Recent Developments in PET and SPECT Radiotracers as Radiopharmaceuticals for Hypoxia Tumors
Abstract
1. Introduction
2. Development of Radiotracers for Hypoxia
2.1. 18F Radiotracers for Hypoxia
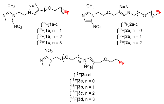
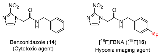
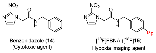
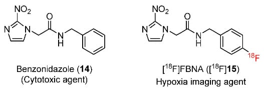
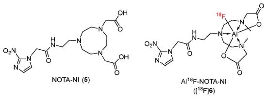
2.1.1. 18F Radiotracers with Linkers for Hypoxia
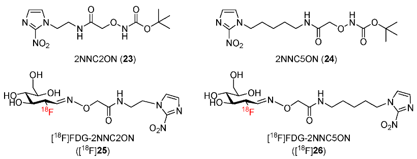
2.1.2. 18F Radiotracers with Carbohydrate Structure for Hypoxia
2.2. 99mTc Radiotracers for Hypoxia
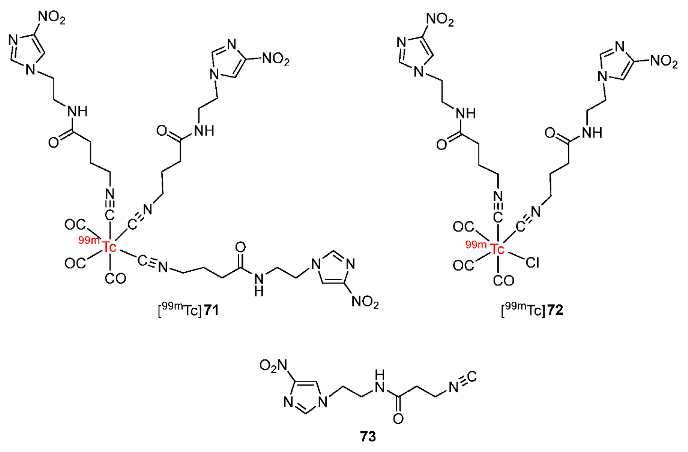
2.2.1. 99mTc Radiotracers with Mono-Nitroimidazole for Hypoxia
2.2.2. 99mTc Radiotracers with Di-Nitroimidazole for Hypoxia
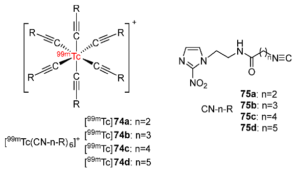
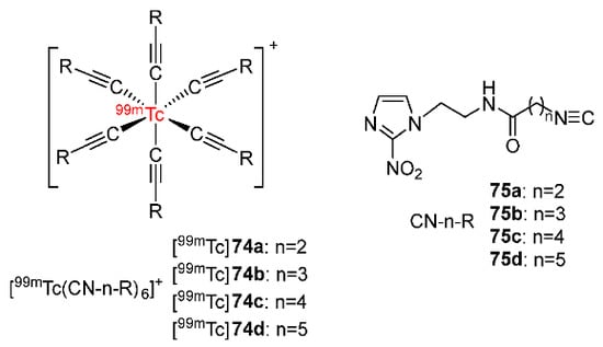
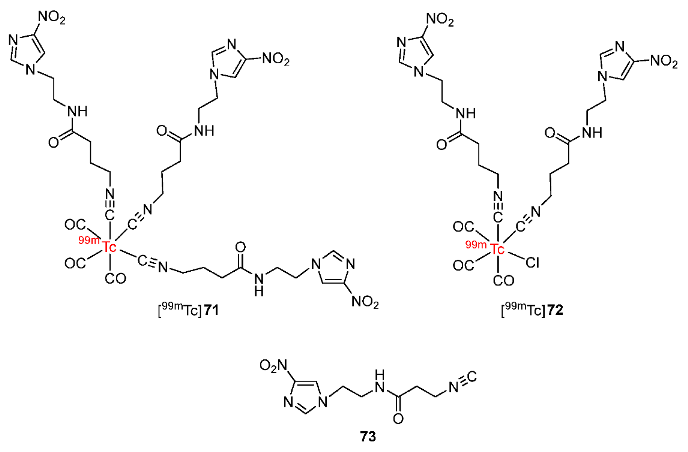
2.2.3. 99mTc Radiotracers with Multi-Nitroimidazole for Hypoxia
2.3. 131I-/125I Radiotracers for Hypoxia
2.4. 64Cu Radiotracers for Hypoxia
3. Conclusions and Perspectives
Author Contributions
Funding
Institutional Review Board Statement
Informed Consent Statement
Data Availability Statement
Conflicts of Interest
References
- Höckel, M.; Vaupel, P. Tumor hypoxia: Definitions and current clinical, biologic, and molecular aspects. JNCI J. Natl. Cancer Inst. 2001, 93, 266–276. [Google Scholar] [CrossRef]
- Krohn, K.A.; Link, J.M.; Mason, R.P. Molecular imaging of hypoxia. J. Nucl. Med. 2008, 49 (Suppl. S2), 129S–148S. [Google Scholar] [CrossRef] [PubMed]
- Dunn, T. Oxygen and cancer. N. C. Med. J. 1997, 58, 140–143. [Google Scholar] [PubMed]
- Lewis, J.; Welch, M. PET imaging of hypoxia. Q. J. Nucl. Med. Mol. Imaging 2001, 45, 183–188. [Google Scholar]
- Höckel, M.; Schienger, K.; Aral, B.; Milze, M.; Schäffer, U.; Vaupel, P. Association between tumor hypoxia and malignant progression in advanced cancer of the uterine cervix. Cancer Res. 1996, 56, 4509–4515. [Google Scholar] [PubMed]
- Ammirante, M.; Shalapour, S.; Kang, Y.; Jamieson, C.A.M.; Karin, M. Tissue injury and hypoxia promote malignant progression of prostate cancer by inducing CXCL13 expression in tumor myofibroblasts. Proc. Natl. Acad. Sci. USA 2014, 111, 14776–14781. [Google Scholar] [CrossRef]
- Abu el Maaty, M.A.; Terzic, J.; Keime, C.; Rovito, D.; Lutzing, R.; Yanushko, D.; Parisotto, M.; Grelet, E.; Namer, I.J.; Lindner, V.; et al. Hypoxia-mediated stabilization of HIF1A in prostatic intraepithelial neoplasia promotes cell plasticity and malignant progression. Sci. Adv. 2022, 8, eabo2295. [Google Scholar] [CrossRef]
- Liao, S.; Apaijai, N.; Luo, Y.; Wu, J.; Chunchai, T.; Singhanat, K.; Arunsak, B.; Benjanuwattra, J.; Chattipakorn, N.; Chattipakorn, S.C. Cell death inhibitors protect against brain damage caused by cardiac ischemia/reperfusion injury. Cell Death Discov. 2021, 7, 312. [Google Scholar] [CrossRef]
- Yashiro, M.; Kinoshita, H.; Tsujio, G.; Fukuoka, T.; Yamamoto, Y.; Sera, T.; Sugimoto, A.; Nishimura, S.; Kushiyama, S.; Togano, S.; et al. SDF1α/CXCR4 axis may be associated with the malignant progression of gastric cancer in the hypoxic tumor microenvironment. Oncol. Lett. 2020, 21, 38. [Google Scholar] [CrossRef]
- Maynard, M.A.; Ohh, M. The role of hypoxia-inducible factors in cancer. Cell. Mol. Life Sci. 2007, 64, 2170–2180. [Google Scholar] [CrossRef]
- Vaupel, P.; Med, M.A. The role of hypoxia-induced factors in tumor progression. Oncologist 2004, 9, 10–17. [Google Scholar] [CrossRef] [PubMed]
- Lu, X.; Kang, Y. Hypoxia and hypoxia-inducible factors: Master regulators of metastasis. Clin. Cancer Res. 2010, 16, 5928–5935. [Google Scholar] [CrossRef]
- Lamouille, S.; Xu, J.; Derynck, R. Molecular mechanisms of epithelial–mesenchymal transition. Nat. Rev. Mol. Cell Biol. 2014, 15, 178–196. [Google Scholar] [CrossRef] [PubMed]
- Lee, P.; Chandel, N.S.; Simon, M.C. Cellular adaptation to hypoxia through hypoxia inducible factors and beyond. Nat. Rev. Mol. Cell Biol. 2020, 21, 268–283. [Google Scholar] [CrossRef] [PubMed]
- Dzhalilova, D.S.; Makarova, O.V. HIF-Dependent mechanisms of relationship between hypoxia tolerance and tumor development. Biochemistry 2021, 86, 1163–1180. [Google Scholar] [CrossRef] [PubMed]
- Rankin, E.B.; Giaccia, A.J. Hypoxic control of metastasis. Science 2016, 352, 175–180. [Google Scholar] [CrossRef]
- Brizel, D.M.; Scully, S.P.; Harrelson, J.M.; Layfleld, L.J.; Bean, J.M.; Prosnitz, L.R.; Dewhirst, M.W. Tumor oxygenation predicts for the likelihood of distant metastases in human soft tissue sarcoma. Cancer Res. 1996, 56, 941–943. [Google Scholar]
- Liu, Z.J.; Semenza, G.L.; Zhang, H.F. Hypoxia-inducible factor 1 and breast cancer metastasis. J. Zhejiang Univ. Sci. B 2015, 16, 32–43. [Google Scholar] [CrossRef]
- Semenza, G.L. The hypoxic tumor microenvironment: A driving force for breast cancer progression. Biochim. Biophys. Acta 2016, 1863, 382–391. [Google Scholar] [CrossRef]
- Jin, Y.; Wang, H.; Ma, X.; Liang, X.; Liu, X.; Wang, Y. Clinicopathological characteristics of gynecological cancer associated with hypoxia-inducible factor 1α expression: A meta-analysis including 6612 subjects. PLoS ONE 2015, 10, e0127229. [Google Scholar]
- Matsuo, Y.; Ding, Q.; Desaki, R.; Maemura, K.; Mataki, Y.; Shinchi, H.; Natsugoe, S.; Takao, S. Hypoxia inducible factor-1 alpha plays a pivotal role in hepatic metastasis of pancreatic cancer: An immunohistochemical study. J. Hepatobiliary Pancreat. Sci. 2014, 21, 105–112. [Google Scholar] [CrossRef] [PubMed]
- Vaupel, P.; Briest, S.; Höckel, M. Hypoxia in breast cancer: Pathogenesis, characterization and biological/therapeutic implications. Wien Med. Wochenschr. 2002, 152, 334–342. [Google Scholar] [CrossRef] [PubMed]
- Harrison, L.; Blackwell, K. Hypoxia and anemia: Factors in decreased sensitivity to radiation therapy and chemotherapy? Oncologist 2004, 9, 31–40. [Google Scholar] [CrossRef]
- Tan, E.Y.; Yan, M.; Campo, L.; Han, C.; Takano, E.; Turley, H.; Candiloro, I.; Pezzella, F.; Gatter, K.C.; Millar, E.K.A.; et al. The key hypoxia regulated gene CAIX is upregulated in basal-like breast tumours and is associated with resistance to chemotherapy. Br. J. Cancer 2009, 100, 405–411. [Google Scholar] [CrossRef] [PubMed]
- Brizel, D.M.; Sibley, G.S.; Prosnitz, L.R.; Scher, R.L.; Dewhirst, M.W. Tumor hypoxia adversely affects the prognosis of carcinoma of the head and neck. Int. J. Radiat. Oncol. Biol. Phys. 1997, 38, 285–289. [Google Scholar] [CrossRef] [PubMed]
- Yamamoto, Y.; Ibusuki, M.; Okumura, Y.; Kawasoe, T.; Kai, K.; Iyama, K.; Iwase, H. Hypoxia-inducible factor 1α is closely linked to an aggressive phenotype in breast cancer. Breast Cancer Res. Treat. 2008, 110, 465–475. [Google Scholar] [CrossRef]
- Zhao, Z.; Mu, H.; Li, Y.; Liu, Y.; Zou, J.; Zhu, Y. Clinicopathological and prognostic value of hypoxia-inducible factor-1α in breast cancer: A meta-analysis including 5177 patients. Clin. Transl. Oncol. 2020, 22, 1892–1906. [Google Scholar] [CrossRef]
- Höckel, M.; Knoop, C.; Schlenger, K.; Vorndran, B.; Baussmann, E.; Mitze, M.; Knapstein, P.G.; Vaupel, P. Intratumoral pO2 predicts survival in advanced cancer of the uterine cervix. Radiother. Oncol. 1993, 26, 45–50. [Google Scholar] [CrossRef]
- Ballinger, J.R. Imaging hypoxia in tumors. Semin. Nucl. Med. 2001, 31, 321–329. [Google Scholar] [CrossRef]
- Bussink, J.; Kaanders, J.H.A.M.; van der Kogel, A.J. Tumor hypoxia at the micro-regional level: Clinical relevance and predictive value of exogenous and endogenous hypoxic cell markers. Radiother. Oncol. 2003, 67, 3–15. [Google Scholar] [CrossRef]
- Lu, X.G.; Xing, C.G.; Feng, Y.Z.; Chen, J.; Deng, C. Clinical significance of immunohistochemical expression of hypoxia-inducible factor–1α as a prognostic marker in rectal adenocarcinoma. Clin. Color. Cancer 2006, 5, 350–353. [Google Scholar] [CrossRef]
- Olive, P.L.; Durand, R.E. Detection of hypoxic cells in a murine tumor with the use of the comet assay. J. Natl. Cancer Inst. 1992, 84, 707–711. [Google Scholar] [CrossRef]
- Olive, P.L. The comet assay in clinical practice. Acta Oncol. 2009, 38, 839–844. [Google Scholar] [CrossRef]
- Olive, P.L.; Banáth, J.P. The comet assay: A method to measure DNA damage in individual cells. Nat. Protoc. 2006, 1, 23–29. [Google Scholar] [CrossRef] [PubMed]
- Mees, G.; Dierckx, R.; Vangestel, C.; van de Wiele, C. Molecular imaging of hypoxia with radiolabelled agents. Eur. J. Nucl. Med. Mol. Imaging 2009, 36, 1674–1686. [Google Scholar] [CrossRef] [PubMed][Green Version]
- Ametamey, S.M.; Honer, M.; Schubiger, P.A. Molecular imaging with PET. Chem. Rev. 2008, 108, 1501–1516. [Google Scholar] [CrossRef]
- Ariztia, J.; Solmont, K.; Moïse, N.P.; Specklin, S.; Heck, M.P.; Sandrine Lamandé-Langle, S.; Kuhnast, B. PET/Fluorescence Imaging: An Overview of the Chemical Strategies to Build Dual Imaging Tools. Bioconjug. Chem. 2022, 33, 24–52. [Google Scholar] [CrossRef] [PubMed]
- Jiang, Z.; Zhang, M.; Li, P.; Wang, Y.; Fu, Q. Nanomaterial-based CT contrast agents and their applications in image-guided therapy. Theranostics 2023, 13, 483–509. [Google Scholar] [CrossRef]
- Kim, H.; Shin, M.; Kim, E. Fluorescent Fluoride Sensor Based on Indolizine Core Skeleton for Bioimaging. Bull. Korean Chem. Soc. 2021, 42, 95–98. [Google Scholar] [CrossRef]
- Han, Z.; Ke, M.; Liu, X.; Wang, J.; Guan, Z.; Qiao, L.; Wu, Z.; Sun, Y.; Sun, X. Molecular Imaging, How Close to Clinical Precision Medicine in Lung, Brain, Prostate and Breast Cancers. Mol. Imaging Biol. 2022, 24, 8–22. [Google Scholar] [CrossRef]
- Liu, Y.; Li, Y.; Koo, S.; Liu, Y.; Sun, Y.; Liu, X.; Pan, Y.; Du, M.; Lu, S.; Zhang, Z.; et al. Versatile Types of Inorganic/Organic NIR-IIa/IIb Fluorophores: From Strategic Design toward Molecular Imaging and Theranostic. Chem. Rev. 2022, 122, 209–268. [Google Scholar] [CrossRef] [PubMed]
- Oh, Y.; Lee, T.; Kim, M.K.; Chong, Y. Thiophene-π-Cyanoacetamides Show Intense and Tau-selective Turn-on Fluorescence in the Near-Infrared Region. Bull. Korean Chem. Soc. 2021, 42, 1285–1288. [Google Scholar] [CrossRef]
- Shen, C.L.; Liu, H.R.; Lou, Q.; Wang, F.; Liu, K.K.; Dong, L.; Shan, C.X. Recent progress of carbon dots in targeted bioimaging and cancer therapy. Theranostics 2022, 12, 2860–2893. [Google Scholar] [CrossRef] [PubMed]
- Mukai, H.; Watanabe, Y. Review: PET imaging with macro- and middle-sized molecular probes. Nucl. Med. Biol. 2021, 92, 156–170. [Google Scholar] [CrossRef]
- Liu, Z.; Liu, J.; Wang, X.; Mi, F.; Wang, D.; Wu, C. Fluorescent Bioconjugates for Super-Resolution Optical Nanoscopy. Bioconjug. Chem. 2020, 31, 1857–1872. [Google Scholar] [CrossRef]
- Park, S.Y.; Yoon, S.A.; Lee, M.H. Trimethyl Lock Quinone-Functionalized Coumarin for Real-time Monitoring of NQO1 Activity in the Live Cells. Bull. Korean Chem. Soc. 2021, 42, 119–123. [Google Scholar] [CrossRef]
- Liu, J.; Cui, Z. Fluorescent Labeling of Proteins of Interest in Live Cells: Beyond Fluorescent Proteins. Bioconjug. Chem. 2020, 31, 1587–1595. [Google Scholar] [CrossRef]
- Zhao, Y.; Kim, H.S.; Zou, X.; Huang, L.; Liang, X.; Li, Z.; Kim, J.S.; Lin, W. Harnessing Dual-Fluorescence Lifetime Probes to Validate Regulatory Mechanisms of Organelle Interactions. J. Am. Chem. Soc. 2022, 144, 20854–20865. [Google Scholar] [CrossRef]
- Murale, D.P.; Haque, M.M.; Hong, K.T.; Lee, J.-S. A Pyridinyl-Pyrazole BODIPY as Lipid Droplets Probe. Bull. Korean Chem. Soc. 2021, 42, 111–114. [Google Scholar] [CrossRef]
- Sun, J.; Cao, X.; Lu, W.; Wei, Y.; Kong, L.; Chen, W.; Shao, X.; Wang, Y. Recent advances in fluorescent probes of peroxynitrite: Structural, strategies and biological applications. Theranostics 2023, 13, 1716–1744. [Google Scholar] [CrossRef]
- Zhang, X.; Li, S.; Ma, H.; Wang, H.; Zhang, R.; Zhang, X.D. Activatable NIR-II organic fluorescent probes for bioimaging. Theranostics 2022, 12, 3345–3371. [Google Scholar] [CrossRef] [PubMed]
- Lee, H.W.; Lee, D.J.; Lim, C.S. Recent Research Trends of Two-Photon Photosensitizer for Simultaneous Imaging and Photodynamic Therapy. Bull. Korean Chem. Soc. 2021, 42, 1184–1190. [Google Scholar] [CrossRef]
- Guo, J.; Pan, X.; Wang, C.; Liu, H. Molecular Imaging-Guided Sonodynamic Therapy. Bioconjug. Chem. 2022, 33, 993–1010. [Google Scholar] [CrossRef] [PubMed]
- Fang, H.; Chen, Y.; Jiang, Z.; He, W.; Guo, Z. Fluorescent Probes for Biological Species and Microenvironments: From Rational Design to Bioimaging Applications. Acc. Chem. Res. 2023, 56, 258–269. [Google Scholar] [CrossRef] [PubMed]
- Huang, L.; Li, Z.; Zhang, X. Radiotracers for Nuclear Imaging of Reactive Oxygen Species: Advances Made So Far. Bioconjug. Chem. 2022, 33, 749–766. [Google Scholar] [CrossRef]
- James, M.L.; Gambhir, S.S. A molecular imaging primer: Modalities, imaging agents, and applications. Physiol. Rev. 2012, 92, 897–965. [Google Scholar] [CrossRef]
- Keshavarzi, M.; Darijani, M.; Momeni, F.; Moradi, P.; Ebrahimnejad, H.; Masoudifar, A.; Mirzaei, H. Molecular imaging and oral cancer diagnosis and therapy. J. Cell. Biochem. 2017, 118, 3055–3060. [Google Scholar] [CrossRef]
- Jaffer, F.A.; Weissleder, R. Molecular imaging in the clinical arena. JAMA 2005, 293, 855–862. [Google Scholar] [CrossRef]
- Cerami, C.; Iaccarino, L.; Perani, D. Molecular Imaging of Neuroinflammation in Neurodegenerative Dementias: The Role of In Vivo PET Imaging. Int. J. Mol. Sci. 2017, 18, 993. [Google Scholar] [CrossRef]
- Kim, N.H.; Huh, Y.; Kim, D. Benzo[g]coumarin-benzothiazole hybrid: A fluorescent probe for the detection of amyloid-beta aggregates. Bull. Korean Chem. Soc. 2022, 43, 764–768. [Google Scholar] [CrossRef]
- Wang, P.; Yu, L.; Gong, J.; Xiong, J.; Zi, S.; Xie, H.; Zhang, F.; Mao, Z.; Liu, Z.; Kim, J.S. An Activity-Based Fluorescent Probe for Imaging Fluctuations of Peroxynitrite (ONOO−) in the Alzheimer’s Disease Brain. Angew. Chem. Int. Ed. 2022, 134, e202206894. [Google Scholar]
- Chi, C.; Du, Y.; Ye, J.; Kou, D.; Qiu, J.; Wang, J.; Tian, J.; Chen, X. Intraoperative imaging-guided cancer surgery: From current fluorescence molecular imaging methods to future multi-modality imaging technology. Theranostics 2014, 4, 1072–1084. [Google Scholar] [CrossRef] [PubMed]
- Bolcaen, J.; Kleynhans, J.; Nair, S.; Verhoeven, J.; Goethals, I.; Sathekge, M.; Vandevoorde, C.; Ebenhan, T. A perspective on the radiopharmaceutical requirements for imaging and therapy of glioblastoma. Theranostics 2021, 11, 7911–7947. [Google Scholar] [CrossRef] [PubMed]
- Piron, S.; Verhoeven, J.; Vanhove, C.; De Vos, F. Recent advancements in 18F-labeled PSMA targeting PET radiopharmaceuticals. Nucl. Med. Biol. 2022, 106–107, 29–51. [Google Scholar] [CrossRef] [PubMed]
- Le, H.T.; Jo, H.-R.; Oh, S.-Y.; Jung, J.; Kim, Y.G.; Kang, C.; Kim, T.W. Endoplasmic Reticulum Targeting Reactive Oxygen Species Sensor Based on Dihydrofluorescein: Application of Endoplasmic Reticulum Stress. Bull. Korean Chem. Soc. 2021, 42, 279–285. [Google Scholar] [CrossRef]
- Grus, T.; Lahnif, H.; Klasen, B.; Moon, E.-S.; Greifenstein, L.; Roesch, F. Squaric Acid-Based Radiopharmaceuticals for Tumor Imaging and Therapy. Bioconjug. Chem. 2021, 32, 1223–1231. [Google Scholar] [CrossRef]
- Lim, C.S.; Choi, J.W.; Kim, Y.C.; Kim, H.M. Analyzing Nonmelanoma Skin Cancer Using Enzyme-Activatable Two-Photon Probes. Bull. Korean Chem. Soc. 2021, 42, 103–106. [Google Scholar] [CrossRef]
- Punt, J.M.; van der Vliet, D.; van der Stelt, M. Chemical Probes to Control and Visualize Lipid Metabolism in the Brain. Acc. Chem. Res. 2022, 55, 3205–3217. [Google Scholar] [CrossRef]
- Palmer, G.M.; Fontanella, A.N.; Zhang, G.; Hanna, G.; Fraser, C.L.; Dewhirst, M.W. Optical imaging of tumor hypoxia dynamics. J. Biomed. Opt. 2010, 15, 066021. [Google Scholar] [CrossRef]
- Sun, X.; Niu, G.; Chan, N.; Shen, B.; Chen, X. Tumor hypoxia imaging. Mol. Imaging Biol. 2010, 13, 399–410. [Google Scholar] [CrossRef]
- Histed, S.N.; Lindenberg, M.L.; Mena, E.; Turkbey, B.; Choyke, P.L.; Kurdziel, K.A. Review of functional/anatomic imaging in oncology. Nucl. Med. Commun. 2012, 33, 349–361. [Google Scholar] [CrossRef] [PubMed]
- Balyasnikova, S.; Löfgren, J.; de Nijs, R.; Zamogilnaya, Y.; Højgaard, L.; Fischer, B.M. PET/MR in oncology: An introduction with focus on MR and future perspectives for hybrid imaging. Am. J. Nucl. Med. Mol. Imaging 2012, 2, 458–474. [Google Scholar] [PubMed]
- Even-Sapir, E.; Keidar, Z.; Bar-Shalom, R. Hybrid imaging (SPECT/CT and PET/CT)—Improving the diagnostic accuracy of functional/metabolic and anatomic imaging. Semin. Nucl. Med. 2009, 39, 264–275. [Google Scholar] [CrossRef]
- Ailuno, G.; Iacobazzi, R.M.; Lopalco, A.; Baldassari, S.; Arduino, I.; Azzariti, A.; Pastorino, S.; Caviglioli, G.; Denora, N. The Pharmaceutical Technology Approach on Imaging Innovations from Italian Research. Pharmaceutics 2021, 13, 1214. [Google Scholar] [CrossRef]
- Kabasawa, H. MR Imaging in the 21st Century: Technical Innovation over the First Two Decades. Magn. Reson. Med. 2022, 21, 71–82. [Google Scholar] [CrossRef] [PubMed]
- Amirrashedi, M.; Zaidi, H.; Ay, M.R. Towards quantitative small-animal imaging on hybrid PET/CT and PET/MRI systems. Clin. Transl. Imaging 2020, 8, 243–263. [Google Scholar] [CrossRef]
- Van Dort, M.; Rehemtulla, A.; Ross, B. PET and SPECT imaging of tumor biology: New approaches towards oncology drug discovery and development. Curr. Comput. Aided. Drug Des. 2008, 4, 46–53. [Google Scholar] [CrossRef]
- Kuhl, D.E.; Edwards, R.Q. Image separation radioisotope scanning. Radiology 1963, 80, 653–662. [Google Scholar] [CrossRef]
- Hicks, R.J.; Hofman, M.S. Is there still a role for SPECT–CT in oncology in the PET–CT era? Nat. Rev. Clin. Oncol. 2012, 9, 712–720. [Google Scholar] [CrossRef]
- Crișan, G.; Moldovean-cioroianu, N.S.; Timaru, D.G.; Andrieș, G.; Căinap, C.; Chiș, V. Radiopharmaceuticals for PET and SPECT imaging: A literature review over the last decade. Int. J. Mol. Sci. 2022, 23, 5023. [Google Scholar] [CrossRef]
- Luu, T.G.; Kim, H.K. 18F-Radiolabeled translocator protein (TSPO) PET tracers: Recent development of TSPO radioligands and their application to PET study. Pharmaceutics 2022, 14, 2545. [Google Scholar] [CrossRef] [PubMed]
- Kwon, Y.D.; Byun, Y.; Kim, H.K. 18F-labelled BODIPY dye as a dual imaging agent: Radiofluorination and applications in PET and optical imaging. Nucl. Med. Biol. 2021, 93, 22–36. [Google Scholar] [CrossRef] [PubMed]
- Kwon, Y.D.; Lee, J.Y.; La, M.T.; Lee, S.J.; Lee, S.H.; Park, J.H.; Kim, H.K. Novel multifunctional 18F-labelled PET tracer with prostate-specific membrane antigen-targeting and hypoxia-sensitive moieties. Eur. J. Med. Chem. 2020, 189, 112099. [Google Scholar] [CrossRef] [PubMed]
- Tran, V.H.; Park, H.; Park, J.; Kwon, Y.D.; Kang, S.; Jung, J.H.; Chang, K.A.; Lee, B.C.; Lee, S.Y.; Kang, S.; et al. Synthesis and evaluation of novel potent TSPO PET ligands with 2-phenylpyrazolo [1,5-a]pyrimidin-3-yl acetamide. Bioorg. Med. Chem. 2019, 27, 4069–4080. [Google Scholar] [CrossRef]
- Kwon, Y.D.; Kang, S.; Park, H.; Cheong, I.K.; Chang, K.A.; Lee, S.Y.; Jung, J.H.; Lee, B.C.; Lim, S.T.; Kim, H.K. Novel potential pyrazolopyrimidine based translocator protein ligands for the evaluation of neuroinflammation with PET. Eur. J. Med. Chem. 2018, 159, 292–306. [Google Scholar] [CrossRef]
- Kim, M.H.; Jung, W.J.; Jeong, H.J.; Lee, K.; Kil, H.S.; Chung, W.S.; Nam, K.R.; Lee, Y.J.; Lee, K.C.; Lim, S.M.; et al. Off-target screening of amyloid-beta plaque targeting [18F]florapronol ([18F]FC119S) in postmortem Alzheimer’s disease tissues. Bull. Korean Chem. Soc. 2022, 43, 859–867. [Google Scholar] [CrossRef]
- Oh, K.; Chi, D.Y. Direct fluorination strategy for the synthesis of fluorine-18 labeled oligopeptide–[18F]ApoPep-7. Bull. Korean Chem. Soc. 2021, 42, 1161–1166. [Google Scholar] [CrossRef]
- Van der Vaart, M.G.; Meerwaldt, R.; Slart, R.H.J.A.; van Dam, G.M.; Tio, R.A.; Zeebregts, C.J. Application of PET/SPECT imaging in vascular disease. Eur. J. Vasc. Endovasc. Surg. 2008, 35, 507–513. [Google Scholar] [CrossRef][Green Version]
- Dobrucki, L.W.; Sinusas, A.J. PET and SPECT in cardiovascular molecular imaging. Nat. Rev. Cardiol. 2010, 7, 38–47. [Google Scholar] [CrossRef]
- Ćorović, A.; Wall, C.; Mason, J.C.; Rudd, J.H.F.; Tarkin, J.M. Novel Positron Emission Tomography Tracers for Imaging Vascular Inflammation. Curr. Cardiol. Rep. 2020, 22, 119. [Google Scholar] [CrossRef]
- Sammartino, A.M.; Falco, R.; Drera, A.; Dondi, F.; Bellini, P.; Bertagna, F.; Vizzardi, E. Vascular infammation and cardiovascular disease: Review about the role of PET imaging. Int. J. Cardiovasc. Imaging 2023, 39, 433–440. [Google Scholar] [CrossRef] [PubMed]
- Pastorino, S.; Baldassari, S.; Ailuno, G.; Zuccari, G.; Drava, G.; Petretto, A.; Cossu, V.; Marini, C.; Alfei, S.; Florio, T.; et al. Two Novel PET Radiopharmaceuticals for Endothelial Vascular Cell Adhesion Molecule-1 (VCAM-1) Targeting. Pharmaceutics 2021, 13, 1025. [Google Scholar] [CrossRef] [PubMed]
- Al Badarin, F.J.; Malhotra, S. Diagnosis and prognosis of coronary artery disease with SPECT and PET. Curr. Cardiol. Rep. 2019, 21, 57. [Google Scholar] [CrossRef] [PubMed]
- Danad, I.; Raijmakers, P.G.; Driessen, R.S.; Leipsic, J.; Raju, R.; Naoum, C.; Knuuti, J.; Mäki, M.; Underwood, R.S.; Min, J.K.; et al. Comparison of coronary CT angiography, SPECT, PET, and hybrid imaging for diagnosis of ischemic heart disease determined by fractional flow reserve. JAMA Cardiol. 2017, 2, 1100–1107. [Google Scholar] [CrossRef] [PubMed]
- Wang, Y.; Klunk, W.E.; Debnath, M.L.; Huang, G.F.; Holt, D.P.; Shao, L.; Mathis, C.A. Development of a PET/SPECT agent for amyloid imaging in Alzheimer’s disease. J. Mol. Neurosci. 2004, 24, 55–62. [Google Scholar] [CrossRef]
- Svedberg, M.M.; Rahman, O.; Hall, H. Preclinical studies of potential amyloid binding PET/SPECT ligands in Alzheimer’s disease. Nucl. Med. Biol. 2012, 39, 484–501. [Google Scholar] [CrossRef]
- Lu, F.M.; Yuan, Z. PET/SPECT molecular imaging in clinical neuroscience: Recent advances in the investigation of CNS diseases. Quant. Imaging Med. Surg. 2015, 5, 433. [Google Scholar]
- Thientunyakit, T.; Shiratori, S.; Ishii, K.; Gelovani, J.G. Molecular PET Imaging in Alzheimer’s Disease. J. Med. Biol. Eng. 2022, 42, 301–317. [Google Scholar] [CrossRef]
- Mohamed, M.A.; Zeng, Z.; Gennaro, M.; Lao-Kaim, N.P.; Myers, J.F.M.; Valeria, C.; Femminella, G.D.; Tyacke, R.J.; Martin-Bastida, A.; Gunn, R.N.; et al. Astrogliosis in aging and Parkinson’s disease dementia: A new clinical study with 11C-BU99008 PET. Brain Commun. 2022, 4, fcac199. [Google Scholar] [CrossRef]
- Lee, H.J.; Ehlerding, E.B.; Cai, W. Antibody-based tracers for PET/SPECT imaging of chronic inflammatory diseases. ChemBioChem 2019, 20, 422–436. [Google Scholar] [CrossRef]
- Liu, H.; Liu, S.; Miao, Z.; Deng, Z.; Shen, B.; Hong, X.; Cheng, Z. Development of 18F-labeled picolinamide probes for PET imaging of malignant melanoma. J. Med. Chem. 2013, 56, 895–901. [Google Scholar] [CrossRef] [PubMed]
- Dannoon, S.; Ganguly, T.; Cahaya, H.; Geruntho, J.J.; Galliher, M.S.; Beyer, S.K.; Choy, C.J.; Hopkins, M.R.; Regan, M.; Blecha, J.E.; et al. Structure-activity relationship of 18F-labeled phosphoramidate peptidomimetic prostate-specific membrane antigen (PSMA)-targeted inhibitor analogues for PET imaging of prostate cancer. J. Med. Chem. 2016, 59, 5684–5694. [Google Scholar] [CrossRef]
- Janssen, J.C.; Meißner, S.; Woythal, N.; Prasad, V.; Brenner, W.; Diederichs, G.; Hamm, B.; Makowski, M.R. Comparison of hybrid 68Ga-PSMA-PET/CT and 99mTc-DPD-SPECT/CT for the detection of bone metastases in prostate cancer patients: Additional value of morphologic information from low dose CT. Eur. Radiol. 2018, 28, 610–619. [Google Scholar] [CrossRef] [PubMed]
- Grimm, J.; Kirsch, D.G.; Windsor, S.D.; Kim, C.F.B.; Santiago, P.M.; Ntziachristos, V.; Jacks, T.; Weissleder, R. Use of gene expression profiling to direct in vivo molecular imaging of lung cancer. Proc. Natl. Acad. Sci. USA 2005, 102, 14404–14409. [Google Scholar] [CrossRef] [PubMed]
- Weissleder, R. Molecular imaging in cancer. Science 2006, 312, 1168–1171. [Google Scholar] [CrossRef]
- Ersahin, D.; Doddamane, I.; Cheng, D. Targeted radionuclide therapy. Cancers 2011, 3, 3838–3855. [Google Scholar] [CrossRef]
- Goldsmith, S.J. Targeted radionuclide therapy: A historical and personal review. Semin. Nucl. Med. 2020, 50, 87–97. [Google Scholar] [CrossRef]
- Li, Z.; Conti, P.S. Radiopharmaceutical chemistry for positron emission tomography. Adv. Drug Deliv. Rev. 2010, 62, 1031–1051. [Google Scholar] [CrossRef]
- Ido, T.; Wan, C.N.; Casella, V.; Fowler, J.S.; Wolf, A.P.; Reivich, M.; Kuhl, D.E. Labeled 2-deoxy-D-glucose analogs. 18F-labeled 2-deoxy-2-fluoro-D-glucose, 2-deoxy-2-fluoro-D-mannose and 14C-2-deoxy-2-fluoro-D-glucose. J. Label. Compd. Radiopharm. 1978, 14, 175–183. [Google Scholar] [CrossRef]
- Phelps, M.E.; Huang, S.C.; Hoffman, E.J.; Selin, C.; Sokoloff, L.; Kuhl, D.E. Tomographic measurement of local cerebral glucose metabolic rate in humans with (F-18)2-fluoro-2-deoxy-D-glucose: Validation of method. Ann. Neurol. 1979, 6, 371–388. [Google Scholar] [CrossRef]
- Fletcher, J.W.; Djulbegovic, B.; Soares, H.P.; Siegel, B.A.; Lowe, V.J.; Lyman, G.H.; Coleman, R.E.; Wahl, R.; Paschold, J.C.; Avril, N.; et al. Recommendations on the use of 18F-FDG PET in oncology. J. Nucl. Med. 2008, 49, 480–508. [Google Scholar] [CrossRef]
- Davis, K.M.; Ryan, J.L.; Aaron, V.D.; Sims, J.B. PET and SPECT imaging of the brain: History, technical considerations, applications, and radiotracers. Semin. Ultrasound CT MRI 2020, 41, 521–529. [Google Scholar] [CrossRef] [PubMed]
- Nunn, A.; Linder, K.; Strauss, H.W. Nitroimidazoles and imaging hypoxia. Eur. J. Nucl. Med. 1995, 22, 265–280. [Google Scholar] [CrossRef] [PubMed]
- Kizaka-Kondoh, S.; Konse-Nagasawa, H. Significance of nitroimidazole compounds and hypoxia-inducible factor-1 for imaging tumor hypoxia. Cancer Sci. 2009, 100, 1366–1373. [Google Scholar] [CrossRef] [PubMed]
- Liu, J.N.; Bu, W.; Shi, J. Chemical design and synthesis of functionalized probes for imaging and treating tumor hypoxia. Chem. Rev. 2017, 117, 6160–6224. [Google Scholar] [CrossRef] [PubMed]
- Kubota, K.; Tada, M.; Yamada, S.; Hori, K.; Saito, S.; Iwata, R.; Sato, K.; Fukuda, H.; Ido, T. Comparison of the distribution of fluorine-18 fluoromisonidazole, deoxyglucose and methionine in tumour tissue. Eur. J. Nucl. Med. 1999, 26, 750–757. [Google Scholar] [CrossRef]
- Rasey, J.S.; Casciari, J.J.; Hofstrand, P.D.; Muzi, M.; Graham, M.M.; Chin, L.K. Determining hypoxic fraction in a rat glioma by uptake of radiolabeled fluoromisonidazole. Radiat. Res. 2000, 153, 84–92. [Google Scholar] [CrossRef]
- Zimny, M.; Gagel, B.; DiMartino, E.; Hamacher, K.; Coenen, H.H.; Westhofen, M.; Eble, M.; Buell, U.; Reinartz, P. FDG—A marker of tumour hypoxia? A comparison with [18F] fluoromisonidazole and pO2-polarography in metastatic head and neck cancer. Eur. J. Nucl. Med. Mol. Imaging 2006, 33, 1426–1431. [Google Scholar] [CrossRef]
- Beck, R.; Röper, B.; Carlsen, J.M.; Huisman, M.C.; Lebschi, J.A.; Andratschke, N.; Picchio, M.; Souvatzoglou, M.; Machulla, M.J.; Piert, M. Pretreatment 18F-FAZA PET predicts success of hypoxia-directed radiochemotherapy using tirapazamine. J. Nucl. Med. 2007, 48, 973–980. [Google Scholar] [CrossRef]
- Yapp, D.T.T.; Woo, J.; Kartono, A.; Sy, J.; Oliver, T.; Skov, K.A.; Koch, C.J.; Adomat, H.; Dragowska, W.H.; Fadzli, L.; et al. Non-invasive evaluation of tumour hypoxia in the Shionogi tumour model for prostate cancer with 18F-EF5 and positron emission tomography. BJU Int. 2007, 99, 1154–1160. [Google Scholar] [CrossRef]
- Komar, G.; Seppänen, M.; Eskola, O.; Lindholm, P.; Grönroos, T.J.; Forsback, S.; Sipilä, H.; Evans, S.M.; Solin, O.; Minn, H. 18F-EF5: A new PET tracer for imaging hypoxia in head and neck cancer. J. Nucl. Med. 2008, 49, 1944–1951. [Google Scholar] [CrossRef]
- Mannan, R.H.; Somayaji, V.V.; Lee, J.; Mercer, J.R.; Chapman, J.D.; Wiebe, L.I. Radioiodinated 1-(5-Iodo-5-deoxy-Darabinofuranosyl)-2-nitroimidazole (Iodoazomycin Arabinoside: IAZA): A novel marker of tissue hypoxia. J. Nucl. Med. 1991, 32, 1764–1770. [Google Scholar] [PubMed]
- Carter, L.M.; Kesner, A.L.; Pratt, E.C.; Sanders, V.A.; Massicano, A.V.F.; Cutler, C.S.; Lapi, S.E.; Lewis, J.S. The Impact of Positron Range on PET Resolution, Evaluated with Phantoms and PHITS Monte Carlo Simulations for Conventional and Non-conventional Radionuclides. Mol. Imaging Biol. 2020, 22, 73–84. [Google Scholar] [CrossRef] [PubMed]
- Cole, E.L.; Stewart, M.N.; Littich, R.; Hoareau, R.; Scott, P.J. Radiosyntheses using fluorine-18: The art and science of late stage fluorination. Curr. Top. Med. Chem. 2014, 14, 875–900. [Google Scholar] [CrossRef] [PubMed]
- Kumar, S.; Mohan, B.; Fu, C.; Gupta, V.; Ren, P. Decoration and utilization of a special class of metal–organic frameworks containing the fluorine moiety. Coord. Chem. Rev. 2023, 476, 214876. [Google Scholar] [CrossRef]
- Li, A.; Luo, X.; Chen, D.; Li, L.; Lin, H.; Gao, J. Small Molecule Probes for 19F Magnetic Resonance Imaging. Anal. Chem. 2023, 95, 70–82. [Google Scholar] [CrossRef]
- Hansen, S.B.; Bender, D. Advancement in Production of Radiotracers. Semin. Nucl. Med. 2022, 3, 266–275. [Google Scholar] [CrossRef]
- Huang, Y.; Fan, J.; Li, Y.; Fu, S.; Chen, Y.; Wu1, J. Imaging of Tumor Hypoxia with Radionuclide-Labeled Tracers for PET. Front. Oncol. 2021, 11, 731503. [Google Scholar] [CrossRef]
- Xu, X.X.; Chen, S.Y.; Yi, N.B.; Li, X.; Chen, S.L.; Lei, Z.; Cheng, D.B.; Sun, T. Research progress on tumor hypoxia-associative nanomedicine. J. Control. Release 2022, 350, 829–840. [Google Scholar] [CrossRef]
- Cao, J.; Liu, Y.; Zhang, L.; Du, F.; Ci, Y.; Zhang, Y.; Xiao, H.; Yao, X.; Shi, S.; Zhu, L.; et al. Synthesis of novel PEG-modified nitroimidazole derivatives via “hot-click” reaction and their biological evaluation as potential PET imaging agent for tumors. J. Radioanal. Nucl. Chem. 2017, 312, 263–276. [Google Scholar] [CrossRef]
- Nunes, P.S.G.; Zhang, Z.; Kuo, H.T.; Zhang, C.; Rousseau, J.; Rousseau, E.; Lau, J.; Kwon, D.; Carvalho, I.; Bénard, F.; et al. Synthesis and evaluation of an 18F-labeled trifluoroborate derivative of 2-nitroimidazole for imaging tumor hypoxia with positron emission tomography. J. Label. Compd. Radiopharm. 2018, 61, 370–379. [Google Scholar] [CrossRef] [PubMed]
- Lu, J.; Zhang, C.; Yang, X.; Yao, X.J.; Zhang, Q.; Sun, X.C. Synthesis and preliminary evaluation of a novel 18F-labeled 2-nitroimidazole derivative for hypoxia imaging. Front. Oncol. 2010, 10, 572097. [Google Scholar] [CrossRef] [PubMed]
- Wang, L.; Wang, H.; Shen, K.; Park, H.; Zhang, T.; Wu, X.; Hu, M.; Yuan, H.; Chen, Y.; Wu, Z.; et al. Development of novel 18F-PET agents for tumor hypoxia imaging. J. Med. Chem. 2021, 64, 5593–5602. [Google Scholar] [CrossRef] [PubMed]
- Nario, A.P.; Woodfield, J.; dos Santos, S.N.; Bergman, C.; Wuest, M.; Araújo, Y.B.; Lapolli, A.L.; West, F.G.; Wuest, F.; Bernardes, E.S. Synthesis of a 2-nitroimidazole derivative N-(4-[18F]fluorobenzyl)-2-(2-nitro-1H- imidazol-1-yl)-acetamide ([18F]FBNA) as PET radiotracer for imaging tumor hypoxia. EJNMMI Radiopharm. Chem. 2022, 7, 13. [Google Scholar] [CrossRef]
- Wanek, T.; Kreis, K.; Križková, P.; Schweifer, A.; Denk, C.; Stanek, J.; Mairinger, S.; Filip, T.; Sauberer, M.; Edelhofer, P.; et al. Synthesis and preclinical characterization of 1-(6′-deoxy-6′-[18F]fluoro-β-d-allofuranosyl)-2-nitroimidazole (β-6′-[18F]FAZAL) as a positron emission tomography radiotracer to assess tumor hypoxia. Bioorg. Med. Chem. 2016, 24, 5326–5339. [Google Scholar] [CrossRef]
- Schweifer, A.; Maier, F.; Ehrlichmann, W.; Lamparter, D.; Kneilling, M.; Pichler, B.J.; Hammerschmidt, F.; Reischl, G. [18F]Fluoro-azomycin-2′-deoxy-β-D-ribofuranoside—A new imaging agent for tumor hypoxia in comparison with [18F]FAZA. Nucl. Med. Biol. 2016, 43, 759–769. [Google Scholar] [CrossRef]
- Maier, F.C.; Schweifer, A.; Damaraju, V.L.; Cass, C.E.; Bowden, G.D.; Ehrlichmann, W.; Kneilling, M.; Pichler, B.J.; Hammerschmidt, F.; Reischl, G. 2-nitroimidazole-furanoside derivatives for hypoxia imaging-investigation of nucleoside transporter interaction, 18F-labeling and preclinical PET imaging. Pharmaceuticals 2019, 12, 31. [Google Scholar] [CrossRef]
- Yang, X.; Wang, F.; Zhu, H.; Yang, Z.; Chu, T. Synthesis and bioevaluation of novel [18F]FDG-conjugated 2-nitroimidazole derivatives for tumor hypoxia imaging. Mol. Pharm. 2019, 16, 2118–2128. [Google Scholar] [CrossRef]
- Nawar, M.F.; Türler, A. New strategies for a sustainable 99mTc supply to meet increasing medical demands: Promising solutions for current problems. Front. Chem. 2022, 10, 926258. [Google Scholar] [CrossRef]
- Papagiannopoulou, D. Technetium-99m radiochemistry for pharmaceutical applications. J. Label. Compd. Radiopharm. 2017, 60, 502–520. [Google Scholar] [CrossRef]
- Giglio, J.; Dematteis, S.; Fernández, S.; Cerecetto, H.; Rey, A. Synthesis and evaluation of a new 99mTc(I)-tricarbonyl complex bearing the 5-nitroimidazol-1-yl moiety as potential hypoxia imaging agent. J. Label. Compd. Radiopharm. 2014, 57, 403–409. [Google Scholar] [CrossRef] [PubMed]
- Wang, J.; Zheng, X.; Wu, W.; Yang, W.; Liu, Y. Synthesis and preliminary biological evaluation of 99mTc(CO)3-labeled pegylated 2-nitroimidazoles. J. Radioanal. Nucl. Chem. 2014, 300, 1013–1020. [Google Scholar] [CrossRef]
- Mallia, M.B.; Subramanian, S.; Mathur, A.; Sarma, H.D.; Banerjee, S. A study on nitroimidazole-99mTc(CO)3 complexes as hypoxia marker: Some observations towards possible improvement in in vivo efficacy. Nucl. Med. Biol. 2014, 41, 600–610. [Google Scholar] [CrossRef] [PubMed]
- Sun, W.; Chu, T. In Vivo click reaction between Tc-99m-labeled azadibenzocyclooctyne-MAMA and 2-nitroimidazole-azide for tumor hypoxia targeting. Bioorg. Med. Chem. Lett. 2015, 25, 4453–4456. [Google Scholar] [CrossRef] [PubMed]
- Mallia, M.B.; Mittal, S.; Sarma, H.D.; Banerjee, S. Modulation of in vivo distribution through chelator: Synthesis and evaluation of a 2-nitroimidazole-dipicolylamine-99mTc(CO)3 complex for detecting tumor hypoxia. Bioorg. Med. Chem. Lett. 2016, 26, 46–50. [Google Scholar] [CrossRef]
- Bhadwal, M.; Mallia, M.B.; Sarma, H.D.; Banerjee, S. Neutral 99mTc(CO)3 complexes of “clicked” nitroimidazoles for the detection of tumor hypoxia. J. Radioanal. Nucl. Chem. 2016, 307, 69–77. [Google Scholar] [CrossRef]
- Zhang, Q.; Zhang, Q.; Guan, Y.; Liu, S.; Chen, Q.; Li, X. Synthesis and biological evaluation of a new nitroimidazole-99mTc-complex for imaging of hypoxia in mice model. Med. Sci. Monit. 2016, 22, 3778–3791. [Google Scholar] [CrossRef]
- Vats, K.; Mallia, M.B.; Mathur, A.; Sarma, H.D.; Banerjee, S. ‘4+1’ Mixed ligand strategy for the preparation of 99mTc-radiopharmaceuticals for hypoxia detecting applications. ChemistrySelect 2017, 2, 2910–2916. [Google Scholar] [CrossRef]
- Rizvi, S.F.A.; Zhang, H.; Mehmood, S.; Sanad, M. Synthesis of 99mTc-labeled 2-mercaptobenzimidazole as a novel radiotracer to diagnose tumor hypoxia. Transl. Oncol. 2020, 13, 100854. [Google Scholar] [CrossRef]
- Ruan, Q.; Gan, Q.; Zhang, X.; Fang, S.; Zhang, J. Preparation and bioevaluation of novel 99mTc-labeled complexes with a 2-nitroimidazole HYNIC derivative for imaging tumor hypoxia. Pharmaceuticals 2021, 14, 158. [Google Scholar] [CrossRef]
- Su, H.; Chu, T. Synthesis and bioevaluation of the cyclopentadienyl tricarbonyl technetium-99m 2-nitroimidazole derivatives for tumor hypoxia imaging. Bioorg. Med. Chem. Lett. 2022, 60, 128583. [Google Scholar] [CrossRef] [PubMed]
- Li, Z.; Zhang, J.; Jin, Z.; Zhang, W.; Zhang, Y. Synthesis and biodistribution of novel 99mTc labeled 4-nitroimidazole dithiocarbamate complexes as potential agents to target tumor hypoxia. MedChemComm 2015, 6, 1143–1148. [Google Scholar] [CrossRef]
- Li, N.; Zhu, H.; Chu, T.W.; Yang, Z. Preparation and biological evaluation of 99mTc-N4IPA for single photon emission computerized tomography imaging of hypoxia in mouse tumor. Eur. J. Med. Chem. 2013, 69, 223–231. [Google Scholar] [CrossRef] [PubMed]
- Wang, F.; Fan, D.; Qian, J.; Zhang, Z.; Zhu, J.; Chen, J. Preparation and biodistribution of technetium-99m-labeled bis-misonidazole (MISO) as an imaging agent for tumour hypoxia. Med. Chem. 2015, 11, 649–655. [Google Scholar] [CrossRef]
- Vats, K.; Mallia, M.B.; Mathur, A.; Sarma, H.D.; Banerjee, S. Synthesis and evaluation of a novel 99mTcN(PNP)-complex with metronidazole isocyanide ligand as a marker for tumor hypoxia. J. Radioanal. Nucl. Chem. 2016, 308, 363–369. [Google Scholar] [CrossRef]
- Mallia, M.B.; Mathur, A.; Subramanian, S.; Banerjee, S.; Sarma, H.D.; Venkatesh, M. A novel [99mTcN]2+ complex of metronidazole xanthate as a potential agent for targeting hypoxia. Bioorg. Med. Chem. Lett. 2005, 15, 3398–3401. [Google Scholar] [CrossRef]
- Giglio, J.; Fernández, S.; Rey, A.; Cerecetto, H. Synthesis and biological characterisation of novel dithiocarbamate containing 5-nitroimidazole 99mTc-complexes as potential agents for targeting hypoxia. Bioorg. Med. Chem. Lett. 2011, 21, 394–397. [Google Scholar] [CrossRef]
- Mallia, M.B.; Kumar, C.; Mathur, A.; Sarma, H.D.; Banerjee, S. On the structural modification of 2-nitroimidazole-99mTc(CO)3 complex, a hypoxia marker, for improving in vivo pharmacokinetics. Nucl. Med. Biol. 2012, 39, 1236–1242. [Google Scholar] [CrossRef]
- Lin, X.; Fang, S.; Teng, Y.; Zhang, J. Preparation and biological evaluation of a technetium-99m labeled 4-nitroimidazole derivative for imaging tumor hypoxia. J. Radioanal. Nucl. Chem. 2017, 313, 39–45. [Google Scholar] [CrossRef]
- Russell, C.D.; Crittenden, R.C.; Cash, A.G. Determination of net ionic charge on Tc-99m DTPA and Tc-99m EDTA by a column ion-exchange method. J. Nucl. Med. 1980, 21, 354–360. [Google Scholar]
- Lin, X.; Ruan, Q.; Lin, L.; Zhang, X.; Duan, X.; Teng, Y.; Zhang, J. Biological evaluation and SPECT imaging of tumor hypoxia using a novel technetium-99m labeled tracer with 2-nitroimidazole moiety. J. Radioanal. Nucl. Chem. 2018, 317, 1463–1468. [Google Scholar] [CrossRef]
- Lin, X.; Ruan, Q.; Zhang, X.; Duan, X.; Teng, Y.; Zhang, J. 99mTc labelled complexes with secnidazole xanthate: Synthesis and evaluation as potential radiotracers to target tumor hypoxia. Appl. Radiat. Isot. 2018, 140, 289–293. [Google Scholar] [CrossRef] [PubMed]
- Ruan, Q.; Zhang, X.; Gan, Q.; Fang, S.; Zhang, J. Synthesis and evaluation of [99mTcN]2+ core and [99mTcO]3+ core labeled complexes with 4-nitroimidazole xanthate derivative for tumor hypoxia imaging. Bioorg. Med. Chem. Lett. 2020, 30, 127582. [Google Scholar] [CrossRef]
- Li, S.; Chu, T. Improving tumor/muscle and tumor/blood ratios of 99mTc-labeled nitroimidazole propylene amine oxime (PnAO) complexes with ethylene glycol linkers. Bioorg. Med. Chem. Lett. 2023, 82, 129154. [Google Scholar] [CrossRef]
- Huang, H.; Zhou, H.; Li, Z.; Wang, X.; Chu, T. Effect of a second nitroimidazole redox centre on the accumulation of a hypoxia marker: Synthesis and in vitro evaluation of 99mTc-labeled bisnitroimidazole propylene amine oxime complexes. Bioorg. Med. Chem. Lett. 2012, 22, 172–177. [Google Scholar] [CrossRef]
- Zhang, Q.; Huang, H.; Chu, T. In vitro and in vivo evaluation of technetium-99m-labeled propylene amine oxime complexes containing nitroimidazole and nitrotriazole groups as hypoxia markers. J. Label. Compd. Radiopharm. 2016, 59, 14–23. [Google Scholar] [CrossRef] [PubMed]
- Mallia, M.B.; Mathur, A.; Sharma, R.; Kumar, C.; Sarma, H.D.; Banerjee, S.; Dash, A. Preparation and preliminary evaluation of a tris-metronidazole-99mTc(CO)3 complex for targeting tumor hypoxia. J. Radioanal. Nucl. Chem. 2018, 317, 1203–1210. [Google Scholar] [CrossRef]
- Ruan, Q.; Zhang, X.; Gan, Q.; Fang, S.; Zhang, J. Preparation of two 99mTc(CO)3 labelled complexes with a 4-nitroimidazole isocyanide at different temperatures for molecular imaging of tumor hypoxia. J. Radioanal. Nucl. Chem. 2020, 323, 851–859. [Google Scholar] [CrossRef]
- Hay, M.P.; Wilson, W.R.; Moselen, J.W.; Palmer, B.D.; Denny, W.A. Hypoxia-selective antitumor agents. 8. Bis(nitroimidazolyl)alkanecarboxamides: A new class of hypoxia-selective cytotoxins and hypoxic cell radiosensitisers. J. Med. Chem. 1994, 37, 381–391. [Google Scholar] [CrossRef]
- Ruan, Q.; Zhang, X.; Lin, X.; Duan, X.; Zhang, J. Novel 99mTc labelled complexes with 2-nitroimidazole isocyanide: Design, synthesis and evaluation as potential tumor hypoxia imaging agents. MedChemComm 2018, 9, 988–994. [Google Scholar] [CrossRef]
- Ruan, Q.; Zhang, X.; Zhang, J. Radiosynthesis and evaluation of novel [99mTc(I)]+ and [99mTc(I)(CO)3]+ complexes with a 4-nitroimidazole isocyanide for imaging tumor hypoxia. Appl. Organomet. Chem. 2020, 34, e5798. [Google Scholar] [CrossRef]
- Koehler, L.; Gagnon, K.; McQuarrie, S.; Wuest, F. Iodine-124: A Promising Positron Emitter for Organic PET Chemistry. Molecules 2010, 15, 2686–2718. [Google Scholar] [CrossRef]
- Mahajan, S.; Divgi, C.R. The role of iodine-124 positron emission tomography in molecular imaging. Clin. Transl. Imaging 2016, 4, 297–306. [Google Scholar] [CrossRef]
- Engudar, G.; Schaarup-Jensen, H.; Fliedner, F.P.; Hansen, A.E.; Kempen, P.; Jølck, R.I.; Kjæer, A.; Andresen, T.L.; Clausen, M.H.; Jensen, A.I.; et al. Remote loading of liposomes with a 124I-radioiodinated compound and their in vivo evaluation by PET/CT in a murine tumor model. Theranostics 2018, 8, 5828–5841. [Google Scholar] [CrossRef] [PubMed]
- Wang, F.; Yang, X.; Zhu, H.; Yang, Z.; Chu, T. Synthesis and bioevaluation of novel radioiodinated PEG-modified 2-nitroimidazole derivatives for tumor hypoxia imaging. J. Radioanal. Nucl. Chem. 2019, 321, 943–954. [Google Scholar] [CrossRef]
- Li, Z.; Chu, T.; Liu, X.; Wang, X. Synthesis and in vitro and in vivo evaluation of three radioiodinated nitroimidazole analogues as tumor hypoxia markers. Nucl. Med. Biol. 2005, 32, 225–231. [Google Scholar] [CrossRef]
- Yang, R.; Wang, D.; Chu, T. Synthesis and bioevaluation of radioiodinated nitroimidazole hypoxia imaging agents by one-pot click reaction. Bioorg. Med. Chem. Lett. 2020, 30, 127386. [Google Scholar] [CrossRef]
- Zhou, Y.; Li, J.; Xu, X.; Zhao, M.; Zhang, B.; Deng, S.; Wu, Y. 64Cu-based Radiopharmaceuticals in Molecular Imaging. Technol. Cancer Res. Treat. 2019, 18, 1533033819830758. [Google Scholar] [CrossRef]
- Luo, Z.; Zhu, H.; Lin, X.; Chu, T.; Luo, R.; Wang, Y.; Yang, Z. Synthesis and radiolabeling of 64Cu-labeled 2-nitroimidazole derivative 64Cu-BMS2P2 for hypoxia imaging. Bioorg. Med. Chem. Lett. 2016, 26, 1397–1400. [Google Scholar] [CrossRef]
- Luo, Z.; Zhu, H.; Lin, X.; Hong, Y.; Xiao, S.; Zhang, Q.; Chu, T.; Yang, Z. Radio-labelling and Micro-PET study of 64Cu labelled PnAO-1-(2-nitroimidazole) for hypoxia imaging. Chem. J. Chin. Univ. 2015, 36, 87–92. [Google Scholar]
- Gangadaran, P.; Ahn, B.C. Molecular imaging: A useful tool for the development of natural killer cell-based immunotherapies. Front. Immunol. 2017, 8, 1090. [Google Scholar] [CrossRef]
- Toma-Dasu, I.; Uhrdin, J.; Antonovic, L.; Dasu, A.; Nuyts, S.; Dirix, P.; Haustermans, K.; Brahme, A. Dose prescription and treatment planning based on FMISO-PET hypoxia. Acta Oncol. 2012, 51, 222–230. [Google Scholar] [CrossRef]
- Zhang, M.; Li, S.; Zhang, H.; Xu, H. Research progress of 18F labeled small molecule positron emission tomography (PET) imaging agents. Eur. J. Med. Chem. 2020, 205, 112629. [Google Scholar] [CrossRef]
- Davey, P.R.W.J.; Paterson, B.M. Modern Developments in Bifunctional Chelator Design for Gallium Radiopharmaceuticals. Molecules 2023, 28, 203. [Google Scholar] [CrossRef]
- Ait-Mohand, S.; Denis, C.; Tremblay, G.; Paquette, M.; Guerin, B. Development of Bifunctional Chelates Bearing Hydroxamate Arms for Highly Efficient 64Cu Radiolabeling. Org. Lett. 2014, 16, 4512–4515. [Google Scholar] [CrossRef] [PubMed]
- Hu, A.; Wilson, J.J. Advancing Chelation Strategies for Large Metal Ions for Nuclear Medicine Applications. Acc. Chem. Res. 2022, 55, 904–915. [Google Scholar] [CrossRef] [PubMed]
- Melis, D.; Burgoyne, A.R.; Maarten Ooms, M.; Gasse, G. Bifunctional chelators for radiorhenium: Past, present and future outlook. RSC Med. Chem. 2022, 13, 217–245. [Google Scholar] [CrossRef]
- Vaughn, B.A.; Ahn, S.H.; Aluicio-Sarduy, E.; Devaraj, J.; Olson, A.P.; Engle, J.; Boros, E. Chelation with a twist: A bifunctional chelator to enable room temperature radiolabeling and targeted PET imaging with scandium-44. Chem. Sci. 2020, 11, 333–342. [Google Scholar] [CrossRef] [PubMed]
- Lee, I.; Paeng, J.C.; Lee, S.J.; Shin, C.S.; Jang, J.Y.; Cheon, G.J.; Lee, D.S.; Chung, J.K.; Kang, K.W. Comparison of Diagnostic Sensitivity and Quantitative Indices Between 68Ga-DOTATOC PET/CT and 111In-Pentetreotide SPECT/CT in Neuroendocrine Tumors: A Preliminary Report. Nucl. Med. Mol. Imaging 2015, 49, 284–290. [Google Scholar] [CrossRef] [PubMed]
- Albalooshi, B.; Al Sharhan, M.; Bagheri, F.; Miyanath, S.; Ray, B.; Muhasin, M.; Zakavi, S.R. Direct comparison of 99mTc-PSMA SPECT/CT and 68Ga-PSMA PET/CT in patients with prostate cancer. Asia Ocean. J. Nucl. Med. Biol. 2020, 8, 1–7. [Google Scholar]
- Chia, K.; Fleming, I.N.; Blower, P.J. Hypoxia imaging with PET: Which tracers and why? Nucl. Med. Commun. 2012, 33, 217–222. [Google Scholar] [CrossRef] [PubMed]
- Carlin, S.; Humm, J.L. PET of hypoxia: Current and future perspectives. J. Nucl. Med. 2012, 53, 1171–1174. [Google Scholar] [CrossRef] [PubMed]
- Bonnet, M.; Hong, C.R.; Wong, W.W.; Liew, L.P.; Shome, A.; Wang, J.; Gu, Y.; Stevenson, R.J.; Qi, W.; Anderson, R.F.; et al. Next-generation hypoxic cell radiosensitizers: Nitroimidazole alkylsulfonamides. J. Med. Chem. 2018, 61, 1241–1254. [Google Scholar] [CrossRef] [PubMed]







































Disclaimer/Publisher’s Note: The statements, opinions and data contained in all publications are solely those of the individual author(s) and contributor(s) and not of MDPI and/or the editor(s). MDPI and/or the editor(s) disclaim responsibility for any injury to people or property resulting from any ideas, methods, instructions or products referred to in the content. |
© 2023 by the authors. Licensee MDPI, Basel, Switzerland. This article is an open access article distributed under the terms and conditions of the Creative Commons Attribution (CC BY) license (https://creativecommons.org/licenses/by/4.0/).
Share and Cite
Nguyen, A.T.; Kim, H.-K. Recent Developments in PET and SPECT Radiotracers as Radiopharmaceuticals for Hypoxia Tumors. Pharmaceutics 2023, 15, 1840. https://doi.org/10.3390/pharmaceutics15071840
Nguyen AT, Kim H-K. Recent Developments in PET and SPECT Radiotracers as Radiopharmaceuticals for Hypoxia Tumors. Pharmaceutics. 2023; 15(7):1840. https://doi.org/10.3390/pharmaceutics15071840
Chicago/Turabian StyleNguyen, Anh Thu, and Hee-Kwon Kim. 2023. "Recent Developments in PET and SPECT Radiotracers as Radiopharmaceuticals for Hypoxia Tumors" Pharmaceutics 15, no. 7: 1840. https://doi.org/10.3390/pharmaceutics15071840
APA StyleNguyen, A. T., & Kim, H.-K. (2023). Recent Developments in PET and SPECT Radiotracers as Radiopharmaceuticals for Hypoxia Tumors. Pharmaceutics, 15(7), 1840. https://doi.org/10.3390/pharmaceutics15071840

