 2011, 8, 1332–1341. [Google Scholar] [CrossRef]
- Uchida, Y.; Tachikawa, M.; Obuchi, W.; Hoshi, Y.; Tomioka, Y.; Ohtsuki, S.; Terasaki, T. A study protocol for quantitative targeted absolute proteomics (QTAP) by LC-MS/MS: Application for inter-strain differences in protein expression levels of transporters, receptors, claudin-5, and marker proteins at the blood-brain barrier in ddY, FVB, an. Fluids Barriers CNS 2013, 10, 21. [Google Scholar] [CrossRef] [PubMed]
- Braun, C.; Sakamoto, A.; Fuchs, H.; Ishiguro, N.; Suzuki, S.; Cui, Y.; Klinder, K.; Watanabe, M.; Terasaki, T.; Sauer, A. Quantification of Transporter and Receptor Proteins in Dog Brain Capillaries and Choroid Plexus: Relevance for the Distribution in Brain and CSF of Selected BCRP and P-gp Substrates. Mol. Pharm. 2017, 14, 3436–3447. [Google Scholar] [CrossRef] [PubMed]
- Liu, H.; Dong, K.; Zhang, W.; Summerfield, S.G.; Terstappen, G.C. Prediction of brain:blood unbound concentration ratios in CNS drug discovery employing in silico and in vitro model systems. Drug Discov. Today 2018, 23, 1357–1372. [Google Scholar] [CrossRef]
- Sarkadi, B.; Homolya, L.; Szakács, G.; Váradi, A. Human multidrug resistance ABCB and ABCG transporters: Participation in a chemoimmunity defense system. Physiol. Rev. 2006, 86, 1179–1236. [Google Scholar] [CrossRef]
- Shawahna, R.; Decleves, X.; Scherrmann, J.-M. Hurdles with using in vitro models to predict human blood-brain barrier drug permeability: A special focus on transporters and metabolizing enzymes. Curr. Drug Metab. 2013, 14, 120–136. [Google Scholar] [CrossRef]
- Shen, H.; Yang, Z.; Rodrigues, A.D. Cynomolgus Monkey as an Emerging Animal Model to Study Drug Transporters: In Vitro, In Vivo, In Vitro-to-In Vivo Translation. Drug Metab. Dispos. 2022, 50, 299–319. [Google Scholar] [CrossRef]
- Katoh, M.; Suzuyama, N.; Takeuchi, T.; Yoshitomi, S.; Asahi, S.; Yokoi, T. Kinetic analyses for species differences in P-glycoprotein-mediated drug transport. J. Pharm. Sci. 2006, 95, 2673–2683. [Google Scholar] [CrossRef]
- Chu, X.; Bleasby, K.; Evers, R. Species differences in drug transporters and implications for translating preclinical findings to humans. Expert Opin. Drug Metab. Toxicol. 2013, 9, 237–252. [Google Scholar] [CrossRef]
- Baltes, S.; Gastens, A.M.; Fedrowitz, M.; Potschka, H.; Kaever, V.; Löscher, W. Differences in the transport of the antiepileptic drugs phenytoin, levetiracetam and carbamazepine by human and mouse P-glycoprotein. Neuropharmacology 2007, 52, 333–346. [Google Scholar] [CrossRef]
- Trapa, P.E.; Troutman, M.D.; Lau, T.Y.; Wager, T.T.; Maurer, T.S.; Patel, N.C.; West, M.A.; Umland, J.P.; Carlo, A.A.; Feng, B.; et al. In Vitro-In Vivo Extrapolation of Key Transporter Activity at the Blood-Brain Barrier. Drug Metab. Dispos. 2019, 47, 405–411. [Google Scholar] [CrossRef]
- Al Feteisi, H.; Al-Majdoub, Z.M.; Achour, B.; Couto, N.; Rostami-Hodjegan, A.; Barber, J. Identification and quantification of blood-brain barrier transporters in isolated rat brain microvessels. J. Neurochem. 2018, 146, 670–685. [Google Scholar] [CrossRef]
- Al-Majdoub, Z.M.; Al Feteisi, H.; Achour, B.; Warwood, S.; Neuhoff, S.; Rostami-Hodjegan, A.; Barber, J. Proteomic Quantification of Human Blood-Brain Barrier SLC and ABC Transporters in Healthy Individuals and Dementia Patients. Mol. Pharm. 2019, 16, 1220–1233. [Google Scholar] [CrossRef]
- Visser, S.A.G.; Wolters, F.L.C.; Gubbens-Stibbe, J.M.; Tukker, E.; Van Der Graaf, P.H.; Peletier, L.A.; Danhof, M. Mechanism-based pharmacokinetic/pharmacodynamic modeling of the electroencephalogram effects of GABAA receptor modulators: In vitro-in vivo correlations. J. Pharmacol. Exp. Ther. 2003, 304, 88–101. [Google Scholar] [CrossRef]
- Kalvass, J.C.; Olson, E.R.; Cassidy, M.P.; Selley, D.E.; Pollack, G.M. Pharmacokinetics and pharmacodynamics of seven opioids in P-glycoprotein-competent mice: Assessment of unbound brain EC50,u and correlation of in vitro, preclinical, and clinical data. J. Pharmacol. Exp. Ther. 2007, 323, 346–355. [Google Scholar] [CrossRef] [PubMed]
- Liu, X.; Vilenski, O.; Kwan, J.; Apparsundaram, S.; Weikert, R. Unbound brain concentration determines receptor occupancy: A correlation of drug concentration and brain serotonin and dopamine reuptake transporter occupancy for eighteen compounds in rats. Drug Metab. Dispos. 2009, 37, 1548–1556. [Google Scholar] [CrossRef] [PubMed]
- Watson, J.; Wright, S.; Lucas, A.; Clarke, K.L.; Viggers, J.; Cheetham, S.; Jeffrey, P.; Porter, R.; Read, K.D. Receptor occupancy and brain free fraction. Drug Metab. Dispos. 2009, 37, 753–760. [Google Scholar] [CrossRef] [PubMed]
- Bundgaard, C.; Sveigaard, C.; Brennum, L.T.; Stensbøl, T.B. Associating in vitro target binding and in vivo CNS occupancy of serotonin reuptake inhibitors in rats: The role of free drug concentrations. Xenobiotica 2012, 42, 256–265. [Google Scholar] [CrossRef] [PubMed]
- Hammarlund-Udenaes, M.; Bredberg, U.; Fridén, M. Methodologies to assess brain drug delivery in lead optimization. Curr. Top. Med. Chem. 2009, 9, 148–162. [Google Scholar] [CrossRef] [PubMed]
- Feng, B.; West, M.; Patel, N.C.; Wager, T.; Hou, X.; Johnson, J.; Tremaine, L.; Liras, J. Validation of Human MDR1-MDCK and BCRP-MDCK Cell Lines to Improve the Prediction of Brain Penetration. J. Pharm. Sci. 2019, 108, 2476–2483. [Google Scholar] [CrossRef] [PubMed]
- Colclough, N.; Alluri, R.V.; Tucker, J.W.; Gozalpour, E.; Li, D.; Du, H.; Li, W.; Harlfinger, S.; O’Neill, D.J.; Sproat, G.G.; et al. Utilizing a Dual Human Transporter MDCKII-MDR1-BCRP Cell Line to Assess Efflux at the Blood Brain Barrier. Drug Metab. Dispos. 2024, 52, 95–105. [Google Scholar] [CrossRef] [PubMed]
- Sato, S.; Matsumiya, K.; Tohyama, K.; Kosugi, Y. Translational CNS Steady-State Drug Disposition Model in Rats, Monkeys, and Humans for Quantitative Prediction of Brain-to-Plasma and Cerebrospinal Fluid-to-Plasma Unbound Concentration Ratios. AAPS J. 2021, 23, 81. [Google Scholar] [CrossRef] [PubMed]
- Sato, S.; Tohyama, K.; Kosugi, Y. Investigation of MDR1-overexpressing cell lines to derive a quantitative prediction approach for brain disposition using in vitro efflux activities. Eur. J. Pharm. Sci. 2020, 142, 105119. [Google Scholar] [CrossRef]
- Storelli, F.; Anoshchenko, O.; Unadkat, J.D. Successful Prediction of Human Steady-State Unbound Brain-Plasma Concentration Ratio of P-gp Substrates Using the Proteomics-Informed Relative Expression Factor Approach. Clin. Pharmacol. Ther. 2021, 110, 432–442. [Google Scholar] [CrossRef]
- Liu, S.; Kosugi, Y. Human Brain Penetration Prediction Using Scaling Approach from Animal Machine Learning Models. AAPS J. 2023, 25, 86. [Google Scholar] [CrossRef]
- Rowbottom, C.; Pietrasiewicz, A.; Tuczewycz, T.; Grater, R.; Qiu, D.; Kapadnis, S.; Trapa, P. Optimization of dose and route of administration of the P-glycoprotein inhibitor, valspodar (PSC-833) and the P-glycoprotein and breast cancer resistance protein dual-inhibitor, elacridar (GF120918) as dual infusion in rats. Pharmacol. Res. Perspect. 2021, 9, e00740. [Google Scholar] [CrossRef] [PubMed]
- Sun, K.; Mikule, K.; Wang, Z.; Poon, G.; Vaidyanathan, A.; Smith, G.; Zhang, Z.-Y.; Hanke, J.; Ramaswamy, S.; Wang, J. A comparative pharmacokinetic study of PARP inhibitors demonstrates favorable properties for niraparib efficacy in preclinical tumor models. Oncotarget 2018, 9, 37080–37096. [Google Scholar] [CrossRef] [PubMed]
- Liu, H.; Huang, L.; Li, Y.; Fu, T.; Sun, X.; Zhang, Y.-Y.; Gao, R.; Chen, Q.; Zhang, W.; Sahi, J.; et al. Correlation between Membrane Protein Expression Levels and Transcellular Transport Activity for Breast Cancer Resistance Protein. Drug Metab. Dispos. 2017, 45, 449–456. [Google Scholar] [CrossRef] [PubMed]
- Lazzaro, S.; West, M.A.; Eatemadpour, S.; Feng, B.; Varma, M.V.S.; Rodrigues, A.D.; Temesszentandrási-Ambrus, C.; Kovács-Hajdu, P.; Nerada, Z.; Gáborik, Z.; et al. Translatability of in vitro Inhibition Potency to in vivo P-Glycoprotein Mediated Drug Interaction Risk. J. Pharm. Sci. 2023, 112, 1715–1723. [Google Scholar] [CrossRef] [PubMed]
- Temesszentandrási-Ambrus, C.; Nagy, G.; Bui, A.; Gáborik, Z. A Unique In Vitro Assay to Investigate ABCB4 Transport Function. Int. J. Mol. Sci. 2023, 24, 4459. [Google Scholar] [CrossRef] [PubMed]
- MacLean, B.; Tomazela, D.M.; Shulman, N.; Chambers, M.; Finney, G.L.; Frewen, B.; Kern, R.; Tabb, D.L.; Liebler, D.C.; MacCoss, M.J. Skyline: An open source document editor for creating and analyzing targeted proteomics experiments. Bioinformatics 2010, 26, 966–968. [Google Scholar] [CrossRef] [PubMed]
- Uchida, Y. Quantitative Proteomics-Based Blood-Brain Barrier Study. Biol. Pharm. Bull. 2021, 44, 465–473. [Google Scholar] [CrossRef] [PubMed]
- T. Package. Package ‘nls.multstart’. 2023. Available online: https://cran.r-project.org/web/packages/nls.multstart/ (accessed on 26 April 2024).
- Redeker, K.-E.M.; Jensen, O.; Gebauer, L.; Meyer-Tönnies, M.J.; Brockmöller, J. Atypical Substrates of the Organic Cation Transporter 1. Biomolecules 2022, 12, 1664. [Google Scholar] [CrossRef]
- Nagaya, Y.; Nozaki, Y.; Takenaka, O.; Watari, R.; Kusano, K.; Yoshimura, T.; Kusuhara, H. Investigation of utility of cerebrospinal fluid drug concentration as a surrogate for interstitial fluid concentration using microdialysis coupled with cisternal cerebrospinal fluid sampling in wild-type and Mdr1a(-/-) rats. Drug Metab. Pharmacokinet. 2016, 31, 57–66. [Google Scholar] [CrossRef]
- Cui, Y.; Lotz, R.; Rapp, H.; Klinder, K.; Himstedt, A.; Sauer, A. Muscle to Brain Partitioning as Measure of Transporter-Mediated Efflux at the Rat Blood-Brain Barrier and Its Implementation into Compound Optimization in Drug Discovery. Pharmaceutics 2019, 11, 595. [Google Scholar] [CrossRef] [PubMed]
- Dolgikh, E.; Watson, I.A.; Desai, P.V.; Sawada, G.A.; Morton, S.; Jones, T.M.; Raub, T.J. QSAR Model of Unbound Brain-to-Plasma Partition Coefficient, K(p,uu,brain): Incorporating P-glycoprotein Efflux as a Variable. J. Chem. Inf. Model. 2016, 56, 2225–2233. [Google Scholar] [CrossRef] [PubMed]
- Gupta, M.; Feng, J.; Bhisetti, G. Experimental and Computational Methods to Assess Central Nervous System Penetration of Small Molecules. Molecules 2024, 29, 1264. [Google Scholar] [CrossRef]
- Summerfield, S.G.; Zhang, Y.; Liu, H. Examining the Uptake of Central Nervous System Drugs and Candidates across the Blood-Brain Barrier. J. Pharmacol. Exp. Ther. 2016, 358, 294–305. [Google Scholar] [CrossRef] [PubMed]
- Broccatelli, F.; Larregieu, C.A.; Cruciani, G.; Oprea, T.I.; Benet, L.Z. Improving the prediction of the brain disposition for orally administered drugs using BDDCS. Adv. Drug Deliv. Rev. 2012, 64, 95–109. [Google Scholar] [CrossRef] [PubMed]
- Kalvass, J.C.; Pollack, G.M. Kinetic considerations for the quantitative assessment of efflux activity and inhibition: Implications for understanding and predicting the effects of efflux inhibition. Pharm. Res. 2007, 24, 265–276. [Google Scholar] [CrossRef] [PubMed]
- Montanari, F.; Ecker, G.F. Prediction of drug-ABC-transporter interaction--Recent advances and future challenges. Adv. Drug Deliv. Rev. 2015, 86, 17–26. [Google Scholar] [CrossRef] [PubMed]
- Feng, B.; Mills, J.B.; Davidson, R.E.; Mireles, R.J.; Janiszewski, J.S.; Troutman, M.D.; de Morais, S.M. In vitro P-glycoprotein assays to predict the in vivo interactions of P-glycoprotein with drugs in the central nervous system. Drug Metab. Dispos. 2008, 36, 268–275. [Google Scholar] [CrossRef] [PubMed]
- Lundquist, S.; Renftel, M.; Brillault, J.; Fenart, L.; Cecchelli, R.; Dehouck, M.-P. Prediction of drug transport through the blood-brain barrier in vivo: A comparison between two in vitro cell models. Pharm. Res. 2002, 19, 976–981. [Google Scholar] [CrossRef]
- Faassen, F.; Vogel, G.; Spanings, H.; Vromans, H. Caco-2 permeability, P-glycoprotein transport ratios and brain penetration of heterocyclic drugs. Int. J. Pharm. 2003, 263, 113–122. [Google Scholar] [CrossRef]
- Poirier, A.; Cascais, A.-C.; Bader, U.; Portmann, R.; Brun, M.-E.; Walter, I.; Hillebrecht, A.; Ullah, M.; Funk, C. Calibration of in vitro multidrug resistance protein 1 substrate and inhibition assays as a basis to support the prediction of clinically relevant interactions in vivo. Drug Metab. Dispos. 2014, 42, 1411–1422. [Google Scholar] [CrossRef] [PubMed]
- Kikuchi, R.; de Morais, S.M.; Kalvass, J.C. In vitro P-glycoprotein efflux ratio can predict the in vivo brain penetration regardless of biopharmaceutics drug disposition classification system class. Drug Metab. Dispos. 2013, 41, 2012–2017. [Google Scholar] [CrossRef] [PubMed]
- Takeuchi, T.; Yoshitomi, S.; Higuchi, T.; Ikemoto, K.; Niwa, S.; Ebihara, T.; Katoh, M.; Yokoi, T.; Asahi, S. Establishment and characterization of the transformants stably-expressing MDR1 derived from various animal species in LLC-PK1. Pharm. Res. 2006, 23, 1460–1472. [Google Scholar] [CrossRef] [PubMed]
- Syvänen, S.; Lindhe, O.; Palner, M.; Kornum, B.R.; Rahman, O.; Långström, B.; Knudsen, G.M.; Hammarlund-Udenaes, M. Species differences in blood-brain barrier transport of three positron emission tomography radioligands with emphasis on P-glycoprotein transport. Drug Metab. Dispos. 2009, 37, 635–643. [Google Scholar] [CrossRef] [PubMed]
- Hsiao, P.; Unadkat, J.D. P-glycoprotein-based loperamide-cyclosporine drug interaction at the rat blood-brain barrier: Prediction from in vitro studies and extrapolation to humans. Mol. Pharm. 2012, 9, 629–633. [Google Scholar] [CrossRef]
- Chen, C.; Liu, X.; Smith, B.J. Utility of Mdr1-gene deficient mice in assessing the impact of P-glycoprotein on pharmacokinetics and pharmacodynamics in drug discovery and development. Curr. Drug Metab. 2003, 4, 272–291. [Google Scholar] [CrossRef] [PubMed]
- Jain, S.; Grandits, M.; Ecker, G.F. Interspecies comparison of putative ligand binding sites of human, rat and mouse P-glycoprotein. Eur. J. Pharm. Sci. 2018, 122, 134–143. [Google Scholar] [CrossRef] [PubMed]
- Molden, E.; Christensen, H.; Sund, R.B. Extensive metabolism of diltiazem and P-glycoprotein-mediated efflux of desacetyl-diltiazem (M1) by rat jejunum in vitro. Drug Metab. Dispos. 2000, 28, 107–109. [Google Scholar]
- Adachi, Y.; Suzuki, H.; Sugiyama, Y. Comparative studies on in vitro methods for evaluating in vivo function of MDR1 P-glycoprotein. Pharm. Res. 2001, 18, 1660–1668. [Google Scholar] [CrossRef] [PubMed]
- Lin, J.H.; Yamazaki, M. Role of P-glycoprotein in pharmacokinetics: Clinical implications. Clin. Pharmacokinet. 2003, 42, 59–98. [Google Scholar] [CrossRef]
- Yamazaki, M.; Neway, W.E.; Ohe, T.; Chen, I.; Rowe, J.F.; Hochman, J.H.; Chiba, M.; Lin, J.H. In vitro substrate identification studies for p-glycoprotein-mediated transport: Species difference and predictability of in vivo results. J. Pharmacol. Exp. Ther. 2001, 296, 723–735. [Google Scholar]
- Jiang, L.; Kumar, S.; Nuechterlein, M.; Reyes, M.; Tran, D.; Cabebe, C.; Chiang, P.; Reynolds, J.; Carrier, S.; Sun, Y.; et al. Application of a high-resolution in vitro human MDR1-MDCK assay and in vivo studies in preclinical species to improve prediction of CNS drug penetration. Pharmacol. Res. Perspect. 2022, 10, e00932. [Google Scholar] [CrossRef] [PubMed]
- Li, N.; Kulkarni, P.; Badrinarayanan, A.; Kefelegn, A.; Manoukian, R.; Li, X.; Prasad, B.; Karasu, M.; McCarty, W.J.; Knutson, C.G.; et al. P-glycoprotein Substrate Assessment in Drug Discovery: Application of Modeling to Bridge Differential Protein Expression Across In Vitro Tools. J. Pharm. Sci. 2021, 110, 325–337. [Google Scholar] [CrossRef] [PubMed]
- Patel, N.C.; Feng, B.; Hou, X.; West, M.A.; Trapa, P.E.; Sciabola, S.; Verhoest, P.; Liras, J.L.; Maurer, T.S.; Wager, T.T. Harnessing Preclinical Data as a Predictive Tool for Human Brain Tissue Targeting. ACS Chem. Neurosci. 2021, 12, 1007–1017. [Google Scholar] [CrossRef] [PubMed]
- Simoff, I.; Karlgren, M.; Backlund, M.; Lindström, A.-C.; Gaugaz, F.Z.; Matsson, P.; Artursson, P. Complete Knockout of Endogenous Mdr1 (Abcb1) in MDCK Cells by CRISPR-Cas9. J. Pharm. Sci. 2016, 105, 1017–1021. [Google Scholar] [CrossRef] [PubMed]
- Chen, E.C.; Broccatelli, F.; Plise, E.; Chen, B.; Liu, L.; Cheong, J.; Zhang, S.; Jorski, J.; Gaffney, K.; Umemoto, K.K.; et al. Evaluating the Utility of Canine Mdr1 Knockout Madin-Darby Canine Kidney I Cells in Permeability Screening and Efflux Substrate Determination. Mol. Pharm. 2018, 15, 5103–5113. [Google Scholar] [CrossRef] [PubMed]
- Poller, B.; Wagenaar, E.; Tang, S.C.; Schinkel, A.H. Double-transduced MDCKII cells to study human P-glycoprotein (ABCB1) and breast cancer resistance protein (ABCG2) interplay in drug transport across the blood-brain barrier. Mol. Pharm. 2011, 8, 571–582. [Google Scholar] [CrossRef] [PubMed]
- Trapa, P.E.; Belova, E.; Liras, J.L.; Scott, D.O.; Steyn, S.J. Insights From an Integrated Physiologically Based Pharmacokinetic Model for Brain Penetration. J. Pharm. Sci. 2016, 105, 965–971. [Google Scholar] [CrossRef] [PubMed]
- Patel, N.C. Methods to optimize CNS exposure of drug candidates. Bioorg. Med. Chem. Lett. 2020, 30, 127503. [Google Scholar] [CrossRef]
- Kalvass, J.C.; Maurer, T.S.; Pollack, G.M. Use of plasma and brain unbound fractions to assess the extent of brain distribution of 34 drugs: Comparison of unbound concentration ratios to in vivo p-glycoprotein efflux ratios. Drug Metab. Dispos. 2007, 35, 660–666. [Google Scholar] [CrossRef]
- Suzuyama, N.; Katoh, M.; Takeuchi, T.; Yoshitomi, S.; Higuchi, T.; Asashi, S.; Yokoi, T. Species differences of inhibitory effects on P-glycoprotein-mediated drug transport. J. Pharm. Sci. 2007, 96, 1609–1618. [Google Scholar] [CrossRef] [PubMed]
- Zolnerciks, J.K.; Booth-Genthe, C.L.; Gupta, A.; Harris, J.; Unadkat, J.D. Substrate- and species-dependent inhibition of P-glycoprotein-mediated transport: Implications for predicting in vivo drug interactions. J. Pharm. Sci. 2011, 100, 3055–3061. [Google Scholar] [CrossRef] [PubMed]
- Aller, S.G.; Yu, J.; Ward, A.; Weng, Y.; Chittaboina, S.; Zhuo, R.; Harrell, P.M.; Trinh, Y.T.; Zhang, Q.; Urbatsch, I.L.; et al. Structure of P-glycoprotein reveals a molecular basis for poly-specific drug binding. Science 2009, 323, 1718–1722. [Google Scholar] [CrossRef] [PubMed]
- Grigoreva, T.; Romanova, A.; Sagaidak, A.; Vorona, S.; Novikova, D.; Tribulovich, V. Mdm2 inhibitors as a platform for the design of P-glycoprotein inhibitors. Bioorg. Med. Chem. Lett. 2020, 30, 127424. [Google Scholar] [CrossRef] [PubMed]
- Zamek-Gliszczynski, M.J.; Lee, C.A.; Poirier, A.; Bentz, J.; Chu, X.; Ellens, H.; Ishikawa, T.; Jamei, M.; Kalvass, J.C.; Nagar, S.; et al. ITC recommendations for transporter kinetic parameter estimation and translational modeling of transport-mediated PK and DDIs in humans. Clin. Pharmacol. Ther. 2013, 94, 64–79. [Google Scholar] [CrossRef] [PubMed]
- von Richter, O.; Glavinas, H.; Krajcsi, P.; Liehner, S.; Siewert, B.; Zech, K. A novel screening strategy to identify ABCB1 substrates and inhibitors. Naunyn-Schmiedeberg’s Arch. Pharmacol. 2009, 379, 11–26. [Google Scholar] [CrossRef] [PubMed]
- Ledwitch, K.V.; Barnes, R.W.; Roberts, A.G. Unravelling the complex drug-drug interactions of the cardiovascular drugs, verapamil and digoxin, with P-glycoprotein. Biosci. Rep. 2016, 36, e00309. [Google Scholar] [CrossRef]
- Hansen, T.S.; Nilsen, O.G. Echinacea purpurea and P-glycoprotein drug transport in Caco-2 cells. Phytother. Res. 2009, 23, 86–91. [Google Scholar] [CrossRef]
- Seelig, A.; Landwojtowicz, E. Structure-activity relationship of P-glycoprotein substrates and modifiers. Eur. J. Pharm. Sci. 2000, 12, 31–40. [Google Scholar] [CrossRef]
- Sziráki, I.; Erdo, F.; Beéry, E.; Molnár, P.M.; Fazakas, C.; Wilhelm, I.; Makai, I.; Kis, E.; Herédi-Szabó, K.; Abonyi, T.; et al. Quinidine as an ABCB1 probe for testing drug interactions at the blood-brain barrier: An in vitro in vivo correlation study. J. Biomol. Screen. 2011, 16, 886–894. [Google Scholar] [CrossRef]
- Mori, N.; Iwamoto, H.; Yokooji, T.; Murakami, T. Characterization of intestinal absorption of quinidine, a P-glycoprotein substrate, given as a powder in rats. Pharmazie 2012, 67, 384–388. [Google Scholar] [PubMed]
- Kharasch, E.D.; Hoffer, C.; Altuntas, T.G.; Whittington, D. Quinidine as a probe for the role of p-glycoprotein in the intestinal absorption and clinical effects of fentanyl. J. Clin. Pharmacol. 2004, 44, 224–233. [Google Scholar] [CrossRef] [PubMed]
- Acharya, P.; O’Connor, M.P.; Polli, J.W.; Ayrton, A.; Ellens, H.; Bentz, J. Kinetic identification of membrane transporters that assist P-glycoprotein-mediated transport of digoxin and loperamide through a confluent monolayer of MDCKII-hMDR1 cells. Drug Metab. Dispos. 2008, 36, 452–460. [Google Scholar] [CrossRef] [PubMed]
- Gatlik-Landwojtowicz, E.; Aänismaa, P.; Seelig, A. Quantification and characterization of P-glycoprotein-substrate interactions. Biochemistry 2006, 45, 3020–3032. [Google Scholar] [CrossRef] [PubMed]
- Okamura, N.; Hirai, M.; Tanigawara, Y.; Tanaka, K.; Yasuhara, M.; Ueda, K.; Komano, T.; Hori, R. Digoxin-cyclosporin A interaction: Modulation of the multidrug transporter P-glycoprotein in the kidney. J. Pharmacol. Exp. Ther. 1993, 266, 1614–1619. [Google Scholar]
- Taub, M.E.; Podila, L.; Ely, D.; Almeida, I. Functional assessment of multiple P-glycoprotein (P-gp) probe substrates: Influence of cell line and modulator concentration on P-gp activity. Drug Metab. Dispos. 2005, 33, 1679–1687. [Google Scholar] [CrossRef] [PubMed]
- Tanigawara, Y.; Okamura, N.; Hirai, M.; Yasuhara, M.; Ueda, K.; Kioka, N.; Komano, T.; Hori, R. Transport of digoxin by human P-glycoprotein expressed in a porcine kidney epithelial cell line (LLC-PK1). J. Pharmacol. Exp. Ther. 1992, 263, 840–845. [Google Scholar] [PubMed]
- Troutman, M.D.; Thakker, D.R. Efflux ratio cannot assess P-glycoprotein-mediated attenuation of absorptive transport: Asymmetric effect of P-glycoprotein on absorptive and secretory transport across Caco-2 cell monolayers. Pharm. Res. 2003, 20, 1200–1209. [Google Scholar] [CrossRef]
- Westphal, K.; Weinbrenner, A.; Giessmann, T.; Stuhr, M.; Franke, G.; Zschiesche, M.; Oertel, R.; Terhaag, B.; Kroemer, H.K.; Siegmund, W. Oral bioavailability of digoxin is enhanced by talinolol: Evidence for involvement of intestinal P-glycoprotein. Clin. Pharmacol. Ther. 2000, 68, 6–12. [Google Scholar] [CrossRef]
- Ding, R.; Tayrouz, Y.; Riedel, K.-D.; Burhenne, J.; Weiss, J.; Mikus, G.; Haefeli, W.E. Substantial pharmacokinetic interaction between digoxin and ritonavir in healthy volunteers. Clin. Pharmacol. Ther. 2004, 76, 73–84. [Google Scholar] [CrossRef]
- Penzak, S.R.; Shen, J.M.; Alfaro, R.M.; Remaley, A.T.; Natarajan, V.; Falloon, J. Ritonavir decreases the nonrenal clearance of digoxin in healthy volunteers with known MDR1 genotypes. Ther. Drug Monit. 2004, 26, 322–330. [Google Scholar] [CrossRef] [PubMed]
- Brouwer, K.L.R.; Keppler, D.; Hoffmaster, K.A.; Bow, D.A.J.; Cheng, Y.; Lai, Y.; Palm, J.E.; Stieger, B.; Evers, R. In vitro methods to support transporter evaluation in drug discovery and development. Clin. Pharmacol. Ther. 2013, 94, 95–112. [Google Scholar] [CrossRef] [PubMed]
- Ambrus, C.; Bakos, É.; Sarkadi, B.; Özvegy-Laczka, C.; Telbisz, Á. Interactions of anti-COVID-19 drug candidates with hepatic transporters may cause liver toxicity and affect pharmacokinetics. Sci. Rep. 2021, 11, 17810. [Google Scholar] [CrossRef] [PubMed]
- Palmeira, A.; Sousa, E.; Vasconcelos, M.H.; Pinto, M.M. Three decades of P-gp inhibitors: Skimming through several generations and scaffolds. Curr. Med. Chem. 2012, 19, 1946–2025. [Google Scholar] [CrossRef] [PubMed]
- Nosol, K.; Romane, K.; Irobalieva, R.N.; Alam, A.; Kowal, J.; Fujita, N.; Locher, K.P. Cryo-EM structures reveal distinct mechanisms of inhibition of the human multidrug transporter ABCB1. Proc. Natl. Acad. Sci. USA 2020, 117, 26245–26253. [Google Scholar] [CrossRef] [PubMed]
- Alam, A.; Küng, R.; Kowal, J.; McLeod, R.A.; Tremp, N.; Broude, E.V.; Roninson, I.B.; Stahlberg, H.; Locher, K.P. Structure of a zosuquidar and UIC2-bound human-mouse chimeric ABCB1. Proc. Natl. Acad. Sci. USA 2018, 115, E1973–E1982. [Google Scholar] [CrossRef] [PubMed]
- Urgaonkar, S.; Nosol, K.; Said, A.M.; Nasief, N.N.; Bu, Y.; Locher, K.P.; Lau, J.Y.N.; Smolinski, M.P. Discovery and Characterization of Potent Dual P-Glycoprotein and CYP3A4 Inhibitors: Design, Synthesis, Cryo-EM Analysis, and Biological Evaluations. J. Med. Chem. 2022, 65, 191–216. [Google Scholar] [CrossRef]
- Sauna, Z.E.; Ambudkar, S.V. Characterization of the catalytic cycle of ATP hydrolysis by human P-glycoprotein. The two ATP hydrolysis events in a single catalytic cycle are kinetically similar but affect different functional outcomes. J. Biol. Chem. 2001, 276, 11653–11661. [Google Scholar] [CrossRef]
- Martin, C.; Berridge, G.; Higgins, C.F.; Mistry, P.; Charlton, P.; Callaghan, R. Communication between multiple drug binding sites on P-glycoprotein. Mol. Pharmacol. 2000, 58, 624–632. [Google Scholar] [CrossRef]
- Glavinas, H.; von Richter, O.; Vojnits, K.; Mehn, D.; Wilhelm, I.; Nagy, T.; Janossy, J.; Krizbai, I.; Couraud, P.; Krajcsi, P. Calcein assay: A high-throughput method to assess P-gp inhibition. Xenobiotica 2011, 41, 712–719. [Google Scholar] [CrossRef]
- Sharom, F.J. Complex Interplay between the P-Glycoprotein Multidrug Efflux Pump and the Membrane: Its Role in Modulating Protein Function. Front. Oncol. 2014, 4, 41. [Google Scholar] [CrossRef] [PubMed]
- Safa, A.R. Identification and characterization of the binding sites of P-glycoprotein for multidrug resistance-related drugs and modulators. Curr. Med. Chem. Anticancer Agents 2004, 4, 1–17. [Google Scholar] [CrossRef] [PubMed]
- Shao, Y.M.; Ayesh, S.; Stein, W.D. Mutually co-operative interactions between modulators of P-glycoprotein. Biochim. Biophys. Acta 1997, 1360, 30–38. [Google Scholar] [CrossRef] [PubMed]






| hMDR1 | rMDR1 | mMDR1 | cyMDR1 | Total ER | REF-Corrected Total ER | |
|---|---|---|---|---|---|---|
| False Negative (n) | 5 | 6 | 10 | 12 | 3 | 6 |
| False Positive (n) | 2 | 3 | 2 | 1 | 5 | 3 |
| True Negative (n) | 22 | 21 | 22 | 23 | 19 | 21 |
| True Positive (n) | 29 | 28 | 24 | 22 | 31 | 28 |
| PPV | 94% | 90% | 92% | 96% | 86% | 90% |
| NPV | 81% | 78% | 69% | 66% | 86% | 78% |
| Sensitivity | 85% | 82% | 71% | 65% | 91% | 82% |
| Specificity | 92% | 88% | 92% | 96% | 79% | 88% |
| Accuracy | 88% | 84% | 79% | 78% | 86% | 84% |
| FN Rate | 15% | 18% | 29% | 35% | 9% | 18% |
| Parameter | Estimate | Standard Error | Lower 95% CI | Upper 95% CI |
|---|---|---|---|---|
| α | 0.52 | 0.103 | 0.315 | 0.731 |
| β | 0.29 | 0.080 | 0.126 | 0.450 |
Disclaimer/Publisher’s Note: The statements, opinions and data contained in all publications are solely those of the individual author(s) and contributor(s) and not of MDPI and/or the editor(s). MDPI and/or the editor(s) disclaim responsibility for any injury to people or property resulting from any ideas, methods, instructions or products referred to in the content. |
© 2024 by the authors. Licensee MDPI, Basel, Switzerland. This article is an open access article distributed under the terms and conditions of the Creative Commons Attribution (CC BY) license (https://creativecommons.org/licenses/by/4.0/).
Share and Cite
Sóskuti, E.; Szilvásy, N.; Temesszentandrási-Ambrus, C.; Urbán, Z.; Csíkvári, O.; Szabó, Z.; Kecskeméti, G.; Pusztai, É.; Gáborik, Z. Applicability of MDR1 Overexpressing Abcb1KO-MDCKII Cell Lines for Investigating In Vitro Species Differences and Brain Penetration Prediction. Pharmaceutics 2024, 16, 736. https://doi.org/10.3390/pharmaceutics16060736
Sóskuti E, Szilvásy N, Temesszentandrási-Ambrus C, Urbán Z, Csíkvári O, Szabó Z, Kecskeméti G, Pusztai É, Gáborik Z. Applicability of MDR1 Overexpressing Abcb1KO-MDCKII Cell Lines for Investigating In Vitro Species Differences and Brain Penetration Prediction. Pharmaceutics. 2024; 16(6):736. https://doi.org/10.3390/pharmaceutics16060736
Chicago/Turabian StyleSóskuti, Emőke, Nóra Szilvásy, Csilla Temesszentandrási-Ambrus, Zoltán Urbán, Olivér Csíkvári, Zoltán Szabó, Gábor Kecskeméti, Éva Pusztai, and Zsuzsanna Gáborik. 2024. "Applicability of MDR1 Overexpressing Abcb1KO-MDCKII Cell Lines for Investigating In Vitro Species Differences and Brain Penetration Prediction" Pharmaceutics 16, no. 6: 736. https://doi.org/10.3390/pharmaceutics16060736
APA StyleSóskuti, E., Szilvásy, N., Temesszentandrási-Ambrus, C., Urbán, Z., Csíkvári, O., Szabó, Z., Kecskeméti, G., Pusztai, É., & Gáborik, Z. (2024). Applicability of MDR1 Overexpressing Abcb1KO-MDCKII Cell Lines for Investigating In Vitro Species Differences and Brain Penetration Prediction. Pharmaceutics, 16(6), 736. https://doi.org/10.3390/pharmaceutics16060736

