Fermented Sprouts of Codonopsis lanceolata Suppress LPS-Induced Inflammatory Responses by Inhibiting NF-κB Signaling Pathway in RAW 264.7 Macrophages and CD1 Mice
Abstract
1. Introduction
2. Materials and Methods
2.1. Animal
2.2. Materials
2.3. Preparation of Extracts and Samples
2.4. UPLC-ESI-QTOF-MS Analysis
2.5. Quantitative Analysis of Luteolin and Kaempferol Using HPLC
2.6. Determination of Total Polyphenols
2.7. Determination of Total Tannin
2.8. Determination of Total Flavonoid and Saponin
2.9. Cell Culture
2.10. Cell Viability Analysis
2.11. Measurement of Nitric Oxide
2.12. mRNA Expression Analysis Using RT-qPCR
2.13. Western Blot Analysis
2.14. ELISA Analysis
2.15. LPS-Induced Septic Shock Model
2.16. Statistical Analyses
3. Results
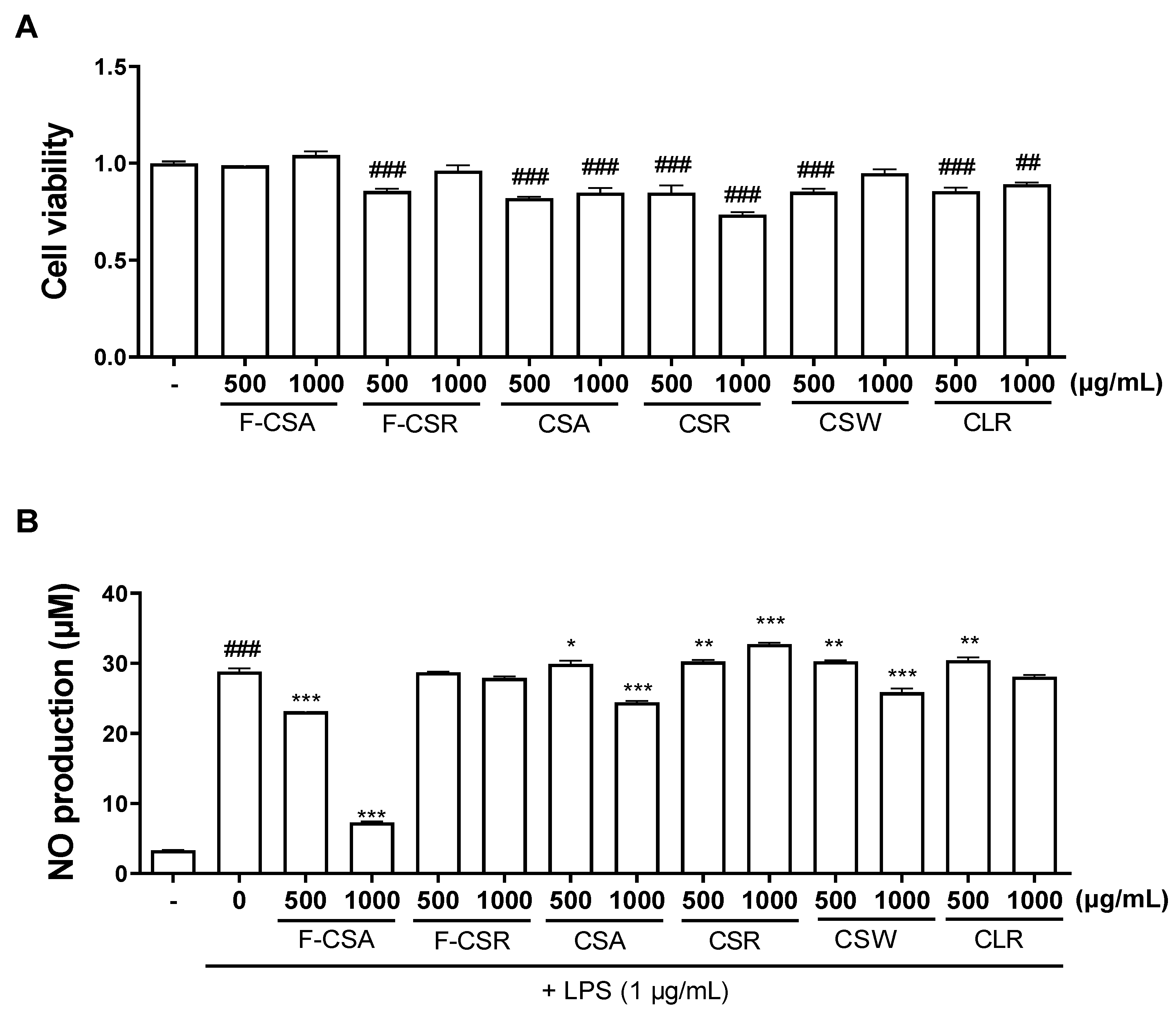
3.1. Effects of Six CL Samples on Cell Viability and LPS-Induced NO Production in RAW 264.7 Cells
3.2. Contents Analysis of Polyphenols, Tannins, Flavonoids, and Saponins in Six CL Samples
3.3. Qualitative Analysis of F-CSA Using UPLC-ESI-Q/TOF-MS Analysis
3.4. Quantitative Analysis of Luteolin and Kaempferol in Six CL Samples
3.5. Effects of F-CSA on Cell Viability and LPS-Induced Inflammatory Reactions in RAW 264.7 Macrophages
3.6. The Effect of F-CSA on Expression of Pro-Inflammatory Cytokines in LPS-Stimulated RAW 264.7 Macrophages
3.7. The Effect of F-CSA on the JNK/NF-κB Signaling Pathway in LPS-Stimulated RAW 264.7 Macrophages
3.8. Effects of F-CSA on Survival Rate and the Levels of NO and IL-6 in LPS-Stimulated Septic Shock
4. Discussion
Author Contributions
Funding
Institutional Review Board Statement
Informed Consent Statement
Data Availability Statement
Conflicts of Interest
Abbreviations
References
- Napier, B.A.; Andres-Terre, M.; Massis, L.M.; Hryckowian, A.J.; Higginbottom, S.K.; Cumnock, K.; Casey, K.M.; Haileselassie, B.; Lugo, K.A.; Schneider, D.S.; et al. Western diet regulates immune status and the response to LPS-driven sepsis independent of diet-associated microbiome. Proc. Natl. Acad. Sci. USA 2019, 116, 3688–3694. [Google Scholar] [CrossRef] [PubMed]
- Wang, Q.; Zhou, X.; Yang, L.; Luo, M.; Han, L.; Lu, Y.; Shi, Q.; Wang, Y.; Liang, Q. Gentiopicroside (GENT) protects against sepsis induced by lipopolysaccharide (LPS) through the NF-κB signaling pathway. Ann. Transl. Med. 2019, 7, 731. [Google Scholar] [CrossRef] [PubMed]
- Rao, P.; Knaus, E.E. Evolution of nonsteroidal anti-inflammatory drugs (NSAIDs): Cyclooxygenase (COX) inhibition and beyond. J. Pharm. Pharm. Sci. 2008, 11, 81s–110s. [Google Scholar] [CrossRef] [PubMed]
- Mekonnen, S.A.; Merenstein, D.; Fraser, C.M.; Marco, M.L. Molecular mechanisms of probiotic prevention of antibiotic-associated diarrhea. Curr. Opin. Biotechnol. 2020, 61, 226–234. [Google Scholar] [CrossRef]
- Cheng, C.; Yu, X. Research progress in Chinese herbal medicines for treatment of sepsis: Pharmacological action, phytochemistry, and pharmacokinetics. Int. J. Mol. Sci. 2021, 22, 1078. [Google Scholar] [CrossRef] [PubMed]
- Kang, S.; Min, H. Ginseng, the ‘Immunity boost’: The effects of Panax ginseng on immune system. J. Ginseng Res. 2012, 36, 354–368. [Google Scholar] [CrossRef]
- Man, S.; Luo, C.; Yan, M.; Zhao, G.; Ma, L.; Gao, W. Treatment for liver cancer: From sorafenib to natural products. Eur. J. Med. Chem. 2021, 224, 113690. [Google Scholar] [CrossRef]
- Sen, T.; Samanta, S.K. Medicinal plants, human health and biodiversity: A broad review. Adv. Biochem. Eng. Biotechnol. 2015, 147, 59–110. [Google Scholar] [CrossRef]
- Xu, L.; Li, Y.; Dai, Y.; Peng, J. Natural products for the treatment of type 2 diabetes mellitus: Pharmacology and mechanisms. Pharmacol. Res. 2018, 130, 451–465. [Google Scholar] [CrossRef]
- Deng, W.; Du, H.; Liu, D.; Ma, Z. Editorial: The role of natural products in chronic inflammation. Front. Pharmacol. 2022, 13, 901538. [Google Scholar] [CrossRef]
- He, J.-Y.; Ma, N.; Zhu, S.; Komatsu, K.; Li, Z.Y.; Fu, W.M. The genus Codonopsis (Campanulaceae): A review of phytochemistry, bioactivity and quality control. J. Nat. Med. 2015, 69, 1–21. [Google Scholar] [CrossRef] [PubMed]
- Guo, W.L.; Gong, L.; Ding, Z.F.; Li, Y.D.; Li, F.X.; Zhao, S.P.; Liu, B. Genomic instability in phenotypically normal regenerants of medicinal plant Codonopsis lanceolata Benth. et Hook. f., as revealed by ISSR and RAPD markers. Plant Cell Rep. 2006, 25, 896–906. [Google Scholar] [CrossRef] [PubMed]
- Wang, M.-C.; Wu, Y.-F.; Yu, W.-Y.; Yu, B.; Ying, H.-Z. Polyacetylenes from Codonopsis lanceolata root induced apoptosis of human lung adenocarcinoma cells and improved lung dysbiosis. Biomed. Res. Int. 2022, 2022, 7713355. [Google Scholar] [CrossRef] [PubMed]
- Lee, Y.G.; Kim, J.Y.; Lee, J.Y.; Byeon, S.E.; Hong, E.K.; Lee, J.; Rhee, M.H.; Park, H.J.; Cho, J.Y. Regulatory effects of Codonopsis lanceolata on macrophage-mediated immune responses. J. Ethnopharmacol. 2007, 112, 180–188. [Google Scholar] [CrossRef]
- Lee, K.-W.; Jung, H.-J.; Park, H.-J.; Kim, D.-G.; Lee, J.-Y.; Lee, K.-T. β-D-xylopyranosyl-(1→3)-β-D-glucuronopyranosyl echinocystic acid isolated from the roots of Codonopsis lanceolata induces caspase-dependent apoptosis in human acute promyelocytic leukemia HL-60 cells. Biol. Pharm. Bull. 2005, 28, 854–859. [Google Scholar] [CrossRef]
- Dong, J.; Na, Y.; Hou, A.; Zhang, S.; Yu, H.; Zheng, S.; Lan, W.; Yang, L. A review of the botany, ethnopharmacology, phytochemistry, analysis method and quality control, processing methods, pharmacological effects, pharmacokinetics and toxicity of Codonopsis radix. Front. Pharmacol. 2023, 14, 1162036. [Google Scholar] [CrossRef]
- Kim, M.H.; Lee, J.; Yoo, D.S.; Lee, Y.G.; Byeon, S.E.; Hong, E.K.; Cho, J.Y. Protective effect of stress-induced liver damage by saponin fraction from Codonopsis lanceolata. Arch. Pharmacol. Res. 2009, 32, 1441–1446. [Google Scholar] [CrossRef]
- Ushijima, M.; Komoto, N.; Sugizono, Y.; Mizuno, I.; Sumihiro, M.; Ichikawa, M.; Hayama, M.; Kawahara, N.; Nakane, T.; Shirota, O.; et al. Triterpene glycosides from the roots of Codonopsis lanceolata. Chem. Pharm. Bull. 2008, 56, 308–314. [Google Scholar] [CrossRef]
- Aloo, S.O.; Ofosu, F.K.; Kilonzi, S.M.; Shabbir, U.; Oh, D.H. Edible plant sprouts: Health benefits, trends, and opportunities for novel exploration. Nutrients 2021, 13, 2882. [Google Scholar] [CrossRef]
- Li, Q.; Li, N.; Cai, W.; Xiao, M.; Liu, B.; Zeng, F. Fermented natural product targeting gut microbiota regulate immunity and anti-inflammatory activity: A possible way to prevent COVID-19 in daily diet. J. Funct. Foods 2022, 97, 105229. [Google Scholar] [CrossRef]
- Dogan, K.; Törnük, F. Improvement of bioavailability of bioactive compounds of medicinal herbs by drying and fermentation with Lactobacillus plantarum. Funct. Foods Health Dis. 2019, 9, 735–748. [Google Scholar] [CrossRef]
- Cheung, R.C.F.; Ng, T.B.; Wong, J.H.; Chen, Y.; Chan, W.Y. Marine natural products with anti-inflammatory activity. Appl. Microbiol. Biotechnol. 2016, 100, 1645–1666. [Google Scholar] [CrossRef] [PubMed]
- Yuan, G.; Wahlqvist, M.L.; He, G.; Yang, M.; Li, D. Natural products and anti-inflammatory activity. Asia Pac. J. Clin. Nutr. 2006, 15, 143–152. [Google Scholar]
- Dimidi, E.; Cox, S.R.; Rossi, M.; Whelan, K. Fermented foods: Definitions and characteristics, impact on the gut microbiota and effects on gastrointestinal health and disease. Nutrients 2019, 11, 1806. [Google Scholar] [CrossRef]
- Makabe, K.; Hirota, R.; Shiono, Y.; Tanaka, Y.; Koseki, T. Aspergillus oryzae Rutinosidase: Biochemical and structural investigation. Appl. Environ. Microbiol. 2021, 87, e02438-20. [Google Scholar] [CrossRef]
- Ekor, M. The growing use of herbal medicines: Issues relating to adverse reactions and challenges in monitoring safety. Front. Pharmacol. 2014, 4, 177. [Google Scholar] [CrossRef]
- Lee, D.E.; Lee, S.; Jang, E.S.; Shin, H.W.; Moon, B.S.; Lee, C.H. Metabolomic profiles of Aspergillus oryzae and Bacillus amyloliquefaciens during rice Koji fermentation. Molecules 2016, 21, 773. [Google Scholar] [CrossRef]
- Aarland, R.C.; Banuelos-Hernandez, A.E.; Fragoso-Serrano, M.; Sierra-Palacios, E.D.; Diaz de Leon-Sanchez, F.; Perez-Flores, L.J.; Rivera-Cabrera, F.; Mendoza-Espinoza, J.A. Studies on phytochemical, antioxidant, anti-inflammatory, hypoglycaemic and antiproliferative activities of Echinacea purpurea and Echinacea angustifolia extracts. Pharm. Biol. 2017, 55, 649–656. [Google Scholar] [CrossRef]
- Zlatic, G.; Arapovic, A.; Martinovic, I.; Martinovic Bevanda, A.; Boskovic, P.; Prkic, A.; Paut, A.; Vukusic, T. Antioxidant capacity of herzegovinian wildflowers evaluated by UV-VIS and cyclic voltammetry analysis. Molecules 2022, 27, 5466. [Google Scholar] [CrossRef] [PubMed]
- Zhishen, J.; Mengcheng, T.; Jianming, W. The determination of flavonoid contents in mulberry and their scavenging effects on superoxide radicals. Food Chem. 1999, 64, 555–559. [Google Scholar] [CrossRef]
- Ghasemzadeh, A.; Jaafar, H.Z.; Rahmat, A. Phytochemical constituents and biological activities of different extracts of Strobilanthes crispus (L.) Bremek leaves grown in different locations of Malaysia. BMC Complement. Altern. Med. 2015, 15, 422. [Google Scholar] [CrossRef]
- Wang, L.; Cui, Y.R.; Wang, K.; Fu, X.; Xu, J.; Gao, X.; Jeon, Y.-J. Anti-inflammatory effect of fucoidan isolated from fermented Sargassum fusiforme in in vitro and in vivo models. Int. J. Biol. Macromol. 2022, 222 Pt B, 2065–2071. [Google Scholar] [CrossRef] [PubMed]
- Lyu, Y.; Zhou, J.; Li, J.; Li, J.; Hu, G.; Wang, L.; Wang, L.; Han, J.; Wang, D. Alterations of IL-1beta and TNF-alpha expression in RAW264.7 cell damage induced by two samples of PM2.5 with different compositions. Sci. Prog. 2022, 105, 368504221113709. [Google Scholar] [CrossRef] [PubMed]
- Cao, Y.; Li, X.-Y.; Tchivelekete, G.M.; Li, X.; Zhou, X.; He, Z.; Reilly, J.; Tan, Z.; Shu, X. Bioinformatical and biochemical analyses on the protective role of traditional Chinese medicine against age-related macular megeneration. Curr. Eye. Res. 2022, 47, 1450–1462. [Google Scholar] [CrossRef]
- Chen, M.; Xiao, J.; El-Seedi, H.R.; Wozniak, K.S.; Daglia, M.; Little, P.J.; Weng, J.; Xu, S. Kaempferol and atherosclerosis: From mechanism to medicine. Crit. Rev. Food Sci. Nutr. 2022, 1–19. [Google Scholar] [CrossRef]
- Che, D.N.; Cho, B.O.; Kim, J.S.; Shin, J.Y.; Kang, H.J.; Jang, S.I. Luteolin and Apigenin attenuate LPS-induced astrocyte activation and cytokine production by targeting MAPK, STAT3, and NF-κB signaling pathways. Inflammation 2020, 43, 1716–1728. [Google Scholar] [CrossRef]
- Lee, J.Y.; Yoon, Y.H.; Ko, J.Y.; Woo, K.S.; Woo, M.H.; Kim, Y.H. Anti-inflammatory effect of flavonoids kaempferol and biochanin a-enriched extract of barnyard millet (Echinochloa crus-galli var. frumentacea) grains in LPS-stimulated RAW264. 7 cells. J. Life Sci. 2014, 24, 1157–1167. [Google Scholar] [CrossRef]
- Wu, B.; Song, H.; Fan, M.; You, F.; Zhang, L.; Luo, J.; Li, J.; Wang, L.; Li, C.; Yuan, M. Luteolin attenuates sepsis-induced myocardial injury by enhancing autophagy in mice. Int. J. Mol. Med. 2020, 45, 1477–1487. [Google Scholar] [CrossRef]
- Vajdi, M.; Karimi, A.; Karimi, M.; Abbasalizad Farhangi, M.; Askari, G. Effects of luteolin on sepsis: A comprehensive systematic review. Phytomedicine 2023, 113, 154734. [Google Scholar] [CrossRef]
- Chen, X.; Yang, X.; Liu, T.; Guan, M.; Feng, X.; Dong, W.; Chu, X.; Liu, J.; Tian, X.; Ci, X.; et al. Kaempferol regulates MAPKs and NF-κB signaling pathways to attenuate LPS-induced acute lung injury in mice. Int. Immunopharmacol. 2012, 14, 209–216. [Google Scholar] [CrossRef]
- Caporali, S.; De Stefano, A.; Calabrese, C.; Giovannelli, A.; Pieri, M.; Savini, I.; Tesauro, M.; Bernardini, S.; Minieri, M.; Terrinoni, A. Anti-inflammatory and active biological properties of the plant-derived bioactive compounds luteolin and luteolin 7-glucoside. Nutrients 2022, 14, 1155. [Google Scholar] [CrossRef]
- Chojnacka, K.; Owczarek, K.; Caban, M.; Sosnowska, D.; Polka, D.; Koziolkiewicz, M.; Fichna, J.; Lewandowska, U. Japanese quince (Chaenomeles japonica) leaf phenol extract as modulator of the inflammatory response in lipopolysaccharide-triggered murine macrophage RAW 264.7 cells. J. Physiol. Pharmacol. 2020, 71, 833–843. [Google Scholar] [CrossRef]
- Akhter, N.; Hasan, A.; Shenouda, S.; Wilson, A.; Kochumon, S.; Ali, S.; Tuomilehto, J.; Sindhu, S.; Ahmad, R. TLR4/MyD88 -mediated CCL2 production by lipopolysaccharide (endotoxin): Implications for metabolic inflammation. J. Diabetes Metab. Disord. 2018, 17, 77–84. [Google Scholar] [CrossRef]
- Park, M.Y.; Ha, S.E.; Kim, H.H.; Bhosale, P.B.; Abusaliya, A.; Jeong, S.H.; Park, J.S.; Heo, J.D.; Kim, G.S. Scutellarein inhibits LPS-induced inflammation through NF-κB/MAPKs signaling pathway in RAW264.7 cells. Molecules 2022, 27, 3782. [Google Scholar] [CrossRef] [PubMed]
- Rosas-Ballina, M.; Tracey, K.J. Cholinergic control of inflammation. J. Intern. Med. 2009, 265, 663–679. [Google Scholar] [CrossRef] [PubMed]
- Park, J.H.; Park, G.M.; Kim, E.J.; Jeon, Y.M. Monitoring of an electrically induced signal in melon in relation to different environmental conditions in a smart farm. Appl. Biol. Chem. 2022, 65, 82. [Google Scholar] [CrossRef]
- Hyeon, H.; Min, C.W.; Moon, K.; Cha, J.; Gupta, R.; Park, S.U.; Kim, S.T.; Kim, J.K. Metabolic profiling-based evaluation of the fermentative behavior of Aspergillus oryzae and Bacillus subtilis for soybean residues treated at different temperatures. Foods 2020, 9, 117. [Google Scholar] [CrossRef]
- Xin, S.B.; Yan, H.; Ma, J.; Sun, Q.; Shen, L. Protective Effects of Luteolin on Lipopolysaccharide-Induced Acute Renal Injury in Mice. Med. Sci. Monit. 2016, 22, 5173–5180. [Google Scholar] [CrossRef] [PubMed]
- Kim, E.; Yang, W.S.; Kim, J.H.; Park, J.G.; Kim, H.G.; Ko, J.; Hong, Y.D.; Rho, H.S.; Shin, S.S.; Sung, G.H.; et al. Lancemaside A from Codonopsis lanceolata modulates the inflammatory responses mediated by monocytes and macrophages. Mediat. Inflamm. 2014, 2014, 405158. [Google Scholar] [CrossRef] [PubMed]
- Jiang, Y.; Yang, W.; Ding, J.; Ji, J.; Wu, L.; Zheng, Y.; Li, Y.; Cheng, Z.; Zhang, J.; Yu, Q.; et al. Luteolin pretreatment attenuates hepatic ischemia-reperfusion injury in mice by inhibiting inflammation, autophagy, and apoptosis via the ERK/PPARα pathway. PPAR Res. 2022, 2022, 8161946. [Google Scholar] [CrossRef]
- Alikiaii, B.; Bagherniya, M.; Askari, G.; Johnston, T.P.; Sahebkar, A. The role of phytochemicals in sepsis: A mechanistic and therapeutic perspective. Biofactors 2021, 47, 19–40. [Google Scholar] [CrossRef] [PubMed]
- Tormakangas, L.; Vuorela, P.; Saario, E.; Leinonen, M.; Saikku, P.; Vuorela, H. In vivo treatment of acute Chlamydia pneumoniae infection with the flavonoids quercetin and luteolin and an alkyl gallate, octyl gallate, in a mouse model. Biochem. Pharmacol. 2005, 70, 1222–1230. [Google Scholar] [CrossRef] [PubMed]
- Li, X.; Peng, H.; Wu, J.; Xu, Y. Brain natriuretic peptide-regulated expression of inflammatory cytokines in lipopolysaccharide (LPS)-activated macrophages via NF-κB and mitogen activated protein kinase (MAPK) pathways. Med. Sci. Monit. 2018, 24, 3119–3126. [Google Scholar] [CrossRef] [PubMed]
- Checa, J.; Aran, J.M. Reactive oxygen species: Drivers of physiological and pathological processes. J. Inflamm. Res. 2020, 13, 1057–1073. [Google Scholar] [CrossRef]
- Coulthard, L.R.; White, D.E.; Jones, D.L.; McDermott, M.F.; Burchill, S.A. p38MAPK: Stress responses from molecular mechanisms to therapeutics. Trends Mol. Med. 2009, 15, 369–379. [Google Scholar] [CrossRef]
- Hammouda, M.B.; Ford, A.E.; Liu, Y.; Zhang, J.Y. The JNK signaling pathway in inflammatory skin disorders and cancer. Cells 2020, 9, 857. [Google Scholar] [CrossRef]
- Valenza, A.; Bonfanti, C.; Pasini, M.E.; Bellosta, P. Anthocyanins function as anti-inflammatory agents in a Drosophila model for adipose tissue macrophage infiltration. Biomed. Res. Int. 2018, 2018, 6413172. [Google Scholar] [CrossRef]
- Azab, A.; Nassar, A.; Azab, A.N. Anti-inflammatory activity of natural products. Molecules 2016, 21, 1321. [Google Scholar] [CrossRef]
- Baig, M.S.; Roy, A.; Saqib, U.; Rajpoot, S.; Srivastava, M.; Naim, A.; Liu, D.; Saluja, R.; Faisal, S.M.; Pan, Q.; et al. Repurposing Thioridazine (TDZ) as an anti-inflammatory agent. Sci. Rep. 2018, 8, 12471. [Google Scholar] [CrossRef]
- Liang, J.L.; Wu, J.Z.; Liu, Y.H.; Zhang, Z.B.; Wu, Q.D.; Chen, H.B.; Huang, Y.F.; Dou, Y.X.; Zhou, J.T.; Su, Z.R.; et al. Patchoulene epoxide isolated from patchouli oil suppresses acute inflammation through inhibition of NF-κB and downregulation of COX-2/iNOS. Mediat. Inflamm. 2017, 2017, 1089028. [Google Scholar] [CrossRef]
- MacMicking, J.; Xie, Q.W.; Nathan, C. Nitric oxide and macrophage function. Annu. Rev. Immunol. 1997, 15, 323–350. [Google Scholar] [CrossRef] [PubMed]
- Liu, R.H.; Hotchkiss, J.H. Potential genotoxicity of chronically elevated nitric oxide: A review. Mutat. Res. 1995, 339, 73–89. [Google Scholar] [CrossRef] [PubMed]
- Nguyen, T.; Brunson, D.; Crespi, C.L.; Penman, B.W.; Wishnok, J.S.; Tannenbaum, S.R. DNA damage and mutation in human cells exposed to nitric oxide in vitro. Proc. Natl. Acad. Sci. USA 1992, 89, 3030–3034. [Google Scholar] [CrossRef]
- Wang, M.T.; Honn, K.V.; Nie, D. Cyclooxygenases, prostanoids, and tumor progression. Cancer Metastasis Rev. 2007, 26, 525–534. [Google Scholar] [CrossRef] [PubMed]
- Hseu, Y.C.; Wu, F.Y.; Wu, J.J.; Chen, J.Y.; Chang, W.H.; Lu, F.J.; Lai, Y.C.; Yang, H.L. Anti-inflammatory potential of Antrodia Camphorata through inhibition of iNOS, COX-2 and cytokines via the NF-κB pathway. Int. Immunopharmacol. 2005, 5, 1914–1925. [Google Scholar] [CrossRef]
- Tanaka, K.A.; Kurihara, S.; Shibakusa, T.; Chiba, Y.; Mikami, T. Cystine improves survival rates in a LPS-induced sepsis mouse model. Clin. Nutr. 2015, 34, 1159–1165. [Google Scholar] [CrossRef]
- Vivas, M.C.; Villamarin Guerrero, H.F.; Tascon, A.J.; Valderrama-Aguirre, A. Plasma interleukin-6 levels correlate with survival in patients with bacterial sepsis and septic shock. Interv. Med. Appl. Sci. 2021, 11, 224–230. [Google Scholar] [CrossRef]
- Riedemann, N.C.; Neff, T.A.; Guo, R.-F.; Bernacki, K.D.; Laudes, I.J.; Sarma, J.V.; Lambris, J.D.; Ward, P.A. Protective effects of IL-6 blockade in sepsis are linked to reduced C5a receptor expression. J. Immunol. 2003, 170, 503–507. [Google Scholar] [CrossRef]
- Hamilton, F.W.; Thomas, M.; Arnold, D.; Palmer, T.; Moran, E.; Mentzer, A.J.; Maskell, N.; Baillie, K.; Summers, C.; Hingorani, A.; et al. Therapeutic potential of IL6R blockade for the treatment of sepsis and sepsis-related death: A Mendelian randomisation study. PLoS Med. 2023, 20, e1004174. [Google Scholar] [CrossRef]








| Group ID | Sample | Used Part | Cultivation | Fermentation | Yield |
|---|---|---|---|---|---|
| F-CSA | C. lanceolata sprout | Aerial | SMART-Farm | Yes | 10.92% |
| F-CSR | C. lanceolata sprout | Roots | SMART-Farm | Yes | 15.60% |
| CSA | C. lanceolata sprout | Aerial | SMART-Farm | None | 23.86% |
| CSR | C. lanceolata sprout | Roots | SMART-Farm | None | 27.30% |
| CSW | C. lanceolata sprout | Whole | SMART-Farm | None | 12.96% |
| CLR | C. lanceolata | Roots | Outdoor | None | 15.60% |
| Compound | Retention Time | Calibration Equation | Correlation Factor (r2) |
|---|---|---|---|
| Luteolin | 24.6 | Y = 14,554X − 3681 | 0.9990 |
| Kaempferol | 28.1 | Y = 17,480X − 76,444 | 0.9998 |
| Target Gene | Primer Sequence | |
|---|---|---|
| iNOS | F | 5′-CAT GCT ACT GGA GGT GGG TG-3′ |
| R | 5′-CAT TGA TCT CCG TGA CAG CC-3′ | |
| COX-2 | F | 5′-TGC TGT ACA AGC AGT GGC AA-3′ |
| R | 5′-GCA GCC ATT TCC TTC TCT CC-3′ | |
| IL-6 | F | 5′-GAG GAT ACC ACT CCC AAC AGA CC-3′ |
| R | 5′-AAG TGC ATC ATC GTT GTT CAT ACA-3′ | |
| IL-1β | F | 5′-ACC TGC TGG TGT GTG ACG TT-3′ |
| R | 5′-TCG TTG CTT GGT TCT CCT TG-3′ | |
| TNF-α | F | 5′-CTG ATG AGA GGG AGG CCA TT-3′ |
| R | 5′-AGC ACA GAA AGC ATG ATC CG-3′ | |
| β-Actin | F | 5′-ATC ACT ATT GGC AAC GAG CG-3′ |
| R | 5′-TCA GCA ATG CCT GGG TAC AT-3′ | |
| Phytochemical Tests | F-CSA | F-CSR | CSA | CSR | CSW | CLR |
|---|---|---|---|---|---|---|
| Total phenolic (mg GAE/g) | 57.00 ± 1.80 | 22.35 ± 1.20 | 6.44 ± 0.48 | 31.27 ± 0.44 | 2.31 ± 0.37 | 10.81 ± 0.51 |
| Total tannin (mg GAE/g) | 36.27 ± 1.61 | 13.66 ± 1.11 | 4.74 ± 0.95 | 22.97 ± 0.40 | 2.35 ± 0.25 | 7.49 ± 0.22 |
| Total flavonoid (mg CE/g) | 26.17 ± 16.40 | N.D. | 24.57 ± 11.21 | N.D. | N.D. | N.D. |
| Total saponin (mg DE/g) | 183.56 ± 0.96 | 167.59 ± 5.25 | 156.89 ± 2.95 | 212.67 ± 3.53 | 182.04 ± 11.11 | 216.0 ± 20.38 |
| RT (min) | Tentative Identification | Formula | m/z [M − H]− | Mass Error (ppm) | Fragment (m/z) | |
|---|---|---|---|---|---|---|
| 1 | 0.46 | Hexitol | C6H14O6 | 181.0714 | −2.1 | - |
| 2 | 0.61 | Malic acid | C4H6O5 | 133.0142 | −0.3 | 89.0249, 115.0038 |
| 3 | 1.90 | Kaempferol-3-O-β-D-glucopyranoside | C21H20O11 | 447.0935 | 0.5 | 285.0412 |
| 4 | 2.53 | Chrysoeriol-7-O-β-D-glucuroside | C22H22O11 | 461.1086 | −0.6 | 284.0330, 299.0566 |
| 5 | 3.15 | Luteolin | C15H10O6 | 285.0402 | −0.8 | 133.0295, 151.0038 |
| 6 | 3.70 | Kaempferol | C15H10O6 | 285.0405 | 0.1 | 133.0297, 151.0039 |
| 7 | 4.57 | Diosmetin | C16H12O6 | 299.0563 | 0.5 | 284.0332 |
| 8 | 5.06 | Lancemaside A | C57H90O26 | 1189.5680 | 2.8 | 647.3812 |
| 9 | 6.53 | Caryocaroside II-5 | C36H56O10 | 647.3806 | 0.8 | - |
| 10 | 8.55 | Caryocaroside II-5 | C36H56O10 | 647.3801 | 0.1 | - |
| 11 | 8.74 | (E,E)-9-Oxooctadeca-10,12-dienoic acid | C18H30O3 | 293.2117 | −1.8 | - |
| 12 | 9.45 | Coronaric acid | C18H32O3 | 295.2279 | 0.2 | - |
| 13 | 10.91 | Linoleic acid | C18H32O2 | 279.2328 | −0.7 | - |
| 14 | 11.84 | α-Linolenic acid | C18H30O2 | 277.2173 | −0.1 | - |
| 15 | 11.96 | n-Pentadecanal | C15H30O | 271.2279 | 0.0 | - |
| 16 | 12.72 | Linolic acid | C18H32O2 | 279.2330 | 0.1 | - |
| 17 | 13.52 | Hexadecanoic acid | C16H32O2 | 255.2328 | −0.5 | - |
| Sample | Luteolin (mg/g) | Kaempferol (mg/g) |
|---|---|---|
| F-CSA | 7.83 ± 0.16 | 1.09 ± 0.07 |
| F-CSR | N.D. | N.D. |
| CSA | 1.71 ± 0.36 | 1.65 ± 0.27 |
| CSR | N.D. | N.D. |
| CSW | tr | tr |
| CLR | N.D. | N.D. |
Disclaimer/Publisher’s Note: The statements, opinions and data contained in all publications are solely those of the individual author(s) and contributor(s) and not of MDPI and/or the editor(s). MDPI and/or the editor(s) disclaim responsibility for any injury to people or property resulting from any ideas, methods, instructions or products referred to in the content. |
© 2023 by the authors. Licensee MDPI, Basel, Switzerland. This article is an open access article distributed under the terms and conditions of the Creative Commons Attribution (CC BY) license (https://creativecommons.org/licenses/by/4.0/).
Share and Cite
Choi, S.-H.; Kim, S.-Y.; Kim, K.-M.; Mony, T.J.; Bae, H.J.; Kim, M.S.; Lee, C.H.; Choi, S.-E.; Lee, S.H.; Park, S.J. Fermented Sprouts of Codonopsis lanceolata Suppress LPS-Induced Inflammatory Responses by Inhibiting NF-κB Signaling Pathway in RAW 264.7 Macrophages and CD1 Mice. Pharmaceutics 2023, 15, 1793. https://doi.org/10.3390/pharmaceutics15071793
Choi S-H, Kim S-Y, Kim K-M, Mony TJ, Bae HJ, Kim MS, Lee CH, Choi S-E, Lee SH, Park SJ. Fermented Sprouts of Codonopsis lanceolata Suppress LPS-Induced Inflammatory Responses by Inhibiting NF-κB Signaling Pathway in RAW 264.7 Macrophages and CD1 Mice. Pharmaceutics. 2023; 15(7):1793. https://doi.org/10.3390/pharmaceutics15071793
Chicago/Turabian StyleChoi, Seung-Hyuk, So-Yeon Kim, Kyeong-Min Kim, Tamanna Jahan Mony, Ho Jung Bae, Min Seok Kim, Chan Ho Lee, Sun-Eun Choi, Sang Ho Lee, and Se Jin Park. 2023. "Fermented Sprouts of Codonopsis lanceolata Suppress LPS-Induced Inflammatory Responses by Inhibiting NF-κB Signaling Pathway in RAW 264.7 Macrophages and CD1 Mice" Pharmaceutics 15, no. 7: 1793. https://doi.org/10.3390/pharmaceutics15071793
APA StyleChoi, S.-H., Kim, S.-Y., Kim, K.-M., Mony, T. J., Bae, H. J., Kim, M. S., Lee, C. H., Choi, S.-E., Lee, S. H., & Park, S. J. (2023). Fermented Sprouts of Codonopsis lanceolata Suppress LPS-Induced Inflammatory Responses by Inhibiting NF-κB Signaling Pathway in RAW 264.7 Macrophages and CD1 Mice. Pharmaceutics, 15(7), 1793. https://doi.org/10.3390/pharmaceutics15071793

